Abstract
Background/Objectives: The growing concern about the environmental impacts of consumption has led to the emergence of so-called “eco-guilt”—a psychological construct reflecting the guilt felt by individuals about the environmental consequences of their choices, which plays a prominent role among the factors influencing pro-environmental behavior. Although eco-guilt has already emerged in other service sectors, such as tourism, and general scales exist to measure it, no such scale exists in the context of food consumption. The aim of this research is to develop and validate a scale to measure eco-guilt related to food consumption. Methods: To create the scale in an objective way, we used the Sustainable Development Goals as a framework. Data were collected from university students; a questionnaire was completed online by 367 respondents. The responses were analyzed from several different perspectives, using multiple methods following the principle of triangulation. For the data analysis, the Psych and Mokken packages of R software (version 4.4.0) were used. Results: The constructed scale was based on 13 items. An overview of the reliability of the scale was provided using various indicators (e.g., Cronbach’s α = 0.86, ωh = 0.63, ωH asymptotic = 0.71, and ωt = 0.89). Based on the analyses, we proposed a reduced form with nine items for the measurement of food-related eco-guilt. Conclusions: The results of this research provide a scale to help understand what motivates consumers to make more sustainable consumption choices. Moreover, the scale is relevant to future research focused on understanding how guilt influences future food choices.
1. Introduction
In our everyday lives, our consumption is constantly interwoven with duality; that is, both positive (e.g., pleasure, enjoyment, and happiness) and negative (e.g., guilt) emotions that can arise as a result of our choices. This dichotomy in our daily lives is becoming increasingly more pronounced as consumer awareness grows. Both pleasure and guilt can arise in a variety of situations related to food consumption, which have been investigated in a number of previous studies [1,2,3,4,5]. However, when we talk about guilt in general, we are referring to the emotion that arises from the violation of a personal or social norm, while in the case of eco-guilt—the focus of our research—we are talking about the emotion that arises from the violation of environmental norms. The aim of our research is to better understand and measure this essentially negative emotion.
Nothing demonstrates the ambition and demand of consumers for sustainability better than the growing number of sustainable products on the market. In the food market, their importance is paramount; for example, the market for organic, fairtrade, and other sustainability-related food products is growing worldwide, as evidenced by numerous statistics [6,7,8]. There are many reasons why consumers choose such products. However, despite the value of a product’s sustainability or health benefits, consumers do not make their choices based on these values in many cases [9]. With our consumer habits and choices, we can easily find ourselves in situations where we feel that we do not meet certain personal or social standards. This creates a sense of consumer guilt [10], which is exploited by companies from a practical perspective in their communication, often through advertising [11]. This suggests that it is important to understand the role of guilt not only from a consumer perspective, but also from a practical, corporate perspective. The feeling of guilt and its potential can be significant not only for the company as it also affects our consumer behaviors [12]. Given this dichotomy, several studies have made it an important objective to assess how the emergence of guilt influences consumer behavior.
Guilt can help us to change our consumption habits and thus avoid the recurrence of this fundamentally negative feeling, and it can serve as a driving force for decisions that consumers consider to be better [13]. Several researchers have investigated the impact of guilt on food consumption behaviors from various perspectives; for example, understanding the feelings that arise [14], eating habits and circumstances, attitudes of different consumer groups, [14,15,16], and guilt due to the impact on health [16,17,18,19,20] and the environment [21,22,23,24,25,26] have been the main research directions. Steenhuis’s [14] research on the eating habits of college women and the associated guilt revealed that the type and timing of the food they ate affected the level of guilt induced. Guilt regarding the impact on health is a key area that various researchers have considered on a number of occasions [16,19] For example, research by Daly and colleagues [27] has shown that feelings of guilt play a role in adolescents’ food choices. Others dealt with parents’ feelings about the foods their children are allowed to eat, but at the same time, they considered to be inappropriate [15,16,28]. In relation to consumer health, overconsumption- and underconsumption-related eating disorders are also a focus of research attention [17,18,20,29].
However, we must not forget the positive effects of guilt. For example, Mishra and Mishra [30] showed that feelings of guilt can also lead to a reduction in the consumption of unhealthy foods. The other strand of research is academic work on the effects of guilt; that is, studies focused on how consumers change their buying behaviors to cope with feelings of guilt. In this area, the issue of sustainability has been raised in several ways. These focus areas include meat consumption habits [23,24,25], climate change [22,26], and food waste [21,31]. Previous research has shown how guilt affects consumer behavior in different contexts; however, in many cases, it has been built around guilt in general rather than its specific form, eco-guilt, even when the impact on the environment has been examined. Although there is scientific interest in many aspects of guilt related to food consumption, Yu, et al. [32] have pointed out the need for more research on the relationships between food consumption and guilt. To this end, we believe that our study can make a major contribution by creating a scale to measure eco-guilt, specifically in the context of food consumption.
As an area of guilt, the concept of eco-guilt has also been increasingly explored in research. Eco-guilt is a specific manifestation of guilt where consumers feel that they are not complying with environmental standards or are performing polluting activities [33]. Nielsen and colleagues [34] extended this approach, arguing that eco-guilt is more specific than guilt, since in the former case, it is not just a matter of consumers being aware of these norms but also of accepting them. Their results show that someone with a lower level of environmental awareness does not feel guilty if they behave in an unsustainable way. In some cases, eco-guilt has appeared in general terms or in relation to tourism in previous research [35,36,37].
At the same time, eco-guilt has also been brought to the fore for food products and the catering industry from different perspectives, such as making sustainable consumer choices in specific circumstances [38], reducing waste due to feelings of guilt [39], choosing organic or fair trade products [40,41], and changing meat consumption habits [42]. However, these studies also studied guilt in a more general sense, looking at the effects of consumers feeling that they have acted inappropriately and therefore perceive that they harmed the environment, for example.
The aim of our research is to meet the need for a scale for measuring eco-guilt specifically in the food industry. The food industry and other related industries, such as agribusiness, are affecting the planet like never before [43]. It is, therefore, important from scientific, industrial and business perspectives to understand both what influences consumers and how they are influenced towards more sustainable consumption behavior. To the best of our knowledge, no scale to measure eco-guilt related to food consumption has been developed to date. Therefore, our aim was to construct and validate such a scale. In constructing the items, we considered it important that our research did not focus on the impact or effect of guilt but, rather, focused on the construction of a scale system that allows for measurement of the feeling of guilt itself, and the things that trigger this feeling. In the future, the constructed scale could help to build up a more accurate picture of whether there is a link between environmental impact and guilt related to our food consumption habits, and if so, what this link is.
2. Materials and Methods
During the data collection phase of the research, a consumer survey method was used.
The questionnaire was administered to students of the Hungarian University of Agricultural and Life Sciences on two campuses, using convenience sampling, between 12 February 2024 and 16 February 2024. Although convenience sampling has its downsides, such as less generalizable responses, non-representativeness and sample bias, it is often still a useful tool [44], and it is also widely used by researchers in scale validation research [45,46,47,48]. During the data collection period, 367 respondents were reached online. The study was approved by the Interim Ethical Committee of the Hungarian University of Agriculture and Life Sciences, Doctoral School of Economic and Regional Sciences (protocol code 2/2024, 9 February 2024). The research has been pre-registered on AsPredicted.org with the number 161,533.
The grouping of the sample by demographic and income characteristics and their distribution in the sample is shown in Table 1.
Table 1.
Demographic and income composition of the sample (n = 367).
In designing the food eco-guilt scale, the best practices from Boateng, et al. [49] were applied. Due to the subjective nature of the topic, an objective framework was needed to create the elements. The Sustainable Development Goals (SDGs) set by the United Nations [50] were used as an objective framework for our research, and statements were made for points that fit the research topic. The aim was to maintain an objective measure, but it is expected that how feelings of guilt subjectively influence everyday habits is taken into account. The SDGs set out actions to live in a more sustainable world. Ecological guilt can influence consumer behavior in many ways, so we have considered the SDGs in which the effect of eco-guilt can manifest itself; namely, no poverty, zero hunger, good health and well-being, clean water and sanitation, reduced inequalities, responsible consumption and production, climate action, life below water, and life on land.
The questions were measured using the most popular form of the Likert scale among social science researchers [51], the 5-point scale, with a score of one indicating that the respondent strongly disagreed with the statement and a score of five indicating that the respondent strongly agreed with the statement. The items of the scale designed to measure eco-guilt are presented in Table 2.
Table 2.
Items of the food eco-guilt scale and its relation to the SDGs.
After generating the items, we tested the questions with a small group of four experts to ensure that they were clear and understandable. The main focus of the experts was on whether the statements made were consistent, had no ambiguity, and were grammatically correct, and whether the content was related to the focus of the research. This was followed by the collection of a bigger sample (n = 367) and analysis of the obtained responses.
Data Analysis
The collected data were analyzed using the Psych, PsychTools, and Mokken packages in R software (version 4.4.0). To gain a more comprehensive picture of the reliability of the scale the principle of triangulation was followed [52], which highlights the importance of investigating research questions from several angles. Both the Psych and the Mokken package test the reliability of the scale using different criteria. Psych is a multi-focus package with a strong emphasis on the method of scale analysis [53]. Mokken works with an item-selection algorithm through which Mokken scales are generated to assess the reliability of the scale [54]. Therefore, in the first phase of analysis, the Psych R package [53] was used to examine Cronbach’s alpha (and related) coefficients and to perform an omega principal component analysis. The similarity between statements (items) was examined through hierarchical cluster analysis using the Iclust module of the Psych package.
Using the Mokken scale analysis R package [54], the reliability of the scale was examined from other perspectives using non-parametric tests. Using the Mokken R package, in addition to the basic reliability indicators—namely, Cronbach’s alpha, Gutman lambda 2, and Molenaar Sijtsma (MS) statistics—the scalability coefficients (H, Hi, Hij) were examined, and the monotonicity of the scale was assessed using the automated item selection procedure (AISP). Scalability coefficients help to understand whether the scale elements form a scale or not [55]. The AISP helps to make the questionnaire more robust and shorter by grouping statements [56].
The conducted analyses are summarized in Figure 1.
Figure 1.
Flowchart of data analysis.
The combination of different parametric and non-parametric tests allowed for validation of the constructed scale from several points of view, giving a clear picture of its reliability through both examining the relationships between items and the hierarchical structure of the items.
3. Results
The reliability of the scale was determined through several analyses, which are presented and evaluated below and in the following sections. First, the results of the correlation analysis are presented in Figure 2.
Figure 2.
Results of the correlation analysis.
A correlation analysis was carried out to examine the relationships between the items and the convergence of the items. Values greater than 0.5 indicate a strong correlation, while values around 0 indicate that there is no correlation between the items [57]. Figure 2 shows that statement five (ECO5) was weakly correlated with most of the statements (i.e., it had very weak relationships with the other statements). On the other hand, values higher than 0.5, which represent a strong correlation [57], were barely observed in the analysis. Altogether, the results of the correlation analysis indicate that, from a correlation point of view, most of the statements (except ECO5) work well in the scale system.
3.1. Test of Cronbach’s Alpha
An important aspect of the scale validation process was to evaluate the internal consistency of the scale system, which was performed using Cronbach’s alpha indicator [58]. The results of the analysis are summarized in Table 3.
Table 3.
Results of the Cronbach’s alpha analysis.
Based on the indicators in Table 3, the scale showed good reliability. For both Cronbach’s alpha [59] and Guttmann’s lambda 6 [60], values greater than 0.7 are considered satisfactory, and this criterion was met.
For the Cronbach’s alpha indicators, tests were also carried out to determine whether removing individual items would increase the reliability of the scale. The results are presented in Table 4.
Table 4.
Results of Cronbach’s alpha if item removed.
The initial Cronbach’s alpha value was 0.86, against which we compared the results provided in Table 4. In most cases, compared to the previous value, the results did not improve but, instead, worsened. In one case, there was a minimal improvement when the ECO5 statement was removed from the analysis; however, this would not significantly improve the reliability of the scale.
As part of the analysis, the relative frequencies of the responses were obtained, which helps to check how consistently the respondents answered each question. These results are summarized in Table 5.
Table 5.
The relative frequencies of responses to each statement.
The relative frequencies shown in Table 5 demonstrated that the responses were spread proportionally between the possible options, inferring the differences in the opinions of respondents. The results in the table show that no statement was answered in the same way by a significant majority of respondents.
3.2. Omega Hierarchical Factor Analysis
The ωh (omega hierarchical) and ωt (omega total) values proposed by McDonald provide an alternative way to test the reliability of a scale and its hierarchical structure [61]. The results of the omega hierarchical factor analysis are presented in Figure 3.
Figure 3.
Results of the omega analysis. F1*, F2* and F3* indicates the underlying factors.
As part of the analysis, we obtained ωh, ωH asymptotic, and ωt values (ωh = 0.63, ωH asymptotic = 0.71, and ωt = 0.89). Values greater than 0.6 and 0.8 are considered acceptable for ωh values and for the total value, respectively [62]. The results obtained exceeded these values, which also supports the good reliability of the scale. Based on an analysis of Figure 3, statement 5 can be highlighted, which had a lower Schmid–Leiman g-value and was not associated with any of the underlying factors.
3.3. IClust Analysis
IClust analysis was performed to gain a better understanding of the internal structure of the constructed scale through the clustering of items [63]. The results of the analysis are illustrated in Figure 4.
Figure 4.
Results of the IClust analysis.
The dendrogram showing the results of the IClust analysis reveals that a total of 12 clusters were created, in which all the elements are included. The first clusters (1–2) measure attitudes towards products from poor countries (ECO7, ECO8) and the situation of overconsumption (ECO2, ECO3). Together with the food waste claim (ECO1), these clusters formed the higher order cluster 11. The other major branch of the clustering (Clusters 3–6) combines claims related to the environmental impacts of food production and transport, packaging, and water use (ECO9–ECO13). The larger clusters formed from these two main directions eventually led to cluster 12, which compresses all the claims; however, the β value of this cluster was lower, indicating low consistency of the elements within this cluster and overall heterogeneity [63]. While the β values were higher in the previous clusters, inclusion of the ECO5 claim weakened the value considerably, indicating that revision of this claim is required.
3.4. Item Parameters from Factor Analysis
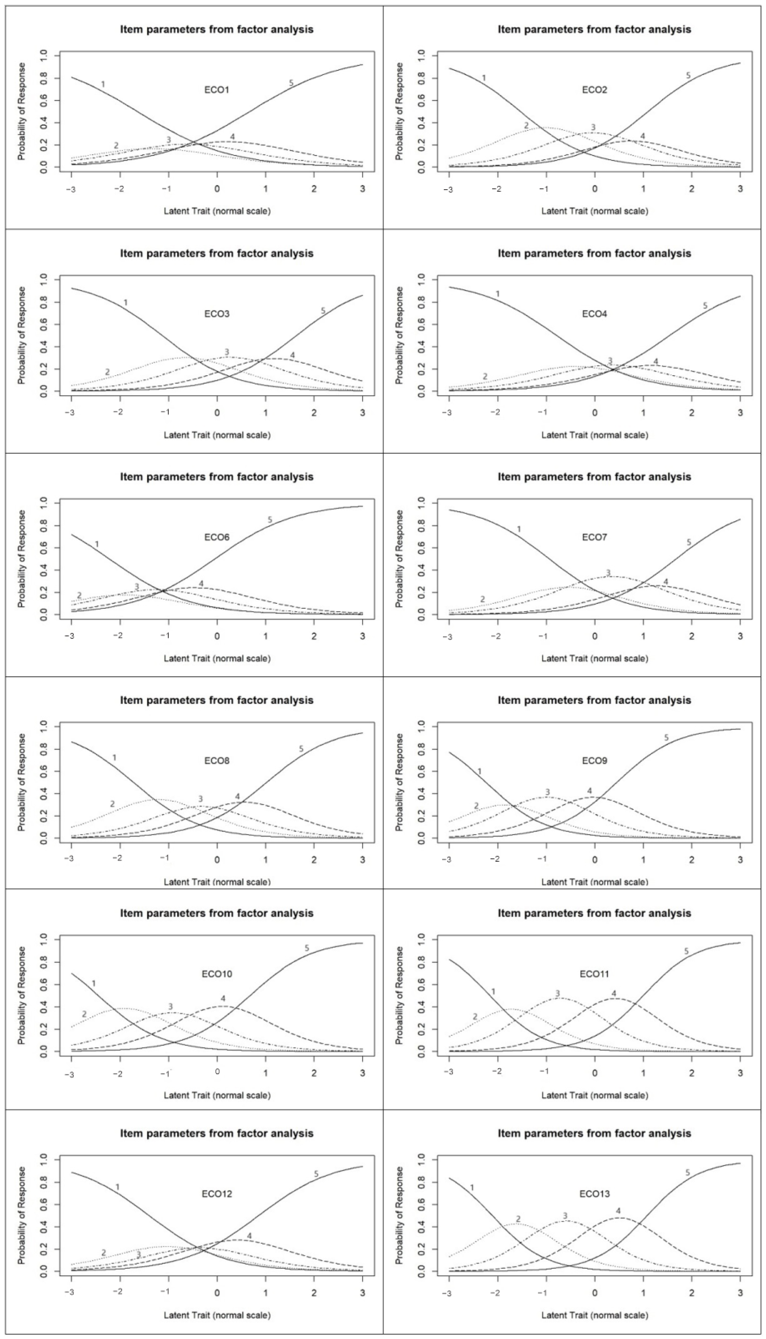
In order to determine the differences between respondents for each statement, an item parameters from factor analysis was also carried out [64]. This analysis helps to understand how each item contributes to understanding of the latent variable and how it differentiates respondents among the items. The results of the analysis are summarized in Figure 5.
Figure 5.
Item parameters from factor analysis. Response option items: 1—totally disagree, 2—disagree, 3—neutral, 4—agree, 5—totally agree.
The analysis omitted statement 5 from the outset, as this item was not classifiable in the factor analysis. Looking at the other statements, most were found to discriminate well between respondents, based on how they would respond to each item on a scale of 1–5, as a function of the latent variable (food eco-guilt). However, in several cases, we found that, although the extreme values were clear (those who do not have a food eco-guilt are very likely to give a value of 1 to a given item, while those who do are very likely to give a value of 5), the intermediate values did not sufficiently distinguish respondents in terms of the latent variable.
3.5. Item Information from Factor Analysis
For validation purposes, it is also important to determine the information content of each item and the ability to discriminate between respondents at different levels of the latent variable, which can be assessed using item information from factor analysis [61]. The results of this analysis are summarized in Figure 6.
Figure 6.
Results of the item information from factor analysis.
The curves in Figure 6 show the information content of each statement at different levels of the latent variable. An item is considered to be the most informative when the level of endorsement is at least 50% [64]. Based on these scale items, statements 1, 4, and 6 need to be further investigated to increase the effectiveness of the measurement, as these items were found to not adequately measure the differences between respondents at different levels of the latent variable.
3.6. Non-Parametric Tests
The Mokken scale analysis method [54] was used to validate the scale with non-parametric tests. In this section, we investigate the scale reliability, scalability coefficients, monotonicity, and the automated item selection procedure (AISP) analysis.
3.6.1. Reliability of the Scale
In the first analysis with the Mokken package, the reliability of the 13-item scale was tested using the Molenaar Sijtsma (MS) [65] indicators, in addition to the previously mentioned Cronbach’s alpha [58] and Guttman lambda 2 [66] indicators.
The values obtained are summarized in Table 6.
Table 6.
Reliability indicators determined in the non-parametric test analysis.
The values of the MS indicator reflect the scalability from a non-parametric point of view, as well as the internal consistency of the scale, which indicates good reliability when its value is above 0.7 [67]. Based on the Cronbach’s alpha and lambda 2 values, the scale is reliable. For Cronbach’s alpha, the previously mentioned cut-off value of 0.7 was also taken into account, and for lambda 2 [66], a value greater than 0.8 was considered acceptable.
3.6.2. Scalability Coefficients
An important part of Mokken scale analysis are the values of the scalability coefficients H. The values of the item–pair scalability coefficients (Hij), the item scalability coefficients (Hi), and the test scalability coefficient (H) are summarized in Table 7 and Table 8.
Table 7.
Item–pair scalability coefficients.
Table 8.
The item scalability coefficients (Hi) and the test scalability coefficient (H).
The different values of the scalability coefficients were evaluated based on the work of Van der Ark [68]. Based on the item–pair scalability coefficient values, it can be basically said that, as all values were in the positive range, none of them need to be excluded, and that values greater than 0.3 give positive feedback on scalability, in most cases. However, in several cases, the ECO5 statement showed a weak relationship with other items (with values less than 0.1), indicating that there are weak relationships between these pairs, and the response pattern is inconsistent.
An item scalability coefficient (Hi) greater than 0.3 may be considered acceptable in order to ensure that statements with too little explanatory power do not impair scalability [68]. In this case, item 5 should be highlighted, for which Hi took a value of 0.164.
Based on the test scalability coefficient (H) value, the constructed scale falls in the weak range (between 0.3 and 0.4).
3.6.3. Automated Item Selection Procedure (AISP)
In the AISP, the algorithm creates so-called Mokken scales from the generated scale, during which it can omit items from the original system of scales that cannot be scaled. This procedure yields a scale that satisfies the properties observed using the monotonic homogeneity model and which has sufficient explanatory power [68].
As explained by Koopman, Zijlstra and van der Ark [56], it is worthwhile to consider AISP analysis with increasing lower bound (c) values. Therefore, the results are summarized in Table 9, using different lower bound values.
Table 9.
Results of the automated item selection procedure (AISP).
From the results of the AISP analysis, it is clear at which values the scale diverges and which elements are omitted from the given classification. The AISP analysis and the preceding examination of scalability coefficients are related, and we have already described how the Hi values evolved. Given these results, it is not surprising that, even with a small lower bound (c), an element of scalability (ECO5) was dropped. Then, at a value of 0.25, the analysis split the system into two separate scales. The results indicate that the Hi coefficients of most items were above 0.3, indicating that the items were well correlated and fit the scale well. However, some items, such as ECO5, had a lower Hi coefficient, indicating a poor fit. This demonstrates that this item does not correlate well with the other items and, thus, weakens the reliability of the scale. Overall, while this analysis showed that the constructed scale is consistent and reliable, its level can be further improved through the removal of certain items, namely, ECO1, ECO4, ECO5, and ECO6.
3.6.4. Monotonicity Test
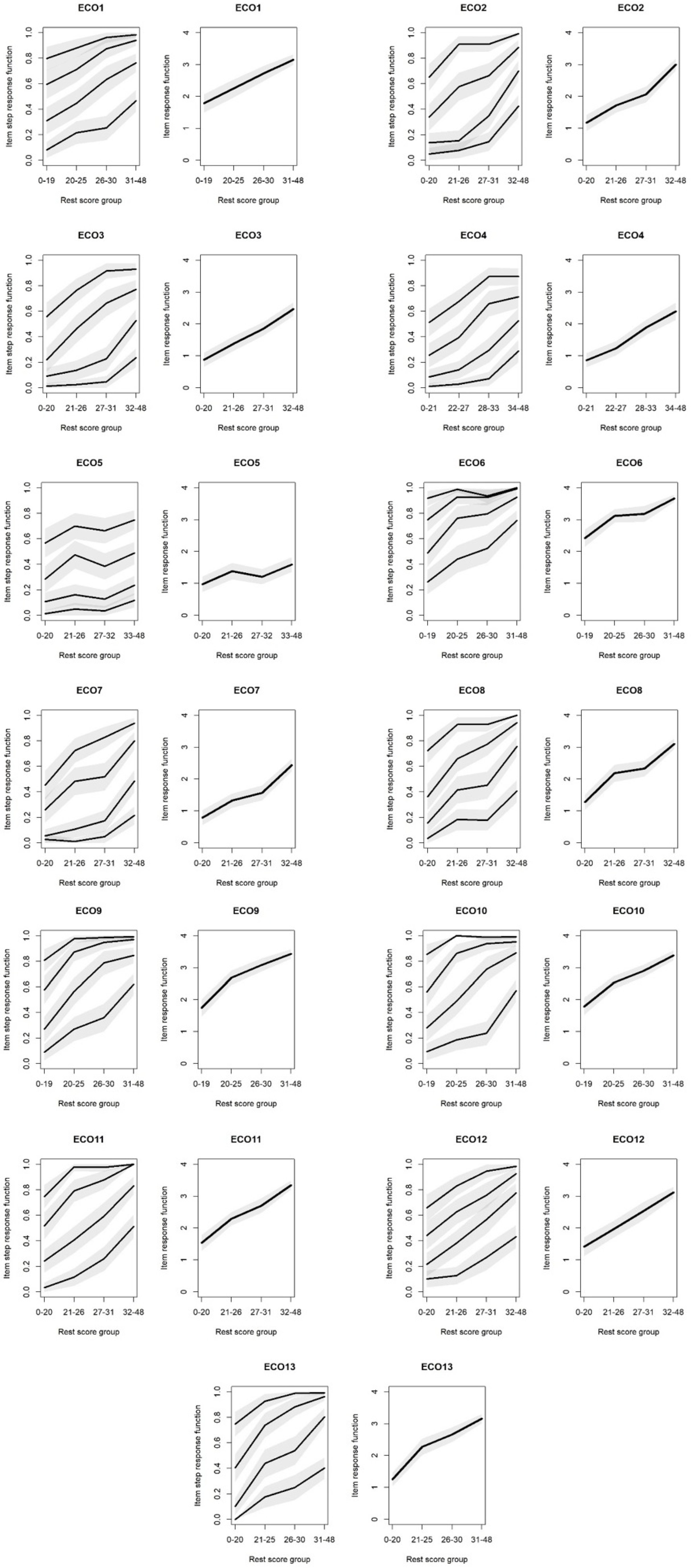
One of the conditions of the Mokken scale is that the monotonicity condition is satisfied. In the next section of our analysis, we examine the monotonicity of each element, the results of which are summarized in Figure 7.
Figure 7.
Results of the monotonicity test for each item. The left figure in case of each item indicates the item step response function (from bottom to the top the lines indicate the steps between the answers from totally disagree to disagree, from disagree to neutral, from neutral to agree, and from agree to totally agree), the right one indicated the item response function.
When testing for monotonicity, it is assumed that respondents who have a lower level of environmental guilt about food consumption (low ability level) are more likely to choose the lower response category, while those who have a higher level of environmental guilt are more likely to choose the higher response category.
The results presented in Figure 7 show that, in most cases, the monotonicity condition was satisfied, with the exception of a few items, and the responses increased in line with the values of the latent variable. In three cases, we found that this criterion was violated; namely, for items ECO5, ECO6 and ECO10. For ECO5 and ECO6, larger deviations were observed while, for ECO10, only a minimal decrease was seen in one case, followed by another increase. Based on these results, these three items did not meet the monotonicity criterion of Mokken scalability.
4. Discussion and Conclusions
In our research, we used parametric and non-parametric tests to examine the initial 13-item scale, which was framed based on relevant points of the Sustainable Development Goals (SDGs) developed by the United Nations. The results of the analysis revealed that the scale is a reliable and valid instrument for measuring ecological guilt related to food consumption. Overall, both the Cronbach’s alpha and omega values support its suitability. In addition to confirming the one-dimensionality of the model, the omega hierarchical factor analysis also takes into account the underlying factors and examines how the items fit into them. The ECO5 statement here, as in most cases, did not show a good fit, not connecting to any of the underlying factors, which highlights the fact that this statement stands out strongly from the others. The IClust analysis also confirmed that the scale measures one dimension; however, it is important to highlight here that the β value for the last cluster deteriorated considerably after the ECO5 statement was classified. When examining the individual items, in several cases, statement 5 (“I am overly averse to foods that are not common in our country but would help protect the environment”) was not suitable; thus, its omission and modification seem inevitable. The results of the Mokken scale analysis also support this claim: in the AISP analysis, it was already ruled out of the classification by the very first cut-off value. Furthermore, the non-parametric analyses showed that the scale is in the weak range based on the scalability coefficients value, which was strengthened after removing less suitable claims. Such claims were found in other non-parametric tests; three claims did not meet the monotonicity criterion, ECO5 and ECO6 violated this criterion to a greater extent, and ECO10 showed a cask-minimal deviation. In the latter case, since no issue was detected for other measurement criteria, we retained the claim. It is also necessary to fine-tune some other elements of the scale (ECO1, ECO4, and ECO6) in order to further increase the reliability and efficiency of the obtained measurements. Based on our results, the reduced form of the scale, which can be used to measure the food eco-guilt, is summarized in Table 10.
Table 10.
The food eco-guilt scale.
While the use of the reduced scale is recommended, the use of a 1–5-point scale should also be considered for future research. Although this research was not a representative survey and used convenience sampling, the findings that the intermediate items of the 1–5 scale do not sufficiently differentiate respondents in many cases cannot be ignored. The results show that, although the two endpoints of the scale, i.e., 1 (reflecting absolute disagreement with the item) and 5 (reflecting absolute agreement with the item), are capable of discriminating between respondents, the intermediate values yield flatter curves. Based on the item parameters from factor analysis, it is noticeable that the effect of eco-guilt as a latent variable is not significant for statements ECO1, ECO4 and ECO6, as indicated by the flatness of the curves for the intermediate values of the Likert scale (2–4). Based on our results, we would expect that a Likert scale ranging from 1 to 7 would allow for better results and better expression of the respondents’ opinions.
In future research, the proposed scale can greatly contribute to understanding and measuring the motivators of sustainable consumer behavior. Research on this aspect of consumer behavior will have the potential to incorporate a new element into models, which will help to better understand consumer motivators and how guilt is related to sustainable consumer behavior. It will also provide an opportunity to explore the importance of ecological guilt in relation to food consumption using a broad spectrum of methodological approaches.
Today, increasingly more research is focusing on the impact of eco-guilt as an important and significant factor influencing pro-environmental behavior. Several studies have measured eco-guilt from different aspects. Mallett’s [69] research measured eco-guilt with five items dealing with waste recycling, wastefulness, contribution to global warming, use of non-renewable energy and the knowledge that people could do more to minimize their environmental impact. Several studies on eco-guilt have studied these five elements further in other analyses (e.g., [70,71]). Nielsen and colleagues [34] took a similarly general approach in their research, focusing on understanding eco-guilt. Based on deductive and inductive methods, Ágoston and colleagues [33] created a twelve-item scale measuring consumer perceptions of and reactions to climate change and ecological crises (and the eco-guilt in connection with them). In their recent research, Zeier and Wessa [72] developed this further and created a German version of the scale. There are also many studies on the link between eco-guilt and tourism as a priority area [35,36,37,73]; however, research on food consumer behavior is less likely to focus specifically on eco-guilt, and this should be an important aspect of future research.
The results of our research also have limitations from multiple perspectives. First and foremost, the sample may be biased, as we collected data from one country and one segment of consumers using a convenience sampling method. Given the fact that the data were collected from students, a sample that explores the perspectives of other consumer groups may yield different results, which is important to consider in further research. Mallett [69] also points out at the end of his paper that, although this type of sampling is common in psychological research, its generalizability is limited, and the results obtained may vary for nonstudent consumer groups. It is, therefore, important for future research to test the scale on a larger sample (even as far as comparing several countries), so that the data obtained can be better generalized. Nevertheless, as our results show, the Likert scale ranging from 1 to 5 proved to be too narrow, and we could not distinguish between respondents in many respects. To overcome this, future research will need to broaden this range. A third limitation of this research is that, to the best of our knowledge, no other eco-guilt scale has been developed for food, so the proposed scale could not be compared with the results of other validations.
Author Contributions
Conceptualization, B.U.-P., Á.T. and Z.L.; methodology, B.U.-P.; validation, B.U.-P. and Z.L.; formal analysis, B.U.-P.; investigation, B.U.-P., Á.T. and Z.L.; writing—original draft preparation, B.U.-P.; writing—review and editing, Á.T. and Z.L.; visualization, B.U.-P.; supervision, Z.L.; funding acquisition, B.U.-P. and Á.T. All authors have read and agreed to the published version of the manuscript.
Funding
This research was supported by the ÚNKP-23-4 New National Excellence Program of The Ministry for Culture and Innovation from the source of the National Research, Development and Innovation Fund. It was funded by the Hungarian National Research, Development and Innovation Office—NKFIH (OTKA K 132915) “Development of system elements of linear-circular business transformations with using Big Data”.
Institutional Review Board Statement
The study was approved by the Interim Ethical Committee of the Hungarian University of Agriculture and Life Sciences, Doctoral School of Economic and Regional Sciences (protocol code 2/2024, 9 February 2024).
Informed Consent Statement
Not applicable.
Data Availability Statement
The data presented in this study are available on request from the corresponding author. The data are not publicly available due to ethical restrictions.
Conflicts of Interest
The authors declare no conflicts of interest. The funders had no role in the design of the study; in the collection, analyses, or interpretation of data; in the writing of the manuscript; or in the decision to publish the results.
References
- AlAmmar, W.A.; Albeesh, F.H.; Khattab, R.Y. Food and mood: The corresponsive effect. Curr. Nutr. Rep. 2020, 9, 296–308. [Google Scholar] [CrossRef] [PubMed]
- Aydin, H.; Eser, Z.; Korkmaz, S. The psychological effects of fast food consumption on body image emotions. Br. Food J. 2018, 120, 2236–2249. [Google Scholar] [CrossRef]
- Collins, R.; Stafford, L.D. Feeling happy and thinking about food. Counteractive effects of mood and memory on food consumption. Appetite 2015, 84, 107–112. [Google Scholar] [CrossRef] [PubMed]
- Haynes, P.; Podobsky, S. Guilt-free food consumption: One of your five ideologies a day. J. Consum. Mark. 2016, 33, 202–212. [Google Scholar] [CrossRef]
- Holder, M.D. The contribution of food consumption to well-being. Ann. Nutr. Metab. 2019, 74, 44–52. [Google Scholar] [CrossRef]
- europarl.europa.eu. The EU’s Organic Food Market: Facts and Rules (Infographic). Available online: https://www.europarl.europa.eu/topics/en/article/20180404STO00909/the-eu-s-organic-food-market-facts-and-rules-infographic (accessed on 23 June 2023).
- fairtrade.org.uk. Facts and Figures About Fairtrade. Available online: https://www.fairtrade.org.uk/what-is-fairtrade/facts-and-figures-about-fairtrade/ (accessed on 14 June 2023).
- Ritchie, H.; Rosado, P.; Roser, M. Environmental Impacts of Food Production. Available online: https://ourworldindata.org/environmental-impacts-of-food (accessed on 18 June 2023).
- Onwezen, M.C.; Bartels, J.; Antonides, G. The self-regulatory function of anticipated pride and guilt in a sustainable and healthy consumption context. Eur. J. Soc. Psychol. 2014, 44, 53–68. [Google Scholar] [CrossRef]
- Dedeoğlu, A.Ö.; Kazançoğlu, İ. Consumer guilt: A model of its antecedents and consequences. Ege Acad. Rev. 2012, 12, 9–22. [Google Scholar]
- Dedeoğlu, A.Ö.; Kazançoğlu, İ. The feelings of consumer guilt: A phenomenological exploration. J. Bus. Econ. Manag. 2010, 11, 462–482. [Google Scholar] [CrossRef][Green Version]
- Brennan, L.; Binney, W. Fear, guilt, and shame appeals in social marketing. J. Bus. Res. 2010, 63, 140–146. [Google Scholar] [CrossRef]
- Tangney, J.P.; Stuewig, J.; Mashek, D.J. Moral emotions and moral behavior. Annu. Rev. Psychol. 2007, 58, 345–372. [Google Scholar] [CrossRef]
- Steenhuis, I. Guilty or not? Feelings of guilt about food among college women. Appetite 2009, 52, 531–534. [Google Scholar] [CrossRef] [PubMed]
- Hagerman, C.J.; Ferrer, R.A.; Klein, W.M.; Persky, S. Association of parental guilt with harmful versus healthful eating and feeding from a virtual reality buffet. Health Psychol. 2020, 39, 199. [Google Scholar] [CrossRef] [PubMed]
- Pescud, M.; Pettigrew, S. I know it’s wrong, but...: A qualitative investigation of low-income parents’ feelings of guilt about their child-feeding practices. Matern. Child Nutr. 2014, 10, 422–435. [Google Scholar] [CrossRef] [PubMed]
- Coelho, J.S.; Carter, J.C.; McFarlane, T.; Polivy, J. Just looking at food makes me gain weight: Experimental induction of thought–shape fusion in eating-disordered and non-eating-disordered women. Behav. Res. Ther. 2008, 46, 219–228. [Google Scholar] [CrossRef] [PubMed]
- Goss, K.; Allan, S. Shame, pride and eating disorders. Clin. Psychol. Psychother. Int. J. Theory Pract. 2009, 16, 303–316. [Google Scholar] [CrossRef]
- Hur, J.; Jang, S.S. Anticipated guilt and pleasure in a healthy food consumption context. Int. J. Hosp. Manag. 2015, 48, 113–123. [Google Scholar] [CrossRef]
- McNamara, C.; Chur-Hansen, A.; Hay, P. Emotional responses to food in adults with an eating disorder: A qualitative exploration. Eur. Eat. Disord. Rev. Prof. J. Eat. Disord. Assoc. 2008, 16, 115–123. [Google Scholar] [CrossRef]
- Attiq, S.; Habib, M.D.; Kaur, P.; Hasni, M.J.S.; Dhir, A. Drivers of food waste reduction behaviour in the household context. Food Qual. Prefer. 2021, 94, 104300. [Google Scholar] [CrossRef]
- Habib, R.; White, K.; Hardisty, D.J.; Zhao, J. Shifting consumer behavior to address climate change. Curr. Opin. Psychol. 2021, 42, 108–113. [Google Scholar] [CrossRef]
- Kim, D.J.; Yoon, S. Guilt of the meat-eating consumer: When animal anthropomorphism leads to healthy meat dish choices. J. Consum. Psychol. 2021, 31, 665–683. [Google Scholar] [CrossRef]
- Piazza, J.; Ruby, M.B.; Loughnan, S.; Luong, M.; Kulik, J.; Watkins, H.M.; Seigerman, M. Rationalizing meat consumption. The 4Ns. Appetite 2015, 91, 114–128. [Google Scholar] [CrossRef] [PubMed]
- Wang, F.; Basso, F. “Animals are friends, not food”: Anthropomorphism leads to less favorable attitudes toward meat consumption by inducing feelings of anticipatory guilt. Appetite 2019, 138, 153–173. [Google Scholar] [CrossRef] [PubMed]
- Yacek, D.W. Anxiety, guilt and activism in teaching about climate change. In Creating Green Citizens: Bildung, Demokratie und der Klimawandel; Springer: Berlin/Heidelberg, Germany, 2022; pp. 115–134. [Google Scholar]
- Daly, A.N.; Kearney, J.M.; O’Sullivan, E.J. The underlying role of food guilt in adolescent food choice: A potential conceptual model for adolescent food choice negotiations under circumstances of conscious internal conflict. Appetite 2024, 192, 107094. [Google Scholar] [CrossRef] [PubMed]
- Yaremych, H.E.; Persky, S. Development and validation of the parental food choice guilt scale. Eur. J. Psychol. Assess. 2023. [Google Scholar] [CrossRef]
- Conradt, M.; Dierk, J.M.; Schlumberger, P.; Rauh, E.; Hebebrand, J.; Rief, W. Who copes well? Obesity-related coping and its associations with shame, guilt, and weight loss. J. Clin. Psychol. 2008, 64, 1129–1144. [Google Scholar] [CrossRef]
- Mishra, A.; Mishra, H. The influence of price discount versus bonus pack on the preference for virtue and vice foods. J. Mark. Res. 2011, 48, 196–206. [Google Scholar] [CrossRef]
- Nunkoo, R.; Bhadain, M.; Baboo, S. Household food waste: Attitudes, barriers and motivations. Br. Food J. 2021, 123, 2016–2035. [Google Scholar] [CrossRef]
- Yu, H.; Chambers IV, E.; Koppel, K. Exploration of the food-related guilt concept. J. Sens. Stud. 2021, 36, e12622. [Google Scholar] [CrossRef]
- Ágoston, C.; Urban, R.; Nagy, B.; Csaba, B.; Kőváry, Z.; Kovacs, K.; Varga, A.; Dull, A.; Monus, F.; Shaw, C.A. The psychological consequences of the ecological crisis: Three new questionnaires to assess eco-anxiety, eco-guilt, and ecological grief. Clim. Risk Manag. 2022, 37, 100441. [Google Scholar] [CrossRef]
- Nielsen, R.S.; Gamborg, C.; Lund, T.B. Eco-guilt and eco-shame in everyday life: An exploratory study of the experiences, triggers, and reactions. Front. Sustain. 2024, 5, 1357656. [Google Scholar] [CrossRef]
- Bahja, F.; Hancer, M. Eco-guilt in tourism: Do tourists intend to behave environmentally friendly and still revisit? J. Destin. Mark. Manag. 2021, 20, 100602. [Google Scholar] [CrossRef]
- Mkono, M.; Hughes, K. Eco-guilt and eco-shame in tourism consumption contexts: Understanding the triggers and responses. J. Sustain. Tour. 2020, 28, 1223–1244. [Google Scholar] [CrossRef]
- Ullah, S.; Lyu, B.; Ahmad, T.; Sami, A.; Kukreti, M. A mediated moderation model of eco-guilt, personal and social norms and religiosity triggering pro-environmental behavior in tourists. Curr. Psychol. 2024, 43, 6830–6839. [Google Scholar] [CrossRef]
- Antonetti, P.; Maklan, S. Exploring postconsumption guilt and pride in the context of sustainability. Psychol. Mark. 2014, 31, 717–735. [Google Scholar] [CrossRef]
- Russell, S.V.; Young, C.W.; Unsworth, K.L.; Robinson, C. Bringing habits and emotions into food waste behaviour. Resour. Conserv. Recycl. 2017, 125, 107–114. [Google Scholar] [CrossRef]
- Fernández-Ferrín, P.; Castro-González, S.; Bande, B.; Galán-Ladero, M.M. Drivers of consumer’s willingness to pay for fair trade food products: The role of positive and negative emotions. Int. Rev. Public Nonprofit Mark. 2024, 21, 131–154. [Google Scholar] [CrossRef]
- Nguyen, H.V.; Nguyen, N.; Nguyen, B.K.; Greenland, S. Sustainable food consumption: Investigating organic meat purchase intention by Vietnamese consumers. Sustainability 2021, 13, 953. [Google Scholar] [CrossRef]
- Kranzbühler, A.-M.; Schifferstein, H.N. The effect of meat-shaming on meat eaters’ emotions and intentions to adapt behavior. Food Qual. Prefer. 2023, 107, 104831. [Google Scholar] [CrossRef]
- Statista. Environmental Impacts of the Food Industry. Available online: https://www.statista.com/study/102117/environmental-impacts-of-the-food-industry/ (accessed on 18 October 2024).
- Golzar, J.; Noor, S.; Tajik, O. Convenience sampling. Int. J. Educ. Lang. Stud. 2022, 1, 72–77. [Google Scholar] [CrossRef]
- Guiné, R.P.; Florença, S.G.; Aparício, G.; Cardoso, A.P.; Ferreira, M. Food literacy scale: Validation through exploratory and confirmatory factor analysis in a sample of portuguese university students. Nutrients 2022, 15, 166. [Google Scholar] [CrossRef]
- Khan, M.J.; Zainab, A.; Shah, S.U.U.; Khan, M.B.; Wu, M.; Huo, J.; Zou, H.; Lin, Q. Cross-cultural adaptation, validation and reliability analysis of child food neophobia scale among Pakistani preschoolers. Food Qual. Prefer. 2024, 115, 105130. [Google Scholar] [CrossRef]
- Pandey, S.; Chawla, D. E-lifestyles of Indian online shoppers: A scale validation. J. Retail. Consum. Serv. 2014, 21, 1068–1074. [Google Scholar] [CrossRef]
- Zainab, A.; Khan, M.J.; Shah, S.U.U.; Wasila, H.; Shan, X.; Wang, T.; Xu, W.; Lin, Q. Adapting and validating the food neophobia scale for Pakistani mothers: Exploring the relationship between maternal and child food neophobia. Food Qual. Prefer. 2024, 120, 105236. [Google Scholar] [CrossRef]
- Boateng, G.O.; Neilands, T.B.; Frongillo, E.A.; Melgar-Quiñonez, H.R.; Young, S.L. Best practices for developing and validating scales for health, social, and behavioral research: A primer. Front. Public Health 2018, 6, 149. [Google Scholar] [CrossRef]
- UN. The 17 GOALS. Available online: https://sdgs.un.org/goals (accessed on 5 June 2024).
- Kusmaryono, I.; Wijayanti, D.; Maharani, H.R. Number of Response Options, Reliability, Validity, and Potential Bias in the Use of the Likert Scale Education and Social Science Research: A Literature Review. Int. J. Educ. Methodol. 2022, 8, 625–637. [Google Scholar] [CrossRef]
- Risjord, M.W.; Dunbar, S.B.; Moloney, M.F. A new foundation for methodological triangulation. J. Nurs. Scholarsh. 2002, 34, 269–275. [Google Scholar] [CrossRef]
- Revelle, W. Psych: Procedures for Psychological, Psychometric, and Personality Research. R Package Version. 2023. Available online: http://personality-project.org/r/psych/HowTo/psych_manual.pdf (accessed on 23 September 2024).
- Van der Ark, L.A.; Koopman, L.; Straat, J.H.; van den Bergh, D. Package ‘Mokken’. Available online: https://cran.r-project.org/web/packages/mokken/mokken.pdf (accessed on 5 May 2024).
- Kuijpers, R.E.; Van der Ark, L.A.; Croon, M.A. Standard errors and confidence intervals for scalability coefficients in Mokken scale analysis using marginal models. Sociol. Methodol. 2013, 43, 42–69. [Google Scholar] [CrossRef]
- Koopman, L.; Zijlstra, B.J.; van der Ark, L.A. A two-step, test-guided Mokken scale analysis, for nonclustered and clustered data. Qual. Life Res. 2022, 31, 25–36. [Google Scholar] [CrossRef]
- Gogtay, N.J.; Thatte, U.M. Principles of correlation analysis. J. Assoc. Physicians India 2017, 65, 78–81. [Google Scholar]
- Cronbach, L.J. Coefficient alpha and the internal structure of tests. Psychometrika 1951, 16, 297–334. [Google Scholar] [CrossRef]
- Kline, P. Handbook of Psychological Testing, 2nd ed.; Routledge: Oxford, UK, 1999. [Google Scholar]
- Dollfus, S.; Letourneur, F.; Métivier, L.; Moulier, V.; Rothärmel, M. Self-assessment scale of auditory verbal hallucinations (SAVH): A novel tool for patients with schizophrenia. Schizophr. Res. 2024, 267, 19–23. [Google Scholar] [CrossRef] [PubMed]
- Revelle, W. An Introduction to the Psych Package: Part II Scale Construction and Psychometrics; Northwestern University: Evanston, IL, USA, 2024. [Google Scholar]
- Nájera Catalán, H.E. Reliability, population classification and weighting in multidimensional poverty measurement: A Monte Carlo study. Soc. Indic. Res. 2019, 142, 887–910. [Google Scholar] [CrossRef]
- Revelle, W. ICLUST: A cluster analytic approach to exploratory and confirmatory scale construction. Behav. Res. Methods Instrum. 1978, 10, 739–742. [Google Scholar] [CrossRef]
- Revelle, W. How to: Use the Psych Package for Factor Analysis and Data Reduction; Northwestern University, Department of Psychology: Evanston, IL, USA, 2016. [Google Scholar]
- Molenaar, I.; Sijtsma, K. Internal consistency and reliability in Mokken’s nonparametric item response model. Tijdschr. Voor Onderwijsres. 1984, 9, 257–268. [Google Scholar]
- Guttman, L. A basis for analyzing test-retest reliability. Psychometrika 1945, 10, 255–282. [Google Scholar] [CrossRef]
- Fieo, R.; Manly, J.J.; Schupf, N.; Stern, Y. Functional status in the young–old: Establishing a working prototype of an extended-instrumental activities of daily living scale. J. Gerontol. Ser. A Biomed. Sci. Med. Sci. 2014, 69, 766–772. [Google Scholar] [CrossRef]
- Van der Ark, L. New developments in Mokken scale analysis in R. J. Stat. Softw. 2012, 48, 1–27. [Google Scholar] [CrossRef]
- Mallett, R.K. Eco-guilt motivates eco-friendly behavior. Ecopsychology 2012, 4, 223–231. [Google Scholar] [CrossRef]
- Luo, Y.; Hanson-Wright, B.; Dowlatabadi, H.; Zhao, J. How does personalized feedback on carbon emissions impact intended climate action? Environ. Dev. Sustain. 2023, 1–15. [Google Scholar] [CrossRef]
- Moore, M.M.; Yang, J.Z. Using eco-guilt to motivate environmental behavior change. Environ. Commun. 2020, 14, 522–536. [Google Scholar] [CrossRef]
- Zeier, P.; Wessa, M. Measuring eco-emotions: A German version of questionnaires on eco-guilt, ecological grief, and eco-anxiety. Discov. Sustain. 2024, 5, 29. [Google Scholar] [CrossRef]
- Chen, X.; Cheng, Z.; Yang, H. Empowering pro-environmental behavior in tourists through digital media: The influence of eco-guilt and empathy with nature. Front. Psychol. 2024, 15, 1387817. [Google Scholar] [CrossRef] [PubMed]
Disclaimer/Publisher’s Note: The statements, opinions and data contained in all publications are solely those of the individual author(s) and contributor(s) and not of MDPI and/or the editor(s). MDPI and/or the editor(s) disclaim responsibility for any injury to people or property resulting from any ideas, methods, instructions or products referred to in the content. |
© 2024 by the authors. Licensee MDPI, Basel, Switzerland. This article is an open access article distributed under the terms and conditions of the Creative Commons Attribution (CC BY) license (https://creativecommons.org/licenses/by/4.0/).






