Towards Understanding the Motivators of Sustainable Consumer Behavior—Validation of the Food Eco-Guilt Scale †
Abstract
1. Introduction
2. Materials and Methods
Data Analysis
3. Results
3.1. Test of Cronbach’s Alpha
3.2. Omega Hierarchical Factor Analysis
3.3. IClust Analysis
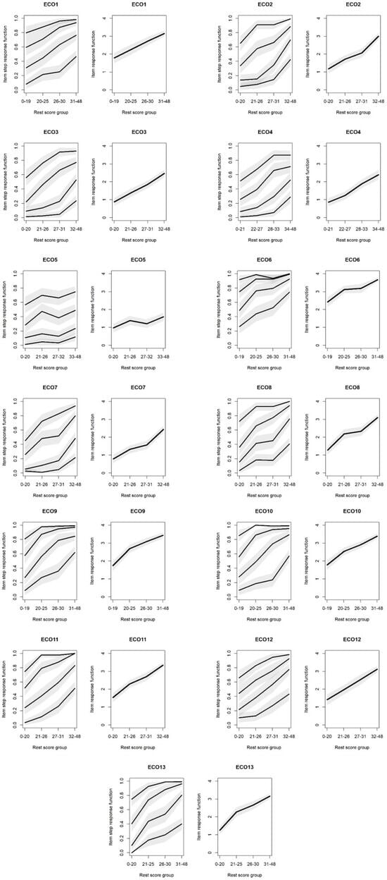
3.4. Item Parameters from Factor Analysis
3.5. Item Information from Factor Analysis
3.6. Non-Parametric Tests
3.6.1. Reliability of the Scale
3.6.2. Scalability Coefficients
3.6.3. Automated Item Selection Procedure (AISP)
3.6.4. Monotonicity Test
4. Discussion and Conclusions
Author Contributions
Funding
Institutional Review Board Statement
Informed Consent Statement
Data Availability Statement
Conflicts of Interest
References
- AlAmmar, W.A.; Albeesh, F.H.; Khattab, R.Y. Food and mood: The corresponsive effect. Curr. Nutr. Rep. 2020, 9, 296–308. [Google Scholar] [CrossRef] [PubMed]
- Aydin, H.; Eser, Z.; Korkmaz, S. The psychological effects of fast food consumption on body image emotions. Br. Food J. 2018, 120, 2236–2249. [Google Scholar] [CrossRef]
- Collins, R.; Stafford, L.D. Feeling happy and thinking about food. Counteractive effects of mood and memory on food consumption. Appetite 2015, 84, 107–112. [Google Scholar] [CrossRef] [PubMed]
- Haynes, P.; Podobsky, S. Guilt-free food consumption: One of your five ideologies a day. J. Consum. Mark. 2016, 33, 202–212. [Google Scholar] [CrossRef]
- Holder, M.D. The contribution of food consumption to well-being. Ann. Nutr. Metab. 2019, 74, 44–52. [Google Scholar] [CrossRef]
- europarl.europa.eu. The EU’s Organic Food Market: Facts and Rules (Infographic). Available online: https://www.europarl.europa.eu/topics/en/article/20180404STO00909/the-eu-s-organic-food-market-facts-and-rules-infographic (accessed on 23 June 2023).
- fairtrade.org.uk. Facts and Figures About Fairtrade. Available online: https://www.fairtrade.org.uk/what-is-fairtrade/facts-and-figures-about-fairtrade/ (accessed on 14 June 2023).
- Ritchie, H.; Rosado, P.; Roser, M. Environmental Impacts of Food Production. Available online: https://ourworldindata.org/environmental-impacts-of-food (accessed on 18 June 2023).
- Onwezen, M.C.; Bartels, J.; Antonides, G. The self-regulatory function of anticipated pride and guilt in a sustainable and healthy consumption context. Eur. J. Soc. Psychol. 2014, 44, 53–68. [Google Scholar] [CrossRef]
- Dedeoğlu, A.Ö.; Kazançoğlu, İ. Consumer guilt: A model of its antecedents and consequences. Ege Acad. Rev. 2012, 12, 9–22. [Google Scholar]
- Dedeoğlu, A.Ö.; Kazançoğlu, İ. The feelings of consumer guilt: A phenomenological exploration. J. Bus. Econ. Manag. 2010, 11, 462–482. [Google Scholar] [CrossRef][Green Version]
- Brennan, L.; Binney, W. Fear, guilt, and shame appeals in social marketing. J. Bus. Res. 2010, 63, 140–146. [Google Scholar] [CrossRef]
- Tangney, J.P.; Stuewig, J.; Mashek, D.J. Moral emotions and moral behavior. Annu. Rev. Psychol. 2007, 58, 345–372. [Google Scholar] [CrossRef]
- Steenhuis, I. Guilty or not? Feelings of guilt about food among college women. Appetite 2009, 52, 531–534. [Google Scholar] [CrossRef] [PubMed]
- Hagerman, C.J.; Ferrer, R.A.; Klein, W.M.; Persky, S. Association of parental guilt with harmful versus healthful eating and feeding from a virtual reality buffet. Health Psychol. 2020, 39, 199. [Google Scholar] [CrossRef] [PubMed]
- Pescud, M.; Pettigrew, S. I know it’s wrong, but...: A qualitative investigation of low-income parents’ feelings of guilt about their child-feeding practices. Matern. Child Nutr. 2014, 10, 422–435. [Google Scholar] [CrossRef] [PubMed]
- Coelho, J.S.; Carter, J.C.; McFarlane, T.; Polivy, J. Just looking at food makes me gain weight: Experimental induction of thought–shape fusion in eating-disordered and non-eating-disordered women. Behav. Res. Ther. 2008, 46, 219–228. [Google Scholar] [CrossRef] [PubMed]
- Goss, K.; Allan, S. Shame, pride and eating disorders. Clin. Psychol. Psychother. Int. J. Theory Pract. 2009, 16, 303–316. [Google Scholar] [CrossRef]
- Hur, J.; Jang, S.S. Anticipated guilt and pleasure in a healthy food consumption context. Int. J. Hosp. Manag. 2015, 48, 113–123. [Google Scholar] [CrossRef]
- McNamara, C.; Chur-Hansen, A.; Hay, P. Emotional responses to food in adults with an eating disorder: A qualitative exploration. Eur. Eat. Disord. Rev. Prof. J. Eat. Disord. Assoc. 2008, 16, 115–123. [Google Scholar] [CrossRef]
- Attiq, S.; Habib, M.D.; Kaur, P.; Hasni, M.J.S.; Dhir, A. Drivers of food waste reduction behaviour in the household context. Food Qual. Prefer. 2021, 94, 104300. [Google Scholar] [CrossRef]
- Habib, R.; White, K.; Hardisty, D.J.; Zhao, J. Shifting consumer behavior to address climate change. Curr. Opin. Psychol. 2021, 42, 108–113. [Google Scholar] [CrossRef]
- Kim, D.J.; Yoon, S. Guilt of the meat-eating consumer: When animal anthropomorphism leads to healthy meat dish choices. J. Consum. Psychol. 2021, 31, 665–683. [Google Scholar] [CrossRef]
- Piazza, J.; Ruby, M.B.; Loughnan, S.; Luong, M.; Kulik, J.; Watkins, H.M.; Seigerman, M. Rationalizing meat consumption. The 4Ns. Appetite 2015, 91, 114–128. [Google Scholar] [CrossRef] [PubMed]
- Wang, F.; Basso, F. “Animals are friends, not food”: Anthropomorphism leads to less favorable attitudes toward meat consumption by inducing feelings of anticipatory guilt. Appetite 2019, 138, 153–173. [Google Scholar] [CrossRef] [PubMed]
- Yacek, D.W. Anxiety, guilt and activism in teaching about climate change. In Creating Green Citizens: Bildung, Demokratie und der Klimawandel; Springer: Berlin/Heidelberg, Germany, 2022; pp. 115–134. [Google Scholar]
- Daly, A.N.; Kearney, J.M.; O’Sullivan, E.J. The underlying role of food guilt in adolescent food choice: A potential conceptual model for adolescent food choice negotiations under circumstances of conscious internal conflict. Appetite 2024, 192, 107094. [Google Scholar] [CrossRef] [PubMed]
- Yaremych, H.E.; Persky, S. Development and validation of the parental food choice guilt scale. Eur. J. Psychol. Assess. 2023. [Google Scholar] [CrossRef]
- Conradt, M.; Dierk, J.M.; Schlumberger, P.; Rauh, E.; Hebebrand, J.; Rief, W. Who copes well? Obesity-related coping and its associations with shame, guilt, and weight loss. J. Clin. Psychol. 2008, 64, 1129–1144. [Google Scholar] [CrossRef]
- Mishra, A.; Mishra, H. The influence of price discount versus bonus pack on the preference for virtue and vice foods. J. Mark. Res. 2011, 48, 196–206. [Google Scholar] [CrossRef]
- Nunkoo, R.; Bhadain, M.; Baboo, S. Household food waste: Attitudes, barriers and motivations. Br. Food J. 2021, 123, 2016–2035. [Google Scholar] [CrossRef]
- Yu, H.; Chambers IV, E.; Koppel, K. Exploration of the food-related guilt concept. J. Sens. Stud. 2021, 36, e12622. [Google Scholar] [CrossRef]
- Ágoston, C.; Urban, R.; Nagy, B.; Csaba, B.; Kőváry, Z.; Kovacs, K.; Varga, A.; Dull, A.; Monus, F.; Shaw, C.A. The psychological consequences of the ecological crisis: Three new questionnaires to assess eco-anxiety, eco-guilt, and ecological grief. Clim. Risk Manag. 2022, 37, 100441. [Google Scholar] [CrossRef]
- Nielsen, R.S.; Gamborg, C.; Lund, T.B. Eco-guilt and eco-shame in everyday life: An exploratory study of the experiences, triggers, and reactions. Front. Sustain. 2024, 5, 1357656. [Google Scholar] [CrossRef]
- Bahja, F.; Hancer, M. Eco-guilt in tourism: Do tourists intend to behave environmentally friendly and still revisit? J. Destin. Mark. Manag. 2021, 20, 100602. [Google Scholar] [CrossRef]
- Mkono, M.; Hughes, K. Eco-guilt and eco-shame in tourism consumption contexts: Understanding the triggers and responses. J. Sustain. Tour. 2020, 28, 1223–1244. [Google Scholar] [CrossRef]
- Ullah, S.; Lyu, B.; Ahmad, T.; Sami, A.; Kukreti, M. A mediated moderation model of eco-guilt, personal and social norms and religiosity triggering pro-environmental behavior in tourists. Curr. Psychol. 2024, 43, 6830–6839. [Google Scholar] [CrossRef]
- Antonetti, P.; Maklan, S. Exploring postconsumption guilt and pride in the context of sustainability. Psychol. Mark. 2014, 31, 717–735. [Google Scholar] [CrossRef]
- Russell, S.V.; Young, C.W.; Unsworth, K.L.; Robinson, C. Bringing habits and emotions into food waste behaviour. Resour. Conserv. Recycl. 2017, 125, 107–114. [Google Scholar] [CrossRef]
- Fernández-Ferrín, P.; Castro-González, S.; Bande, B.; Galán-Ladero, M.M. Drivers of consumer’s willingness to pay for fair trade food products: The role of positive and negative emotions. Int. Rev. Public Nonprofit Mark. 2024, 21, 131–154. [Google Scholar] [CrossRef]
- Nguyen, H.V.; Nguyen, N.; Nguyen, B.K.; Greenland, S. Sustainable food consumption: Investigating organic meat purchase intention by Vietnamese consumers. Sustainability 2021, 13, 953. [Google Scholar] [CrossRef]
- Kranzbühler, A.-M.; Schifferstein, H.N. The effect of meat-shaming on meat eaters’ emotions and intentions to adapt behavior. Food Qual. Prefer. 2023, 107, 104831. [Google Scholar] [CrossRef]
- Statista. Environmental Impacts of the Food Industry. Available online: https://www.statista.com/study/102117/environmental-impacts-of-the-food-industry/ (accessed on 18 October 2024).
- Golzar, J.; Noor, S.; Tajik, O. Convenience sampling. Int. J. Educ. Lang. Stud. 2022, 1, 72–77. [Google Scholar] [CrossRef]
- Guiné, R.P.; Florença, S.G.; Aparício, G.; Cardoso, A.P.; Ferreira, M. Food literacy scale: Validation through exploratory and confirmatory factor analysis in a sample of portuguese university students. Nutrients 2022, 15, 166. [Google Scholar] [CrossRef]
- Khan, M.J.; Zainab, A.; Shah, S.U.U.; Khan, M.B.; Wu, M.; Huo, J.; Zou, H.; Lin, Q. Cross-cultural adaptation, validation and reliability analysis of child food neophobia scale among Pakistani preschoolers. Food Qual. Prefer. 2024, 115, 105130. [Google Scholar] [CrossRef]
- Pandey, S.; Chawla, D. E-lifestyles of Indian online shoppers: A scale validation. J. Retail. Consum. Serv. 2014, 21, 1068–1074. [Google Scholar] [CrossRef]
- Zainab, A.; Khan, M.J.; Shah, S.U.U.; Wasila, H.; Shan, X.; Wang, T.; Xu, W.; Lin, Q. Adapting and validating the food neophobia scale for Pakistani mothers: Exploring the relationship between maternal and child food neophobia. Food Qual. Prefer. 2024, 120, 105236. [Google Scholar] [CrossRef]
- Boateng, G.O.; Neilands, T.B.; Frongillo, E.A.; Melgar-Quiñonez, H.R.; Young, S.L. Best practices for developing and validating scales for health, social, and behavioral research: A primer. Front. Public Health 2018, 6, 149. [Google Scholar] [CrossRef]
- UN. The 17 GOALS. Available online: https://sdgs.un.org/goals (accessed on 5 June 2024).
- Kusmaryono, I.; Wijayanti, D.; Maharani, H.R. Number of Response Options, Reliability, Validity, and Potential Bias in the Use of the Likert Scale Education and Social Science Research: A Literature Review. Int. J. Educ. Methodol. 2022, 8, 625–637. [Google Scholar] [CrossRef]
- Risjord, M.W.; Dunbar, S.B.; Moloney, M.F. A new foundation for methodological triangulation. J. Nurs. Scholarsh. 2002, 34, 269–275. [Google Scholar] [CrossRef]
- Revelle, W. Psych: Procedures for Psychological, Psychometric, and Personality Research. R Package Version. 2023. Available online: http://personality-project.org/r/psych/HowTo/psych_manual.pdf (accessed on 23 September 2024).
- Van der Ark, L.A.; Koopman, L.; Straat, J.H.; van den Bergh, D. Package ‘Mokken’. Available online: https://cran.r-project.org/web/packages/mokken/mokken.pdf (accessed on 5 May 2024).
- Kuijpers, R.E.; Van der Ark, L.A.; Croon, M.A. Standard errors and confidence intervals for scalability coefficients in Mokken scale analysis using marginal models. Sociol. Methodol. 2013, 43, 42–69. [Google Scholar] [CrossRef]
- Koopman, L.; Zijlstra, B.J.; van der Ark, L.A. A two-step, test-guided Mokken scale analysis, for nonclustered and clustered data. Qual. Life Res. 2022, 31, 25–36. [Google Scholar] [CrossRef]
- Gogtay, N.J.; Thatte, U.M. Principles of correlation analysis. J. Assoc. Physicians India 2017, 65, 78–81. [Google Scholar]
- Cronbach, L.J. Coefficient alpha and the internal structure of tests. Psychometrika 1951, 16, 297–334. [Google Scholar] [CrossRef]
- Kline, P. Handbook of Psychological Testing, 2nd ed.; Routledge: Oxford, UK, 1999. [Google Scholar]
- Dollfus, S.; Letourneur, F.; Métivier, L.; Moulier, V.; Rothärmel, M. Self-assessment scale of auditory verbal hallucinations (SAVH): A novel tool for patients with schizophrenia. Schizophr. Res. 2024, 267, 19–23. [Google Scholar] [CrossRef] [PubMed]
- Revelle, W. An Introduction to the Psych Package: Part II Scale Construction and Psychometrics; Northwestern University: Evanston, IL, USA, 2024. [Google Scholar]
- Nájera Catalán, H.E. Reliability, population classification and weighting in multidimensional poverty measurement: A Monte Carlo study. Soc. Indic. Res. 2019, 142, 887–910. [Google Scholar] [CrossRef]
- Revelle, W. ICLUST: A cluster analytic approach to exploratory and confirmatory scale construction. Behav. Res. Methods Instrum. 1978, 10, 739–742. [Google Scholar] [CrossRef]
- Revelle, W. How to: Use the Psych Package for Factor Analysis and Data Reduction; Northwestern University, Department of Psychology: Evanston, IL, USA, 2016. [Google Scholar]
- Molenaar, I.; Sijtsma, K. Internal consistency and reliability in Mokken’s nonparametric item response model. Tijdschr. Voor Onderwijsres. 1984, 9, 257–268. [Google Scholar]
- Guttman, L. A basis for analyzing test-retest reliability. Psychometrika 1945, 10, 255–282. [Google Scholar] [CrossRef]
- Fieo, R.; Manly, J.J.; Schupf, N.; Stern, Y. Functional status in the young–old: Establishing a working prototype of an extended-instrumental activities of daily living scale. J. Gerontol. Ser. A Biomed. Sci. Med. Sci. 2014, 69, 766–772. [Google Scholar] [CrossRef]
- Van der Ark, L. New developments in Mokken scale analysis in R. J. Stat. Softw. 2012, 48, 1–27. [Google Scholar] [CrossRef]
- Mallett, R.K. Eco-guilt motivates eco-friendly behavior. Ecopsychology 2012, 4, 223–231. [Google Scholar] [CrossRef]
- Luo, Y.; Hanson-Wright, B.; Dowlatabadi, H.; Zhao, J. How does personalized feedback on carbon emissions impact intended climate action? Environ. Dev. Sustain. 2023, 1–15. [Google Scholar] [CrossRef]
- Moore, M.M.; Yang, J.Z. Using eco-guilt to motivate environmental behavior change. Environ. Commun. 2020, 14, 522–536. [Google Scholar] [CrossRef]
- Zeier, P.; Wessa, M. Measuring eco-emotions: A German version of questionnaires on eco-guilt, ecological grief, and eco-anxiety. Discov. Sustain. 2024, 5, 29. [Google Scholar] [CrossRef]
- Chen, X.; Cheng, Z.; Yang, H. Empowering pro-environmental behavior in tourists through digital media: The influence of eco-guilt and empathy with nature. Front. Psychol. 2024, 15, 1387817. [Google Scholar] [CrossRef] [PubMed]







| Category | Sub-Category | n | % |
|---|---|---|---|
| Gender | Male | 131 | 35.69 |
| Female | 233 | 63.49 | |
| Non-binary | 3 | 0.82 | |
| Age | 18–25 | 304 | 82.83 |
| 26–35 | 35 | 9.54 | |
| 36–45 | 16 | 4.36 | |
| 46–55 | 9 | 2.45 | |
| 56 or above | 3 | 0.82 | |
| Highest education | Technical school | 3 | 0.82 |
| High school | 298 | 81.20 | |
| University degree | 66 | 17.98 | |
| Place of living | Capital | 132 | 35.97 |
| Capital agglomeration | 64 | 17.44 | |
| Rural (‘non-agglomeration’) town | 114 | 31.06 | |
| Village/community outside the agglomeration | 57 | 15.53 | |
| Perception of income | Very tight | 8 | 2.18 |
| Tight | 24 | 6.54 | |
| Average | 176 | 47.95 | |
| Good | 132 | 35.97 | |
| Very good | 27 | 7.36 |
| Scale Items | Related SDG |
|---|---|
| I often think about how many people in this world are starving when we throw food out (ECO1) | No poverty, zero hunger |
| We consume far more calories than we need and others have nothing to eat (ECO2) | Zero hunger, good health and well-being |
| We eat special food and drink, while others go without it (ECO3) | No poverty, zero hunger, reduced inequalities |
| We use too much water to prepare our food (ECO4) | Responsible consumption and production |
| I am overly averse to foods that are not common in our country but would help protect the environment (ECO5) | Responsible consumption and production |
| We use too much packaging for our products (ECO6) | Responsible consumption and production |
| Poor countries’ agricultural products do not reach European consumers, so they cannot develop (ECO7) | Reduced inequalities, good health and well-being, |
| Products from poor countries are often produced with undue exploitation of workers (ECO8) | No poverty, reduced inequalities |
| We are ruining our environment (e.g., deforesting rainforests) to produce more food (ECO9) | Life on land, climate action |
| Too many chemicals are used in agricultural production (ECO10) | Life on land, clean water and sanitation |
| Food production and transport emit too many harmful (greenhouse) gases (ECO11) | Life on land, climate action |
| If we continue fishing in the sea at this rate, there will not be enough fish left in the sea (ECO12) | Clean water and sanitation, life below water |
| The transport and storage of food brought from faraway places an unjustified burden on the environment (ECO13) | Climate action |
| Raw Alpha | Std. Alpha | G6 (smc) | Average_r | Mean | sd |
|---|---|---|---|---|---|
| 0.86 | 0.86 | 0.87 | 0.32 | 3.3 | 0.75 |
| Raw Alpha | Std. Alpha | |
|---|---|---|
| ECO1 | 0.86 | 0.86 |
| ECO2 | 0.85 | 0.85 |
| ECO3 | 0.85 | 0.85 |
| ECO4 | 0.85 | 0.85 |
| ECO5 | 0.87 | 0.87 |
| ECO6 | 0.86 | 0.86 |
| ECO7 | 0.85 | 0.85 |
| ECO8 | 0.85 | 0.85 |
| ECO9 | 0.85 | 0.85 |
| ECO10 | 0.85 | 0.85 |
| ECO11 | 0.85 | 0.85 |
| ECO12 | 0.85 | 0.85 |
| ECO13 | 0.85 | 0.85 |
| 1 | 2 | 3 | 4 | 5 | |
|---|---|---|---|---|---|
| ECO1 | 0.08 | 0.11 | 0.23 | 0.29 | 0.29 |
| ECO2 | 0.12 | 0.23 | 0.27 | 0.17 | 0.21 |
| ECO3 | 0.19 | 0.25 | 0.28 | 0.18 | 0.10 |
| ECO4 | 0.26 | 0.23 | 0.24 | 0.16 | 0.11 |
| ECO5 | 0.32 | 0.26 | 0.25 | 0.11 | 0.06 |
| ECO6 | 0.04 | 0.06 | 0.15 | 0.24 | 0.51 |
| ECO7 | 0.23 | 0.21 | 0.31 | 0.15 | 0.10 |
| ECO8 | 0.10 | 0.20 | 0.23 | 0.25 | 0.22 |
| ECO9 | 0.06 | 0.09 | 0.21 | 0.27 | 0.37 |
| ECO10 | 0.04 | 0.12 | 0.22 | 0.31 | 0.31 |
| ECO11 | 0.07 | 0.12 | 0.27 | 0.29 | 0.25 |
| ECO12 | 0.13 | 0.16 | 0.20 | 0.26 | 0.25 |
| ECO13 | 0.08 | 0.15 | 0.26 | 0.28 | 0.23 |
| MS (Rho) | Cronbach α | Lambda 2 |
|---|---|---|
| 0.8658515 | 0.8615167 | 0.8658474 |
| ECO1 | ECO2 | ECO3 | ECO4 | ECO5 | ECO6 | ECO7 | ECO8 | ECO9 | ECO10 | ECO11 | ECO12 | ECO13 | |
|---|---|---|---|---|---|---|---|---|---|---|---|---|---|
| ECO1 | 0.466 (0.044) | 0.420 (0.047) | 0.215 (0.057) | 0.096 (0.062) | 0.334 (0.058) | 0.321 (0.055) | 0.287 (0.056) | 0.308 (0.054) | 0.292 (0.053) | 0.312 (0.053) | 0.226 (0.057) | 0.383 (0.053) | |
| ECO2 | 0.466 (0.044) | 0.560 (0.044) | 0.327 (0.054) | 0.265 (0.057) | 0.343 (0.057) | 0.507 (0.047) | 0.405 (0.050) | 0.302 (0.054) | 0.339 (0.055) | 0.353 (0.056) | 0.352 (0.051) | 0.391 (0.054) | |
| ECO3 | 0.420 (0.047) | 0.560 (0.044) | 0.447 (0.049) | 0.284 (0.058) | 0.304 (0.056) | 0.466 (0.049) | 0.369 (0.054) | 0.327 (0.058) | 0.323 (0.053) | 0.289 (0.055) | 0.304 (0.054) | 0.362 (0.055) | |
| ECO4 | 0.215 (0.057) | 0.327 (0.054) | 0.447 (0.049) | 0.229 (0.057) | 0.358 (0.057) | 0.341 (0.054) | 0.327 (0.053) | 0.407 (0.052) | 0.361 (0.050) | 0.329 (0.050) | 0.397 (0.049) | 0.412 (0.051) | |
| ECO5 | 0.096 (0.062) | 0.265 (0.057) | 0.284 (0.058) | 0.229 (0.057) | 0.095 (0.069) | 0.281 (0.061) | 0.205 (0.057) | 0.024 (0.063) | 0.082 (0.063) | 0.099 (0.063) | 0.090 (0.060) | 0.139 (0.063) | |
| ECO6 | 0.334 (0.058) | 0.343 (0.057) | 0.304 (0.056) | 0.358 (0.057) | 0.095 (0.069) | 0.213 (0.063) | 0.303 (0.057) | 0.418 (0.059) | 0.441 (0.054) | 0.453 (0.056) | 0.277 (0.059) | 0.439 (0.055) | |
| ECO7 | 0.321 (0.055) | 0.507 (0.047) | 0.466 (0.049) | 0.341 (0.054) | 0.281 (0.061) | 0.213 (0.063) | 0.573 (0.043) | 0.277 (0.060) | 0.350 (0.059) | 0.400 (0.050) | 0.318 (0.055) | 0.351 (0.055) | |
| ECO8 | 0.287 (0.056) | 0.405 (0.050) | 0.369 (0.054) | 0.327 (0.053) | 0.205 (0.057) | 0.303 (0.057) | 0.573 (0.043) | 0.443 (0.050) | 0.396 (0.057) | 0.431 (0.051) | 0.282 (0.053) | 0.459 (0.050) | |
| ECO9 | 0.308 (0.054) | 0.302 (0.054) | 0.327 (0.058) | 0.407 (0.052) | 0.024 (0.063) | 0.418 (0.059) | 0.277 (0.060) | 0.443 (0.050) | 0.475 (0.049) | 0.591 (0.044) | 0.554 (0.045) | 0.517 (0.049) | |
| ECO10 | 0.292 (0.053) | 0.339 (0.055) | 0.323 (0.053) | 0.361 (0.050) | 0.082 (0.063) | 0.441 (0.054) | 0.350 (0.059) | 0.396 (0.057) | 0.475 (0.049) | 0.579 (0.047) | 0.428 (0.051) | 0.506 (0.050) | |
| ECO11 | 0.312 (0.053) | 0.353 (0.056) | 0.289 (0.055) | 0.329 (0.050) | 0.099 (0.063) | 0.453 (0.056) | 0.400 (0.050) | 0.431 (0.051) | 0.591 (0.044) | 0.579 (0.047) | 0.469 (0.047) | 0.574 (0.043) | |
| ECO12 | 0.226 (0.057) | 0.352 (0.051) | 0.304 (0.054) | 0.397 (0.049) | 0.090 (0.060) | 0.277 (0.059) | 0.318 (0.055) | 0.282 (0.053) | 0.554 (0.045) | 0.428 (0.051) | 0.469 (0.047) | 0.413 (0.051) | |
| ECO13 | 0.383 (0.053) | 0.391 (0.054) | 0.362 (0.055) | 0.412 (0.051) | 0.139 (0.063) | 0.439 (0.055) | 0.351 (0.055) | 0.459 (0.050) | 0.517 (0.049) | 0.506 (0.050) | 0.574 (0.043) | 0.413 (0.051) |
| Hi | H | |
|---|---|---|
| ECO1 | 0.307 (0.032) | 0.354 (0.025) |
| ECO2 | 0.385 (0.030) | |
| ECO3 | 0.375 (0.031) | |
| ECO4 | 0.346 (0.031) | |
| ECO5 | 0.164 (0.039) | |
| ECO6 | 0.335 (0.036) | |
| ECO7 | 0.371 (0.031) | |
| ECO8 | 0.373 (0.030) | |
| ECO9 | 0.391 (0.032) | |
| ECO10 | 0.383 (0.032) | |
| ECO11 | 0.407 (0.028) | |
| ECO12 | 0.343 (0.030) | |
| ECO13 | 0.413 (0.028) |
| Item | Lower Bound (c) | |||||||||||
|---|---|---|---|---|---|---|---|---|---|---|---|---|
| 0.00 | 0.05 | 0.10 | 0.15 | 0.20 | 0.25 | 0.30 | 0.35 | 0.40 | 0.45 | 0.50 | 0.55 | |
| 1 | 1 | 1 | 1 | 1 | 1 | 2 | 0 | 0 | 0 | 0 | 0 | 0 |
| 2 | 1 | 1 | 1 | 1 | 1 | 2 | 2 | 3 | 3 | 0 | 0 | 0 |
| 3 | 1 | 1 | 1 | 1 | 1 | 2 | 2 | 3 | 3 | 0 | 0 | 0 |
| 4 | 1 | 1 | 1 | 1 | 1 | 1 | 0 | 0 | 0 | 0 | 0 | 0 |
| 5 | 1 | 0 | 0 | 0 | 0 | 0 | 0 | 0 | 0 | 0 | 0 | 0 |
| 6 | 1 | 1 | 1 | 1 | 1 | 1 | 0 | 0 | 0 | 0 | 0 | 0 |
| 7 | 1 | 1 | 1 | 1 | 1 | 2 | 2 | 2 | 2 | 0 | 0 | 0 |
| 8 | 1 | 1 | 1 | 1 | 1 | 1 | 2 | 2 | 2 | 0 | 0 | 0 |
| 9 | 1 | 1 | 1 | 1 | 1 | 1 | 1 | 1 | 1 | 1 | 0 | 0 |
| 10 | 1 | 1 | 1 | 1 | 1 | 1 | 1 | 1 | 0 | 0 | 0 | 0 |
| 11 | 1 | 1 | 1 | 1 | 1 | 1 | 1 | 1 | 1 | 1 | 0 | 0 |
| 12 | 1 | 1 | 1 | 1 | 1 | 1 | 1 | 0 | 0 | 0 | 0 | 0 |
| 13 | 1 | 1 | 1 | 1 | 1 | 1 | 1 | 1 | 1 | 0 | 0 | 0 |
| Scale Items |
|---|
| We consume far more calories than we need and others have nothing to eat (ECO2) |
| We eat special food and drink, while others go without it (ECO3) |
| Poor countries’ agricultural products do not reach European consumers, so they cannot develop (ECO7) |
| Products from poor countries are often produced with undue exploitation of workers (ECO8) |
| We are ruining our environment (e.g., deforesting rainforests) to produce more food (ECO9) |
| Too many chemicals are used in agricultural production (ECO10) |
| Food production and transport emit too many harmful (greenhouse) gases (ECO11) |
| If we continue fishing in the sea at this rate, there will not be enough fish left in the sea (ECO12) |
| The transport and storage of food brought from faraway places an unjustified burden on the environment (ECO13) |
Disclaimer/Publisher’s Note: The statements, opinions and data contained in all publications are solely those of the individual author(s) and contributor(s) and not of MDPI and/or the editor(s). MDPI and/or the editor(s) disclaim responsibility for any injury to people or property resulting from any ideas, methods, instructions or products referred to in the content. |
© 2024 by the authors. Licensee MDPI, Basel, Switzerland. This article is an open access article distributed under the terms and conditions of the Creative Commons Attribution (CC BY) license (https://creativecommons.org/licenses/by/4.0/).
Share and Cite
Unger-Plasek, B.; Temesi, Á.; Lakner, Z. Towards Understanding the Motivators of Sustainable Consumer Behavior—Validation of the Food Eco-Guilt Scale. Nutrients 2024, 16, 3695. https://doi.org/10.3390/nu16213695
Unger-Plasek B, Temesi Á, Lakner Z. Towards Understanding the Motivators of Sustainable Consumer Behavior—Validation of the Food Eco-Guilt Scale. Nutrients. 2024; 16(21):3695. https://doi.org/10.3390/nu16213695
Chicago/Turabian StyleUnger-Plasek, Brigitta, Ágoston Temesi, and Zoltán Lakner. 2024. "Towards Understanding the Motivators of Sustainable Consumer Behavior—Validation of the Food Eco-Guilt Scale" Nutrients 16, no. 21: 3695. https://doi.org/10.3390/nu16213695
APA StyleUnger-Plasek, B., Temesi, Á., & Lakner, Z. (2024). Towards Understanding the Motivators of Sustainable Consumer Behavior—Validation of the Food Eco-Guilt Scale. Nutrients, 16(21), 3695. https://doi.org/10.3390/nu16213695

