Polyphenol Supplementation and Antioxidant Status in Athletes: A Narrative Review
Abstract
1. Introduction
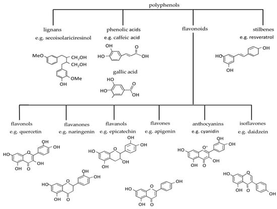
1.1. What Are Polyphenols?
1.2. Importance of Research on Polyphenol-Based Dietary Supplements
2. Properties of Polyphenol-Based Dietary Supplements
2.1. Polyphenols, Oxidative Stress, and Inflammation
2.2. Polyphenols Bioavailability
2.3. The Intake of Phenolic Compounds in an Average Daily Diet
2.4. Polyphenols Delivery
3. Oxidative Stress and Athletic Antioxidant Status
3.1. ROS in Working Muscles
3.2. Physical Activity, Oxidative Stress and Antioxidant Status
3.3. Physical Activity, Stress Hormones, Oxidative Stress and Antioxidant Status
3.4. Dietary Polyphenols and Protocol Considerations
3.5. Polyphenols Antioxidant Intervention and Antioxidant Status in Athletes
| Author and Date, Sport | Participant Characteristics | Polyphenols Supplement | Exercise Protocol | Results | Conclusions |
|---|---|---|---|---|---|
| Jówko et al., 2015 [11], sprint | randomized double-blinded study; male sprinters aged 21.6 ± 1.5 years (n = 16); | green tea extract (980 mg of PP/day taken as four capsules daily) (n = 8) or placebo treatment (n = 8) for 4 weeks | double cycle sprint test on a bicycle ergometer with submaximal load up to 130–150 heartbeats/min | significantly increased blood MDA, TAC and SOD in the placebo group and CK activity in both groups tested after exercise; P intake increased resting TAC levels, decreased post-exercise SOD and MDA | treatment with P prevents exercise-induced oxidative stress, but prevention of exercise-induced muscle oxidative damage or improvement in sprint performance were not identified |
| Jówko et al., 2012 [12], soccer | randomized double-blinded placebo-controlled design; soccer players aged 22.9 ± 5.5 years (n = 16) | green tea PP (640 mg /day taken as two capsules) (n = 8) or placebo (n = 8) administered 2 h after breakfast | muscular endurance test: three sets of two strength exercises (bench press, back press, squat) to exhaustion with a load of 60% 1RM | significantly increased levels of TBARS, uric acid, TAS, CK and total catechins after exercise in both groups | green tea PP supplementation did not affect oxidative stress |
| Morillas-Ruiz et al., 2006, [270], cycling | controlled double-blinded clinical trial; male cyclists aged 23.6 ±0.9 years (n = 60); | a beverage (black grape, raspberry, red currant) containing (2.3 g PP/trial) (n = 30) as opposed to placebo-treated (n = 30) | submaximal 90 min aerobic exercise on a bicycle ergometer at 70% VO2max | no significant changes in plasma TAS levels in either group after exercise; lower increases in CK and TBARS in the supplemented group compared with the control group; decreased content of carbonyl groups in the PP-treated group | supplementing with PP can protect against oxidative stress caused by physical exertion |
| Allgrove et al., 2011 [308]; cycling | randomized controlled trial in regularly exercising men aged 22 ± 4 years (n = 20) | 40 g of dark chocolate containing 98.7 mg PP (n = 10), twice daily and once 2 h before training for 2 weeks, versus control group (n = 10) | cycling for 90 min with varying VO2max from 60 to 90% for 30 s every 10 min, followed by this activity to exhaustion at 90% VO2max | significantly lower blood levels of F2-isoprostans during fatigue and after 1 h recovery; oxidized LDL before and after exercise; increased FFA levels in the supplemented group; no significant effect on IL-6, IL-10, IL-1Ra, glucose, glucagon, insulin and cortisol levels, and time to exhaustion | dark chocolate supplementation reduced some oxidative stress markers and increased free fatty acid mobilization post-workout |
| Sadowska-Krępa et al., 2008 [311]; swimming | male physical education students (n = 14) | three capsules of 390 mg/day of red grape skin extract (188 mg/g PP plus 35 mg/g anthocyanidins) (n = 9) three times a day for 6 weeks versus placebo (n = 5) | interval swim test of moderate to high intensity (six repetitions of 50 m) | significantly reduced CK activity, increased GSH, uric acid, TAS in plasma and increased swimming performance, minor changes in antioxidant enzymes (SOD, CAT, GPX, GR) | red grape skin supplementation in sports training improved hemodynamic status and performance, and had little effect on antioxidant defense system activity |
| Bell et al.l., 2014 [312], cycling | randomised controlled trial; male trained cyclists aged 30 ± 8 years; (n = 16) | 30 mL of Montmorency cherry concentrate (274 mg of anthocyanins) twice daily for 7 days (n = 8) as opposed to a placebo (n = 8) | a 109-min high-intensity, stochastic cycling trial on a cycle ergometer on days 5, 6, and 7 | significant reduction of lipid hydroperoxides in the cherry concentrate | lipid peroxidation was reduced with Montmorency cherry concentrate supplementation |
| Bell et al.l., 2015 [313], cycling | randomised controlled trial; male trained cyclists aged 30 ± 8 years; (n = 16) | 30 mL of Montmorency cherry concentrate (276 mg of anthocyanins) twice daily for 8 days (n = 8) as opposed to a placebo (n = 8) | a 109-min high-intensity, stochastic cycling trial on a cycle ergometer on day 5 | no change in plasma markers of damage (CK and lipid hydroperoxides) | oxidative stress was attenuated with Montmorency cherry concentrate supplementation |
| Levers et al., 2015, running [310] | randomised controlled trial; resistance trained males aged 20.9 ± 2.6 years (n = 23) | 480 mg of powdered Montmorency cherry (n = 11) versus placebo (n = 12) × 1 per day for 10 days | 10 sets of 10 back squats with a barbell at 70% 1RM | no change in plasma marker of oxidative damage (TBARS, MDA, TAS, SOD) compared with placebo | supplementation with Montmorency cherry powder did not change markers of oxidative stress, lipid peroxidation, or antioxidant activity |
| McCormick et al., 2016 [314], water polo | double-blinded crossover trial; trained male water polo players (n = 9) aged 18.6 ±1.4 years | 30 mL Montmorency cherry concentrate (274 mg anthocyanins) in the morning and 60 mL of the concentrate (547 mg anthocyanins) in the evening for 6 days; no data regarding the number of participants under treatment or taking placebo | simulated water polo team game | no change in plasma F2-isoprostanes between supplement and control groups | supplementing with cherry juice did not affect oxidative stress |
| Lafay et al., 2009 [266], jumping | randomized, double-blind crossover design; elite male athletes aged 21.6 ± 2 (n = 9) | 400 mg/day of grape extract (2 capsule/day; total polyphenol content >90%; gallic acid equivalents not shown) for 1 month; no data regarding the number of participants taking a supplement or placebo | jumps | antioxidant capacity (ORAC) increased and no change in SOD or CAT, GPx in treated group versus control GPx decreased in the placebo | grape extract maintained a healthy balance between oxidative stress and antioxidant status throughout competition period |
| Nieman et al., 2013 [315], running | randomized, double-blinded crossover design; male or female runners aged 19–45 years (n = 31) | 20 g blueberry polyphenol–soy protein complex (2136 mg/d gallic acid equivalents); (n = 16) twice a day for 17 days versus placebo (n = 15) | 2.5 h/day running bouts | PC did not differ between groups; no change in F2-isoprostanes | no apparent benefit in the polyphenol–soy protein complex group |
| Author and Date, Sport | Participant Characteristics | Polyphenols Supplement | Exercise Protocol | Results | Conclusions |
|---|---|---|---|---|---|
| Decroix et al., 2017 [324] cycling | crossover trial; trained male cyclists aged 30 ± 3 years (n = 12) | 900 mg cocoa flavanols 1.5 h and 3 h pre-exercise (low PP diet consumed 24 h pre-exercise); number of participants in the PP or placebo group not provided | two cycling time-trials (each lasting 30 min at 75% of peak power output) with a passive recovery period of 100 min | increased TAC (corrected for uric acid); no change in plasma MDA | acute cocoa flavanol intake had minimal effects on exercise-induced oxidative stress |
| Yarahmadi et al., 2014 [325], treadmill running | double-blinded clinical trial; male and female athletes (n = 54) aged 24.96 ± 7.37 and 22.82 ± 6.84 years | 100 mg supplemental anthocyanin pills; a 28-day supplementation of a single dose of 10 mL/kg/day before the run; no data regarding the number of participants under treatment or taking placebo | incremental graded Bruce protocol | no change in CK; no change in LDH | supplementation with anthocyanin in athletes might improve some indices of performance rather than oxidative stress |
| McAnulty et al., 2013 [326], running | double-blinded crossover trial; trained males aged 18–40 years (n = 14) | 120 mg resveratrol and 225 mg quercetin for 6 days and 240 mg resveratrol and 450 mg quercetin on day 7 immediately prior to exercise; number of participants in the PP or placebo group not provided | 1 h run at a 3% grade, approximately 80% VO2max | post-exercise PC, FRAP, ORAC, and TEAC significantly increased but not affected by PP treatment; a significant reduction in the post-exercise F2- isoprostanes in the PP group | resveratrol and quercetin supplementation attenuates post-exercise oxidative stress by reducing F2-isoprostanes |
| Giuriato et al. 2022 [327], cycling | single-blinded, crossover trial; physically active males aged 22.3 ± 3.6 years (n = 10) | capsaicin supplements (n = 3); 0.957 mg capsaicin/tablet versus control fiber supplements; 2 × 390 mg of capsaicin capsules; number of participants in the PP or placebo group not provided | a maximal incremental test using an ergometer | redox-related effects not analyzed | antioxidant potential suggested due to attenuation of the development of peripheral fatigue |
4. Conclusions and Future Perspectives
Author Contributions
Funding
Institutional Review Board Statement
Informed Consent Statement
Conflicts of Interest
References
- Olszowy, M. What Is Responsible for Antioxidant Properties of Polyphenolic Compounds from Plants? Plant Physiol. Biochem. 2019, 144, 135–143. [Google Scholar] [CrossRef] [PubMed]
- Powers, S.K.; Deminice, R.; Ozdemir, M.; Yoshihara, T.; Bomkamp, M.P.; Hyatt, H. Exercise-Induced Oxidative Stress: Friend or Foe? J. Sport Health Sci. 2020, 9, 415–425. [Google Scholar] [CrossRef] [PubMed]
- Hadžović-Džuvo, A.; Valjevac, A.; Lepara, O.; Pjanić, S.; Hadžimuratović, A.; Mekić, A. Oxidative Stress Status in Elite Athletes Engaged in Different Sport Disciplines. Bosn. J. Basic Med. Sci. 2014, 14, 56–62. [Google Scholar] [CrossRef][Green Version]
- Radak, Z.; Powers, S.K. Introduction to Special Topic on Exercise and Oxidative Stress. J. Sport Health Sci. 2020, 9, 385. [Google Scholar] [CrossRef]
- Le Gal, K.; Schmidt, E.E.; Sayin, V.I. Cellular Redox Homeostasis. Antioxidants 2021, 10, 1377. [Google Scholar] [CrossRef]
- Sorrenti, V.; Fortinguerra, S.; Caudullo, G.; Buriani, A. Deciphering the Role of Polyphenols in Sports Performance: From Nutritional Genomics to the Gut Microbiota toward Phytonutritional Epigenomics. Nutrients 2020, 12, 1265. [Google Scholar] [CrossRef]
- Hadi, A.; Pourmasoumi, M.; Kafeshani, M.; Karimian, J.; Maracy, M.R.; Hasan Entezari, M. The Effect of Green Tea and Sour Tea (Hibiscus sabdariffa L.) Supplementation on Oxidative Stress and Muscle Damage in Athletes. J. Diet Suppl. 2017, 14, 346–357. [Google Scholar] [CrossRef]
- Panza, V.S.P.; Wazlawik, E.; Schütz, G.R.; Comin, L.; Hecht, K.C.; da Silva, E.L. Consumption of Green Tea Favorably Affects Oxidative Stress Markers in Weight-Trained Men. Nutrition 2008, 24, 433–442. [Google Scholar] [CrossRef]
- Visioli, F.; de la Lastra, C.A.; Andres-Lacueva, C.; Aviram, M.; Calhau, C.; Cassano, A.; D’Archivio, M.; Faria, A.; Favé, G.; Fogliano, V.; et al. Polyphenols and Human Health: A Prospectus. Crit. Rev. Food Sci. Nutr. 2011, 51, 524–546. [Google Scholar] [CrossRef]
- Gomez-Cabrera, M.C.; Ristow, M.; Viña, J. Antioxidant Supplements in Exercise: Worse than Useless? Am. J. Physiol. Endocrinol. Metab. 2012, 302, 476–477. [Google Scholar] [CrossRef]
- Jówko, E.; Długołęcka, B.; Makaruk, B.; Cieśliński, I. The Effect of Green Tea Extract Supplementation on Exercise-Induced Oxidative Stress Parameters in Male Sprinters. Nutr. Res. 2015, 54, 783–791. [Google Scholar] [CrossRef]
- Jówko, E.; Sacharuk, J.; Balasinska, B.; Wilczak, J.; Charmas, M.; Ostaszewski, P.; Charmas, R. Effect of a Single Dose of Green Tea Polyphenols on the Blood Markers of Exercise-Induced Oxidative Stress in Soccer Players. Int. J. Sport Nutr. Exerc. Metab. 2012, 22, 486–496. [Google Scholar] [CrossRef]
- Tsao, J.P.; Liu, C.C.; Wang, H.F.; Bernard, J.R.; Huang, C.C.; Cheng, I.S. Oral Resveratrol Supplementation Attenuates Exercise-Induced Interleukin-6 but Not Oxidative Stress after a High Intensity Cycling Challenge in Adults. J. Med. Sci. 2021, 18, 2137–2145. [Google Scholar] [CrossRef]
- Stankiewicz, B.; Cieślicka, M.; Kujawski, S.; Piskorska, E.; Kowalik, T.; Korycka, J.; Skarpańska-Stejnborn, A. Effects of Antioxidant Supplementation on Oxidative Stress Balance in Young Footballers- a Randomized Double-Blind Trial. J. Int. Soc. Sport Nut. 2021, 18, 44. [Google Scholar] [CrossRef]
- Moss, G.P.; Smith, P.A.S.; Tavernier, D. Glossary of Class Names of Organic Compounds and Reactive Intermediates Based on Structure (IUPAC Recommendations 1995). Pure Appl. Chem. 1995, 67, 1307–1375. [Google Scholar] [CrossRef]
- Liebecq, C. IUPAC-IUBMB Joint Commission on Biochemical Nomenclature (JCBN) and Nomenclature Committee of IUBMB (NC-IUBMB): Newsletter. J. Mol. Biol. 1998, 275, 527–537. [Google Scholar]
- Kessler, A.; Kalske, A. Plant Secondary Metabolite Diversity and Species Interactions. Annu. Rev. Ecol. Evol. Syst. 2018, 49, 115–138. [Google Scholar] [CrossRef]
- Sharma, A.; Shahzad, B.; Rehman, A.; Bhardwaj, R.; Landi, M.; Zheng, B. Response of Phenylpropanoid Pathway and the Role of Polyphenols in Plants under Abiotic Stress. Molecules 2019, 24, 2452. [Google Scholar] [CrossRef]
- Bubna, G.A.; Lima, R.B.; Zanardo, D.Y.L.; dos Santos, W.D.; Ferrarese, M.d.L.L.; Ferrarese-Filho, O. Exogenous Caffeic Acid Inhibits the Growth and Enhances the Lignification of the Roots of Soybean (Glycine Max). J. Plant Physiol. 2011, 168, 1627–1633. [Google Scholar] [CrossRef]
- L Weir, T.; Park, S.-W.; Vivanco, M.J. Biochemical and Physiological Mechanisms Mediated by Allelochemicals. Curr. Opin. Plant Biol. 2004, 7, 472–479. [Google Scholar] [CrossRef]
- Cheng, F.; Cheng, Z. Research Progress on the Use of Plant Allelopathy in Agriculture and the Physiological and Ecological Mechanisms of Allelopathy. Front. Plant Sci. 2015, 6, 01020. [Google Scholar] [CrossRef] [PubMed]
- Ghimire, B.K.; Ghimire, B.; Yu, C.Y.; Chung, I.M. Allelopathic and Autotoxic Effects of Medicago Sativa—Derived Allelochemicals. Plants 2019, 8, 233. [Google Scholar] [CrossRef] [PubMed]
- Mishra, R.P.N.; Singh, R.K.; Jaiswal, H.K.; Kumar, V.; Maurya, S. Rhizobium-Mediated Induction of Phenolics and Plant Growth Promotion in Rice (Oryza sativa L.). Curr Microbiol 2006, 52, 383–389. [Google Scholar] [CrossRef]
- Halvorson, J.J.; Schmidt, M.A.; Hagerman, A.E.; Gonzalez, J.M.; Liebig, M.A. Reduction of Soluble Nitrogen and Mobilization of Plant Nutrients in Soils from U.S Northern Great Plains Agroecosystems by Phenolic Compounds. Soil Biol. Biochem. 2016, 94, 211–221. [Google Scholar] [CrossRef]
- Pandey, K.B.; Rizvi, S.I. Plant Polyphenols as Dietary Antioxidants in Human Health and Disease. Oxid. Med. Cell. Longev. 2009, 2, 270–278. [Google Scholar] [CrossRef] [PubMed]
- Beconcini, D.; Felice, F.; Fabiano, A.; Sarmento, B.; Zambito, Y.; Di Stefano, R. Antioxidant and Anti-Inflammatory Properties of Cherry Extract: Nanosystems-Based Strategies to Improve Endothelial Function and Intestinal Absorption. Foods 2020, 9, 207. [Google Scholar] [CrossRef] [PubMed]
- Sakakibara, H.; Honda, Y.; Nakagawa, S.; Ashida, H.; Kanazawa, K. Simultaneous Determination of All Polyphenols in Vegetables, Fruits, and Teas. Agric. Food Chem. 2003, 51, 571–581. [Google Scholar] [CrossRef]
- Kowalczewski, P.Ł.; Radzikowska, D.; Ivanišová, E.; Szwengiel, A.; Kačániová, M.; Sawinska, Z. Influence of Abiotic Stress Factors on the Antioxidant Properties and Polyphenols Profile Composition of Green Barley (Hordeum vulgare L.). Int. J. Mol. Sci. 2020, 21, 397. [Google Scholar] [CrossRef]
- Gómez-Martínez, H.; Gil-Muñoz, F.; Bermejo, A.; Zuriaga, E.; Badenes, M.L. Insights of Phenolic Pathway in Fruits: Transcriptional and Metabolic Profiling in Apricot (Prunus armeniaca). Int. J. Mol. Sci. 2021, 22, 3411. [Google Scholar] [CrossRef]
- Rossi, L.; Borghi, M.; Francini, A.; Lin, X.; Xie, D.Y.; Sebastiani, L. Salt Stress Induces Differential Regulation of the Phenylpropanoid Pathway in Olea Europaea Cultivars Frantoio (Salt-Tolerant) and Leccino (Salt-Sensitive). J. Plant Physiol. 2016, 204, 8–15. [Google Scholar] [CrossRef]
- Sarker, U.; Islam, M.T.; Oba, S. Salinity Stress Accelerates Nutrients, Dietary Fiber, Minerals, Phytochemicals and Antioxidant Activity in Amaranthus Tricolor Leaves. PLoS ONE 2019, 13, e0206388. [Google Scholar] [CrossRef] [PubMed]
- Cho, B.O.; Che, D.N.; Kim, J.S.; Kim, J.H.; Shin, J.Y.; Kang, H.J.; Jang, S.I. In Vitro Anti-Inflammatory and Anti-Oxidative Stress Activities of Kushenol C Isolated from the Roots of Sophora Flavescens. Molecules 2020, 25, 1768. [Google Scholar] [CrossRef] [PubMed]
- Oke, I.M.; Ramorobi, L.M.; Mashele, S.S.; Bonnet, S.L.; Makhafola, T.J.; Eze, K.C.; Noreljaleel, A.E.M.; Chukwuma, C.I. Vanillic Acid–Zn(II) Complex: A Novel Complex with Antihyperglycaemic and Anti-Oxidative Activity. J. Pharm. Pharmacol. 2021, 73, 1703–1714. [Google Scholar] [CrossRef]
- Zheng, W.; Wang, S.Y. Antioxidant Activity and Phenolic Compounds in Selected Herbs. J. Agric. Food Chem. 2001, 49, 5165–5170. [Google Scholar] [CrossRef]
- Dumanović, J.; Nepovimova, E.; Natić, M.; Kuča, K.; Jaćević, V. The Significance of Reactive Oxygen Species and Antioxidant Defense System in Plants: A Concise Overview. Front. Plant Sci. 2021, 11, 552969. [Google Scholar] [CrossRef]
- Kiani, R.; Arzani, A.; Mirmohammady Maibody, S.A.M. Polyphenols, Flavonoids, and Antioxidant Activity Involved in Salt Tolerance in Wheat, Aegilops Cylindrica and Their Amphidiploids. Front. Plant. Sci. 2021, 12, 646221. [Google Scholar] [CrossRef]
- Şirin, S.; Aslım, B. Determination of Antioxidant Capacity, Phenolic Acid Composition and Antiproliferative Effect Associated with Phenylalanine Ammonia Lyase (PAL) Activity in Some Plants Naturally Growing under Salt Stress. Med. Chem. Res. 2019, 28, 229–238. [Google Scholar] [CrossRef]
- Singla, R.K.; Dubey, A.K.; Garg, A.; Sharma, R.K.; Fiorino, M.; Ameen, S.M.; Haddad, M.A.; Al-Hiary, M. Natural Polyphenols: Chemical Classification, Definition of Classes, Subcategories, and Structures. J. AOAC Int. 2019, 102, 1397–1400. [Google Scholar] [CrossRef]
- Abbas, M.; Saeed, F.; Anjum, F.M.; Afzaal, M.; Tufail, T.; Bashir, M.S.; Ishtiaq, A.; Hussain, S.; Suleria, H.A.R. Natural Polyphenols: An Overview. Int. J. Food Prop. 2017, 20, 1689–1699. [Google Scholar] [CrossRef]
- Majidinia, M.; Bishayee, A.; Yousefi, B. Polyphenols: Major Regulators of Key Components of DNA Damage Response in Cancer. DNA Repair 2019, 82, 102679. [Google Scholar] [CrossRef]
- Koszowska, A.; Dittfeld, A.; Puzo, A.; Nowak, J. Polifenole w Profilaktyce Chorób Cywilizacyjnych. Postępy Fitoter. 2013, 4, 263–266. [Google Scholar]
- Szaniawska, M.; Taraba, A.; Szymczyk, K. Structure, Properties and Application of Anthocyanins. Eng. Sci. Technol. 2015, 2, 63–78. [Google Scholar]
- Zhou, Y.; Zheng, J.; Li, Y.; Xu, D.P.; Li, S.; Chen, Y.M.; Li, H.B. Natural Polyphenols for Prevention and Treatment of Cancer. Nutrients 2016, 8, 515. [Google Scholar] [CrossRef]
- Rodríguez-García, C.; Sánchez-Quesada, C.; Toledo, E.; Delgado-Rodríguez, M.; Gaforio, J.J. Naturally Lignan-Rich Foods: A Dietary Tool for Health Promotion? Molecules 2019, 24, 917. [Google Scholar] [CrossRef]
- Kumar, N.; Goel, N. Phenolic Acids: Natural Versatile Molecules with Promising Therapeutic Applications. Biotechnol. Rep. 2019, 2019, e00370. [Google Scholar] [CrossRef]
- El Khawand, T.; Courtois, A.; Valls, J.; Richard, T.; Krisa, S. A Review of Dietary Stilbenes: Sources and Bioavailability. Phytochem. Rev. 2018, 17, 1007–1029. [Google Scholar] [CrossRef]
- Di Lorenzo, C.; Colombo, F.; Biella, S.; Stockley, C.; Restani, P. Polyphenols and Human Health: The Role of Bioavailability. Nutrients 2021, 13, 273. [Google Scholar] [CrossRef]
- Martin, K.R.; Appel, C.L. Polyphenols as Dietary Supplements: A Double-Edged Sword. Nutr. Diet Suppl. 2009, 2, 6403722. [Google Scholar] [CrossRef]
- Dwyer, J.T.; Coates, P.M.; Smith, M.J. Dietary Supplements: Regulatory Challenges and Research Resources. Nutrients 2018, 10, 41. [Google Scholar] [CrossRef]
- Bonati, A. How and Why Should We Standardize Phytopharmaceutical Drugs for Clinical Validation? J. Ethnopharmacol. 1991, 32, 195–197. [Google Scholar] [CrossRef]
- Lyu, W.; Rodriguez, D.; Ferruzzi, M.G.; Pasinetti, G.M.; Murrough, J.W.; Simon, J.E.; Wu, Q. Chemical, Manufacturing, and Standardization Controls of Grape Polyphenol Dietary Supplements in Support of a Clinical Study: Mass Uniformity, Polyphenol Dosage, and Profiles. Front. Nutr. 2021, 8, 780226. [Google Scholar] [CrossRef] [PubMed]
- Truzzi, F.; Valerii, M.C.; Tibaldi, C.; Zhang, Y.; Abduazizova, V.; Spisni, E.; Dinelli, G. Are Supplements Safe? Effects of Gallic and Ferulic Acids on in Vitro Cell Models. Nutrients 2020, 12, 1591. [Google Scholar] [CrossRef] [PubMed]
- Banach, M.; Khaidakov, B.; Korewo, D.; Węsierska, M.; Cyplik, W.; Kujawa, J.; Ahrné, L.M.; Kujawski, W. The Chemical and Cytotoxic Properties of Sambucus Nigra Extracts—A Natural Food Colorant. Sustainability 2021, 13, 12702. [Google Scholar] [CrossRef]
- Banach, M.; Wiloch, M.; Zawada, K.; Cyplik, W.; Kujawski, W. Evaluation of Antioxidant and Anti-Inflammatory Activity of Anthocyanin-Rich Water-Soluble Aronia Dry Extracts. Molecules 2020, 25, 4055. [Google Scholar] [CrossRef] [PubMed]
- Bojarczuk, A. Insights into the Opportunistic Fungal Pathogen Cryptococcus and Neutrophilic Inflammation Using Zebrafish Models; The University of Sheffield: Sheffield, UK, 2020. [Google Scholar]
- Maloney, S.K.; Fuller, A.; Mitchell, D.; Gordon, C.; Michael Overton, J. Translating Animal Model Research: Does It Matter That Our Rodents Are Cold? Physiology 2014, 29, 413–420. [Google Scholar] [CrossRef]
- Gandhi, G.R.; Vasconcelos, A.B.S.; Wu, D.T.; Li, H.-B.; Antony, P.J.; Li, H.; Geng, F.; Gurgel, R.Q.; Narain, N.; Gan, R.Y. Citrus Flavonoids as Promising Phytochemicals Targeting Diabetes and Related Complications: A Systematic Review of in Vitro and in Vivo Studies. Nutrients 2020, 12, 2907. [Google Scholar] [CrossRef]
- Nieman, D.C.; Mitmesser, S.H. Potential Impact of Nutrition on Immune System Recovery from Heavy Exertion: A Metabolomics Perspective. Nutrients 2017, 9, 513. [Google Scholar] [CrossRef]
- Cory, H.; Passarelli, S.; Szeto, J.; Tamez, M.; Mattei, J. The Role of Polyphenols in Human Health and Food Systems: A Mini-Review. Front. Nutr. 2018, 5, 87. [Google Scholar] [CrossRef]
- Quideau, S.; Deffieux, D.; Douat-Casassus, C.; Pouységu, L. Plant Polyphenols: Chemical Properties, Biological Activities, and Synthesis. Angew. Chem. Int. Ed. Eng. 2011, 50, 586–621. [Google Scholar] [CrossRef]
- Viglianisi, C.; Menichetti, S. Chain Breaking Antioxidant Activity of Heavy (S, Se, Te) Chalcogens Substituted Polyphenols. Antioxidants 2019, 8, 487. [Google Scholar] [CrossRef]
- Lakey-Beitia, J.; Burillo, A.M.; La Penna, G.; Hegde, M.L.; Rao, K.S. Polyphenols as Potential Metal Chelation Compounds against Alzheimer’s Disease. J. Alzheimers Dis. 2021, 82, S335–S357. [Google Scholar] [CrossRef]
- Yahfoufi, N.; Alsadi, N.; Jambi, M.; Matar, C. The Immunomodulatory and Anti-Inflammatory Role of Polyphenols. Nutrients 2018, 10, 1618. [Google Scholar] [CrossRef] [PubMed]
- Alessio, H.M.; Goldfarb, A.H.; Cutler, R.G. MDA Content Increases in Fast- and Slow-Twitch Skeletal Muscle with Intensity of Exercise in a Rat. Am. J. Physiol. 1988, 255, C874–C877. [Google Scholar] [CrossRef] [PubMed]
- Davies, K.J.; Quintanilha, A.T.; Brooks, A.G.; Packer, L. Free Radicals and Tissue Damage Produced by Exercise. Biochem. Biophys. Res. Commun. 1982, 107, 1198–1205. [Google Scholar] [CrossRef] [PubMed]
- Duthie, G.G.; Robertson, J.D.; Maughan, R.J.; Morrice, P.C. Blood Antioxidant Status and Erythrocyte Lipid Peroxidation Following Distance Running. Arch. Biochem. Biophys. 1990, 282, 78–83. [Google Scholar] [CrossRef]
- Powers, S.K.; Ji, L.L.; Kavazis, A.N.; Jackson, M.J. Reactive Oxygen Species: Impact on Skeletal Muscle. Compr. Physiol. 2011, 1, 941–969. [Google Scholar] [CrossRef]
- Phaniendra, A.; Jestadi, D.B.; Periyasamy, L. Free Radicals: Properties, Sources, Targets, and Their Implication in Various Diseases. Indian J. Clin. Biochem. 2015, 30, 11–26. [Google Scholar] [CrossRef]
- Fukai, T.; Ushio-Fukai, M. Superoxide Dismutases: Role in Redox Signaling, Vascular Function, and Diseases. Antioxid. Redox Signal 2011, 15, 1583–1606. [Google Scholar] [CrossRef]
- Wang, Y.; Hekimi, S. Understanding Ubiquinone. Trends Cell Biol. 2016, 26, 367–378. [Google Scholar] [CrossRef]
- Amanso, A.; Lyle, A.N.; Griendling, K.K. Nadph Oxidases and Measurement of Reactive Oxygen Species. Methods Mol. Biol. 2017, 1527, 219–232. [Google Scholar] [CrossRef]
- Ward, J.F.; Evans, J.W.; Limoli, C.L.; Calabro-Jones, P.M. Radiation and Hydrogen Peroxide Induced Free Radical Damage to DNA. Br. J. Cancer Suppl. 1987, 55, 105–112. [Google Scholar]
- Ransy, C.; Vaz, C.; Lombès, A.; Bouillaud, F. Use of H2O2 to Cause Oxidative Stress, the Catalase Issue. Int. J. Mol. Sci. 2020, 21, 9149. [Google Scholar] [CrossRef]
- Radi, R. Oxygen Radicals, Nitric Oxide, and Peroxynitrite: Redox Pathways in Molecular Medicine. Proc. Natl. Acad. Sci. USA 2018, 115, 5839–5848. [Google Scholar] [CrossRef]
- Cerqueira, É.; Marinho, D.A.; Neiva, H.P.; Lourenço, O. Inflammatory Effects of High and Moderate Intensity Exercise—A Systematic Review. Front. Physiol. 2020, 10, 01550. [Google Scholar] [CrossRef]
- Cavinato, L.; Genise, E.; Luly, F.R.; Domenico, E.G.D.; Del Porto, P.; Ascenzioni, F. Escaping the Phagocytic Oxidative Burst: The Role of SODB in the Survival of Pseudomonas Aeruginosa Within Macrophages. Front. Microbiol. 2020, 11, 326. [Google Scholar] [CrossRef]
- Nauseef, W.M. Detection of Superoxide Anion and Hydrogen Peroxide Production by Cellular NADPH Oxidases. Biochim. Biophys. Acta 2014, 1840, 757–767. [Google Scholar] [CrossRef]
- Vatansever, F.; de Melo, W.C.M.A.; Avci, P.; Vecchio, D.; Sadasivam, M.; Gupta, A.; Chandran, R.; Karimi, M.; Parizotto, N.A.; Yin, R.; et al. Antimicrobial Strategies Centered around Reactive Oxygen Species—Bactericidal Antibiotics, Photodynamic Therapy, and Beyond. FEMS Microbiol. Rev. 2013, 37, 955–989. [Google Scholar] [CrossRef]
- Ferreira, L.F.; Laitano, O. Regulation of NADPH Oxidases in Skeletal Muscle. Free Radic. Biol. Med. 2016, 98, 18–28. [Google Scholar] [CrossRef]
- Michaelson, L.P.; Shi, G.; Ward, C.W.; Rodney, G.G. Mitochondrial Redox Potential during Contraction in Single Intact Muscle Fibers. Muscle Nerve 2010, 42, 522–529. [Google Scholar] [CrossRef]
- D’amico, A.; Cavarretta, E.; Fossati, C.; Borrione, P.; Pigozzi, F.; Frati, G.; Sciarretta, S.; Costa, V.; De Grandis, F.; Nigro, A.; et al. Platelet Activation Favours NOX2-Mediated Muscle Damage in Elite Athletes: The Role of Cocoa-Derived Polyphenols. Nutrients 2022, 14, 1558. [Google Scholar] [CrossRef]
- Mittal, M.; Siddiqui, M.R.; Tran, K.; Reddy, S.P.; Malik, A.B. Reactive Oxygen Species in Inflammation and Tissue Injury. Antioxid. Redox Signal 2014, 20, 1126–1167. [Google Scholar] [CrossRef] [PubMed]
- Snezhkina, A.V.; Kudryavtseva, A.V.; Kardymon, O.L.; Savvateeva, M.V.; Melnikova, N.V.; Krasnov, G.S.; Dmitriev, A.A. ROS Generation and Antioxidant Defense Systems in Normal and Malignant Cells. Oxid. Med. Cell Longev. 2019, 2019, 6175804. [Google Scholar] [CrossRef] [PubMed]
- Powers, S.K.; Jackson, M.J. Exercise-Induced Oxidative Stress: Cellular Mechanisms and Impact on Muscle Force Production. Physiol. Rev. 2008, 88, 243–276. [Google Scholar] [CrossRef] [PubMed]
- Landete, J.M. Dietary Intake of Natural Antioxidants: Vitamins and Polyphenols. Crit. Rev. Food Sci. Nutr. 2013, 53, 706–721. [Google Scholar] [CrossRef] [PubMed]
- Rudrapal, M.; Khairnar, S.J.; Khan, J.; Dukhyil, A.B.; Ansari, M.A.; Alomary, M.N.; Alshabrmi, F.M.; Palai, S.; Deb, P.K.; Devi, R. Dietary Polyphenols and Their Role in Oxidative Stress-Induced Human Diseases: Insights into Protective Effects, Antioxidant Potentials and Mechanism(s) of Action. Front. Pharmacol. 2022, 13, 806470. [Google Scholar] [CrossRef]
- Xian, Y.; Gao, Y.; Lv, W.; Ma, X.; Hu, J.; Chi, J.; Wang, W.; Wang, Y. Resveratrol Prevents Diabetic Nephropathy by Reducing Chronic Inflammation and Improving the Blood Glucose Memory Effect in Non-Obese Diabetic Mice. Naunyn Schmiedebergs Arch. Pharmacol. 2020, 393, 2009–2017. [Google Scholar] [CrossRef]
- Rizvi, S.I.; Mishra, N. Anti-Oxidant Effect of Quercetin on Type 2 Diabetic Erythrocytes. J. Food Biochem. 2009, 33, 404–415. [Google Scholar] [CrossRef]
- Maurya, P.K.; Rizvi, S.I. Protective Role of Tea Catechins on Erythrocytes Subjected to Oxidative Stress during Human Aging. Nat. Prod. Commun 2009, 4, 221–226. [Google Scholar] [CrossRef]
- Rizvi, S.I.; Zaid, M.A.; Anis, R.; Mishra, N. Protective Role of Tea Catechins against Oxidation-Induced Damage of Type 2 Diabetic Erythrocytes. Clin. Exp. Pharmacol. Physiol. 2005, 32, 70–75. [Google Scholar] [CrossRef]
- Jówko, E.; Sacharuk, J.; Balasińska, B.; Ostaszewski, P.; Charmas, M.; Charmas, R. Green Tea Extract Supplementation Gives Protection against Exercise-Induced Oxidative Damage in Healthy Men. Nutr. Res. 2011, 31, 813–821. [Google Scholar] [CrossRef]
- Higgins, M.R.; Izadi, A.; Kaviani, M. Antioxidants and Exercise Performance: With a Focus on Vitamin e and c Supplementation. Int. J. Environ. Res. Public Health 2020, 17, 8452. [Google Scholar] [CrossRef]
- Powers, S.K.; Sollanek, K.J. Endurance Exercise and Antioxidant Supplementation: Sense or Nonsense?—Part 1. Sport Sci. Exch. 2014, 27, 1–4. [Google Scholar]
- Kawamura, T.; Muraoka, I. Exercise-Induced Oxidative Stress and the Effects of Antioxidant Intake from a Physiological Viewpoint. Antioxidants 2018, 7, 119. [Google Scholar] [CrossRef]
- Kim, M.T.; Sedykh, A.; Chakravarti, S.K.; Saiakhov, R.D.; Zhu, H. Critical Evaluation of Human Oral Bioavailability for Pharmaceutical Drugs by Using Various Cheminformatics Approaches. Pharm. Res. 2014, 31, 1002–1014. [Google Scholar] [CrossRef]
- Chow, S.-C. Bioavailability and Bioequivalence in Drug. Wiley Interdiscip. Rev. Comput. Stat. 2014, 6, 304–312. [Google Scholar] [CrossRef]
- Teng, H.; Chen, L. Polyphenols and Bioavailability: An Update. Crit. Rev. Food Sci. Nutr. 2019, 59, 2040–2051. [Google Scholar] [CrossRef]
- D’Archivio, M.; Filesi, C.; Varì, R.; Scazzocchio, B.; Masella, R. Bioavailability of the Polyphenols: Status and Controversies. Int. J. Mol. Sci. 2010, 11, 1321–1342. [Google Scholar] [CrossRef] [PubMed]
- Cosme, P.; Rodríguez, A.B.; Espino, J.; Garrido, M. Plant Phenolics: Bioavailability as a Key Determinant of Their Potential Health-Promoting Applications. Antioxidants 2020, 9, 1263. [Google Scholar] [CrossRef]
- CenciČ, A.; Langerholc, T. Functional Cell Models of the Gut and Their Applications in Food Microbiology—A Review. Int. J. Food Microbiol. 2010, 141 (Suppl. 1), S4–S14. [Google Scholar] [CrossRef] [PubMed]
- Li, Q.; Wang, C.; Liu, F.; Hu, T.; Shen, W.; Li, E.; Liao, S.; Zou, Y. Mulberry Leaf Polyphenols Attenuated Postprandial Glucose Absorption: Via Inhibition of Disaccharidases Activity and Glucose Transport in Caco-2 Cells. Food Funct. 2020, 11, 1835–1844. [Google Scholar] [CrossRef] [PubMed]
- Lingua, M.S.; Theumer, M.G.; Kruzynski, P.; Wunderlin, D.A.; Baroni, M.V. Bioaccessibility of Polyphenols and Antioxidant Properties of the White Grape by Simulated Digestion and Caco-2 Cell Assays: Comparative Study with Its Winemaking Product. Food Res. Intal. 2019, 122, 496–505. [Google Scholar] [CrossRef]
- Zhang, H.; Hassan, Y.I.; Renaud, J.; Liu, R.; Yang, C.; Sun, Y.; Tsao, R. Bioaccessibility, Bioavailability, and Anti-Inflammatory Effects of Anthocyanins from Purple Root Vegetables Using Mono- and Co-Culture Cell Models. Mol. Nutr. Food Res. 2017, 61, 1600928. [Google Scholar] [CrossRef]
- Grootaert, C.; Kamiloglu, S.; Capanoglu, E.; Van Camp, J. Cell Systems to Investigate the Impact of Polyphenols on Cardiovascular Health. Nutrients 2015, 7, 9229–9255. [Google Scholar] [CrossRef]
- Olivero-David, R.; Ruiz-Roso, M.B.; Caporaso, N.; Perez-Olleros, L.; De las Heras, N.; Lahera, V.; Ruiz-Roso, B. In Vivo Bioavailability of Polyphenols from Grape By-Product Extracts, and Effect on Lipemia of Normocholesterolemic Wistar Rats. J. Sci. Food Agric. 2018, 98, 5581–5590. [Google Scholar] [CrossRef]
- Peng, Y.; Meng, Q.; Zhou, J.; Chen, B.; Xi, J.; Long, P.; Zhang, L.; Hou, R. Nanoemulsion Delivery System of Tea Polyphenols Enhanced the Bioavailability of Catechins in Rats. Food Chem. 2018, 242, 527–532. [Google Scholar] [CrossRef]
- Lambert, J.D.; Hong, J.; Kim, D.H.; Mishin, V.M.; Yang, C.S. Piperine Enhances the Bioavailability of the Tea Polyphenol (−)-Epigallocatechin-3-Gallate in Mice. J Nutr. 2004, 134, 1948–1952. [Google Scholar] [CrossRef]
- Curti, V.; Zaccaria, V.; Sokeng, A.J.T.; Dacrema, M.; Masiello, I.; Mascaro, A.; D’antona, G.; Daglia, M. Bioavailability and in Vivo Antioxidant Activity of a Standardized Polyphenol Mixture Extracted from Brown Propolis. Int. J. Mol. Sci. 2019, 20, 1250. [Google Scholar] [CrossRef]
- Scholz, S.; Williamson, G. Interactions Affecting the Bioavailability of Dietary Polyphenols in Vivo. Int. J. Vitam. Nutr. Res. 2007, 77, 224–235. [Google Scholar] [CrossRef]
- Zhong, S.; Sandhu, A.; Edirisinghe, I.; Burton-Freeman, B. Characterization of Wild Blueberry Polyphenols Bioavailability and Kinetic Profile in Plasma over 24-h Period in Human Subjects. Mol. Nutr. Food Res. 2017, 61, 1700405. [Google Scholar] [CrossRef]
- Vitaglione, P.; Barone Lumaga, R.; Ferracane, R.; Sellitto, S.; Morelló, J.R.; Reguant Miranda, J.; Shimoni, E.; Fogliano, V. Human Bioavailability of Flavanols and Phenolic Acids from Cocoa-Nut Creams Enriched with Free or Microencapsulated Cocoa Polyphenols. Br. J. Nutr. 2013, 109, 1832–1843. [Google Scholar] [CrossRef]
- Martínez-Huélamo, M.; Vallverdú-Queralt, A.; Di Lecce, G.; Valderas-Martínez, P.; Tulipani, S.; Jáuregui, O.; Escribano-Ferrer, E.; Estruch, R.; Illan, M.; Lamuela-Raventós, R.M. Bioavailability of Tomato Polyphenols Is Enhanced by Processing and Fat Addition: Evidence from a Randomized Feeding Trial. Mol. Nutr. Food Res. 2016, 60, 1578–1589. [Google Scholar] [CrossRef] [PubMed]
- Marín, L.; Miguélez, E.M.; Villar, C.J.; Lombó, F. Bioavailability of Dietary Polyphenols and Gut Microbiota Metabolism: Antimicrobial Properties. Biomed. Res. Int. 2015, 2015, 905215. [Google Scholar] [CrossRef] [PubMed]
- Singh, A.K.; Cabral, C.; Kumar, R.; Ganguly, R.; Rana, H.K.; Gupta, A.; Lauro, M.R.; Carbone, C.; Reis, F.; Pandey, A.K. Beneficial Effects of Dietary Polyphenols on Gut Microbiota and Strategies to Improve Delivery Efficiency. Nutrients 2019, 11, 2216. [Google Scholar] [CrossRef] [PubMed]
- Kawabata, K.; Yoshioka, Y.; Terao, J. Role of Intestinal Microbiota in the Bioavailability and Physiological Functions of Dietary Polyphenols. Molecules 2019, 24, 370. [Google Scholar] [CrossRef] [PubMed]
- Zhu, Y.; Zhang, J.-Y.; Wei, Y.-L.; Hao, J.-Y.; Lei, Y.-Q.; Zhao, W.-B.; Xiao, Y.-H.; Sun, A.-D. The Polyphenol-Rich Extract from Chokeberry (Aronia Melanocarpa L.) Modulates Gut Microbiota and Improves Lipid Metabolism in Diet-Induced Obese Rats. Nutr. Metab. 2020, 17, 54. [Google Scholar] [CrossRef]
- Istas, G.; Wood, E.; Le Sayec, M.; Rawlings, C.; Yoon, J.; Dandavate, V.; Cera, D.; Rampelli, S.; Costabile, A.; Fromentin, E.; et al. Effects of Aronia Berry (Poly)Phenols on Vascular Function and Gut Microbiota: A Double-Blind Randomized Controlled Trial in Adult Men. Am. J. Clin. Nutr. 2019, 110, 316–329. [Google Scholar] [CrossRef]
- Winter, J.; Popoff, M.R.; Grimont, P.; Bokkenheuser, V.D. Clostridium Orbiscindens Sp. Nov., a Human Intestinal Bacterium Capable of Cleaving the Flavonoid C-Ring. Int. J. Syst. Bacteriol. 1991, 41, 355–357. [Google Scholar] [CrossRef]
- Simons, A.L.; Renouf, M.; Hendrich, S.; Murphy, P.A. Human Gut Microbial Degradation of Flavonoids: Structure−Function Relationships. J. Agric. Food Chem. 2005, 53, 4258–4263. [Google Scholar] [CrossRef]
- Liu, Z.; Hu, M. Natural Polyphenol Disposition via Coupled Metabolic Pathways. Expert Opin. Drug Metab. Toxicol. 2007, 3, 389–406. [Google Scholar] [CrossRef]
- Van Duynhoven, J.; Vaughan, E.E.; Jacobs, D.M.; Kemperman, R.A.; Van Velzen, E.J.J.; Gross, G.; Roger, L.C.; Possemiers, S.; Smilde, A.K.; Doré, J.; et al. Metabolic Fate of Polyphenols in the Human Superorganism. Proc. Natl. Acad. Sci. USA 2011, 108 (Suppl. 1), 4531–4538. [Google Scholar] [CrossRef]
- Luca, S.V.; Macovei, I.; Bujor, A.; Miron, A.; Skalicka-Woźniak, K.; Aprotosoaie, A.C.; Trifan, A. Bioactivity of Dietary Polyphenols: The Role of Metabolites. Crit. Rev. Food Sci. Nutr. 2020, 60, 626–659. [Google Scholar] [CrossRef]
- Tu, Y.; Wang, L.; Rong, Y.; Tam, V.; Yin, T.; Gao, S.; Singh, R.; Hu, M. Hepatoenteric Recycling Is a New Disposition Mechanism for Orally Administered Phenolic Drugs and Phytochemicals in Rats. Elife 2021, 10, e58820. [Google Scholar] [CrossRef]
- Andres-Lacueva, C.; Macarulla, M.T.; Rotches-Ribalta, M.; Boto-Ordóñez, M.; Urpi-Sarda, M.; Rodríguez, V.M.; Portillo, M.P. Distribution of Resveratrol Metabolites in Liver, Adipose Tissue, and Skeletal Muscle in Rats Fed Different Doses of This Polyphenol. J. Agric. Food Chem. 2012, 60, 4833–4840. [Google Scholar] [CrossRef]
- Serra, A.; Macià, A.; Romero, M.-P.; Anglès, N.; Morelló, J.R.; Motilva, M.-J. Distribution of Procyanidins and Their Metabolites in Rat Plasma and Tissues after an Acute Intake of Hazelnut Extract. Food Funct. 2011, 2, 562–568. [Google Scholar] [CrossRef]
- Makarewicz, M.; Drożdż, I.; Tarko, T.; Duda-Chodak, A. The Interactions between Polyphenols and Microorganisms, Especially Gut Microbiota. Antioxidants 2021, 10, 188. [Google Scholar] [CrossRef] [PubMed]
- Enaru, B.; Socaci, S.; Farcas, A.; Socaciu, C.; Danciu, C.; Stanila, A.; Diaconeasa, Z. Novel Delivery Systems of Polyphenols and Their Potential Health Benefits. Pharmaceuticals 2021, 14, 946. [Google Scholar] [CrossRef] [PubMed]
- Pimentel-Moral, S.; Teixeira, M.C.; Fernandes, A.R.; Arráez-Román, D.; Martínez-Férez, A.; Segura-Carretero, A.; Souto, E.B. Lipid Nanocarriers for the Loading of Polyphenols—A Comprehensive Review. Adv. Colloid Interface 2018, 260, 85–94. [Google Scholar] [CrossRef] [PubMed]
- Miksits, M.; Maier-Salamon, A.; Aust, S.; Thalhammer, T.; Reznicek, G.; Kunert, O.; Haslinger, E.; Szekeres, T.; Jaeger, W. Sulfation of Resveratrol in Human Liver: Evidence of a Major Role for the Sulfotransferases SULT1A1 and SULT1E1. Xenobiotica 2005, 35, 1101–1119. [Google Scholar] [CrossRef]
- Hambidge, K.M. Micronutrient Bioavailability: Dietary Reference Intakes and a Future Perspective. Am. J. Clin. Nutr. 2010, 91, 1430–1432. [Google Scholar] [CrossRef]
- Scalbert, A.; Williamson, G. Dietary Intake and Bioavailability of Polyphenols. J. Nutr. 2000, 130 (Suppl. 8), 2073S–2085S. [Google Scholar] [CrossRef]
- Kühnau, J. The Flavonoids. A Class of Semi-Essential Food Components: Their Role in Human Nutrition. World Rev. Nutr. Diet 1976, 24, 117–191. [Google Scholar]
- Hertog, M.G.L.; Hollman, P.C.H.; Hertog, M.G.L.; Katan, M.B. Content of Potentially Anticarcinogenic Flavonoids of 28 Vegetables and 9 Fruits Commonly Consumed in the Netherlands. J. Agric. Food Chem. 1992, 40, 2379–2383. [Google Scholar] [CrossRef]
- Reinli, K.; Block, G. Phytoestrogen Content of Foods—A Compendium of Literature Values. Nutr. Cancer 1996, 26, 123–148. [Google Scholar] [CrossRef]
- Kimira, M.; Arai, Y.; Shimoi, K.; Watanabe, S. Japanese Intake of Flavonoids and Isoflavonoids from Foods. J. Epidemiol. 1998, 8, 168–175. [Google Scholar] [CrossRef]
- Wakai, K.; Egami, I.; Kato, K.; Kawamura, T.; Tamakoshi, A.; Lin, Y.; Nakayama, T.; Wada, M.; Ohno, Y. Dietary Intake and Sources of Isoflavones among Japanese. Nutr. Cancer 1999, 33, 139–145. [Google Scholar] [CrossRef]
- Kirk, P.; Patterson, R.E.; Lampe, J. Development of a Soy Food Frequency Questionnaire to Estimate Isoflavone Consumption in US Adults. J. Am. Diet Assoc. 1999, 99, 558–563. [Google Scholar] [CrossRef]
- GutiErrez-Grijalva, E.P.; Ambriz-Pere, D.L.; Leyva-Lopez, N.; Castillo-Lopez, R.I.; Heiedia, J.B. Review: Dietary Phenolic Compounds, Health Benefits and Bioaccessibility. Arch. Latinoam. Nutr. 2016, 66, 87–100. [Google Scholar]
- Del Bo, C.; Bernardi, S.; Marino, M.; Porrini, M.; Tucci, M.; Guglielmetti, S.; Cherubini, A.; Carrieri, B.; Kirkup, B.; Kroon, P.; et al. Systematic Review on Polyphenol Intake and Health Outcomes: Is There Sufficient Evidence to Define a Health-Promoting Polyphenol-Rich Dietary Pattern? Nutrients 2019, 11, 1355. [Google Scholar] [CrossRef]
- Wang, J.; Ballon, A.; Schroën, K.; de Lamo-Castellví, S.; Ferrando, M.; Güell, C. Polyphenol Loaded W1/O/W2 Emulsions Stabilized with Lesser Mealworm (Alphitobius Diaperinus) Protein Concentrate Produced by Membrane Emulsification: Stability under Simulated Storage, Process, and Digestion Conditions. Foods 2021, 10, 2997. [Google Scholar] [CrossRef]
- Zembyla, M.; Murray, B.S.; Sarkar, A. Water-In-Oil Pickering Emulsions Stabilized by Water-Insoluble Polyphenol Crystals. Langmuir 2018, 34, 10001–10011. [Google Scholar] [CrossRef]
- Martins, C.; Higaki, N.T.F.; Montrucchio, D.P.; de Oliveira, C.F.; Gomes, M.L.S.; Miguel, M.D.; Miguel, O.G.; Zanin, S.M.W.; Dias, J.d.F.G. Development of W1/O/W2 Emulsion with Gallic Acid in the Internal Aqueous Phase. Food Chem. 2020, 314, 126174. [Google Scholar] [CrossRef] [PubMed]
- Pralhad, T.; Rajendrakumar, K. Study of Freeze-Dried Quercetin–Cyclodextrin Binary Systems by DSC, FT-IR, X-Ray Diffraction and SEM Analysis. J. Pharm. Biomed. Anal. 2004, 34, 333–339. [Google Scholar] [CrossRef] [PubMed]
- Hunt, L.E.; Bourne, S.A.; Caira, M.R. Inclusion of Hydroxycinnamic Acids in Methylated Cyclodextrins: Host-Guest Interactions and Effects on Guest Thermal Stability. Biomolecules 2021, 11, 45. [Google Scholar] [CrossRef] [PubMed]
- Matencio, A.; Hernández-García, S.; García-Carmona, F.; López-Nicolás, J.M. An Integral Study of Cyclodextrins as Solubility Enhancers of α-Methylstilbene, a Resveratrol Analogue. Food Funct. 2017, 8, 270–277. [Google Scholar] [CrossRef] [PubMed]
- Nguyen Thi, D.P.; Tran, D.L.; Le Thi, P.; Park, K.D.; Hoang Thi, T.T. Supramolecular Gels Incorporating Cordyline Terminalis Leaf Extract as a Polyphenol Release Scaffold for Biomedical Applications. Int. J. Mol. Sci. 2021, 22, 8759. [Google Scholar] [CrossRef]
- Boyacı, D.; Kavur, P.B.; Gulec, S.; Yemenicioğlu, A. Physicochemical and Active Properties of Gelatine-Based Composite Gels Loaded with Lysozyme and Green Tea Polyphenols. Food Technol. Biotechnol. 2021, 59, 337–348. [Google Scholar] [CrossRef]
- Stanciauskaite, M.; Marksa, M.; Ivanauskas, L.; Perminaite, K.; Ramanauskiene, K. Ophthalmic in Situ Gels with Balsam Poplar Buds Extract: Formulation, Rheological Characterization, and Quality Evaluation. Pharmaceutics 2021, 13, 953. [Google Scholar] [CrossRef]
- Niknam, S.M.; Kashaninejad, M.; Escudero, I.; Sanz, M.T.; Beltrán, S.; Benito, J.M. Preparation of Water-in-Oil Nanoemulsions Loaded with Phenolic-Rich Olive Cake Extract Using Response Surface Methodology Approach. Foods 2022, 11, 279. [Google Scholar] [CrossRef]
- Ragelle, H.; Crauste-Manciet, S.; Seguin, J.; Brossard, D.; Scherman, D.; Arnaud, P.; Chabot, G.G. Nanoemulsion Formulation of Fisetin Improves Bioavailability and Antitumour Activity in Mice. Int. J. Pharm. 2012, 427, 452–459. [Google Scholar] [CrossRef]
- Rabelo, C.A.S.; Taarji, N.; Khalid, N.; Kobayashi, I.; Nakajima, M.; Neves, M.A. Formulation and Characterization of Water-in-Oil Nanoemulsions Loaded with Açaí Berry Anthocyanins: Insights of Degradation Kinetics and Stability Evaluation of Anthocyanins and Nanoemulsions. Food Res. Int. 2018, 106, 542–548. [Google Scholar] [CrossRef] [PubMed]
- Seguin, J.; Brullé, L.; Boyer, R.; Lu, Y.M.; Romano Ramos, M.; Touil, Y.S.; Scherman, D.; Bessodes, M.; Mignet, N.; Chabot, G.G. Liposomal Encapsulation of the Natural Flavonoid Fisetin Improves Bioavailability and Antitumor Efficacy. Int. J. Pharm. 2013, 444, 146–154. [Google Scholar] [CrossRef] [PubMed]
- Sultana, F.; Neog, M.K.; Rasool, M.K. Targeted Delivery of Morin, a Dietary Bioflavanol Encapsulated Mannosylated Liposomes to the Macrophages of Adjuvant-Induced Arthritis Rats Inhibits Inflammatory Immune Response and Osteoclastogenesis. Eur. J. Pharm. Biopharm. 2017, 115, 229–242. [Google Scholar] [CrossRef] [PubMed]
- Wei, X.Q.; Zhu, J.F.; Wang, X.B.; Ba, K. Improving the Stability of Liposomal Curcumin by Adjusting the Inner Aqueous Chamber PH of Liposomes. ACS Omega 2020, 5, 1120–1126. [Google Scholar] [CrossRef] [PubMed]
- Vega, E.N.; Molina, A.K.; Pereira, C.; Dias, M.I.; Heleno, S.A.; Rodrigues, P.; Fernandes, I.P.; Barreiro, M.F.; Stojković, D.; Soković, M.; et al. Anthocyanins from Rubus Fruticosus l. And Morus Nigra l. Applied as Food Colorants: A Natural Alternative. Plants 2021, 10, 1181. [Google Scholar] [CrossRef] [PubMed]
- Yang, B.; Dong, Y.; Wang, F.; Zhang, Y. Nanoformulations to Enhance the Bioavailability and Physiological Functions of Polyphenols. Molecules 2020, 25, 4613. [Google Scholar] [CrossRef] [PubMed]
- Shaygannia, S.; Eshaghi, M.R.; Fazel, M.; Hashemiravan, M. The Effect of Microencapsulation of Phenolic Compounds from Lemon Waste by Persian and Basil Seed Gums on the Chemical and Microbiological Properties of Mayonnaise. Prev. Nutr. Food Sci. 2021, 26, 82–91. [Google Scholar] [CrossRef] [PubMed]
- Desai, N.M.; Haware, D.J.; Basavaraj, K.; Murthy, P.S. Microencapsulation of Antioxidant Phenolic Compounds from Green Coffee. Prep. Biochem. Biotechnol. 2019, 49, 400–406. [Google Scholar] [CrossRef]
- de Meneses Costa Ferreira, L.M.; Pereira, R.R.; de Carvalho-Guimarães, F.B.; do Nascimento Remígio, M.S.; Barbosa, W.L.R.; Ribeiro-Costa, R.M.; Silva-Júnior, J.O.C. Microencapsulation by Spray Drying and Antioxidant Activity of Phenolic Compounds from Tucuma Coproduct. Polymers 2022, 14, 2905. [Google Scholar] [CrossRef]
- Rosales, T.K.O.; Hassimotto, N.M.A.; Lajolo, F.M.; Fabi, J.P. Nanotechnology as a Tool to Mitigate the Effects of Intestinal Microbiota on Metabolization of Anthocyanins. Antioxidants 2022, 11, 506. [Google Scholar] [CrossRef]
- Saifullah, M.; Shishir, M.R.I.; Ferdowsi, R.; Tanver Rahman, M.R.; Van Vuong, Q. Micro and Nano Encapsulation, Retention and Controlled Release of Flavor and Aroma Compounds: A Critical Review. Trends Food Sci. Technol. 2019, 86, 230–251. [Google Scholar] [CrossRef]
- Behzadi, S.; Serpooshan, V.; Tao, W.; Hamaly, M.A.; Alkawareek, M.Y.; Dreaden, E.C.; Brown, D.; Alkilany, A.M.; Farokhzad, O.C.; Mahmoudi, M. Cellular Uptake of Nanoparticles: Journey Inside the Cell. Chem. Soc. Rev. 2017, 46, 4218–4244. [Google Scholar] [CrossRef]
- Mosquera, J.; García, I.; Liz-Marzán, L.M. Cellular Uptake of Nanoparticles versus Small Molecules: A Matter of Size. Acc. Chem. Res. 2018, 51, 2305–2313. [Google Scholar] [CrossRef]
- Rajesh, S.; Lillard, J.W., Jr. Nanoparticle-Based Targeted Drug Delivery. Exp. Mol. Pathol. 2009, 86, 215–223. [Google Scholar] [CrossRef]
- Lamprecht, A.; Ubrich, N.; Yamamoto, H.; Schäfer, U.; Takeuchi, H.; Maincent, P.; Kawashima, Y.; Lehr, C.M. Biodegradable Nanoparticles for Targeted Drug Delivery in Treatment of Inflammatory Bowel Disease. J. Pharmacol. Exp. Ther. 2001, 299, 775–781. [Google Scholar]
- Majumder, J.; Taratula, O.; Minko, T. Nanocarrier-Based Systems for Targeted and Site Specific Therapeutic Delivery. Adv. Drug Deliv. Rev. 2019, 144, 57–77. [Google Scholar] [CrossRef]
- Street, D.; Bangsbo, J.; Juel, C. Interstitial PH in Human Skeletal Muscle during and after Dynamic Graded Exercise. J. Physiol. 2001, 537, 993–998. [Google Scholar] [CrossRef]
- Parisi, O.I.; Puoci, F.; Restuccia, D.; Farina, G.; Iemma, F.; Picci, N. Polyphenols in Human Health and Disease. In Polyphenols in Human Health and Disease; Watson, R.R., Preedy, V.R., Zibadi, S., Eds.; Academic Press-Elsevier Inc.: Amsterdam, The Netherlands, 2014. [Google Scholar] [CrossRef]
- Nakayama, T.; Hashimoto, T.; Kajiya, K.; Kumazawa, S. Affinity of Polyphenols for Lipid Bilayers. Biofactors 2000, 13, 147–151. [Google Scholar] [CrossRef]
- Phan, H.T.T.; Yoda, T.; Chahal, B.; Morita, M.; Takagi, M.; Vestergaard, M.C. Structure-Dependent Interactions of Polyphenols with a Biomimetic Membrane System. Biochim. Biophys. Acta 2014, 1838, 2670–2677. [Google Scholar] [CrossRef]
- Pruchnik, H.; Bonarska-Kujawa, D.; Żyłka, R.; Oszmiański, J.; Kleszczyńska, H. Application of the DSC and Spectroscopy Methods in the Analysis of the Protective Effect of Extracts from the Blueberry Fruit of the Genus Vaccinium in Relation to the Lipid Membrane. J. Therm. Anal. Calorim. 2018, 134, 679–689. [Google Scholar] [CrossRef]
- Malekar, S.A.; Sarode, A.L.; Bach, A.C.; Worthen, D.R. The Localization of Phenolic Compounds in Liposomal Bilayers and Their Effects on Surface Characteristics and Colloidal Stability. AAPS PharmSciTech 2016, 17, 1468–1476. [Google Scholar] [CrossRef]
- Powers, S.K.; Talbert, E.E.; Adhihetty, P.J. Reactive Oxygen and Nitrogen Species as Intracellular Signals in Skeletal Muscle. J. Physiol. 2011, 589, 2129–2138. [Google Scholar] [CrossRef] [PubMed]
- Boveris, A.; Chance, B. The Mitochondrial Generation of Hydrogen Peroxide. General Properties and Effect of Hyperbaric Oxygen. Biochem. J. 1973, 134, 707–716. [Google Scholar] [CrossRef] [PubMed]
- Loschen, G.; Azzi, A.; Richter, C.; Flohe, L. Superoxide Radicals as Precursors of Mitochondrial Hydrogen Peroxide. FEBS Lett. 1974, 42, 68–72. [Google Scholar] [CrossRef] [PubMed]
- St-Pierre, J.; Buckingham, J.A.; Roebuck, S.J.; Brand, M.D. Topology of Superoxide Production from Different Sites in the Mitochondrial Electron Transport Chain. J. Biol. Chem. 2002, 277, 44784–44790. [Google Scholar] [CrossRef] [PubMed]
- Anderson, E.J.; Neufer, P.D. Type II Skeletal Myofibers Possess Unique Properties That Potentiate Mitochondrial H2O2 Generation. Am. J. Physiol. Cell Physiol. 2006, 290, 844–851. [Google Scholar] [CrossRef]
- Walsh, B.; Tonkonogi, M.; Sahlin, K. Effect of Endurance Training on Oxidative and Antioxidative Function in Human Permeabilized Muscle Fibres. Pflugers Arch. 2001, 442, 420–425. [Google Scholar] [CrossRef]
- He, F.; Li, J.; Liu, Z.; Chuang, C.C.; Yang, W.; Zuo, L. Redox Mechanism of Reactive Oxygen Species in Exercise. Front. Physiol. 2016, 7, 486. [Google Scholar] [CrossRef]
- Larsen, F.J.; Schiffer, T.A.; Ørtenblad, N.; Zinner, C.; Morales-Alamo, D.; Willis, S.J.; Calbet, J.A.; Holmberg, H.C.; Boushel, R. High-Intensity Sprint Training Inhibits Mitochondrial Respiration through Aconitase Inactivation. FASEB J. 2016, 30, 417–427. [Google Scholar] [CrossRef]
- Vezzoli, A.; Pugliese, L.; Marzorati, M.; Serpiello, F.R.; La Torre, A.; Porcelli, S. Time-Course Changes of Oxidative Stress Response to High-Intensity Discontinuous Training versus Moderate-Intensity Continuous Training in Masters Runners. PLoS ONE 2014, 9, e87506. [Google Scholar] [CrossRef]
- Mrakic-Sposta, S.; Gussoni, M.; Porcelli, S.; Pugliese, L.; Pavei, G.; Bellistri, G.; Montorsi, M.; Tacchini, P.; Vezzoli, A. Training Effects on ROS Production Determined by Electron Paramagnetic Resonance in Master Swimmers. Oxid. Med. Cell Longev. 2015, 2015, 804794. [Google Scholar] [CrossRef]
- Radak, Z.; Chung, H.Y.; Koltai, E.; Taylor, A.W.; Goto, S. Exercise, Oxidative Stress and Hormesis. Ageing Res. Rev. 2008, 7, 34–42. [Google Scholar] [CrossRef]
- Sakellariou, G.K.; Vasilaki, A.; Palomero, J.; Kayani, A.; Zibrik, L.; McArdle, A.; Jackson, M.J. Studies of Mitochondrial and Nonmitochondrial Sources Implicate Nicotinamide Adenine Dinucleotide Phosphate Oxidase(s) in the Increased Skeletal Muscle Superoxide Generation That Occurs during Contractile Activity. Antioxid. Redox Signal 2013, 18, 603–621. [Google Scholar] [CrossRef]
- Sahlin, K.; Shabalina, I.G.; Mattsson, C.M.; Bakkman, L.; Fernström, M.; Rozhdestvenskaya, Z.; Enqvist, J.K.; Nedergaard, J.; Ekblom, B.; Tonkonogi, M. Ultraendurance Exercise Increases the Production of Reactive Oxygen Species in Isolated Mitochondria from Human Skeletal Muscle. J. Appl. Physiol. 2010, 108, 780–787. [Google Scholar] [CrossRef]
- Zoladz, J.A.; Koziel, A.; Woyda-PLoSzczyca, A.; Celichowski, J.; Jarmuszkiewicz, W. Endurance Training Increases the Efficiency of Rat Skeletal Muscle Mitochondria. Pflugers Arch. 2016, 468, 1709–1724. [Google Scholar] [CrossRef]
- Di Meo, S.; Napolitano, G.; Venditti, P. Mediators of Physical Activity Protection against Ros-Linked Skeletal Muscle Damage. Int. J. Mol. Sci. 2019, 20, 3024. [Google Scholar] [CrossRef]
- Nakama, L.H.; King, K.B.; Abrahamsson, S.; Rempel, D.M. Evidence of Tendon Microtears Due to Cyclical Loading in an in Vivo Tendinopathy Model. J. Orthop. Res. 2005, 23, 1199–1205. [Google Scholar] [CrossRef]
- Friden, J.; Sjostrom, M.; Ekblom, B. Myofibrillar Damage Following Intense Eccentric Exercise in Man. Int. J. Sport Med. 1983, 4, 170–176. [Google Scholar] [CrossRef]
- Warren, G.L.; Hulderman, T.; Jensen, N.; McKinstry, M.; Mishra, M.; Luster, M.I.; Simeonova, P.P. Physiological Role of Tumor Necrosis Factor Alpha in Traumatic Muscle Injury. FASEB J. 2002, 16, 1630–1632. [Google Scholar] [CrossRef]
- Saclier, M.; Cuvellier, S.; Magnan, M.; Mounier, R.; Chazaud, B. Monocyte/Macrophage Interactions with Myogenic Precursor Cells during Skeletal Muscle Regeneration. FEBS J. 2013, 280, 4118–4130. [Google Scholar] [CrossRef]
- Collins, R.A.; Grounds, M.D. The Role of Tumor Necrosis Factor-Alpha (TNF-α) in Skeletal Muscle Regeneration: Studies in TNF-α(-/-) and TNF-α(-/-)/LT-α(-/-) Mice. J. Histochem. Cytochem. 2001, 49, 989–1001. [Google Scholar] [CrossRef]
- Martinez, F.O.; Gordon, S. The M1 and M2 Paradigm of Macrophage Activation: Time for Reassessment. F1000Prime Rep. 2014, 6, 13. [Google Scholar] [CrossRef] [PubMed]
- Castaneda, O.A.; Lee, S.C.; Ho, C.T.; Huang, T.C. Macrophages in Oxidative Stress and Models to Evaluate the Antioxidant Function of Dietary Natural Compounds. J. Food Drug. Anal. 2017, 25, 111–118. [Google Scholar] [CrossRef] [PubMed]
- Samavati, L.; Lee, I.; Mathes, I.; Lottspeich, F.; Hüttemann, M. Tumor Necrosis Factor α Inhibits Oxidative Phosphorylation through Tyrosine Phosphorylation at Subunit I of Cytochrome c Oxidase. J. Biol. Chem. 2008, 283, 21134–21144. [Google Scholar] [CrossRef] [PubMed]
- Langen, R.C.J.; Schols, A.M.W.J.; Kelders, M.C.J.M.; Van Der Velden, J.L.J.; Wouters, E.F.M.; Janssen-Heininger, Y.M.W. Tumor Necrosis Factor-Alpha Inhibits Myogenesis through Redox-Dependent and -Independent Pathways. Am. J. Physiol. Cell Physiol. 2002, 283, 714–721. [Google Scholar] [CrossRef] [PubMed]
- Czarkowska-Paczek, B.; Bartlomiejczyk, I.; Przybylski, J. The Serum Levels of Growth Factors: PDGF, TGF-Beta and VEGF Are Increased after Strenuous Physical Exercise. J. Physiol. Pharmacol. 2006, 57, 189–197. [Google Scholar]
- Kreuzer, J.; Viedt, C.; Brandes, R.P.; Seeger, F.; Rosenkranz, A.S.; Sauer, H.; Babich, A.; Nürnberg, B.; Kather, H.; Krieger-Brauer, H.I. Platelet-Derived Growth Factor Activates Production of Reactive Oxygen Species by NAD(P)H Oxidase in Smooth Muscle Cells through Gi1,2. FASEB J. 2003, 17, 38–40. [Google Scholar] [CrossRef]
- Fischer, C.P. Interleukin-6 in Acute Exercise and Training: What Is the Biological Relevance? Exerc. Immunol. Rev. 2006, 12, 6–33. [Google Scholar]
- Forcina, L.; Miano, C.; Scicchitano, B.M.; Rizzuto, E.; Berardinelli, M.G.; De Benedetti, F.; Pelosi, L.; Musarò, A. Increased Circulating Levels of Interleukin-6 Affect the Redox Balance in Skeletal Muscle. Oxid. Med. Cell Longev. 2019, 2019, 301858. [Google Scholar] [CrossRef]
- Kistner, T.M.; Pedersen, B.K.; Lieberman, D.E. Interleukin 6 as an Energy Allocator in Muscle Tissue. Nat. Metab. 2022, 4, 170–179. [Google Scholar] [CrossRef]
- Abid, H.; Ryan, Z.C.; Delmotte, P.; Sieck, G.C.; Lanza, I.R. Extramyocellular Interleukin-6 Influences Skeletal Muscle Mitochondrial Physiology through Canonical JAK/STAT Signaling Pathways. FASEB J. 2020, 34, 14458–14472. [Google Scholar] [CrossRef]
- Cheng, A.J.; Jude, B.; Lanner, J.T. Intramuscular Mechanisms of Overtraining. Redox Biol. 2020, 35, 101480. [Google Scholar] [CrossRef]
- Ostrowski, K.; Rohde, T.; Asp, S.; Schjerling, P.; Pedersen, B.K. Pro- and Anti-Inflammatory Cytokine Balance in Strenuous Exercise in Humans. J. Physiol. 1999, 515, 287–291. [Google Scholar] [CrossRef]
- Peake, J.M.; Suzuki, K.; Hordern, M.; Wilson, G.; Nosaka, K.; Coombes, J.S. Plasma Cytokine Changes in Relation to Exercise Intensity and Muscle Damage. Eur. J. Appl. Physiol. 2005, 95, 514–521. [Google Scholar] [CrossRef]
- Arnold, L.; Henry, A.; Poron, F.; Baba-Amer, Y.; Van Rooijen, N.; Plonquet, A.; Gherardi, R.K.; Chazaud, B. Inflammatory Monocytes Recruited after Skeletal Muscle Injury Switch into Antiinflammatory Macrophages to Support Myogenesis. J. Exp. Med. 2007, 204, 1057–1069. [Google Scholar] [CrossRef] [PubMed]
- Thirupathi, A.; Gu, Y.; Pinho, R.A. Exercise Cuts Both Ways with ROS in Remodifying Innate and Adaptive Responses: Rewiring the Redox Mechanism of the Immune System during Exercise. Antioxidants 2021, 10, 1846. [Google Scholar] [CrossRef]
- Kozakowska, M.; Pietraszek-Gremplewicz, K.; Jozkowicz, A.; Dulak, J. The Role of Oxidative Stress in Skeletal Muscle Injury and Regeneration: Focus on Antioxidant Enzymes. J. Muscle Res. Cell Motil. 2015, 36, 377–393. [Google Scholar] [CrossRef]
- Powers, S.K.; Duarte, J.; Kavazis, A.N.; Talbert, E.E. Reactive Oxygen Species Are Signalling Molecules for Skeletal Muscle Adaptation. Exp. Physiol. 2010, 95, 1–9. [Google Scholar] [CrossRef]
- Morgan, M.J.; Liu, Z.G. Crosstalk of Reactive Oxygen Species and NF-ΚB Signaling. Cell Res. 2011, 21, 103–115. [Google Scholar] [CrossRef]
- Gallego-Selles, A.; Galvan-Alvarez, V.; Martinez-Canton, M.; Garcia-Gonzalez, E.; Morales-Alamo, D.; Santana, A.; Gonzalez-Henriquez, J.J.; Dorado, C.; Calbet, J.A.L.; Martin-Rincon, M. Redox Biology Fast Regulation of the NF- κ B Signalling Pathway in Human Skeletal Muscle Revealed by High-Intensity Exercise and Ischaemia at Exhaustion: Role of Oxygenation and Metabolite Accumulation. Redox Biol. 2022, 55, 102398. [Google Scholar] [CrossRef]
- Kabe, Y.; Ando, K.; Hirao, S.; Yoshida, M.; Handa, H. Redox Regulation of NF-ΚB Activation: Distinct Redox Regulation Between the Cytoplasm and the Nucleus. Antioxid. Redox Signal 2005, 7, 395–403. [Google Scholar] [CrossRef]
- Nunes Silva, A. The Association between Physical Exercise and Reactive Oxygen Species (ROS) Production. J. Sport Med. Doping Stud. 2015, 5. [Google Scholar] [CrossRef]
- Canton, M.; Sánchez-Rodríguez, R.; Spera, I.; Venegas, F.C.; Favia, M.; Viola, A.; Castegna, A. Reactive Oxygen Species in Macrophages: Sources and Targets. Front. Immunol. 2021, 12, 734229. [Google Scholar] [CrossRef]
- Nikawa, T.; Ulla, A.; Sakakibara, I. Polyphenols and Their Effects on Muscle Atrophy and Muscle Health. Molecules 2021, 26, 4887. [Google Scholar] [CrossRef] [PubMed]
- Escobar, M.; Oliveira, M.; Behr, G.; Zanotto-Filho, A.; Ilha, L.; Cunha, G.D.; De Oliveira, A.R.D.; Moreira, J.C.F. Oxidative Stress in Young Football (Soccer) Players in Intermittent High Intensity Exercise Protocol. JEPonline 2009, 12, 1–10. [Google Scholar]
- Vezzoli, A.; Dellanoce, C.; Mrakic-Sposta, S.; Montorsi, M.; Moretti, S.; Tonini, A.; Pratali, L.; Accinni, R. Oxidative Stress Assessment in Response to Ultraendurance Exercise: Thiols Redox Status and ROS Production According to Duration of a Competitive Race. Oxid. Med. Cell Longev. 2016, 2016, 6439037. [Google Scholar] [CrossRef]
- Spanidis, Y.; Stagos, D.; Orfanou, M.; Goutzourelas, N.; Bar-Or, D.; Spandidos, D.; Kouretas, D. Variations in Oxidative Stress Levels in 3 Days Follow-up in Ultramarathon Mountain Race Athletes. J. Strength Cond. Res. 2017, 31, 582–594. [Google Scholar] [CrossRef]
- Niess, A.M.; Hartmann, A.; Grünert-Fuchs, M.; Poch, B.; Speit, G. DNA Damage after Exhaustive Treadmill Running in Trained and Untrained Men. Int. J. Sport Med. 1996, 17, 397–403. [Google Scholar] [CrossRef]
- Sharifi, G.; Najafabadi, A.B.; Ghashghaei, F.E. Oxidative Stress and Total Antioxidant Capacity in Handball Players. Adv. Biomed. Res. 2014, 3, 181. [Google Scholar] [CrossRef]
- Muñoz Marín, D.; Barrientos, G.; Alves, J.; Grijota, F.J.; Robles, M.C.; May Nar, M. Oxidative Stress, Lipid Peroxidation Indexes and Antioxidant Vitamins in Long and Middle Distance Athletes during a Sport Season. J. Sport Med. Phys. Fit. 2018, 58, 1713–1719. [Google Scholar] [CrossRef]
- Becatti, M.; Mannucci, A.; Barygina, V.; Mascherini, G.; Emmi, G.; Silvestri, E.; Wright, D.; Taddei, N.; Galanti, G.; Fiorillo, C. Redox Status Alterations during the Competitive Season in Élite Soccer Players: Focus on Peripheral Leukocyte-Derived ROS. Intern. Emerg. Med. 2017, 12, 777–788. [Google Scholar] [CrossRef]
- Nikolaidis, M.G.; Kyparos, A.; Hadziioannou, M.; Panou, N.; Samaras, L.; Jamurtas, A.Z.; Kouretas, D. Acute Exercise Markedly Increases Blood Oxidative Stress in Boys and Girls. Appl. Physiol. Nutr. Metab. 2007, 32, 197–205. [Google Scholar] [CrossRef]
- Alkazemi, D.; Rahman, A.; Habra, B. Alterations in Glutathione Redox Homeostasis among Adolescents with Obesity and Anemia. Sci. Rep. 2021, 11, 3034. [Google Scholar] [CrossRef]
- Sastre, J.; Asensi, M.; Gasco, E.; Pallardo, F.V.; Ferrero, J.A.; Furukawa, T.; Vina, J. Exhaustive Physical Exercise Causes Oxidation of Glutathione Status in Blood: Prevention by Antioxidant Administration. Am. J. Physiol. 1992, 263, R992–R995. [Google Scholar] [CrossRef]
- Schippinger, G.; Wonisch, W.; Abuja, P.M.; Fankhauser, F.; Winklhofer-Roob, B.M.; Halwachs, G. Lipid Peroxidation and Antioxidant Status in Professional. Eur. J. Clin. Invest. 2002, 32, 686–692. [Google Scholar] [CrossRef]
- Le Moal, E.; Groussard, C.; Paillard, T.; Chaory, K.; Le Bris, R.; Plantet, K.; Pincemail, J.; Zouhal, H. Redox Status of Professional Soccer Players Is Influenced by Training Load Throughout a Season. Inter. J. Sport Med. 2016, 37, 680–686. [Google Scholar] [CrossRef]
- Varamenti, E.; Tod, D.; Pullinger, S.A. Redox Homeostasis and Inflammation Responses to Training in Adolescent Athletes: A Systematic Review and Meta-Analysis. Sport Med. Open 2020, 6, 34. [Google Scholar] [CrossRef]
- Lamprecht, M.; Greilberger, J.F.; Schwaberger, G.; Hofmann, P.; Oettl, K. Single Bouts of Exercise Affect Albumin Redox State and Carbonyl Groups on Plasma Protein of Trained Men in a Workload-Dependent Manner. J. Appl. Physiol. 2008, 104, 1611–1617. [Google Scholar] [CrossRef]
- Zalavras, A.; Fatouros, I.G.; Deli, C.K.; Draganidis, D.; Theodorou, A.A.; Soulas, D.; Koutsioras, Y.; Koutedakis, Y.; Jamurtas, A.Z. Age-Related Responses in Circulating Markers of Redox Status in Healthy Adolescents and Adults during the Course of a Training Macrocycle. Oxid. Med. Cell Longev. 2015, 2015, 283921. [Google Scholar] [CrossRef]
- Ammar, A.; Trabelsi, K.; Boukhris, O.; Glenn, J.M.; Bott, N.; Masmoudi, L.; Hakim, A.; Chtourou, H.; Driss, T.; Hoekelmann, A.; et al. Effects of Aerobic-, Anaerobic- and Combined-Based Exercises on Plasma Oxidative Stress Biomarkers in Healthy Untrained Young Adults. Int. J. Environ. Res. Public Health 2020, 17, 2601. [Google Scholar] [CrossRef]
- Brites, F.D.; Evelson, P.A.; Christiansen, M.G.; Nicol, M.F.; Basílico, M.J.; Wikinski, R.W.; Llesuy, S.F. Soccer Players under Regular Training Show Oxidative Stress but an Improved Plasma Antioxidant Status. Clin. Sci. 1999, 96, 381–385. [Google Scholar] [CrossRef]
- Dékány, M.; Nemeskéri, V.; Györe, I.; Harbula, I.; Malomsoki, J.; Pucsok, J. Antioxidant Status of Interval-Trained Athletes in Various Sports. Inter. J. Sport Med. 2006, 27, 112–116. [Google Scholar] [CrossRef] [PubMed]
- Melikoglu, M.A.; Kaldirimci, M.; Katkat, D.; Sen, I.; Kaplan, I.; Senel, K. The Effect of Regular Long Term Training on Antioxidant Enzymatic Activities. J. Sport Med. Phys. Fit. 2008, 48, 388–390. [Google Scholar]
- Carlsohn, A.; Rohn, S.; Bittmann, F.; Raila, J.; Mayer, F.; Schweigert, F.J. Exercise Increases the Plasma Antioxidant Capacity of Adolescent Athletes. Ann. Nutr. Metab. 2008, 53, 96–103. [Google Scholar] [CrossRef]
- Caplin, A.; Chen, F.S.; Beauchamp, M.R.; Puterman, E. The Effects of Exercise Intensity on the Cortisol Response to a Subsequent Acute Psychosocial Stressor. Psychoneuroendocrinology 2021, 131, 105336. [Google Scholar] [CrossRef] [PubMed]
- Godoy, L.D.; Rossignoli, M.T.; Delfino-Pereira, P.; Garcia-Cairasco, N.; de Lima Umeoka, E.H. A Comprehensive Overview on Stress Neurobiology: Basic Concepts and Clinical Implications. Front. Behav. Neurosci. 2018, 12, 127. [Google Scholar] [CrossRef]
- Ziemba, A.; Adamczyk, J.G.; Barczak, A.; Boguszewski, D.; Kozacz, A.; Dąbrowski, J.; Steczkowska, M.; Pepłońska, B.; Żekanowski, C. Changes in the Hormonal Profile of Athletes Following a Combat Sports Performance. Biomed. Res. Int. 2020, 2020, 9684792. [Google Scholar] [CrossRef]
- de Oliveira, L.F.G.; Souza-Junior, T.P.; Fechio, J.J.; Gomes-Santos, J.A.F.; Sampaio, R.C.; Vardaris, C.V.; Lambertucci, R.H.; de Barros, M.P. Uric Acid and Cortisol Levels in Plasma Correlate with Pre-Competition Anxiety in Novice Athletes of Combat Sports. Brain Sci. 2022, 12, 712. [Google Scholar] [CrossRef]
- Messan, F.; Tito, A.; Gouthon, P.; Nouatin, K.B.; Nigan, I.B.; Blagbo, A.S.; Lounana, J.; Medelli, J. Comparison of Catecholamine Values before and after Exercise-Induced Bronchospasm in Professional Cyclists. Tanaffos 2017, 16, 136–143. [Google Scholar]
- Zouhal, H.; Jacob, C.; Delamarche, P.; Gratas-Delamarche, A. Catecholamines and the Effects of Exercise, Training and Gender. Sport. Med. 2008, 38, 401–423. [Google Scholar] [CrossRef]
- Singal, P.K.; Kapur, N.; Dhillon, K.S.; Beamish, R.E.; Dhalla, N.S. Role of Free Radicals in Catecholamine-Induced Cardiomyopathy. Can. J. Physiol. Pharmacol. 1982, 60, 1390–1397. [Google Scholar] [CrossRef]
- Albino Teixeira, A.; Azevedo, I.; Branco, D.; Rodrigues-Pereira, E.; Osswald, W. Sympathetic Denervation Caused by Long-Term Noradrenaline Infusions; Prevention by Desipramine and Superoxide Dismutase. Br. J. Pharmacol. 1989, 97, 95–102. [Google Scholar] [CrossRef]
- Kruk, J.; Kotarska, K.; Aboul-Enein, B.H. Physical Exercise and Catecholamines Response: Benefits and Health Risk: Possible Mechanisms. Free Radic. Res. 2020, 54, 105–125. [Google Scholar] [CrossRef]
- Mehta, J.L.; Li, D. Epinephrine Upregulates Superoxide Dismutase in Human Coronary Artery Endothelial Cells. Free Radic. Biol. Med. 2001, 30, 148–153. [Google Scholar] [CrossRef]
- Herman, J.P.; Mcklveen, J.M.; Ghosal, S.; Kopp, B.; Wulsin, A.; Makinson, R.; Scheimann, J.; Myers, B. Regulation of the Hypothalamic-Pituitary-Adrenocortical Stress Response. Compr. Physiol. 2016, 6, 603–621. [Google Scholar] [CrossRef]
- Filaire, E.; Sagnol, M.; Ferrand, C.; Maso, F.; Lac, G. Psychophysiological Stress in Judo Athletes during Competitions. J. Sport Med. Phys. Fit. 2001, 41, 263–268. [Google Scholar]
- Kraemer, W.J.; Fry, A.C.; Rubin, M.R.; Triplett-Mcbride, T.; Gordon, S.E.; Perry Koziris, L.; Lynch, J.M.; Volek, J.S.; Meuffels, D.E.; Newton, R.U.; et al. Physiological and Performance Responses to Tournament Wrestling. Med. Sci. Sport Exerc. 2001, 33, 1367–1378. [Google Scholar] [CrossRef]
- Robazza, C.; Gallina, S.; D’Amico, M.A.; Izzicupo, P.; Bascelli, A.; Di Fonso, A.; Mazzaufo, C.; Capobianco, A.; Di Baldassarre, A. Relationship between Biological Markers and Psychological States in Elite Basketball Players across a Competitive Season. Psychol. Sport Exerc. 2012, 13, 509–517. [Google Scholar] [CrossRef]
- Doan, B.K.; Newton, R.U.; Kraemer, W.J.; Kwon, Y.H.; Scheet, T.P. Salivary Cortisol, Testosterone, and T/C Ratio Responses Durinq a 36-Hole Golf Competition. Int. J. Sport Med. 2007, 28, 470–479. [Google Scholar] [CrossRef]
- Lautenbach, F.; Laborde, S.; Klämpfl, M.; Achtzehn, S. A Link between Cortisol and Performance: An Exploratory Case Study of a Tennis Match. Int. J. Psychophysiol. 2015, 98, 167–173. [Google Scholar] [CrossRef]
- Dovio, A.; Roveda, E.; Sciolla, C.; Montaruli, A.; Raffaelli, A.; Saba, A.; Calogiuri, G.; De Francia, S.; Borrione, P.; Salvadori, P.; et al. Intense Physical Exercise Increases Systemic 11β-Hydroxysteroid Dehydrogenase Type 1 Activity in Healthy Adult Subjects. Eur. J. Appl. Physiol. 2010, 108, 681–687. [Google Scholar] [CrossRef]
- Abate, M.; Salini, V. Oxidative Stress, Testosterone, Cortisol, and Vitamin D: Differences in Professional Soccer Players of African and Caucasian Origin. Med. Princ. Pract. 2022, 31, 352–358. [Google Scholar] [CrossRef] [PubMed]
- Davison, G.; Gleeson, M.; Phillips, S. Antioxidant Supplementation and Immunoendocrine Responses to Prolonged Exercise. Med. Sci. Sport Exerc. 2007, 39, 645–652. [Google Scholar] [CrossRef] [PubMed]
- Peters, E.M.; Anderson, R.; Theron, A.J. Attenuation of Increase in Circulating Cortisol and Enhancement of the Acute Phase Protein Response in Vitamin C-Supplemented Ultramarathoners. Int. J. Sport Med. 2001, 22, 120–126. [Google Scholar] [CrossRef] [PubMed]
- Teixeira, V.; Valente, H.; Casal, S.; Pereira, L.; Marques, F.; Moreira, P. Antioxidant Status, Oxidative Stress, and Damage in Elite Kayakers after 1 Year of Training and Competition in 2 Seasons. Int. J. Sport Nutr. Exerc. Metab. 2009, 34, 716–724. [Google Scholar] [CrossRef] [PubMed]
- Myburgh, K.H. Polyphenol Supplementation: Benefits for Exercise Performance or Oxidative Stress? Sport Med. 2014, 44 (Suppl. 1), S57–S570. [Google Scholar] [CrossRef]
- Moore, K.; Roberts, L.J., 2nd. Measurement of Lipid Peroxidation. Free Radic. Res. 1998, 28, 659–671. [Google Scholar] [CrossRef]
- Bowtell, J.; Kelly, V. Fruit-Derived Polyphenol Supplementation for Athlete Recovery and Performance. Sport Med. 2019, 49 (Suppl. 1), 3–23. [Google Scholar] [CrossRef]
- Zeng, Z.; Jendricke, P.; Centner, C.; Storck, H.; Gollhofer, A.; König, D. Acute Effects of Oatmeal on Exercise-Induced Reactive Oxygen Species Production Following High-Intensity Interval Training in Women: A Randomized Controlled Trial. Antioxidants 2020, 10, 3. [Google Scholar] [CrossRef]
- Zeng, Z.; Centner, C.; Gollhofer, A.; König, D. Effects of Dietary Strategies on Exercise-Induced Oxidative Stress: A Narrative Review of Human Studies. Antioxidants 2021, 10, 542. [Google Scholar] [CrossRef]
- Maughan, R.J.; Burke, L.M.; Dvorak, J.; Larson-Meyer, D.E.; Peeling, P.; Phillips, S.M.; Rawson, E.S.; Walsh, N.P.; Garthe, I.; Geyer, H.; et al. IOC Consensus Statement: Dietary Supplements and the High-Performance Athlete. Br. J. Sport Med. 2018, 52, 439–455. [Google Scholar] [CrossRef]
- Palazzetti, S.; Richard, M.J.; Favier, A.; Margaritis, I. Overloaded Training Increases Exercise-Induced Oxidative Stress and Damage. Can. J. Appl. Physiol. 2003, 28, 588–604. [Google Scholar] [CrossRef]
- Ponce-Gonzalez, J.G.; Corral-Pérez, J.; De Villarreal, E.S.; Gutierrez-Manzanedo, J.V.; De Castro-Maqueda, G.; Casals, C. Antioxidants Markers of Professional Soccer Players during the Season and Their Relationship with Competitive Performance. J. Hum. Kinet. 2021, 80, 113–123. [Google Scholar] [CrossRef]
- Spanidis, Y.; Goutzourelas, N.; Stagos, D.; Mpesios, A.; Priftis, A.; Bar-Or, D.; Spandidos, D.A.; Tsatsakis, A.M.; Leon, G.; Kouretas, D. Variations in Oxidative Stress Markers in Elite Basketball Players at the Beginning and End of a Season. Exp. Ther. Med. 2016, 11, 147–153. [Google Scholar] [CrossRef][Green Version]
- Lafay, S.; Jan, C.; Nardon, K.; Lemaire, B.; Ibarra, A.; Roller, M.; Houvenaeghel, M.; Juhel, C.; Cara, L. Grape Extract Improves Antioxidant Status and Physical Performance in Elite Male Athletes. J. Sport Sci. Med. 2009, 8, 468–480. [Google Scholar]
- Lehmann, M.; Foster, C.; Keul, J. Overtraining in Endurance Athletes: A Brief Review. Med. Sci. Sport Exerc. 1993, 25, 854–862. [Google Scholar] [CrossRef]
- Margaritelis, N.V.; Kyparos, A.; Paschalis, V.; Theodorou, A.A.; Panayiotou, G.; Zafeiridis, A.; Dipla, K.; Nikolaidis, M.G.; Vrabas, I.S. Reductive Stress after Exercise: The Issue of Redox Individuality. Redox Biol. 2014, 2, 520–528. [Google Scholar] [CrossRef]
- Ruskovska, T.; Maksimova, V.; Milenkovic, D. Polyphenols in Human Nutrition: From the in Vitro Antioxidant Capacity to the Beneficial Effects on Cardiometabolic Health and Related Inter-Individual Variability—An Overview and Perspective. Br. J. Nutr. 2020, 123, 241–254. [Google Scholar] [CrossRef]
- Morillas-Ruiz, J.M.; Villegas García, J.A.; López, F.J.; Vidal-Guevara, M.L.; Zafrilla, P. Effects of Polyphenolic Antioxidants on Exercise-Induced Oxidative Stress. Clin. Nutr. 2006, 25, 444–453. [Google Scholar] [CrossRef]
- De Lima Tavares Toscano, L.; Silva, A.S.; de França, A.C.L.; de Sousa, B.R.V.; de Almeida Filho, E.J.B.; da Silveira Costa, M.; Marques, A.T.B.; da Silva, D.F.; de Farias Sena, K.; Cerqueira, G.S.; et al. A Single Dose of Purple Grape Juice Improves Physical Performance and Antioxidant Activity in Runners: A Randomized, Crossover, Double-Blind, Placebo Study. Eur. J. Nutr. 2020, 59, 2997–3007. [Google Scholar] [CrossRef]
- Toscano, L.T.; Tavares, R.L.; Toscano, L.T.; Silva, C.S.O.d.; Almeida, A.E.M.d.; Biasoto, A.C.T.; Gonçalves, M.d.C.R.; Silva, A.S. Potential Ergogenic Activity of Grape Juice in Runners. Appl. Physiol. Nutr. Metab. 2015, 40, 899–906. [Google Scholar] [CrossRef]
- McAnulty, S.R.; McAnulty, L.S.; Nieman, D.C.; Quindry, J.C.; Hosick, P.A.; Hudson, M.H.; Still, L.; Henson, D.A.; Milne, G.L.; Morrow, J.D.; et al. Chronic Quercetin Ingestion and Exercise-Induced Oxidative Damage and Inflammation. Appl. Physiol. Nutr. Metab. 2008, 33, 254–262. [Google Scholar] [CrossRef] [PubMed]
- Quindry, J.C.; McAnulty, S.R.; Hudson, M.B.; Hosick, P.; Dumke, C.; McAnulty, L.S.; Henson, D.; Morrow, J.D.; Nieman, D. Oral Quercetin Supplementation and Blood Oxidative Capacity in Response to Ultramarathon Competition. Int. J. Sport Nutr. Exerc. Metab. 2008, 18, 601–616. [Google Scholar] [CrossRef] [PubMed]
- Miyazawa, T.; Burdeos, G.C.; Itaya, M.; Nakagawa, K.; Miyazawa, T. Vitamin E: Regulatory Redox Interactions. IUBMB Life 2019, 71, 430–441. [Google Scholar] [CrossRef] [PubMed]
- Wolf, G. The Discovery of the Antioxidant Function of Vitamin E: The Contribution of Henry A. Mattill. J. Nutr. 2005, 135, 363–366. [Google Scholar] [CrossRef] [PubMed]
- Pilaczynska-Szczesniak, L.; Skarpanska-Steinborn, A.; Deskur, E.; Basta, P.; Horoszkiewicz-Hassan, M. The Influence of Chokeberry Juice Supplementation on the Reduction of Oxidative Stress Resulting from an Incremental Rowing Ergometer Exercise. Int. J. Sport Nutr. Exerc. Metab. 2005, 15, 48–58. [Google Scholar] [CrossRef]
- Padayatty, S.J.; Katz, A.; Wang, Y.; Eck, P.; Kwon, O.; Lee, J.H.; Chen, S.; Corpe, C.; Levine, M.; Dutta, A.; et al. Vitamin C as an Antioxidant: Evaluation of Its Role in Disease Prevention. J. Am. Coll. Nutr. 2003, 22, 18–35. [Google Scholar] [CrossRef]
- Rawson, E.S.; Miles, M.P.; Larson-Meyer, D.E. Dietary Supplements for Health, Adaptation, and Recovery in Athletes. Int. J. Sport Nutr. Exerc. Metab. 2018, 28, 188–199. [Google Scholar] [CrossRef]
- Davis, J.A.; Horn, D.L.; Marr, K.A. Central Nervous System Involvement in Cryptococcal Infection in Individuals after Solid Organ Transplantation or with AIDS. Transpl. Infect Dis. 2009, 11, 432–437. [Google Scholar] [CrossRef]
- Lagouge, M.; Argmann, C.; Gerhart-Hines, Z.; Meziane, H.; Lerin, C.; Daussin, F.; Messadeq, N.; Milne, J.; Lambert, P.; Elliott, P.; et al. Resveratrol Improves Mitochondrial Function and Protects against Metabolic Disease by Activating SIRT1 and PGC-1α. Cell 2006, 127, 1109–1122. [Google Scholar] [CrossRef]
- Bailey, S.J.; Fulford, J.; Vanhatalo, A.; Winyard, P.G.; Blackwell, J.R.; DiMenna, F.J.; Wilkerson, D.P.; Benjamin, N.; Jones, A.M. Dietary Nitrate Supplementation Enhances Muscle Contractile Efficiency during Knee-Extensor Exercise in Humans. J. Appl. Physiol. 2010, 109, 135–148. [Google Scholar] [CrossRef]
- Vanhatalo, A.; Bailey, S.J.; Blackwell, J.R.; DiMenna, F.J.; Pavey, T.G.; Wilkerson, D.P.; Benjamin, N.; Winyard, P.G.; Jones, A.M. Acute and Chronic Effects of Dietary Nitrate Supplementation on Blood Pressure and the Physiological Responses to Moderate-Intensity and Incremental Exercise. Am. J. Physiol. Regul. Integr. Comp. Physiol. 2010, 299, 1121–1131. [Google Scholar] [CrossRef]
- Lansley, K.E.; Winyard, P.G.; Fulford, J.; Vanhatalo, A.; Bailey, S.J.; Blackwell, J.R.; DiMenna, F.J.; Gilchrist, M.; Benjamin, N.; Jones, A.M. Dietary Nitrate Supplementation Reduces the O2 Cost of Walking and Running: A Placebo-Controlled Study. J. Appl. Physiol. 2011, 110, 591–600. [Google Scholar] [CrossRef]
- Davis, J.M.; Murphy, E.A.; Carmichael, M.D.; Davis, B. Quercetin Increases Brain and Muscle Mitochondrial Biogenesis and Exercise Tolerance. Am. J. Physiol. Regul. Integr. Comp. Physiol. 2009, 296, 1071–1077. [Google Scholar] [CrossRef]
- Rodgers, J.T.; Lerin, C.; Haas, W.; Gygi, S.P.; Spiegelman, B.M.; Puigserver, P. Nutrient Control of Glucose Homeostasis through a Complex of PGC-1alpha and SIRT1. Nature 2005, 434, 113–118. [Google Scholar] [CrossRef]
- Holloszy, J.O. Biochemical Adaptations in Muscle. Effects of Exercise on Mitochondrial Oxygen Uptake and Respiratory Enzyme Activity in Skeletal Muscle. J. Biol. Chem. 1967, 242, 2278–2282. [Google Scholar] [CrossRef]
- Rodgers, J.T.; Lerin, C.; Haas, W.; Gygi, S.P.; Spiegelman, B.M.; Puigserver, P. Molecular Basis of Exercise-Induced Skeletal Muscle Mitochondrial Biogenesis: Historical Advances, Current Knowledge, and Future Challenges. Cold Spring Harb. Perspect. Med. 2018, 8, a029686. [Google Scholar] [CrossRef]
- Dolinsky, V.W.; Jones, K.E.; Sidhu, R.S.; Haykowsky, M.; Czubryt, M.P.; Gordon, T.; Dyck, J.R.B. Improvements in Skeletal Muscle Strength and Cardiac Function Induced by Resveratrol during Exercise Training Contribute to Enhanced Exercise Performance in Rats. J. Physiol. 2012, 590, 2783–2799. [Google Scholar] [CrossRef]
- Kruk, J.; Hassan, B.; Enein, A.; Duchnik, E.; Marchlewicz, M. Antioxidative Properties of Phenolic Compounds and Their Effect on Oxidative Stress Induced by Severe Physical Exercise. J. Physiol. Sci. 2022, 72, 19. [Google Scholar] [CrossRef]
- Mason, S.A.; Trewin, A.J.; Parker, L.; Wadley, G.D. Antioxidant Supplements and Endurance Exercise: Current Evidence and Mechanistic Insights. Redox Biol. 2020, 35, 101471. [Google Scholar] [CrossRef]
- Haramizu, S.; Ota, N.; Hase, T.; Murase, T. Catechins Attenuate Eccentric Exercise-Induced Inflammation and Loss of Force Production in Muscle in Senescence-Accelerated Mice. J. Appl. Physiol. 2011, 111, 1654–1663. [Google Scholar] [CrossRef]
- Nakazato, K.; Ochi, E.; Waga, T. Dietary Apple Polyphenols Have Preventive Effects against Lengthening Contraction-Induced Muscle Injuries. Mol. Nutr. Food Res. 2010, 54, 364–372. [Google Scholar] [CrossRef] [PubMed]
- Swamy, M.S.L.; Naveen, S.; Singsit, D.; Naika, M.; Khanum, F. Anti-Fatigue Effects of Polyphenols Extracted from Pomegranate Peel. Int. J. Integr. Biol. 2011, 11, 69–72. [Google Scholar]
- Nogueira, L.; Ramirez-Sanchez, I.; Perkins, G.A.; Murphy, A.; Taub, P.R.; Ceballos, G.; Villarreal, F.J.; Hogan, M.C.; Malek, M.H. (-)-Epicatechin Enhances Fatigue Resistance and Oxidative Capacity in Mouse Muscle. J. Physiol. 2011, 589, 4615–4631. [Google Scholar] [CrossRef] [PubMed]
- Yada, K.; Roberts, L.A.; Oginome, N.; Suzuki, K. Effect of Acacia Polyphenol Supplementation on Exercise-Induced Oxidative Stress in Mice Liver and Skeletal Muscle. Antioxidants 2020, 9, 29. [Google Scholar] [CrossRef] [PubMed]
- Braakhuis, A.J.; Hopkins, W.G.; Lowe, T.E. Effects of Dietary Antioxidants on Training and Performance in Female Runners. Eur. J. Sport Sci. 2014, 14, 160–168. [Google Scholar] [CrossRef]
- Cases, J.; Romain, C.; Marín-Pagán, C.; Chung, L.H.; Rubio-Pérez, J.M.; Laurent, C.; Gaillet, S.; Prost-Camus, E.; Prost, M.; Alcaraz, P.E. Supplementation with a Polyphenol-Rich Extract, Perfload®, Improves Physical Performance during High-Intensity Exercise: A Randomized, Double Blind, Crossover Trial. Nutrients 2017, 9, 421. [Google Scholar] [CrossRef]
- Davison, G.; Callister, R.; Williamson, G.; Cooper, K.A.; Gleeson, M. The Effect of Acute Pre-Exercise Dark Chocolate Consumption on Plasma Antioxidant Status, Oxidative Stress and Immunoendocrine Responses to Prolonged Exercise. Eur. J. Nutr. 2011, 51, 69–79. [Google Scholar] [CrossRef]
- Voduc, N.; la Porte, C.; Tessier, C.; Mallick, R.; Cameron, D.W. Effect of Resveratrol on Exercise Capacity: A Randomized Placebo-Controlled Crossover Pilot Study. Appl. Physiol. Nutr. Metab. 2014, 39, 1183–1187. [Google Scholar] [CrossRef]
- Howatson, G.; McHugh, M.P.; Hill, J.A.; Brouner, J.; Jewell, A.P.; Van Someren, K.A.; Shave, R.E.; Howatson, S.A. Influence of Tart Cherry Juice on Indices of Recovery Following Marathon Running. Scand. J. Med. Sci. Sport 2010, 20, 843–852. [Google Scholar] [CrossRef]
- Garg, A.; Garg, S.; Zaneveld, L.J.D.; Singla, A.K. Chemistry and Pharmacology of the Citrus Bioflavonoid Hesperidin. Phytother. Res. 2001, 15, 655–669. [Google Scholar] [CrossRef]
- Martínez-Noguera, F.J.; Marín-pagán, C.; Carlos-vivas, J.; Alcaraz, P.E. 8-Week Supplementation of 2S-Hesperidin Modulates Antioxidant and Inflammatory Status After Exercise Until Exhaustion in Amateur Cyclists. Antioxidants 2021, 10, 432. [Google Scholar] [CrossRef]
- Kalpana, K.B.; Srinivasan, M.; Menon, V.P. Evaluation of Antioxidant Activity of Hesperidin and Its Protective Effect on H2O2 Induced Oxidative Damage on PBR322 DNA and RBC Cellular Membrane. Mol. Cell Biochem. 2009, 323, 21–29. [Google Scholar] [CrossRef]
- Chen, M.; Gu, H.; Ye, Y.; Lin, B.; Sun, L.; Deng, W.; Zhang, J.; Liu, J. Protective Effects of Hesperidin against Oxidative Stress of Tert-Butyl Hydroperoxide in Human Hepatocytes. Food Chem. Toxicol. 2010, 48, 2980–2987. [Google Scholar] [CrossRef]
- Dean, S.; Braakhuis, A.; Paton, C. The Effects of EGCG on Fat Oxidation and Endurance Performance in Male Cyclists. Int. J. Sport Nutr. Exerc. Metab. 2009, 19, 624–644. [Google Scholar] [CrossRef]
- Magrone, T.; Russo, M.A.; Jirillo, E. Cocoa and Dark Chocolate Polyphenols: From Biology to Clinical Applications. Front. Immunol. 2017, 8, 677. [Google Scholar] [CrossRef]
- Allgrove, J.; Farrell, E.; Gleeson, M.; Williamson, G.; Cooper, K. Regular Dark Chocolate Consumption’s Reduction of Oxidative Stress and Increase of Free-Fatty-Acid Mobilization in Response to Prolonged Cycling. Int. J. Sport Nutr. Exerc. Metab. 2011, 21, 113–123. [Google Scholar] [CrossRef]
- Cavarretta, E.; Peruzzi, M.; Del Vescovo, R.; Di Pilla, F.; Gobbi, G.; Serdoz, A.; Ferrara, R.; Schirone, L.; Sciarretta, S.; Nocella, C.; et al. Dark Chocolate Intake Positively Modulates Redox Status and Markers of Muscular Damage in Elite Football Athletes: A Randomized Controlled Study. Oxid. Med. Cell Longev. 2018, 2018, 4061901. [Google Scholar] [CrossRef]
- Levers, K.; Dalton, R.; Galvan, E.; Goodenough, C.; O’Connor, A.; Simbo, S.; Barringer, N.; Mertens-Talcott, S.U.; Rasmussen, C.; Greenwood, M.; et al. Effects of Powdered Montmorency Tart Cherry Supplementation on an Acute Bout of Intense Lower Body Strength Exercise in Resistance Trained Males. J. Int. Soc. Sport Nutr. 2015, 12, 41. [Google Scholar] [CrossRef]
- Sadowska-Krępa, E.; Kłapcińska, B.; Kimsa, E.; Karpiński, R. Effects of Supplemetation with Red Grape Skin Polyphenolic Extract and Interval Swimming Test on the Blood Antioxidant Status in Healthy Men. Med. Sport 2008, 12, 1–7. [Google Scholar] [CrossRef]
- Bell, P.G.; Walshe, I.H.; Davison, G.W.; Stevenson, E.; Howatson, G. Montmorency Cherries Reduce the Oxidative Stress and Inflammatory Responses to Repeated Days High-Intensity Stochastic Cycling. Nutrients 2014, 6, 829–843. [Google Scholar] [CrossRef]
- Bell, P.G.; Walshe, I.H.; Davison, G.W.; Stevenson, E.J.; Howatson, G. Recovery Facilitation with Montmorency Cherries Following High-Intensity, Metabolically Challenging Exercise. Appl. Physiol. Nutr. Metab. 2015, 40, 414–423. [Google Scholar] [CrossRef] [PubMed]
- McCormick, R.; Peeling, P.; Binnie, M.; Dawson, B.; Sim, M. Effect of Tart Cherry Juice on Recovery and next Day Performance in Well-Trained Water Polo Players. J. Int. Soc. Sport Nutr. 2016, 13, 4–11. [Google Scholar] [CrossRef] [PubMed]
- Nieman, D.C.; Gillitt, N.D.; Knab, A.M.; Shanely, R.A.; Pappan, K.L.; Jin, F.; Lila, M.A. Influence of a Polyphenol-Enriched Protein Powder on Exercise-Induced Inflammation and Oxidative Stress in Athletes: A Randomized Trial Using a Metabolomics Approach. PLoS ONE 2013, 8, e72215. [Google Scholar] [CrossRef] [PubMed]
- Ortiz-Franco, M.; Planells, E.; Quintero, B.; Acuña-Castroviejo, D.; Rusanova, I.; Escames, G.; Molina-López, J. Effect of Melatonin Supplementation on Antioxidant Status and DNA Damage in High Intensity Trained Athletes. Int. J. Sport Med. 2017, 38, 1117–1125. [Google Scholar] [CrossRef] [PubMed]
- Lotito, S.B.; Frei, B. Consumption of Flavonoid-Rich Foods and Increased Plasma Antioxidant Capacity in Humans: Cause, Consequence, or Epiphenomenon? Free Radic. Biol. Med. 2006, 41, 1727–1746. [Google Scholar] [CrossRef]
- Institute of Medicine (US) Panel on Dietary Antioxidants and Related Compounds. Dietary Reference Intakes for Vitamin C, Vitamin E, Selenium, and Carotenoids; National Academies Press: Washington, DC, USA, 2000. [Google Scholar] [CrossRef]
- Williamson, G.; Holst, B. Dietary Reference Intake (DRI) Value for Dietary Polyphenols: Are We Heading in the Right Direction? Br. J. Nutr. 2008, 99 (Suppl. 3), 55–58. [Google Scholar] [CrossRef]
- Powers, S.K.; DeRuisseau, K.C.; Quindry, J.; Hamilton, K.L. Dietary Antioxidants and Exercise. J. Sport Sci. 2004, 22, 81–94. [Google Scholar] [CrossRef]
- Katerji, M.; Filippova, M.; Duerksen-Hughes, P. Approaches and Methods to Measure Oxidative Stress in Clinical Samples: Research Applications in the Cancer Field. Oxid. Med. Cell Longev. 2019, 2019, 1279250. [Google Scholar] [CrossRef]
- Tsao, R. Chemistry and Biochemistry of Dietary Polyphenols. Nutrients 2010, 2, 1231–1246. [Google Scholar] [CrossRef]
- Chen, J.; Yang, J.; Ma, L.; Li, J.; Shahzad, N.; Kim, C.K. Structure-Antioxidant Activity Relationship of Methoxy, Phenolic Hydroxyl, and Carboxylic Acid Groups of Phenolic Acids. Sci. Rep. 2020, 10, 2611, Erratum in Sci. Rep. 2020, 10, 5666. [Google Scholar] [CrossRef]
- Decroix, L.; Tonoli, C.; Soares, D.D.; Descat, A.; Drittij-Reijnders, M.J.; Weseler, A.R.; Bast, A.; Stahl, W.; Heyman, E.; Meeusen, R. Acute Cocoa Flavanols Intake Has Minimal Effects on Exercise-Induced Oxidative Stress and Nitric Oxide Production in Healthy Cyclists: A Randomized Controlled Trial. J. Int. Soc. Sport Nutr. 2017, 14, 28. [Google Scholar] [CrossRef]
- Yarahmadi, M.; Askari, G.; Kargarfard, M.; Ghiasvand, R.; Hoseini, M.; Mohamadi, H.; Asadi, A. The Effect of Anthocyanin Supplementation on Body Composition, Exercise Performance and Muscle Damage Indices in Athletes. Int. J. Prev. Med. 2014, 5, 1594–1600. [Google Scholar]
- Mcanulty, L.S.; Miller, L.E.; Hosick, P.A.; Utter, A.C.; Quindry, J.C.; Mcanulty, S.R. Effect of Resveratrol and Quercetin Supplementation on Redox Status and Inflammation after Exercise. Appl. Physiol. Nutr. Metab. 2013, 38, 760–765. [Google Scholar] [CrossRef]
- Giuriato, G.; Venturelli, M.; Matias, A.; Soares, E.M.K.V.K.; Gaetgens, J.; Frederick, K.A.; Ives, S.J. Capsaicin and Its Effect on Exercise Performance, Fatigue and Inflammation after Exercise. Nutrients 2022, 14, 232. [Google Scholar] [CrossRef]


Disclaimer/Publisher’s Note: The statements, opinions and data contained in all publications are solely those of the individual author(s) and contributor(s) and not of MDPI and/or the editor(s). MDPI and/or the editor(s) disclaim responsibility for any injury to people or property resulting from any ideas, methods, instructions or products referred to in the content. |
© 2022 by the authors. Licensee MDPI, Basel, Switzerland. This article is an open access article distributed under the terms and conditions of the Creative Commons Attribution (CC BY) license (https://creativecommons.org/licenses/by/4.0/).
Share and Cite
Bojarczuk, A.; Dzitkowska-Zabielska, M. Polyphenol Supplementation and Antioxidant Status in Athletes: A Narrative Review. Nutrients 2023, 15, 158. https://doi.org/10.3390/nu15010158
Bojarczuk A, Dzitkowska-Zabielska M. Polyphenol Supplementation and Antioxidant Status in Athletes: A Narrative Review. Nutrients. 2023; 15(1):158. https://doi.org/10.3390/nu15010158
Chicago/Turabian StyleBojarczuk, Aleksandra, and Magdalena Dzitkowska-Zabielska. 2023. "Polyphenol Supplementation and Antioxidant Status in Athletes: A Narrative Review" Nutrients 15, no. 1: 158. https://doi.org/10.3390/nu15010158
APA StyleBojarczuk, A., & Dzitkowska-Zabielska, M. (2023). Polyphenol Supplementation and Antioxidant Status in Athletes: A Narrative Review. Nutrients, 15(1), 158. https://doi.org/10.3390/nu15010158

