Testosterone Deficiency and Nutritional Parameters as Predictors of All-Cause Mortality among Male Dialysis Patients
Abstract
1. Introduction
2. Materials and Methods
Statistical Analysis
3. Results
3.1. General Characteristics
3.2. Correlation Analysis
3.3. Implications and Outcomes
4. Discussion
Author Contributions
Funding
Institutional Review Board Statement
Informed Consent Statement
Data Availability Statement
Acknowledgments
Conflicts of Interest
References
- Go, A.S.; Chertow, G.M.; Fan, D.; McCulloch, C.E.; Hsu, C.Y. Chronic Kidney Disease and the Risks of Death, Cardiovascular Events, and Hospitalization. N. Engl. J. Med. 2004, 351, 1296–1305. [Google Scholar] [CrossRef] [PubMed]
- Cheung, A.K.; Sarnak, M.J.; Yan, G.; Berkoben, M.; Heyka, R.; Kaufman, A.; Lewis, J.; Rocco, M.; Toto, R.; Windus, D.; et al. Cardiac diseases in maintenance hemodialysis patients: Results of the HEMO Study. Kidney Int. 2004, 65, 2380–2389. [Google Scholar] [CrossRef] [PubMed]
- Sarnak, M.J.; Levey, A.S.; Schoolwerth, A.C.; Coresh, J.; Culleton, B.; Hamm, L.L.; McCullough, P.A.; Kasiske, B.L.; Kelepouris, E.; Klag, M.J.; et al. Kidney disease as a risk factor for development of cardiovascular disease: A statement from the American Heart Association Councils on Kidney in Cardiovascular Disease, High Blood Pressure Research, Clinical Cardiology, and Epidemiology and Prevention. Circulation 2003, 108, 2154–2169. [Google Scholar] [CrossRef] [PubMed]
- Handelsman, D.J.; Liu, P.Y. Androgen therapy in chronic renal failure. Baillieres Clin. Endocrinol Metab. 1998, 12, 485–500. [Google Scholar] [CrossRef]
- Carrero, J.J.; Qureshi, A.R.; Nakashima, A.; Arver, S.; Parini, P.; Lindholm, B.; Bárány, P.; Heimbürger, O.; Stenvinkel, P. Prevalence and clinical implications of testosterone deficiency in men with end-stage renal disease. Nephrol. Dial. Transplant. 2010, 26, 184–190. [Google Scholar] [CrossRef]
- Yu, J.; Ravel, V.A.; You, A.S.; Streja, E.; Rivara, M.B.; Potukuchi, P.K.; Brunelli, S.M.; Kovesdy, C.P.; Kalantar-Zadeh, K.; Rhee, C.M. Association between Testosterone and Mortality Risk among U.S. Males Receiving Dialysis. Am. J. Nephrol. 2017, 46, 195–203. [Google Scholar] [CrossRef]
- Albaaj, F.; Sivalingham, M.; Haynes, P.; McKinnon, G.; Foley, R.N.; Waldek, S.; O’Donoghue, D.J.; A Kalra, P. Prevalence of hypogonadism in male patients with renal failure. Postgrad. Med. J. 2006, 82, 693–696. [Google Scholar] [CrossRef]
- Tokgöz, B.; Utaş, C.; Dogukan, A.; Güven, M.; Taşkapan, H.; Oymak, O.; Keleştimur, F. Effects of long-term erythropoietin therapy on the hypothalamo-pituitary-testicular axis in male CAPD patients. Perit. Dial. Int. J. Int. Soc. Perit. Dial. 2002, 21, 448–454. [Google Scholar] [CrossRef]
- Bhasin, S.; Cunningham, G.R.; Hayes, F.J.; Matsumoto, A.M.; Snyder, P.J.; Swerdloff, R.S.; Montori, V.M. Task Force, Endocrine Society. Testosterone therapy in men with androgen deficiency syndromes: An Endocrine Society clinical practice guideline. J. Clin. Endocrinol. Metab. 2010, 95, 2536–2559. [Google Scholar] [CrossRef]
- Carrero, J.J. Testosterone Deficiency at the Crossroads of Cardiometabolic Complications in CKD. Am. J. Kidney Dis. 2014, 64, 322–325. [Google Scholar] [CrossRef]
- Haring, R.; Völzke, H.; Steveling, A.; Krebs, A.; Felix, S.B.; Schöfl, C.; Dörr, M.; Nauck, M.; Wallaschofski, H. Low serum testosterone levels are associated with increased risk of mortality in a population-based cohort of men aged 20–79. Eur. Heart J. 2010, 31, 1494–1501. [Google Scholar] [CrossRef] [PubMed]
- Smith, G.; Ben-Shlomo, Y.; Beswick, A.; Yarnell, J.; Lightlman, S.; Elwood, P. Cortisol, Testosterone, and Coronary Heart Disease: Prospective Evidence From the Caerphilly Study. ACC Curr. J. Rev. 2005, 14, 17. [Google Scholar] [CrossRef]
- Barone, B.; Napolitano, L.; Abate, M.; Cirillo, L.; Reccia, P.; Passaro, F.; Turco, C.; Morra, S.; Mastrangelo, F.; Scarpato, A.; et al. The Role of Testosterone in the Elderly: What Do We Know? Int. J. Mol. Sci. 2022, 23, 3535. [Google Scholar] [CrossRef] [PubMed]
- Yilmaz, M.I.; Sonmez, A.; Qureshi, A.R.; Saglam, M.; Stenvinkel, P.; Yaman, H.; Eyileten, T.; Caglar, K.; Oguz, Y.; Taslipinar, A.; et al. Endogenous testosterone, endothelial dysfunction, and cardiovascular events in men with non-dialysis chronic kidney disease. Clin. J. Am. Soc. Nephrol. 2011, 6, 1617–1625. [Google Scholar] [CrossRef] [PubMed]
- Khurana, K.K.; Navaneethan, S.D.; Arrigain, S.; Schold, J.D.; Nally, J.V.; Shoskes, D.A. Serum Testosterone Levels and Mortality in Men With CKD Stages 3-4. Am. J. Kidney Dis. 2014, 64, 367–374. [Google Scholar] [CrossRef] [PubMed]
- Karakitsos, D.; Patrianakos, A.P.; De Groot, E.; Boletis, J.; Karabinis, A.; Kyriazis, J.; Samonis, G.; Parthenakis, F.I.; Vardas, P.E.; Daphnis, E. Androgen Deficiency and Endothelial Dysfunction in Men with End-Stage Kidney Disease Receiving Maintenance Hemodialysis. Am. J. Nephrol. 2006, 26, 536–543. [Google Scholar] [CrossRef]
- Niemczyk, S.; Niemczyk, L.; Szamotulska, K.; Bartoszewicz, Z.; Romejko-Ciepielewska, K.; Gomółka, M.; Saracyn, M.; Matuszkiewicz-Rowińska, J. Is Free Testosterone Concentration a Prognostic Factor of Survival in Chronic Renal Failure (CRF)? Med. Sci. Monit. 2015, 21, 3401–3408. [Google Scholar] [CrossRef]
- Zhao, J.V.; Schooling, C.M. The role of testosterone in chronic kidney disease and kidney function in men and women: A bi-directional Mendelian randomization study in the UK Biobank. BMC Med. 2020, 18, 122. [Google Scholar] [CrossRef]
- Wu, H.-C.; Lee, L.-C.; Wang, W.-J. The association between serum testosterone and mortality among elderly men on hemodialysis. J. Clin. Lab. Anal. 2018, 32, e22394. [Google Scholar] [CrossRef]
- Grossmann, M.; Hoermann, R.; Fui, M.N.T.; Zajac, J.D.; Ierino, F.L.; Roberts, M.A. Sex steroids levels in chronic kidney disease and kidney transplant recipients: Associations with disease severity and prediction of mortality. Clin. Endocrinol. 2014, 82, 767–775. [Google Scholar] [CrossRef]
- Kyriazis, J.; Tzanakis, I.; Stylianou, K.; Katsipi, I.; Moisiadis, D.; Papadaki, A.; Mavroeidi, V.; Kagia, S.; Karkavitsas, N.; Daphnis, E. Low serum testosterone, arterial stiffness and mortality in male haemodialysis patients. Nephrol. Dial. Transplant. 2011, 26, 2971–2977. [Google Scholar] [CrossRef] [PubMed]
- Gungor, O.; Kircelli, F.; Carrero, J.J.; Asci, G.; Toz, H.; Tatar, E.; Hur, E.; Sever, M.S.; Arinsoy, T.; Ok, E.; et al. Endogenous testosterone and mortality in male hemodialysis patients: Is it the result of aging? Clin. J. Am. Soc. Nephrol. 2010, 5, 2018–2023. [Google Scholar] [CrossRef] [PubMed]
- Carrero, J.J.; Qureshi, A.R.; Parini, P.; Arver, S.; Lindholm, B.; Bárány, P.; Heimbürger, O.; Stenvinkel, P. Low Serum Testosterone Increases Mortality Risk among Male Dialysis Patients. J. Am. Soc. Nephrol. 2009, 20, 613–620. [Google Scholar] [CrossRef]
- Bello, A.K.; Stenvinkel, P.; Lin, M.; Hemmelgarn, B.; Thadhani, R.; Klarenbach, S.; Chan, C.; Zimmerman, D.; Cembrowski, G.; Strippoli, G.; et al. Serum Testosterone Levels and Clinical Outcomes in Male Hemodialysis Patients. Am. J. Kidney Dis. 2014, 63, 268–275. [Google Scholar] [CrossRef] [PubMed]
- Trivedi, D.P.; Khaw, K.T. Dehydroepiandrosterone sulfate and mortality in elderly men and women. J. Clin. Endocrinol. Metab. 2001, 86, 4171–4177. [Google Scholar] [CrossRef] [PubMed]
- Wu, T.; Chen, Y.; Zhou, Y.; Adi, D.; Zheng, Y.; Liu, F.; Ma, Y.; Xie, X. Prognostic Value of Dehydroepiandrosterone Sulfate for Patients With Cardiovascular Disease: A Systematic Review and Meta-Analysis. J. Am. Heart Assoc. 2017, 6, e004896. [Google Scholar] [CrossRef]
- Kakiya, R.; Shoji, T.; Hayashi, T.; Tatsumi-Shimomura, N.; Tsujimoto, Y.; Tabata, T.; Shima, H.; Mori, K.; Fukumoto, S.; Tahara, H.; et al. Decreased serum adrenal androgen dehydroepiandrosterone sulfate and mortality in hemodialysis patients. Nephrol. Dial. Transplant. 2012, 27, 3915–3922. [Google Scholar] [CrossRef]
- Hsu, H.J.; Yen, C.H.; Chen, C.K.; Hsu, K.H.; Hsiao, C.C.; Lee, C.C.; Wu, I.W.; Sun, C.Y.; Chou, C.C.; Hsieh, M.-F.; et al. Low plasma DHEA-S increases mortality risk among male hemodialysis patients. Exp. Gerontol. 2012, 47, 950e957. [Google Scholar] [CrossRef]
- Fouque, D.; Kalantar-Zadeh, K.; Kopple, J.; Cano, N.; Chauveau, P.; Cuppari, L.; Franch, H.; Guarnieri, G.; Ikizler, T.A.; Kaysen, G.; et al. A proposed nomenclature and diagnostic criteria for protein–energy wasting in acute and chronic kidney disease. Kidney Int. 2008, 73, 391–398. [Google Scholar] [CrossRef]
- de Araújo, I.C.; Kamimura, M.A.; Draibe, S.A.; Canziani, M.E.F.; Manfredi, S.R.; Avesani, C.M.; Sesso, R.; Cuppari, L. Nutritional Parameters and Mortality in Incident Hemodialysis Patients. J. Ren. Nutr. 2006, 16, 27–35. [Google Scholar] [CrossRef]
- Kalantar-Zadeh, K.; Supasyndh, O.; Lehn, R.S.; McAllister, C.J.; Kopple, J.D. Normalized protein nitrogen appearance is correlated with hospitalization and mortality in hemodialysis patients with Kt/V greater than 1.20. J. Ren. Nutr. 2003, 13, 15–25. [Google Scholar] [CrossRef] [PubMed]
- Carrero, J.J.; Stenvinkel, P.; Cuppari, L.; Ikizler, T.A.; Kalantar-Zadeh, K.; Kaysen, G.; Mitch, W.E.; Price, S.R.; Wanner, C.; Wang, A.Y.; et al. Etiology of the Protein-Energy Wasting Syndrome in Chronic Kidney Disease: A Consensus Statement From the International Society of Renal Nutrition and Metabolism (ISRNM). J. Ren. Nutr. 2013, 23, 77–90. [Google Scholar] [CrossRef] [PubMed]
- Rymarz, A.; Matyjek, A.; Gomółka, M.; Niemczyk, S. Lean Tissue Index and Body Cell Mass Can Be Predictors of Low Free Testosterone Levels in Men on Hemodialysis. J. Ren. Nutr. 2019, 29, 529–535. [Google Scholar] [CrossRef] [PubMed]
- Garibotto, G.; Picciotto, D.; Verzola, D. Testosterone deficiency, frailty and muscle wasting in CKD: A converging paradigm? Nephrol. Dial. Transplant. 2019, 34, 723–726. [Google Scholar] [CrossRef]
- Levey, A.S.; Bosch, J.P.; Lewis, J.B.; Greene, T.; Rogers, N.; Roth, D. A More Accurate Method To Estimate Glomerular Filtration Rate from Serum Creatinine: A New Prediction Equation. Modification of Diet in Renal Disease Study Group. Ann. Intern. Med. 1999, 130, 461–470. [Google Scholar] [CrossRef]
- Nakashima, A.; Ohkido, I.; Yokoyama, K.; Mafune, A.; Urashima, M.; Yokoo, T. Associations Between Low Serum Testosterone and All-Cause Mortality and Infection-Related Hospitalization in Male Hemodialysis Patients: A Prospective Cohort Study. Kidney Int. Rep. 2017, 2, 1160–1168. [Google Scholar] [CrossRef]
- Kuczera, P.; Więcek, A.; Adamczak, M. Serum testosterone concentrations in male patients with end-stage kidney disease treated with haemodialysis. Endokrynol. Polska 2021, 72, 347–352. [Google Scholar] [CrossRef]
- Cigarrán, S.; Coronel, F.; Florit, E.; Calviño, J.; Villa, J.; Tabares, L.G.; Herrero, J.A.; Carrero, J.J. Testosterone deficiency in dialysis patients: Difference between dialysis techniques. Nefrologia 2017, 37, 526–530. [Google Scholar] [CrossRef]
- Singh, A.B.; Norris, K.; Modi, N.; Sinha-Hikim, I.; Shen, R.; Davidson, T.; Bhasin, S. Pharmacokinetics of a Transdermal Testosterone System in Men with End Stage Renal Disease Receiving Maintenance Hemodialysis and Healthy Hypogonadal Men1. J. Clin. Endocrinol. Metab. 2001, 86, 2437–2445. [Google Scholar] [CrossRef][Green Version]
- de Vries, C.P.; Gooren, L.J.; Oe, P.L. Haemodialysis and testicular function. Int. J. Androl. 1984, 7, 97–103. [Google Scholar] [CrossRef] [PubMed]
- Nieszporek, T.; Witkowicz, J.; Nowak, L.; Chudek, J.; Więcek, A. Low Plasma Dehydroepiandrosterone Sulfate Level and its Relationship to Adiponectin in Hemodialysis Patients. Ren. Fail. 2007, 29, 417–421. [Google Scholar] [CrossRef] [PubMed][Green Version]
- Van Kammen, E.; Thijssen, J.H.; Schwarz, F. Sex hormones in male patients with chronic renal failure. I. The production of testosterone and of androstenedione. Clin. Endocrinol. 1978, 8, 7–14. [Google Scholar] [CrossRef] [PubMed]
- Handelsman, D.J. Hypothalamic-Pituitary Gonadal Dysfunction in Renal Failure, Dialysis and Renal Transplantation. Endocr. Rev. 1985, 6, 151–182. [Google Scholar] [CrossRef]
- Adamczak, M.; Wiecek, A. The Adipose Tissue as an Endocrine Organ. Semin. Nephrol. 2013, 33, 2–13. [Google Scholar] [CrossRef] [PubMed]
- Bhasin, S.; Brito, J.P.; Cunningham, G.R.; Hayes, F.J.; Hodis, H.N.; Matsumoto, A.M.; Snyder, P.J.; Swerdloff, R.S.; Wu, F.C.; Yialamas, M.A. Testosterone Therapy in Men With Hypogonadism: An Endocrine Society Clinical Practice Guideline. J. Clin. Endocrinol. Metab. 2018, 103, 1715–1744. [Google Scholar] [CrossRef]
- Vermeulen, A.; Verdonck, L.; Kaufman, J.M. A critical evaluation of simple methods for the estimation of free testosterone in serum. J. Clin. Endocrinol. Metab. 1999, 84, 3666–3672. [Google Scholar] [CrossRef]
- Leavey, S.F.; Strawderman, R.L.; A Jones, C.; Port, F.K.; Held, P.J. Simple nutritional indicators as independent predictors of mortality in hemodialysis patients. Am. J. Kidney Dis. 1998, 31, 997–1006. [Google Scholar] [CrossRef]
- Cobo, G.; Cordeiro, A.C.; Amparo, F.C.; Amodeo, C.; Lindholm, B.; Carrero, J.J. Visceral Adipose Tissue and Leptin Hyperproduction Are Associated With Hypogonadism in Men With Chronic Kidney Disease. J. Ren. Nutr. 2017, 27, 243–248. [Google Scholar] [CrossRef]
- Heimbürger, O.; Lönnqvist, F.; Danielsson, A.; Nordenström, J.; Stenvinkel, P. Serum immunoreactive leptin concentration and its relation to the body fat content in chronic renal failure. J. Am. Soc. Nephrol. 1997, 8, 1423–1430. [Google Scholar] [CrossRef]
- Isidori, A.M.; Caprio, M.; Strollo, F.; Moretti, C.; Frajese, G.; Isidori, A.; Fabbri, A. Leptin and Androgens in Male Obesity: Evidence for Leptin Contribution to Reduced Androgen Levels. J. Clin. Endocrinol. Metab. 1999, 84, 3673–3680. [Google Scholar] [CrossRef][Green Version]




| CKD | HD | PD | p * | |
|---|---|---|---|---|
| CVD history | 40.0% (12/29) | 74.2% (23/31) | 64.7% (11/17) | 0.031 |
| DM | 33.3% (10/29) | 61.3% (19/31) | 47.0% (8/17) | 0.115 |
| Hypertension | 83.3% (25/29) | 100.0% (31/31) | 100.0% (17/17) | 0.152 |
| Smoking | 10.0% (3/29) | 9.7% (3/31) | 11.8% (2/17) | 0.923 |
| CKD | HD | PD | p * | ||
|---|---|---|---|---|---|
| n = 30 | n = 31 | n = 17 | |||
| BMI (kg/m2) | Mean ± SD | 28.0 ± 4.7 | 28.9 ± 5.0 | 27.3 ± 4.2 | 0.521 |
| Median (min–max) | 27.3 (19.8–40.1) | 28.2 (18.9–38.8) | 27.3 (18.9–53.1) | ||
| Albumin (g/dL) | Mean ± SD | 4.4 ± 0.3 | 4.1 ± 0.4 | 3.8 ± 0.4 | <0.001 |
| Median (min–max) | 4.5 (3.9–4.9) | 4.1 (3.2–4.7) | 3.9 (2.5–4.2) | ||
| Prealbumin (mg/dL) | Mean ± SD | 33.9 ± 7.5 | 31.6 ± 8.5 | 30.3 ± 7.2 | 0.533 |
| Median (min–max) | 32.5 (19–56) | 31 (21–54) | 33 (13–40) | ||
| Total cholesterol (mg/dL) | Mean ± SD | 161.3 ± 48.0 | 145.8 ± 39.1 | 151.3 ± 33.8 | 0.434 |
| Median (min–max) | 149 (96–247) | 140 (90–252) | 152 (81–230) | ||
| CKD | HD | PD | p * | ||
|---|---|---|---|---|---|
| n = 30 | n = 31 | n = 17 | |||
| Total testosterone (ng/mL) | Mean ± SD | 3.8 ± 1.4 | 3.1 ± 1.3 | 3.7 ± 1.3 | 0.016 |
| Median (min–max) | 3.9 (0.03–8.1) | 2.7 (1.1–8.0) | 3.6 (1.7–6.4) | ||
| Free testosterone (pg/mL) | Mean ± SD | 68.6 ± 24.3 | 53.8 ± 18.6 | 69.5 ± 23.2 | 0.010 |
| Median (min–max) | 65.1 (0.5–123) | 49.0 (24.9–105) | 67.8 (40.9–133) | ||
| DHEA-S (ug/dL) | Mean ± SD | 143.5 ± 96.9 | 127.2 ± 88.0 | 181.7 ± 169.6 | 0.441 |
| Median (min–max) | 109 (35–418) | 94.5 (46–331) | 143 (9–689) | ||
| Androstenedione (ng/mL) | Mean ± SD | 1.2 ± 0.7 | 1.3 ± 0.7 | 1.6 ± 0.8 | 0.173 |
| Median (min–max) | 1.1 (0.3–3.0) | 1.1 (0.5–2.9) | 1.7 (0.2–3.1) | ||
| SHBG (ug/mL) | Mean ± SD | 4.6 ± 1.4 | 4.9 ± 3.3 | 4.6 ± 1.7 | 0.626 |
| Median (min–max) | 4.3 (2–7) | 4.2 (2.0–18.9) | 4.9 (1.6–8.0) | ||
| Leptin (ng/mL) | Mean ± SD | 9.4 ± 8.7 | 15.4 ± 15.2 | 10.9 ± 8.7 | 0.277 |
| Median (min–max) | 6.3 (0.3–34.4) | 11.8 (0.4–72.1) | 8.6 90.5–29.8) | ||
| LH (IU/L) | Mean ± SD | 11.7 ± 8.9 | 15.4 ± 16.5 | 18.5 ± 14.7 | 0.191 |
| Median (min–max) | 9.1 (0.1–48.1) | 9.8 (0.4–79.4) | 12.8 (5.8–57.5) | ||
| PRL (ng/mL) | Mean ± SD | 10.8 ± 5.5 | 30.6 ± 27.5 | 22.4 ± 11.3 | <0.001 |
| Median (min–max) | 9.3 (4.2–31.2) | 19.7 (9.4–132.5) | 17.1 (13.3–57.0) | ||
| PTH (pg/mL) | Mean ± SD | - | 379.5 ± 319.9 | 401.5 ± 196.4 | 0.358 |
| Median (min–max) | - | 291.3 (21.3–1461) | 373.7 (152.1–788.3) | ||
| Parameter | Non Survivors | Survivors | p-Value * | ||||
|---|---|---|---|---|---|---|---|
| n | Mean ± SD | Median | n | Mean ± SD | Median | ||
| Albumin (g/dL) | 9 | 3.6 ± 0.5 | 3.9 | 39 | 4.1 ± 0.3 | 4.1 | 0.006 |
| Prealbumin (mg/dL) | 9 | 21.8 ± 8.1 | 22.5 | 39 | 33.1 ± 6.6 | 34.0 | 0.001 |
| Total cholesterol (mg/dL) | 9 | 137.4 ± 29.0 | 133.5 | 39 | 150.6 ± 38.6 | 148.0 | 0.411 |
| BMI (kg/m2) | 9 | 27.4 ± 5.0 | 25.8 | 39 | 28.6 ± 4.7 | 25.8 | 0.383 |
| Total testosterone (ng/mL) | 9 | 2.8 ± 0.9 | 3.1 | 39 | 3.4 ± 1.4 | 3.3 | 0.350 |
| Free testosterone (pg/mL) | 9 | 49.6 ± 18.1 | 48.0 | 39 | 61.7 ± 21.9 | 58.3 | 0.234 |
| Androstenedione (ng/mL) | 9 | 2.0 ± 0.8 | 2.1 | 39 | 1.3 ± 0.7 | 1.1 | 0.019 |
| DHEA-S (ug/dL) | 9 | 148.3 ± 93.6 | 125.5 | 39 | 146.9 ± 133.1 | 98.0 | 0.384 |
| PTH (pg/mL) | 9 | 281.8 ± 181.3 | 301.5 | 39 | 411.6 ± 295.0 | 358.9 | 0.250 |
| Parameter | Cut-Off Value | Sensitivity | Specificity | AUC | Significance-p |
|---|---|---|---|---|---|
| Total testosterone (ng/mL) | 3.65 | 0.31 | 0.01 | 0.615 | 0.441 |
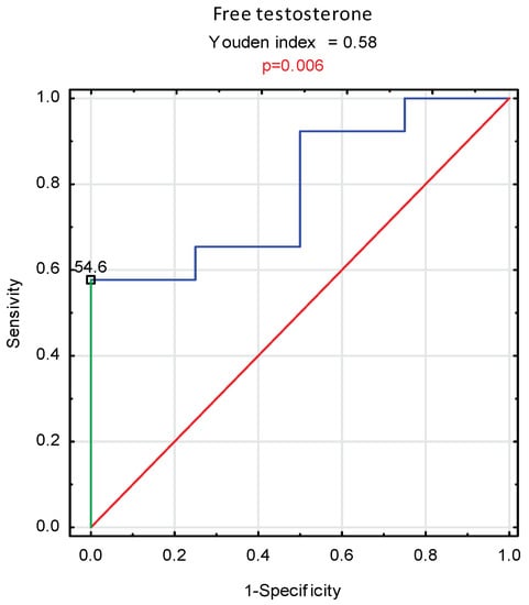
| Free testosterone (pg/mL) | 54.6 | 0.59 | 0.00 | 0.788 | 0.006 |
| DHEA-S (ug/dL) | 78.0 | 1 | 0.57 | 0.62 | 0.238 |
| Androstenedione ng/mL | 0.8 | 0.88 | 0.41 | 0.721 | 0.066 |
Publisher’s Note: MDPI stays neutral with regard to jurisdictional claims in published maps and institutional affiliations. |
© 2022 by the authors. Licensee MDPI, Basel, Switzerland. This article is an open access article distributed under the terms and conditions of the Creative Commons Attribution (CC BY) license (https://creativecommons.org/licenses/by/4.0/).
Share and Cite
Leśniak, K.; Rymarz, A.; Sobol, M.; Dymus, J.; Woźniak-Kosek, A.; Niemczyk, S. Testosterone Deficiency and Nutritional Parameters as Predictors of All-Cause Mortality among Male Dialysis Patients. Nutrients 2022, 14, 4461. https://doi.org/10.3390/nu14214461
Leśniak K, Rymarz A, Sobol M, Dymus J, Woźniak-Kosek A, Niemczyk S. Testosterone Deficiency and Nutritional Parameters as Predictors of All-Cause Mortality among Male Dialysis Patients. Nutrients. 2022; 14(21):4461. https://doi.org/10.3390/nu14214461
Chicago/Turabian StyleLeśniak, Ksymena, Aleksandra Rymarz, Maria Sobol, Jolanta Dymus, Agnieszka Woźniak-Kosek, and Stanisław Niemczyk. 2022. "Testosterone Deficiency and Nutritional Parameters as Predictors of All-Cause Mortality among Male Dialysis Patients" Nutrients 14, no. 21: 4461. https://doi.org/10.3390/nu14214461
APA StyleLeśniak, K., Rymarz, A., Sobol, M., Dymus, J., Woźniak-Kosek, A., & Niemczyk, S. (2022). Testosterone Deficiency and Nutritional Parameters as Predictors of All-Cause Mortality among Male Dialysis Patients. Nutrients, 14(21), 4461. https://doi.org/10.3390/nu14214461

