Impact of Repeated Acute Exposures to Low and Moderate Exercise-Induced Hypohydration on Physiological and Subjective Responses and Endurance Performance
Abstract
1. Introduction
2. Materials and Methods
2.1. Participants
2.2. Overview of This Study
2.3. Baseline Measurements
2.4. Familiarization Session
2.5. Pre-Experimental Procedures
2.6. Exercise/Testing Sessions
2.7. Measurements
2.8. Blood Measures
2.9. Statistical Analyses
3. Results
3.1. Participants’ Characteristics before Starting Both Training Block
3.2. Environmental Conditions during the Testing Sessions
3.3. Hydration State Prior to the Testing Sessions
3.4. Hydration State during the Testing Sessions
3.5. Exercise Duration, Distance and Intensity during the Fixed-Intensity Exercise Bout during the Testing Sessions
3.6. Physiological and Subjective Variables
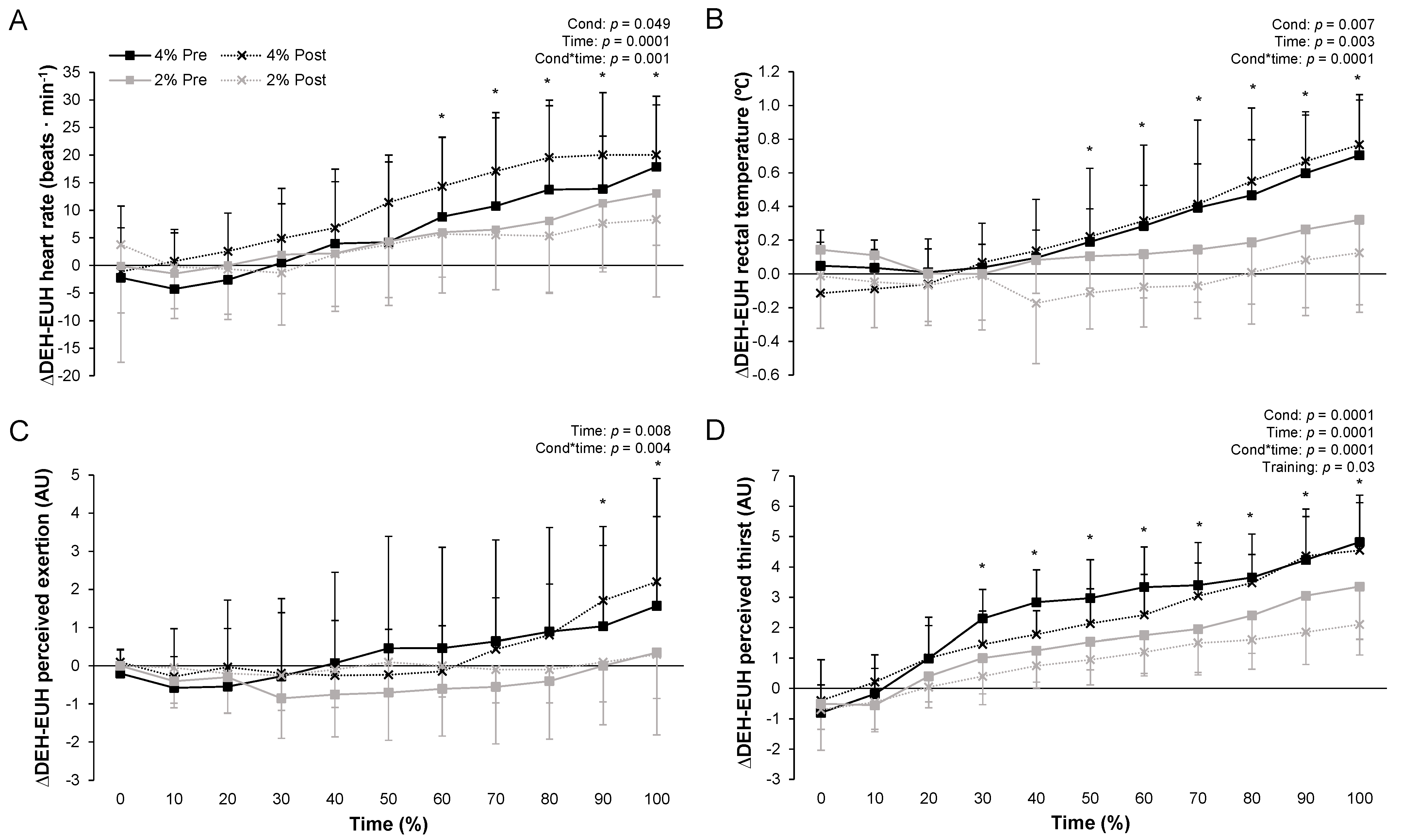
3.6.1. Fixed-Intensity Exercise
3.6.2. The 12 min Time-Trial
3.7. Endurance Performance
4. Discussion
4.1. Impact of Low and Moderate Exercise-Induced Hypohydration Levels While Not Trained to Tolerate Their Effects
4.2. Impact of Repeated Exposures to Low and Moderate Exercise-Induced Hypohydration Levels
5. Conclusions
Author Contributions
Funding
Institutional Review Board Statement
Informed Consent Statement
Data Availability Statement
Acknowledgments
Conflicts of Interest
References
- Montain, S.J.; Coyle, E.F. Influence of graded dehydration on hyperthermia and cardiovascular drift during exercise. J. Appl. Physiol. 1992, 73, 1340–1350. [Google Scholar] [CrossRef]
- Sawka, M.N.; Young, A.J.; Francesconi, R.P.; Muza, S.R.; Pandolf, K.B. Thermoregulatory and blood responses during exercise at graded hypohydration levels. J. Appl. Physiol. 1985, 59, 1394–1401. [Google Scholar] [CrossRef]
- Hargreaves, M.; Dillo, P.; Angus, D.; Febbraio, M. Effect of fluid ingestion on muscle metabolism during prolonged exercise. J. Appl. Physiol. 1996, 80, 363–366. [Google Scholar] [CrossRef] [PubMed]
- Logan-Sprenger, H.M.; Heigenhauser, G.J.; Jones, G.L.; Spriet, L.L. Increase in skeletal-muscle glycogenolysis and perceived exertion with progressive dehydration during cycling in hydrated men. Int. J. Sport Nutr. Exerc. Metab. 2013, 23, 220–229. [Google Scholar] [CrossRef]
- Logan-Sprenger, H.M.; Heigenhauser, G.J.; Killian, K.J.; Spriet, L.L. Effects of dehydration during cycling on skeletal muscle metabolism in females. Med. Sci. Sports Exerc. 2012, 44, 1949–1957. [Google Scholar] [CrossRef] [PubMed]
- González-Alonso, J.; Calbet, J.A.; Nielsen, B. Muscle blood flow is reduced with dehydration during prolonged exercise in humans. J. Physiol. 1998, 513, 895–905. [Google Scholar] [CrossRef]
- Trangmar, S.J.; Chiesa, S.T.; Stock, C.G.; Kalsi, K.K.; Secher, N.H.; González-Alonso, J. Dehydration affects cerebral blood flow but not its metabolic rate for oxygen during maximal exercise in trained humans. J. Physiol. 2014, 592, 3143–3160. [Google Scholar] [CrossRef]
- Cheuvront, S.N.; Kenefick, R.W.; Montain, S.J.; Sawka, M.N. Mechanisms of aerobic performance impairment with heat stress and dehydration. J. Appl. Physiol. 2010, 109, 1989–1995. [Google Scholar] [CrossRef] [PubMed]
- Galloway, S.; Maughan, R.J. Effects of ambient temperature on the capacity to perform prolonged cycle exercise in man. Med. Sci. Sports Exerc. 1997, 29, 1240–1249. [Google Scholar] [CrossRef] [PubMed]
- Maughan, R.J.; Otani, H.; Watson, P. Influence of relative humidity on prolonged exercise capacity in a warm environment. Eur. J. Appl. Physiol. 2012, 112, 2313–2321. [Google Scholar] [CrossRef] [PubMed]
- Adolph, E.F. Physiology of Man in the Desert; Interscience Publishers, Inc.: New York, NY, USA; London, UK, 1947; p. xiii-357. [Google Scholar]
- Cotter, J.D.; Thornton, S.N.; Lee, J.K.; Laursen, P.B. Are we being drowned in hydration advice? Thirsty for more? Extrem. Physiol. Med. 2014, 3, 18. [Google Scholar] [CrossRef]
- James, L.J.; Funnell, M.P.; James, R.M.; Mears, S.A. Does hypohydration really impair endurance performance? Methodological considerations for interpreting hydration research. Sports Med. 2019, 49, 103–114. [Google Scholar] [CrossRef]
- Merry, T.; Ainslie, P.; Cotter, J. Effects of aerobic fitness on hypohydration-induced physiological strain and exercise impairment. Acta Physiol. 2010, 198, 179–190. [Google Scholar] [CrossRef]
- Merry, T.L.; Ainslie, P.N.; Walker, R.; Cotter, J.D. Fitness alters fluid regulatory but not behavioural responses to hypohydrated exercise. Physiol. Behav. 2008, 95, 348–352. [Google Scholar] [CrossRef]
- Buskirk, E.; Iampietro, P.; Bass, D.E. Work performance after dehydration: Effects of physical conditioning and heat acclimatization. J. Appl. Physiol. 1958, 12, 189–194. [Google Scholar] [CrossRef]
- Sawka, M.N.; Toner, M.M.; Francesconi, R.P.; Pandolf, K.B. Hypohydration and exercise: Effects of heat acclimation, gender, and environment. J. Appl. Physiol. 1983, 55, 1147–1153. [Google Scholar] [CrossRef]
- Fleming, J.; James, L.J. Repeated familiarisation with hypohydration attenuates the performance decrement caused by hypohydration during treadmill running. Appl. Physiol. Nutr. Metab. 2014, 39, 124–129. [Google Scholar] [CrossRef]
- Garrett, A.; Goosens, N.; Rehrer, N.; Patterson, M.; Harrison, J.; Sammut, I.; Cotter, J. Short-term heat acclimation is effective and may be enhanced rather than impaired by dehydration. Am. J. Hum. Biol. 2014, 26, 311–320. [Google Scholar] [CrossRef]
- Fudge, B.W.; Easton, C.; Kingsmore, D.; Kiplamai, F.K.; Onywera, V.O.; Westerterp, K.R.; Kayser, B.; Noakes, T.D.; Pitsiladis, Y.P. Elite Kenyan endurance runners are hydrated day-to-day with ad libitum fluid intake. Med. Sci. Sports Exerc. 2008, 40, 1171–1179. [Google Scholar] [CrossRef]
- Noakes, T.D. Fluid replacement during exercise. Exerc. Sport Sci. Rev. 1993, 21, 297–330. [Google Scholar] [CrossRef]
- Kao, W.-F.; Shyu, C.-L.; Yang, X.-W.; Hsu, T.-F.; Chen, J.-J.; Kao, W.-C.; Huang, Y.-J.; Kuo, F.-C.; Huang, C.-I.; Lee, C.-H. Athletic performance and serial weight changes during 12-and 24-h ultra-marathons. Clin. J. Sport Med. 2008, 18, 155–158. [Google Scholar] [CrossRef] [PubMed]
- Zouhal, H.; Groussard, C.; Minter, G.; Vincent, S.; Cretual, A.; Gratas-Delamarche, A.; Delamarche, P.; Noakes, T.D. Inverse relationship between percentage body weight change and finishing time in 643 forty-two-kilometre marathon runners. Br. J. Sports Med. 2011, 45, 1101–1105. [Google Scholar] [CrossRef]
- Zouhal, H.; Groussard, C.; Vincent, S.; Jacob, C.; Abderrahman, A.; Delamarche, P.; Gratas-Delamarche, A. Athletic performance and weight changes during the “Marathon of Sands” in athletes well-trained in endurance. Int. J. Sports Med. 2009, 30, 516–521. [Google Scholar] [CrossRef]
- Sharwood, K.; Collins, M.; Goedecke, J.; Wilson, G.; Noakes, T. Weight changes, medical complications, and performance during an Ironman triathlon. Br. J. Sports Med. 2004, 38, 718–724. [Google Scholar] [CrossRef]
- Tan, X.R.; Low, I.C.C.; Byrne, C.; Wang, R.; Lee, J.K.W. Assessment of dehydration using body mass changes of elite marathoners in the tropics. J. Sci. Med. Sport 2021, 24, 806–810. [Google Scholar] [CrossRef]
- Racinais, S.; Ihsan, M.; Taylor, L.; Cardinale, M.; Adami, P.E.; Alonso, J.M.; Bouscaren, N.; Buitrago, S.; Esh, C.J.; Gomez-Ezeiza, J. Hydration and cooling in elite athletes: Relationship with performance, body mass loss and body temperatures during the Doha 2019 IAAF World Athletics Championships. Br. J. Sports Med. 2021, 55, 1335–1341. [Google Scholar] [CrossRef]
- Burtscher, M.; Gatterer, H.; Burtscher, J.; Mairbäurl, H. Extreme terrestrial environments: Life in thermal stress and hypoxia. A narrative review. Front. Physiol. 2018, 9, 572. [Google Scholar] [CrossRef]
- Périard, J.; Racinais, S.; Sawka, M.N. Adaptations and mechanisms of human heat acclimation: Applications for competitive athletes and sports. Scand. J. Med. Sci. Sports 2015, 25, 20–38. [Google Scholar] [CrossRef] [PubMed]
- Travers, G.; Nichols, D.; Riding, N.; González-Alonso, J.; Périard, J.D. Heat Acclimation with Controlled Heart Rate: Influence of Hydration Status. Med. Sci. Sports Exerc. 2020, 52, 1815–1824. [Google Scholar] [CrossRef]
- Schleh, M.W.; Ruby, B.C.; Dumke, C.L. Short term heat acclimation reduces heat stress, but is not augmented by dehydration. J. Therm. Biol. 2018, 78, 227–234. [Google Scholar] [CrossRef]
- Haroutounian, A.; Amorim, F.T.; Astorino, T.A.; Khodiguian, N.; Curtiss, K.M.; Matthews, A.R.; Estrada, M.J.; Fennel, Z.; McKenna, Z.; Nava, R. Change in Exercise Performance and Markers of Acute Kidney Injury Following Heat Acclimation with Permissive Dehydration. Nutrients 2021, 13, 841. [Google Scholar] [CrossRef]
- Neal, R.A.; Corbett, J.; Massey, H.C.; Tipton, M.J. Effect of short-term heat acclimation with permissive dehydration on thermoregulation and temperate exercise performance. Scand. J. Med. Sci. Sports 2016, 26, 875–884. [Google Scholar] [CrossRef]
- Pethick, W.A.; Murray, H.J.; McFadyen, P.; Brodie, R.; Gaul, C.A.; Stellingwerff, T. Effects of hydration status during heat acclimation on plasma volume and performance. Scand. J. Med. Sci. Sports 2019, 29, 189–199. [Google Scholar] [CrossRef] [PubMed]
- American College of Sports Medicine. ACSM’’s Exercise Testing and Prescription; Lippincott Williams & Wilkins: Philadelphia, PA, USA, 2017. [Google Scholar]
- Alvero-Cruz, J.; García, M.G.; Carnero, E. Reliability and accuracy of Cooper’s test in male long distance runners. Rev. Andal. Med. Deporte 2017, 10, 60–63. [Google Scholar] [CrossRef][Green Version]
- Gosselin, J.; Béliveau, J.; Hamel, M.; Casa, D.; Hosokawa, Y.; Morais, J.A.; Goulet, E.D. Wireless measurement of rectal temperature during exercise: Comparing an ingestible thermometric telemetric pill used as a suppository against a conventional rectal probe. J. Therm. Biol. 2019, 83, 112–118. [Google Scholar] [CrossRef]
- Borg, G.A. Psychophysical bases of perceived exertion. Med. Sci. Sports Exerc. 1982, 14, 377–381. [Google Scholar] [CrossRef]
- Goulet, E.D.; Rousseau, S.F.; Lamboley, C.R.; Plante, G.E.; Dionne, I.J. Pre-exercise hyperhydration delays dehydration and improves endurance capacity during 2 h of cycling in a temperate climate. J. Physiol. Anthropol. 2008, 27, 263–271. [Google Scholar] [CrossRef]
- Perreault-Briere, M.; Beliveau, J.; Jeker, D.; Deshayes, T.A.; Duran, A.; Goulet, E.D. Effect of Thirst-Driven Fluid Intake on 1 H Cycling Time-Trial Performance in Trained Endurance Athletes. Sports 2019, 7, 223. [Google Scholar] [CrossRef]
- Dill, D.B.; Costill, D.L. Calculation of percentage changes in volumes of blood, plasma, and red cells in dehydration. J. Appl. Physiol. 1974, 37, 247–248. [Google Scholar] [CrossRef] [PubMed]
- Goulet, E.D. Effect of exercise-induced dehydration on time-trial exercise performance: A meta-analysis. Br. J. Sports Med. 2011, 45, 1149–1156. [Google Scholar] [CrossRef] [PubMed]
- Goulet, E.D. Effect of exercise-induced dehydration on endurance performance: Evaluating the impact of exercise protocols on outcomes using a meta-analytic procedure. Br. J. Sports Med. 2013, 47, 679–686. [Google Scholar] [CrossRef]
- Sawka, M.N.; Burke, L.M.; Eichner, E.R.; Maughan, R.J.; Montain, S.J.; Stachenfeld, N.S. American College of Sports Medicine position stand. Exercise and fluid replacement. Med. Sci. Sports Exerc. 2007, 39, 377–390. [Google Scholar] [CrossRef]
- Cheuvront, S.; Kenefick, R. Dehydration: Physiology, assessment, and performance effects. Compr. Physiol. 2014, 4, 257–285. [Google Scholar] [PubMed]
- McConell, G.; Burge, C.; Skinner, S.; Hargreaves, M. Influence of ingested fluid volume on physiological responses during prolonged exercise. Acta Physiol. Scand. 1997, 160, 149–156. [Google Scholar] [CrossRef]
- McConell, G.K.; Stephens, T.J.; Canny, B.J. Fluid ingestion does not influence intense 1-h exercise performance in a mild environment. Med. Sci. Sports Exerc. 1999, 31, 386–392. [Google Scholar] [CrossRef]
- Backhouse, S.H.; Biddle, S.J.H.; Williams, C. The influence of water ingestion during prolonged exercise on affect. Appetite 2007, 48, 193–198. [Google Scholar] [CrossRef]
- Crewe, H.; Tucker, R.; Noakes, T.D. The rate of increase in rating of perceived exertion predicts the duration of exercise to fatigue at a fixed power output in different environmental conditions. Eur. J. Appl. Physiol. 2008, 103, 569. [Google Scholar] [CrossRef]
- Noakes, T.D. Rating of perceived exertion as a predictor of the duration of exercise that remains until exhaustion. Br. J. Sports Med. 2008, 42, 623–624. [Google Scholar]
- Sekiguchi, Y.; Benjamin, C.L.; Dion, S.O.; Manning, C.N.; Struder, J.F.; Dierickx, E.E.; Morrissey, M.C.; Filep, E.M.; Casa, D.J. Changes in Hydration Factors Over the Course of Heat Acclimation in Endurance Athletes. Int. J. Sport Nutr. Exerc. Metab. 2021, 31, 406–411. [Google Scholar] [CrossRef]
- Wickham, K.A.; McCarthy, D.G.; Spriet, L.L.; Cheung, S.S. Sex differences in the physiological responses to exercise-induced dehydration: Consequences and mechanisms. J. Appl. Physiol. 2021, 131, 504–510. [Google Scholar] [CrossRef]
- McNulty, K.L.; Elliott-Sale, K.J.; Dolan, E.; Swinton, P.A.; Ansdell, P.; Goodall, S.; Thomas, K.; Hicks, K.M. The Effects of Menstrual Cycle Phase on Exercise Performance in Eumenorrheic Women: A Systematic Review and Meta-Analysis. Sports Med. 2020, 50, 1813–1827. [Google Scholar]
- Carmichael, M.A.; Thomson, R.L.; Moran, L.J.; Wycherley, T.P. The Impact of Menstrual Cycle Phase on Athletes’ Perfor-mance: A Narrative Review. Int. J. Environ. Res. Public Health 2021, 18, 1667. [Google Scholar]
- Giersch, G.E.; Morrissey, M.C.; Katch, R.K.; Colburn, A.T.; Sims, S.T.; Stachenfeld, N.S.; Casa, D.J. Menstrual cycle and thermoregulation during exercise in the heat: a systematic review and meta-analysis. J. Sci. Med. Sport 2020, 23, 1134–1140. [Google Scholar]




| Characteristics | Before First Training Block | Before Second Training Block | p-Value |
|---|---|---|---|
| Age (years) | 23 ± 5 | 23 ± 5 | 0.32 |
| Height (cm) | 176 ± 8 | 176 ± 8 | 0.68 |
| Body mass (kg) | 71.6 ± 11.8 | 71.2 ± 12.2 | 0.30 |
| Body mass index (kg·m−2) | 23.1 ± 2.9 | 22.9 ± 3.1 | 0.26 |
| Relative maximal oxygen consumption (mL∙kg−1∙min−1) | 55 ± 7 | 54 ± 7 | 0.25 |
| Absolute maximal oxygen consumption (mL∙min−1) | 3925 ± 861 | 3865 ± 809 | 0.36 |
| Maximal heart rate (beats∙min−1) | 193 ± 7 | 191 ± 7 | 0.12 |
| Fat-free mass (%) | 82.4 ± 6.5 | 82.3 ± 5.7 | 0.81 |
| Fat mass (%) | 14.0 ± 6.6 | 14.2 ± 5.8 | 0.72 |
| Variables | First Testing Session | Second Testing Session | ||
|---|---|---|---|---|
| 2% Condition | 4% Condition | 2% Condition | 4% Condition | |
| Euhydrated | ||||
| Body mass (kg) | 71.6 ± 12.5 | 71.4 ± 12.3 | 71.2 ± 11.7 | 71.1 ± 11.6 |
| Hematocrit (%) | 44.5 ± 3.0 | 44.8 ± 2.2 | 44.1 ± 3.6 | 44.3 ± 3.1 |
| Heart rate (beats∙min−1) | 87 ± 17 | 87 ± 16 | 82 ± 10 | 85 ± 14 |
| Plasma osmolality (mOsm∙kg−1) | 287.2 ± 4.8 | 289.0 ± 3.7 | 292.0 ± 5.4 | 289.9 ± 5.0 |
| Plasma aldosterone (pg∙mL−1) | 205 ± 102 | 166 ± 82 | 183 ± 102 | 190 ± 102 |
| Dehydrated | ||||
| Body mass (kg) | 71.4 ± 12.1 | 71.7 ± 11.9 | 70.9 ± 11.7 | 70.9 ± 11.6 |
| Hematocrit (%) | 44.2 ± 3.4 | 44.6 ± 3.3 | 44.2 ± 2.8 | 44.7 ± 2.7 |
| Heart rate (beats∙min−1) | 87 ± 20 | 85 ± 11 | 86 ± 17 | 84 ± 11 |
| Plasma osmolality (mOsm∙kg−1) | 288.8 ± 3.7 | 287.9 ± 3.7 | 286.4 ± 6.7 | 287.3 ± 5.5 |
| Plasma aldosterone (pg∙mL−1) | 213 ± 121 | 210 ± 112 | 215 ± 147 | 217 ± 119 |
Publisher’s Note: MDPI stays neutral with regard to jurisdictional claims in published maps and institutional affiliations. |
© 2021 by the authors. Licensee MDPI, Basel, Switzerland. This article is an open access article distributed under the terms and conditions of the Creative Commons Attribution (CC BY) license (https://creativecommons.org/licenses/by/4.0/).
Share and Cite
Deshayes, T.A.; Daigle, N.; Jeker, D.; Lamontagne-Lacasse, M.; Perreault-Briere, M.; Claveau, P.; Simoneau, I.L.; Chamoux, E.; Goulet, E.D.B. Impact of Repeated Acute Exposures to Low and Moderate Exercise-Induced Hypohydration on Physiological and Subjective Responses and Endurance Performance. Nutrients 2021, 13, 4477. https://doi.org/10.3390/nu13124477
Deshayes TA, Daigle N, Jeker D, Lamontagne-Lacasse M, Perreault-Briere M, Claveau P, Simoneau IL, Chamoux E, Goulet EDB. Impact of Repeated Acute Exposures to Low and Moderate Exercise-Induced Hypohydration on Physiological and Subjective Responses and Endurance Performance. Nutrients. 2021; 13(12):4477. https://doi.org/10.3390/nu13124477
Chicago/Turabian StyleDeshayes, Thomas A., Nicolas Daigle, David Jeker, Martin Lamontagne-Lacasse, Maxime Perreault-Briere, Pascale Claveau, Ivan L. Simoneau, Estelle Chamoux, and Eric D. B. Goulet. 2021. "Impact of Repeated Acute Exposures to Low and Moderate Exercise-Induced Hypohydration on Physiological and Subjective Responses and Endurance Performance" Nutrients 13, no. 12: 4477. https://doi.org/10.3390/nu13124477
APA StyleDeshayes, T. A., Daigle, N., Jeker, D., Lamontagne-Lacasse, M., Perreault-Briere, M., Claveau, P., Simoneau, I. L., Chamoux, E., & Goulet, E. D. B. (2021). Impact of Repeated Acute Exposures to Low and Moderate Exercise-Induced Hypohydration on Physiological and Subjective Responses and Endurance Performance. Nutrients, 13(12), 4477. https://doi.org/10.3390/nu13124477

