Frequency of Breakfast, Lunch, and Dinner and Incidence of Proteinuria: A Retrospective Cohort Study
Abstract
1. Introduction
2. Materials and Methods
2.1. Study Population
2.2. Measurements
2.3. Statistical Analysis
3. Results
3.1. Baseline Characteristics
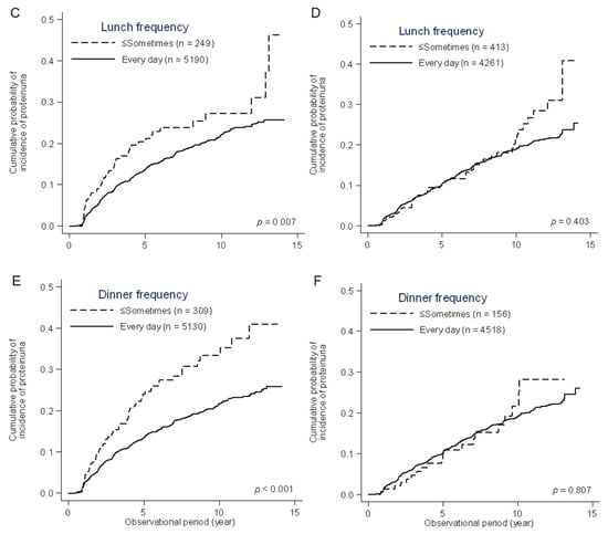
3.2. Skipping Meals and Risks for Proteinuria
4. Discussion
5. Conclusions
Author Contributions
Funding
Conflicts of Interest
References
- Japanese Society of Nephrology. Essential points from Evidence-based Clinical Practice Guidelines for Chronic Kidney Disease 2018. Clin. Exp. Nephrol. 2019, 23, 1–15. [Google Scholar] [CrossRef]
- GBD Chronic Kidney Disease Collaboration. Global, regional, and national burden of chronic kidney disease, 1990–2017: A systematic analysis for the Global Burden of Disease Study 2017. Lancet 2020, 395, 709–733. [Google Scholar] [CrossRef]
- Kanda, E.; Kashihara, N.; Matsushita, K.; Usui, T.; Okada, H.; Iseki, K.; Mikami, K.; Tanaka, T.; Wada, T.; Watada, H.; et al. Guidelines for clinical evaluation of chronic kidney disease: AMED research on regulatory science of pharmaceuticals and medical devices. Clin. Exp. Nephrol. 2018, 22, 1446–1475. [Google Scholar] [CrossRef]
- Coresh, J.; Heerspink, H.J.L.; Sang, Y.; Matsushita, K.; Arnlov, J.; Astor, B.C.; Black, C.; Brunskill, N.J.; Carrero, J.J.; Feldman, H.I.; et al. Change in albuminuria and subsequent risk of end-stage kidney disease: An individual participant-level consortium meta-analysis of observational studies. Lancet Diabetes Endocrinol. 2019, 7, 115–127. [Google Scholar] [CrossRef]
- Nagai, K.; Yamagata, K.; Iseki, K.; Moriyama, T.; Tsuruya, K.; Fujimoto, S.; Narita, I.; Konta, T.; Kondo, M.; Kasahara, M.; et al. Cause-specific mortality in the general population with transient dipstick-proteinuria. PLoS ONE 2019, 14, e0223005. [Google Scholar] [CrossRef]
- Iseki, K.; Konta, T.; Asahi, K.; Yamagata, K.; Fujimoto, S.; Tsuruya, K.; Narita, I.; Kasahara, M.; Shibagaki, Y.; Moriyama, T.; et al. Dipstick proteinuria and all-cause mortality among the general population. Clin. Exp. Nephrol. 2018, 22, 1331–1340. [Google Scholar] [CrossRef]
- Garofalo, C.; Borrelli, S.; Minutolo, R.; Chiodini, P.; De Nicola, L.; Conte, G. A systematic review and meta-analysis suggests obesity predicts onset of chronic kidney disease in the general population. Kidney Int. 2017, 91, 1224–1235. [Google Scholar] [CrossRef]
- Xia, J.; Wang, L.; Ma, Z.; Zhong, L.; Wang, Y.; Gao, Y.; He, L.; Su, X. Cigarette smoking and chronic kidney disease in the general population: A systematic review and meta-analysis of prospective cohort studies. Nephrol. Dial. Transplant. 2017, 32, 475–487. [Google Scholar] [CrossRef]
- Ito, K.; Maeda, T.; Tada, K.; Takahashi, K.; Yasuno, T.; Masutani, K.; Mukoubara, S.; Arima, H.; Nakashima, H. The role of cigarette smoking on new-onset of chronic kidney disease in a Japanese population without prior chronic kidney disease: Iki epidemiological study of atherosclerosis and chronic kidney disease (ISSA-CKD). Clin. Exp. Nephrol. 2020. [Google Scholar] [CrossRef]
- Kimura, Y.; Yamamoto, R.; Shinzawa, M.; Isaka, Y.; Iseki, K.; Yamagata, K.; Tsuruya, K.; Yoshida, H.; Fujimoto, S.; Asahi, K.; et al. Alcohol consumption and incidence of proteinuria: A retrospective cohort study. Clin. Exp. Nephrol. 2018, 22, 1133–1142. [Google Scholar] [CrossRef]
- Li, D.; Xu, J.; Liu, F.; Wang, X.; Yang, H.; Li, X. Alcohol drinking and the risk of chronic kidney damage: A meta-analysis of 15 prospective cohort studies. Alcohol Clin. Exp. Res. 2019, 43, 1360–1372. [Google Scholar] [CrossRef] [PubMed]
- Yamamoto, R.; Nagasawa, Y.; Iwatani, H.; Shinzawa, M.; Obi, Y.; Teranishi, J.; Ishigami, T.; Yamauchi-Takihara, K.; Nishida, M.; Rakugi, H.; et al. Self-reported sleep duration and prediction of proteinuria: A retrospective cohort study. Am. J. Kidney Dis. 2012, 59, 343–355. [Google Scholar] [CrossRef] [PubMed]
- Aoki, K.; Yamamoto, R.; Shinzawa, M.; Kimura, Y.; Adachi, H.; Fujii, Y.; Tomi, R.; Nakanishi, K.; Taneike, M.; Nishida, M.; et al. Sleep debt and prevalence of proteinuria in subjects with short sleep duration on weekdays: A cross-sectional study. Clin. Exp. Nephrol. 2020, 24, 143–150. [Google Scholar] [CrossRef] [PubMed]
- Fujibayashi, K.; Fukuda, H.; Yokokawa, H.; Haniu, T.; Oka, F.; Ooike, M.; Gunji, T.; Sasabe, N.; Okumura, M.; Iijima, K.; et al. Associations between healthy lifestyle behaviors and proteinuria and the estimated glomerular filtration rate (eGFR). J. Atheroscler. Thromb. 2012, 19, 932–940. [Google Scholar] [CrossRef]
- Odegaard, A.O.; Jacobs, D.R.; Steffen, L.M.; Van Horn, L.; Ludwig, D.S.; Pereira, M.A. Breakfast frequency and development of metabolic risk. Diabetes Care 2013, 36, 3100–3106. [Google Scholar] [CrossRef]
- Ballon, A.; Neuenschwander, M.; Schlesinger, S. Breakfast skipping is associated with increased risk of type 2 diabetes among adults: A systematic review and meta-analysis of prospective cohort studies. J. Nutr. 2019, 149, 106–113. [Google Scholar] [CrossRef]
- Chen, H.; Zhang, B.; Ge, Y.; Shi, H.; Song, S.; Xue, W.; Li, J.; Fu, K.; Chen, X.; Teng, W.; et al. Association between skipping breakfast and risk of cardiovascular disease and all cause mortality: A meta-analysis. Clin. Nutr. 2020. [Google Scholar] [CrossRef]
- Kutsuma, A.; Nakajima, K.; Suwa, K. Potential association between breakfast skipping and concomitant late-night-dinner eating with metabolic syndrome and proteinuria in the Japanese population. Scientifica 2014, 2014, 253581. [Google Scholar] [CrossRef]
- Kim, Y.J.; Yoon, J.H.; Choi, H.S.; Kim, C.S.; Bae, E.H.; Ma, S.K.; Kim, S.W. Meal frequency and skipping breakfast are associated with chronic kidney disease. Nutrients 2020, 12, 331. [Google Scholar] [CrossRef]
- Mekary, R.A.; Giovannucci, E.; Willett, W.C.; van Dam, R.M.; Hu, F.B. Eating patterns and type 2 diabetes risk in men: Breakfast omission, eating frequency, and snacking. Am. J. Clin. Nutr. 2012, 95, 1182–1189. [Google Scholar] [CrossRef]
- Matsuo, S.; Imai, E.; Horio, M.; Yasuda, Y.; Tomita, K.; Nitta, K.; Yamagata, K.; Tomino, Y.; Yokoyama, H.; Hishida, A.; et al. Revised equations for estimated GFR from serum creatinine in Japan. Am. J. Kidney Dis. 2009, 53, 982–992. [Google Scholar] [CrossRef] [PubMed]
- Ganda, O.P. Comment on Jakubowicz et al. fasting until noon triggers increased postprandial hyperglycemia and impaired insulin response after lunch and dinner in individuals with type 2 diabetes: A randomized clinical trial. Diabetes Care 2016, 39, e28. [Google Scholar] [CrossRef] [PubMed][Green Version]
- Jakubowicz, D.; Wainstein, J.; Ahren, B.; Landau, Z.; Bar-Dayan, Y.; Froy, O. Fasting until noon triggers increased postprandial hyperglycemia and impaired insulin response after lunch and dinner in individuals with type 2 diabetes: A randomized clinical trial. Diabetes Care 2015, 38, 1820–1826. [Google Scholar] [CrossRef] [PubMed]
- Ogata, H.; Kayaba, M.; Tanaka, Y.; Yajima, K.; Iwayama, K.; Ando, A.; Park, I.; Kiyono, K.; Omi, N.; Satoh, M.; et al. Effect of skipping breakfast for 6 days on energy metabolism and diurnal rhythm of blood glucose in young healthy Japanese males. Am. J. Clin. Nutr. 2019, 110, 41–52. [Google Scholar] [CrossRef]
- Mah, E.; Bruno, R.S. Postprandial hyperglycemia on vascular endothelial function: Mechanisms and consequences. Nutr. Res. 2012, 32, 727–740. [Google Scholar] [CrossRef]
- Tominaga, M.; Eguchi, H.; Manaka, H.; Igarashi, K.; Kato, T.; Sekikawa, A. Impaired glucose tolerance is a risk factor for cardiovascular disease, but not impaired fasting glucose. The Funagata diabetes study. Diabetes Care 1999, 22, 920–924. [Google Scholar] [CrossRef]
- Hu, G.; Qiao, Q.; Tuomilehto, J. Glucose tolerance and cardiovascular mortality. Arch. Intern. Med. 2001, 161, 397. [Google Scholar] [CrossRef]
- Nagata, C.; Tamura, T.; Wada, K.; Konishi, K.; Goto, Y.; Nagao, Y.; Ishihara, K.; Yamamoto, S. Sleep duration, nightshift work, and the timing of meals and urinary levels of 8-isoprostane and 6-sulfatoxymelatonin in Japanese women. Chronobiol. Int. 2017, 34, 1187–1196. [Google Scholar] [CrossRef]
- Oikonomou, E.; Lazaros, G.; Christoforatou, E.; Chasikidis, C.; Vavouranaki, G.; Vogiatzi, G.; Papamikroulis, G.A.; Tsalamandris, S.; Gergiopoulos, G.; Mazaris, S.; et al. Breakfast association with arterial stiffness and carotid atherosclerotic burden. Insights from the ‘Corinthia’ study. Nutr. Metab. Cardiovasc. Dis. 2019, 29, 744–750. [Google Scholar] [CrossRef]
- Duni, A.; Liakopoulos, V.; Roumeliotis, S.; Peschos, D.; Dounousi, E. Oxidative stress in the pathogenesis and evolution of chronic kidney disease: Untangling Ariadne’s thread. Int. J. Mol. Sci. 2019, 20, 3711. [Google Scholar] [CrossRef]
- Fujiwara, T.; Sato, N.; Awaji, H.; Sakamoto, H.; Nakata, R. Skipping breakfast adversely affects menstrual disorders in young college students. Int. J. Food Sci. Nutr. 2009, 60, 23–31. [Google Scholar] [CrossRef] [PubMed]
- Hu, Z.; Tang, L.; Chen, L.; Kaminga, A.C.; Xu, H. Prevalence and risk factors associated with primary dysmenorrhea among Chinese female university students: A cross-sectional study. J. Pediatr. Adolesc. Gynecol. 2020, 33, 15–22. [Google Scholar] [CrossRef] [PubMed]
- Yeh, M.L.; Chen, H.H.; So, E.C.; Liu, C.F. A study of serum malondialdehyde and interleukin-6 levels in young women with dysmenorrhea in Taiwan. Life Sci. 2004, 75, 669–673. [Google Scholar] [CrossRef] [PubMed]
- Dikensoy, E.; Balat, O.; Pençe, S.; Balat, A.; Çekmen, M.; Yurekli, M. Malondialdehyde, nitric oxide and adrenomedullin levels in patients with primary dysmenorrhea. J. Obstet. Gynaecol. Res. 2008, 34, 1049–1053. [Google Scholar] [CrossRef]
- Jhee, J.H.; Kee, Y.K.; Park, J.T.; Chang, T.-I.; Kang, E.W.; Yoo, T.-H.; Kang, S.-W.; Han, S.H. A diet rich in vegetables and fruit and Incident CKD: A community-based prospective cohort study. Am. J. Kidney Dis. 2019, 74, 491–500. [Google Scholar] [CrossRef]
- Park, I.; Xun, P.; Tsinovoi, C.L.; Klemmer, P.; Liu, K.; He, K. Intakes of long-chain omega-3 polyunsaturated fatty acids and non-fried fish in relation to incidence of chronic kidney disease in young adults: A 25-year follow-up. Eur. J. Nutr. 2020, 59, 399–407. [Google Scholar] [CrossRef]
- Kant, A.K.; Graubard, B.I. Within-person comparison of eating behaviors, time of eating, and dietary intake on days with and without breakfast: NHANES 2005-20101-3. Am. J. Clin. Nutr. 2015, 102, 661–670. [Google Scholar] [CrossRef]
- Umemura, U.; Ishimori, M.; Kobayashi, T.; Tamura, Y.; Koike, K.A.; Shimamoto, T.; Iso, H. Possible effects of diets on serum lipids, fatty acids and blood pressure levels in male and female Japanese university students. Environ. Health Prev. Med. 2005, 10, 42–47. [Google Scholar] [CrossRef][Green Version]
- Ajjarapu, A.S.; Hinkle, S.N.; Li, M.; Francis, E.C.; Zhang, C. Dietary patterns and renal health outcomes in the general population: A review focusing on prospective studies. Nutrients 2019, 11, 1877. [Google Scholar] [CrossRef]




| Breakfast | Lunch | Dinner | |||||
|---|---|---|---|---|---|---|---|
| Every Day | Sometimes | Rarely | Every Day | ≤Sometimes | Every Day | ≤Sometimes | |
| Number | 4343 | 638 | 458 | 5190 | 249 | 5130 | 309 |
| Age (years) *,‡ | 32 (26–39) | 29 (25–34) | 29 (26–34) | 31 (26–38) | 30 (26–37) | 31 (26–39) | 29 (25–34) |
| Non-smokers, n (%) *,†,‡ | 3990 (91.9) | 559 (87.6) | 368 (80.3) | 4699 (90.5) | 218 (87.6) | 4659 (90.8) | 258 (83.5) |
| Past smokers | 195 (4.5) | 39 (6.1) | 36 (7.9) | 260 (5.0) | 10 (4.0) | 250 (4.9) | 20 (6.5) |
| Current smokers | 158 (3.6) | 40 (6.3) | 54 (11.8) | 231 (4.5) | 21 (8.4) | 221 (4.3) | 31 (10.0) |
| Drinking, Rarely, n (%) * | 2794 (64.3) | 371 (58.2) | 289 (63.1) | 3308 (63.7) | 146 (58.6) | 3274 (63.8) | 180 (58.3) |
| 1–3 days/week | 1111 (25.6) | 192 (30.1) | 107 (23.4) | 1339 (25.8) | 71 (28.5) | 1324 (25.8) | 86 (27.8) |
| 4–6 | 190 (4.4) | 37 (5.8) | 27 (5.9) | 243 (4.7) | 11 (4.4) | 237 (4.6) | 17 (5.5) |
| 7 | 248 (5.7) | 38 (6.0) | 35 (7.6) | 300 (5.8) | 21 (8.4) | 295 (5.8) | 26 (8.4) |
| Snacking, Rarely, n (%) †,‡ | 557 (12.8) | 85 (13.3) | 73 (15.9) | 666 (12.8) | 49 (19.7) | 656 (12.8) | 59 (19.1) |
| 1 or 2 days/week | 1322 (30.4) | 190 (29.8) | 127 (27.7) | 1563 (30.1) | 76 (30.5) | 1534 (29.9) | 105 (34.0) |
| 3–5 | 1068 (24.6) | 174 (27.3) | 103 (22.5) | 1288 (24.8) | 57 (22.9) | 1276 (24.9) | 69 (22.3) |
| ≥6 | 1396 (32.1) | 189 (29.6) | 155 (33.8) | 1673 (32.2) | 67 (26.9) | 1664 (32.4) | 76 (24.6) |
| Body mass index, kg/m2 | 20.6 ± 2.8 | 20.7 ± 2.8 | 20.4 ± 2.9 | 20.6 ± 2.8 | 20.6 ± 2.9 | 20.6 ± 2.8 | 20.9 ± 3.3 |
| Systolic BP, mmHg | 107 ± 12 | 106 ± 12 | 107 ± 12 | 107 ± 12 | 107 ± 13 | 107 ± 12 | 106 ± 11 |
| Diastolic BP, mmHg | 66 ± 10 | 65 ± 10 | 65 ± 10 | 66 ± 10 | 65 ± 10 | 66 ± 10 | 64 ± 9 |
| Total cholesterol, mg/dL ‡ | 183 (165–205) | 183 (164–204) | 187 (168–205) | 183 (165–205) | 184 (164–202) | 184 (165–205) | 179 (162–199) |
| Triglyceride, mg/dL †,‡ | 51 (39–68) | 50 (39–70) | 50 (39–69) | 51 (39–68) | 48 (36–67) | 51 (39–68) | 48 (37–66) |
| Hemoglobin A1c, % * | 5.3 ± 0.3 | 5.2 ± 0.3 | 5.2 ± 0.3 | 5.2 ± 0.3 | 5.2 ± 0.3 | 5.2 ± 0.3 | 5.2 ± 0.3 |
| eGFR, ml/min/1.73 m2 * | 93 (82–103) | 96 (86–107) | 97 (86–108) | 93 (83–104) | 92 (84–106) | 93 (83–104) | 94 (85–108) |
| Urinary protein (-), n (%) ‡ | 3946 (90.9) | 582 (91.2) | 415 (90.6) | 4720 (90.9) | 223 (89.6) | 4676 (91.2) | 267 (86.4) |
| (±) | 397 (9.1) | 56 (8.8) | 43 (9.4) | 470 (9.1) | 26 (10.4) | 454 (8.8) | 42 (13.6) |
| Current treatments for | |||||||
| Hypertension, n (%) | 36 (0.8) | 4 (0.6) | 2 (0.4) | 39 (0.8) | 3 (1.2) | 42 (0.8) | 0 (0.0) |
| Dyslipidemia, n (%) | 24 (0.6) | 2 (0.3) | 1 (0.2) | 25 (0.5) | 2 (0.8) | 26 (0.5) | 1 (0.3) |
| Diabetes mellitus, n (%) | 5 (0.1) | 0 (0.0) | 0 (0.0) | 5 (0.1) | 0 (0.0) | 5 (0.1) | 0 (0.0) |
| CVD, n (%) | 6 (0.1) | 0 (0.0) | 0 (0.0) | 6 (0.1) | 0 (0.0) | 6 (0.1) | 0 (0.0) |
| Breakfast, Every day, n (%) †,‡ | 4238 (81.7) | 105 (42.2) | 4199 (81.9) | 144 (46.6) | |||
| Sometimes | 565 (10.9) | 73 (29.3) | 544 (10.6) | 94 (30.4) | |||
| Rarely | 387 (7.5) | 71 (28.5) | 387 (7.5) | 71 (23.0) | |||
| Lunch Every day, n (%) *,‡ | 4238 (97.6) | 565 (88.6) | 387 (84.5) | 4974 (97.0) | 216 (69.9) | ||
| ≤Sometimes | 105 (2.4) | 73 (11.4) | 71 (15.5) | 156 (3.0) | 93 (30.1) | ||
| Dinner Every day, n (%) *,† | 4199 (96.7) | 544 (85.3) | 387 (84.5) | 4974 (95.8) | 156 (62.7) | ||
| ≤Sometimes | 144 (3.3) | 94 (14.7) | 71 (15.5) | 216 (4.2) | 93 (37.3) |
| Breakfast | Lunch | Dinner | |||||
|---|---|---|---|---|---|---|---|
| Every Day | Sometimes | Rarely | Every Day | ≤Sometimes | Every Day | ≤Sometimes | |
| Number | 3502 | 600 | 572 | 4261 | 413 | 4518 | 156 |
| Age (years) *,†,‡ | 35 (30–44) | 32 (28–37) | 32 (28–37) | 34 (30–42) | 32 (29–38) | 34 (30–42) | 32 (28–38) |
| Non-smokers, n (%) *,†,‡ | 2645 (75.5) | 387 (64.5) | 331 (57.9) | 3091 (72.5) | 272 (65.9) | 3269 (72.4) | 94 (60.3) |
| Past smokers | 399 (11.4) | 70 (11.7) | 67 (11.7) | 497 (11.7) | 39 (9.4) | 522 (11.6) | 14 (9.0) |
| Current smokers | 458 (13.1) | 143 (23.8) | 174 (30.4) | 673 (15.8) | 102 (24.7) | 727 (16.1) | 48 (30.8) |
| Drinking, Rarely, n (%) | 1498 (42.8) | 245 (40.8) | 230 (40.2) | 1794 (42.1) | 179 (43.3) | 1908 (42.2) | 65 (41.7) |
| 1–3 days/week | 1035 (29.6) | 195 (32.5) | 176 (30.8) | 289 (30.3) | 117 (28.3) | 1357 (30.0) | 49 (31.4) |
| 4–6 | 393 (11.2) | 71 (11.8) | 61 (10.7) | 471 (11.1) | 54 (13.1) | 505 (11.2) | 20 (12.8) |
| 7 | 576 (16.4) | 89 (14.8) | 105 (18.4) | 707 (16.6) | 63 (15.3) | 748 (16.6) | 22 (14.1) |
| Snacking, Rarely, n (%) * | 1486 (42.4) | 249 (41.5) | 293 (51.2) | 1827 (42.9) | 201 (48.7) | 1963 (43.4) | 65 (41.7) |
| 1 or 2 days/week | 1193 (34.1) | 211 (35.2) | 146 (25.5) | 1421 (33.3) | 129 (31.2) | 1500 (33.2) | 50 (32.1) |
| 3–5 | 473 (13.5) | 94 (15.7) | 69 (12.1) | 590 (13.8) | 46 (11.1) | 614 (13.6) | 22 (14.1) |
| ≥6 | 350 (10.0) | 46 (7.7) | 64 (11.2) | 423 (9.9) | 37 (9.0) | 441 (9.8) | 19 (12.2) |
| Body mass index, kg/m2 * | 23.2 ± 3.1 | 23.3 ± 3.5 | 22.8 ± 3.1 | 23.1 ± 3.2 | 23.1 ± 3.3 | 23.1 ± 3.2 | 23.3 ± 3.5 |
| Systolic BP, mmHg ‡ | 118 ± 14 | 118 ± 13 | 117 ± 14 | 118 ± 14 | 117 ± 13 | 118 ± 14 | 115 ± 13 |
| Diastolic BP, mmHg ‡ | 75 ± 12 | 75 ± 12 | 74 ± 12 | 75 ± 12 | 75 ± 12 | 75 ± 12 | 73 ± 12 |
| Total cholesterol, mg/dL | 192 (171–215) | 192 (172–214) | 191 (171–216) | 192 (171–215) | 189 (169–213) | 192 (171–215) | 189 (167–214) |
| Triglyceride, mg/dL † | 82 (58–123) | 80 (58–129) | 78 (53–119) | 83 (58–124) | 73 (52–112) | 81 (57–123) | 86 (56–119) |
| Hemoglobin A1c, % *,†,‡ | 5.3 ± 0.5 | 5.2 ± 0.4 | 5.2 ± 0.4 | 5.3 ± 0.5 | 5.2 ± 0.4 | 5.3 ± 0.5 | 5.2 ± 0.3 |
| eGFR, ml/min/1.73 m2 *,†,‡ | 86 (78–96) | 89 (80–99) | 90 (82–99) | 86 (78–96) | 91 (82–100) | 87 (79–96) | 91 (80–100) |
| Urinary protein (-), n (%) *,‡ | 3277 (93.6) | 542 (90.3) | 537 (93.9) | 3971 (93.2) | 385 (93.2) | 4218 (93.4) | 138 (88.5) |
| (±) | 225 (6.4) | 58 (9.7) | 35 (6.1) | 290 (6.8) | 28 (6.8) | 300 (6.6) | 18 (11.5) |
| Hypertension, n (%) | 103 (2.9) | 16 (2.7) | 7 (1.2) | 119 (2.8) | 7 (1.7) | 124 (2.7) | 2 (1.3) |
| Dyslipidemia, n (%) * | 56 (1.6) | 5 (0.8) | 1 (0.2) | 59 (1.4) | 3 (0.7) | 61 (1.4) | 1 (0.6) |
| Diabetes mellitus, n (%) * | 34 (1.0) | 3 (0.5) | 0 (0.0) | 36 (0.8) | 1 (0.2) | 36 (0.8) | 1 (0.6) |
| CVD, n (%) | 9 (0.3) | 1 (0.2) | 1 (0.2) | 10 (0.2) | 1 (0.2) | 11 (0.2) | 0 (0.0) |
| Breakfast, Every day, n (%) †,‡ | 3283 (77.0) | 219 (53.0) | 3424 (75.8) | 78 (50.0) | |||
| Sometimes | 498 (11.7) | 102 (24.7) | 560 (12.4) | 40 (25.6) | |||
| Rarely | 480 (11.3) | 92 (22.3) | 534 (11.8) | 38 (24.4) | |||
| Lunch, Every day, n (%) *,‡ | 3283 (93.7) | 498 (83.0) | 480 (83.9) | 4182 (92.6) | 79 (50.6) | ||
| ≤Sometimes | 219 (6.3) | 102 (17.0) | 92 (16.1) | 336 (7.4) | 77 (49.4) | ||
| Dinner, Every day, n (%) *,† | 3424 (97.8) | 560 (93.3) | 534 (93.4) | 4182 (98.1) | 336 (81.4) | ||
| ≤Sometimes | 78 (2.2) | 40 (6.7) | 38 (6.6) | 79 (1.9) | 77 (18.6) |
| Breakfast | Lunch | Dinner | |||||
|---|---|---|---|---|---|---|---|
| Every Day | Sometimes | Rarely | Every Day | ≤Sometimes | Every Day | ≤Sometimes | |
| Females | |||||||
| Incidence of proteinuria, n (%) | 557 (12.8) | 114 (17.9) | 92 (20.1) | 715 (13.8) | 48 (19.3) | 694 (13.5) | 69 (22.3) |
| IR per 1000 PY (95% CI) | 24.3 (22.4–26.4) | 35.8 (29.8–43.0) | 40.8 (33.2–50.0) | 26.3 (24.5–28.3) | 40.0 (30.1–53.1) | 25.8 (24.0–27.8) | 46.3 (36.6–58.7) |
| Hazard ratio (95% CI) | |||||||
| Unadjusted model | 1.00 (reference) | 1.49 (1.22–1.82) | 1.71 (1.37–2.13) | 1.00 (reference) | 1.53 (1.14–2.05) | 1.00 (reference) | 1.77 (1.38–2.27) |
| Adjusted model 1 | 1.00 (reference) | 1.41 (1.15–1.73) | 1.63 (1.31–2.05) | 1.00 (reference) | 1.52 (1.13–2.04) | 1.00 (reference) | 1.55 (1.20–1.99) |
| Adjusted model 2 | 1.00 (reference) | 1.35 (1.09–1.66) | 1.54 (1.22–1.94) | 1.00 (reference) | 1.20 (0.87–1.64) | 1.00 (reference) | 1.31 (1.00–1.72) |
| Males | |||||||
| Incidence of proteinuria, n (%) | 454 (13.0) | 79 (13.2) | 84 (14.7) | 562 (13.2) | 55 (13.3) | 597 (13.2) | 20 (12.8) |
| IR per 1000 PY (95% CI) | 20.6 (18.7–22.5) | 22.7 (18.2–28.4) | 23.9 (19.3–29.6) | 21.0 (19.3–22.8) | 23.7 (18.2–30.8) | 21.2 (19.6–23.0) | 22.3 (14.4–34.5) |
| Hazard ratio (95% CI) | |||||||
| Unadjusted model | 1.00 (reference) | 1.11 (0.87–1.41) | 1.17 (0.92–1.47) | 1.00 (reference) | 1.13 (0.85–1.48) | 1.00 (reference) | 1.06 (0.68–1.65) |
| Adjusted model 1 | 1.00 (reference) | 1.03 (0.81–1.32) | 1.15 (0.90–1.46) | 1.00 (reference) | 1.12 (0.84–1.48) | 1.00 (reference) | 0.95 (0.60–1.48) |
| Adjusted model 2 | 1.00 (reference) | 1.03 (0.80–1.32) | 1.14 (0.89–1.45) | 1.00 (reference) | 1.12 (0.84–1.50) | 1.00 (reference) | 0.90 (0.56–1.43) |
Publisher’s Note: MDPI stays neutral with regard to jurisdictional claims in published maps and institutional affiliations. |
© 2020 by the authors. Licensee MDPI, Basel, Switzerland. This article is an open access article distributed under the terms and conditions of the Creative Commons Attribution (CC BY) license (http://creativecommons.org/licenses/by/4.0/).
Share and Cite
Tomi, R.; Yamamoto, R.; Shinzawa, M.; Kimura, Y.; Fujii, Y.; Aoki, K.; Ozaki, S.; Yoshimura, R.; Taneike, M.; Nakanishi, K.; et al. Frequency of Breakfast, Lunch, and Dinner and Incidence of Proteinuria: A Retrospective Cohort Study. Nutrients 2020, 12, 3549. https://doi.org/10.3390/nu12113549
Tomi R, Yamamoto R, Shinzawa M, Kimura Y, Fujii Y, Aoki K, Ozaki S, Yoshimura R, Taneike M, Nakanishi K, et al. Frequency of Breakfast, Lunch, and Dinner and Incidence of Proteinuria: A Retrospective Cohort Study. Nutrients. 2020; 12(11):3549. https://doi.org/10.3390/nu12113549
Chicago/Turabian StyleTomi, Ryohei, Ryohei Yamamoto, Maki Shinzawa, Yoshiki Kimura, Yoshiyuki Fujii, Katsunori Aoki, Shingo Ozaki, Ryuichi Yoshimura, Manabu Taneike, Kaori Nakanishi, and et al. 2020. "Frequency of Breakfast, Lunch, and Dinner and Incidence of Proteinuria: A Retrospective Cohort Study" Nutrients 12, no. 11: 3549. https://doi.org/10.3390/nu12113549
APA StyleTomi, R., Yamamoto, R., Shinzawa, M., Kimura, Y., Fujii, Y., Aoki, K., Ozaki, S., Yoshimura, R., Taneike, M., Nakanishi, K., Nishida, M., Yamauchi-Takihara, K., Kudo, T., Isaka, Y., & Moriyama, T. (2020). Frequency of Breakfast, Lunch, and Dinner and Incidence of Proteinuria: A Retrospective Cohort Study. Nutrients, 12(11), 3549. https://doi.org/10.3390/nu12113549

