Abstract
Quality of life (QOL) and mortality are true endpoints of epidemiological or medical research, especially for community-dwelling older adults. Nutritional status and activities of daily living (ADLs) are associated with QOL and mortality. Good oral health status supports a good nutritional status. The aim of this study was to elucidate the complex structure of these important health-related factors. We surveyed 354 healthy older adults at the age of 85. Nutritional status was evaluated by the serum level of albumin. QOL, ADLs, self-assessed chewing ability, serum albumin level, and mortality during the 15 year follow up period were analyzed. Self-assessed chewing ability was associated with QOL and ADLs. Self-assessed chewing ability for slight-hard foods was associated with mortality in men. However, it was not associated with the serum albumin level. The serum albumin level was associated with mortality in women. These results indicate that maintaining good oral function is not enough. Nutritional instruction in accordance with oral function is indispensable for health promotion in older adults. When planning health promotion strategies for older adults, different strategies are needed for men and women.
1. Introduction
Super-aging societies face many challenges, such as the use of the social security system to access optimal medical services and health services. These services are required to improve quality of life (QOL) and extend life expectancy [,,]. QOL and life expectancy are multifactorial. Knowledge of nutrition and practice of a healthy diet are considered to be the most important factors affecting the health and quality of life of older adults [,]. Nutritional interventions for community-dwelling older adults are effective for the promotion of health [,,].
Quality of life (QOL) and mortality are true endpoints of epidemiological studies or medical research. Several studies have focused on the effect of nutritional status on QOL for subjects with specific diseases [,,]. To the best of our knowledge, no study has investigated the effect of nutritional status on QOL for the community-dwelling older adults.
The effect of nutritional status on mortality in community-dwelling older adults is well documented [,,]. Serum level of albumin, which reflects the nutritional status, is a well-known predictor of mortality [,,,,,]. It is applicable for community-dwelling older adults [,]. In addition, nutritional status is associated with activities of daily living (ADLs). Evidence concerning nutritional status and ALD for subjects with specific conditions is also accumulating [,,].
Oral health is an important factor in maintaining a healthy nutritional status. Oral functions, especially mastication, are associated with nutritional status. Food preferences depend on masticatory efficiency [,]. Overconsumption of carbohydrate-rich foods affects mortality. Excess intake of carbohydrate-rich food is associated with the consumption of excess processed food and not enough raw healthy food [,,]. Oral functions, are key elements in maintaining a healthy nutritional status. However, a systematic review concluded that further study including demographically diverse samples is necessary []. For the evaluation of masticatory function, specific devices have been improved to aid in clinical diagnosis []. For epidemiological studies, simple questionnaires have been used. By using simple questionnaires, evidence that oral health affects mortality has been accumulated. However, the follow up period used in such studies was short and the age range of the population studied was broad.
Nutritional status and oral health may be associated with mortality, QOL, and ADLs. These variables interact with each other. Revealing the complexity of these interactions may lead to better understanding of health-related problems.
Ministry of Health and Labor in Japan directed the 8020 Data Bank Survey at four prefectures in 1997. The aim of this survey was to gather evidence that older adults with their own 20 teeth are active and healthy. In 2002, a five-year follow up study was conducted at Iwate prefecture located in the northeast of Japan. In this follow up survey, the Short form 36 (SF36) [,,] and the Tokyo Metropolitan Institute of Gerontology Index (TMIG index) [] were introduced. These questionnaires are validated questionnaires for the evaluation of QOL and ADL. In addition, in 2017, a follow up survey was conducted to investigate the mortality of the participants.
In this study, by using 15-year follow up data from older adults at the age of 85, we investigated the effect of nutritional status, as evaluated by serum level albumin and self-assessed chewing ability, on IADL, QOL, and mortality. The aim of this study was to elucidate the complex relationships among these important health-related factors.
2. Materials and Methods
2.1. Setting
A 15-year follow-up study was conducted with subjects aged 85 years old (from 2002 to 2017) residing in the 11 districts served by one health center in Iwate Prefecture.
2.2. Study Population and Survey Frame
In 1997, Japanese Ministry of Labor and Health directed and supported a survey of 80-year-old people residing in four areas in Japan. The details of the survey are described in our previous report []. In 2002, the 8020 promotion foundation, which is an affiliated organization of the Japan dental association, supported a follow up survey. Iwate Prefecture, located in the northern region of Japan, was one of the areas that participated in this survey. The sampling method was cluster sampling, and the sampling frame was a complete count survey for all subjects aged 80 years in 1997 (born in 1917) who resided in nine districts in Iwate Prefecture served by one public health center. Between 1997 and 2002, two villages were newly served by the public health center. Sixty-six subjects residing in the two areas participated in the survey conducted in 2002.
Based on residential registration, public health nurses visited homes in two districts in which subjects who participated in the survey in 1996 lived and in which 85-year-old individuals lived. Public health nurses recommended that all subjects participate in the survey. Among the 435 subjects, 349 agreed to participate, and 345 completed the survey. The surveys, including an oral examination, blood sampling, a medical interview, and a physical fitness test, were conducted at a meeting place or gymnasium owned by the local government. No institutionalized older people were included in this study. In 2017, the 8020 promotion foundation supported a follow up survey that investigated the survival rate of the participants. In October 2017, public health nurses surveyed the participants’ survival and dates of death using the census register. A follow-up survey was conducted using the resident register with surviving subjects participating in the survey in 2002. Details of the follow up survey were described in our previous report [].
2.3. Questionnaire
2.3.1. Quality of Life (QOL)
Quality of life was evaluated by the short form 36(SF-36). The Sf-36 consists of 36 items. These items are classified into 8 subscales: physical functioning (PF), role physical (RP), bodily pain (BP), general health (GH), vitality (VT), social functioning (SF), role emotional (RE), and mental health (MH).
The values of these subscales were standardized and calculated by a program provided by iHope International (Kyoto, Japan) [,,].
2.3.2. Activities of Daily Living (ADLs)
Instrumental activity of daily living was assessed by The Tokyo Metropolitan Institute of Gerontology index of competence (TMIG index) []. TIMG index consists of three subscales/dimensions: self-maintenance (S.M), intellectual activity (I.A.), and social role (S.R.). These subscales consist of 5, 4, and 4 items, respectively. If subjects answered yes or able, one point was given for each item. A low IADL (≤4 points), IA (≤2 points), or SR (≤2 points) score is regarded as declining function [,]. The TMIG index has been widely used in epidemiological surveys [,,,,].
The items included in these subscales are
- S.M.: Using public transportation, shopping, preparing, meals, paying bills, managing deposits
- I.A.: Filling out pension forms, reading the newspaper, reading books, becoming interested in a new story or program about health.
- S.R.: Visiting friends, being called on for advice, visiting sick friends, talking to young people.
2.3.3. Self-Assessed Chewing Ability
Self-assessed chewing ability was investigated using the following question about 15 different foods: Can you chew the following 15 foods? The response was a simple dichotomous choice (yes/no). Several epidemiological studies have applied this questionnaire for the evaluation of chewing ability [,].
2.4. Statistical Analysis
2.4.1. Item Response Theory (IRT)
To calculate the summary score for chewing ability, a three-parameter logistic model of the item response theory (IRT) was applied. In addition, factor analysis by the major factor method with varimax rotation was carried out. Summary scores were calculated within each factor [,,,,,,,]. IRT analysis was performed using R ver3.50 with the LTR and irtoys packages.
2.4.2. Structural Equation Modeling (SEM)
Before performing structural equation modeling (SEM), factor analysis by the major factor method with varimax rotation was carried out. Based on the results of the factor analysis, latent variables were constructed. The models were modified through a comparison with the correction index to improve the fitness of the data. For the evaluation of the fitness, the root-mean-square error of approximation (RMSEA) was used for the goodness of fit index []. Factor analysis was carried out using SPSS Statistics ver24.0 (IBM, Tokyo, Japan) and SEM was carried out busing AMOS ver24.0 (IBM, Tokyo, Japan).
2.4.3. Generalized Linear Model
To assess the subscales and items of QOL and IADL, the generalized linear model was applied. The distribution of response and link functions was selected using Akaike’s Information Criterion (AIC). The generalized linear model analysis was carried out using SPSS Statistics ver24.0 (IBM, Tokyo, Japan)
2.4.4. Survival Analysis
Survival rates were calculated using the Kaplan–Meier analysis. A log rank test was used to compare significant differences in survival curves. A Cox proportional hazards model was applied to calculate the hazard ratios. Survival analysis was carried out using SPSS Statistics ver24.0 (IBM, Tokyo, Japan)
2.5. Ethics Approval and CONSENT to Participate
Informed written consent was obtained from all of the participants at the baseline survey visit. This study was approved by the Ethics Committee of Tsurumi University School of Dental Medicine (Approval Number: 1515).
3. Results
3.1. Characteristics of the Subjects Who Participated in the Study
The study population consisted of 138 men and 205 women, who were all aged 85 in 2002. After 15 years, 12 subjects had survived. Their health status was evaluated by blood tests. The results are shown in Supplementary Table S1.
3.2. Structure of QOL, ADL, and Self-Assessed Chewing Ability of the Older Adults
3.2.1. Structure of QOL
The SF 36 consists of eight subscales. Descriptive statistics of the eight subscales are presented in Supplementary Table S2. For these subscales, factor analysis was carried out through the major factor method with varimax rotation. Factor scores were used as summary scores of the factors for the following analysis. The results are shown in Supplementary Table S3. The subscales consisted of two factors. These factors were named the function and the role. Based on this result, structural equation modeling (SEM) was carried out. The results are shown in Figure 1. Body pain (BP) and physical functioning (PF) correlated with both latent variables.

Figure 1.
Structure of quality of life of the older subjects at the age of 85. The subscales of the SF 36 consisted of two latent variables, named Function and Role. All paths were statistically significant. BP and PF correlated with both latent variables. Subscales: Physical functioning (PF), Role physical (RP), Body pain (BP), General health (GH), Vitality (VT), Social functioning (SF), Role emotional (RE), Mental health (MH), e: Error variable. SF 36: 36-Item Short-Form Health Survey. REMSEA: root-mean-square error of approximation.
3.2.2. Structure of ADLs
The TIMG index consists of three subscales and has a total of 13 items. The scores of these items and the descriptive statistics of the three subscales are shown in Supplementary Tables S4 and S5. For the structure of the IADL, factor analysis and SEM were carried out in the same way as for the QOL. The results of the factor analysis are presented in Supplementary Table S6. Factor scores were used as summary scores of the factors for the following analysis. The model with SEM is shown in Figure 2. Items of the TIMG Index involved three factors. Visiting sick friends and filling out the pension form were correlated with two latent variables. Correlations between latent variables were statistically significant. However, the correlations were very weak.

Figure 2.
Structure of the ADL. Items of the TIMG Index involved 3 factors. Visiting sick friends and filling out the pension. Pension were correlated with two latent variables. Correlations between latent variables were statistically significant. However, the correlations were very weak. ADL: activity of daily living, TMIG index: The Tokyo Metropolitan Institute of Gerontology index of competence. e: Error variable. REMSEA: root-mean-square error of approximation
3.2.3. Structure of Self-Assessed Chewing Ability and Correlation with Number of Remaining Teeth
Self-assessed chewing ability was evaluated by whether participants were able to chew 15 foods. The variables were dichotomous. To calculate the summary score, the item response theory analysis (IRT) was carried out. The item response curve and item information curves are shown in Figure S1, and the model is shown in Supplementary Table S7. Similar to the QOL and IADL, a factor analysis was carried out for these 15 foods. The results are shown in Supplementary Table S8. The fifteen foods had three factors, and the factors were named easy to chew food, slightly hard to chew food, and moderate and hard to chew foods. The correlations among chewing ability, number of remaining teeth, and serum level of albumin as indicators of nutritional status were analyzed by SEM (Figure 3). The link between chewing ability and serum albumin was not statistically significant (p = 0.692). Other than that, all associations were statistically significant.

Figure 3.
Correlations among number of remaining teeth, chewing ability, and serum level of albumin. REMSEA: root-mean-square error of approximation
3.3. Interaction of Nutritional Status, and Self-Assessed Chewing Ability with IADL and QOL
3.3.1. Correlation between Self-Assessed Chewing Ability and QOL
A generalized liner model was applied to the dimensions of QOL calculated by the factor scores presented in Section 3.2.1. The results were shown in Table 1. For both function and role, the summary score of self-assessed chewing ability was significantly correlated. However, the number of remaining teeth and serum level of albumin were not statistically significant.

Table 1.
Correlations of the number of remaining teeth, serum albumin level, and self-assessed chewing ability with quality of life (QOL).
3.3.2. Correlation between Self-Assessed Chewing Ability and IADL
The TIMIG Index consists of three subscales: Self-management, Intercultural activity, and Social role. For these subscales, the generalized liner model was applied. The results were shown in Table 2. The summary score of self-assessed chewing ability calculated by IRT was significantly correlated with the three subscales. However, the number of remaining teeth and the serum level of albumin were not statistically significantly correlated with this factor.

Table 2.
Correlations of the number of remaining teeth, serum albumin, and self-assessed chewing ability with the IADL.
3.4. Effects of Nutritional Status, Self-Asssessed Chewing Ability, and IADL on Mortality
To assess the mortality rate at the 15-year follow up, nutritional status evaluated by the serum level of albumin, subscales of self-assessed chewing ability, and the IADL were analyzed using Cox’s proportional hazard model. The results are presented in Table 3.

Table 3.
Hazard ratios of nutritional status, self-assessed chewing ability, and IADL.
For women, only serum albumin level was shown to have a statistically significant effect on mortality, and its hazard ratio was the highest. In contrast, for men, the self-assessed chewing ability of moderate hard food, and intercellular activity had statistically significant effects on mortality. The number of remaining teeth did not have a statistically significant effect. However, when classified as edentulous or dentate, the hazard ratio of edentulous was statistically significant in men (hazard ratio: 1.766, 95% CI; 1.119–2.788, p = 0.015). Additionally, hazard ratios of chewing ability were adjusted by health status evaluated by blood tests. Results were shown in Supplementary Table S10. For men, adjusted hazard ratios of self-assessed chewing ability were statistically significant except for Creatinine.
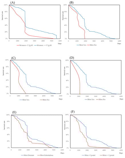
The Kaplan–Meier analysis was used to calculate the survival rate. As self-assessed chewing ability is a contentious variable, the ability to chew three foods (konnyaku jelly, tubular roll of boiled fish paste, and steamed rice) was used as a dichotomous variable. The means and medians of the survival rate are shown in Supplementary Table S11. The survival curves of the statistically significant factors are shown in Figure 4.

Figure 4.
Survival curves of the significant factors for mortality. (A) Serum levels of albumin for women. (B) Ability to chew Konnyaku-jelly of men. (C) Ability to chew Tubular roll of boiled fish paste of men. (D) Ability to chew Steamed rice of men. (E) Edentulous. (F)Intellectual activity of men.
3.5. Overview of the Interactions Among Health-Related Factors
Finally, by using all health-related factors investigated in this study, multiple group structural equation modeling was conducted for men and women. The results are presented in Figure 5. Black lines indicated statistical significance for both men and women, blue lines indicate significance only in men, red lines indicate significance only in women, and orange lines indicated no significance for either men or women. Self-assessed chewing ability was not associated with serum albumin. ADLs were not associated with QOL.

Figure 5.
Overview of the interactions among health-related factors. Black lines indicated statistical significance for both men and women, blue lines indicate significance only in men, red lines indicate significance only in women, and orange lines indicated no significance for either men or women. e: Error variable. QOL: quality of live. ADL: activity of daily living. REMSEA: root-mean-square error of approximation.
4. Discussion
In this study, nutritional status, evaluated by the serum level of albumin, was associated with mortality in women. Self-assessed chewing ability was significantly associated with quality of life (QOL) and the instrumental activity of daily living (IADL) evaluated by the TIMG Index.
The subjects who participated in this study were functionally independent and could attend mass check-ups held at the local city hall or gymnasium. No subjects were hospitalized or living in a nursing home. According to the Kaplan–Meier analysis, their mean life expectancy was 91.28 years for men and 94.38 years for women (Supplementary Table S6). The subjects who participated in this study represented a healthy and long-living population. A previous report showed a large difference in mortality between participants and non-participants in health check-ups []. The results of this study may not applicable for hospitalized older adults or older adults residing in nursing homes.
Several studies have suggested that regular diet [] and nutritional status [,,,,] affect the QOL of community-dwelling older adults. Another study showed that chewing ability is significantly greater in subjects with high QOL scores. Dietary intake was not associated with QOL []. In this study, chewing ability was significantly associated with two dimensions of QOL. However, nutritional status, as evaluated by the serum level of albumin, and number of remaining teeth were not directly associated with QOL. As shown in Figure 3, the number of remaining teeth is a morphological background factor in oral function [,]. Therefore, the number of remaining teeth is not directly associated with QOL. Nutritional status was evaluated by the serum albumin level, which is one of the limitations of this study. A more precise evaluation of nutritional status or regular diet by a validated questionnaire may lead to more precise results. However, these tools were not available when the survey was conducted in 2002.
In this study, the self-assessed chewing ability was associated with three subscales of the TMIG index. The number of remaining teeth and the serum level of albumin were not associated with the IADL. A previous report showed that tooth loss is associated with future decline in higher-level functional capacity []. Tooth loss can be compensated for by prosthodontic treatment. In addition, the Japanese national insurance system covers most conventional prosthodontic treatments. Recently, the concept of functional teeth was introduced, and it could be used as a predictor of mortality instead of the number of remaining teeth []. One of the limitations of this study is that we did not have data on functional teeth. However, there were only three out of 196 (1.5%) edentulous subjects who did not use dentures.
Recently, the concept of frailty, including oral frailty, has been widely accepted [,,]. Frailty has been evaluated by physical conditions that can be improved by nutritional interventions. For nutritional intervention studies, frail is a more optimal outcome variable than ADLs [,,,,]. ADLs do not only describe limited physical conditions. They include other dimensions such as social function and intellectual activity []. A previous study showed that physical activity, social role, and mental health are associated with ADLs [,,]. This may be one of the reasons why the serum level of albumin was not significantly associated with the ADL subscales.
Nutritional factors affect mortality in older adults []. In this study, malnutrition was evaluated by the serum level of albumin []. A low level of serum albumin is a well-known predictor of mortality in older persons in both the short and long term [,,,,,,]. The results of this study are consistent with another report conducted in women; however, it was not applicable in men. Except for one subject, all women with less than the cut-off point of albumin died within the observational period. They died within 2000 days. In contrast, one man was alive after the observational period and he became a centenarian. When men and women were combined, the hazard ratio for the serum level of albumin was 1.979 (95% CI: 1.172–3.341, p = 0.011).
Self-assessed chewing ability was significantly correlated with QOL and mortality in men. The number of remaining teeth was not statistically significantly correlated with mortality. The subjective method for the evaluation of chewing ability requires a specific device, labor, and costs. Due to its ease of use and cost effectiveness, masticatory dysfunction has generally been assessed by self-assessment-specific questionnaires in epidemiological studies. Studies have shown that the mortality of older adults is influenced by the number of remaining teeth. However, they failed to show a dose–response relationship [,]. As mentioned for the QOL, this may be because the effects of tooth loss can be compensated for by the use of proper dentures. In this study, the number of remaining teeth did not directly influence mortality. However, for edentulous subjects, not using dentures was significantly high risk in men (Hazard ratio: 15.160 (p = 0.019)). Therefore, tooth loss should be used in combination with the use of dentures [,]. Therefore, the concept of functional teeth is reasonable []. However, complete denture wearers and subjects with all-natural teeth were treated as equivalent. Further study is necessary to apply the concept of functional teeth in epidemiological studies. The number of remaining teeth should be considered as one of the indicators of oral function. Mortality is a multifactorial issue, and some related factors cause either tooth loss or mortality. In particular, socioeconomic status and health literacy may be important factors in mortality. In this study, we could not obtain these data. It is one of the limitations of this study. However, the association of self-assessed chewing ability with mortality rather than the number of teeth was a reasonable result. Hazard ratio of self-assessed chewing ability for slight hard food was statistically significant for men. It was also significant adjusted by blood tests except for creatinine. Creatinine reflects the muscle activity. Self-assessed chewing ability may reflect the exercise in daily life. However, as shown in Figure 4, clear survival curves were obtained. Self-assessed chewing ability for slight hard food can be the indicator for the prediction of mortality.
There is a sex difference in mortality related to the number of remaining teeth [,,,,]. Most studies have shown that tooth loss is a risk factor for mortality in men and not in women [,,]. Other studies have shown contradictory results [,]. One report had statistically not significant between men and women []. Follow-up periods, the baseline number of remaining teeth, and statistical methods were different between studies. In addition, mortality is a multifactorial issue, and some related factors cause either tooth loss or mortality. Prevalence of noncommunicable diseases may be different between studies. Health care supply system varies from country to country. In addition, the prevalence of noncommunicable diseases may be different between men and women. It is impossible to reach a clear conclusion for the sex difference of mortality.
Figure 5 shows one of the models. The interactions between health-related factors are different between men and women. When planning a health promotion plan for older adults, different strategies may be necessary for men and women.
5. Conclusions
Self-assessed chewing ability was not associated with the serum level of albumin. In dental practice, recovering oral function is not enough for the health promotion of older adults. Additional nutritional instruction is indispensable. Health-related factors were found to interact with each other. However, the interactions were different for men and women. In terms of a health promotion plan for older adults, different strategies are necessary for men and women.
Supplementary Materials
The following are available online at https://www.mdpi.com/2072-6643/12/11/3315/s1, Figure S1. Diagram of the study design, Figure S2: Item response curve and item information curve of the 15 foods, Table S1: Results of blood tests for the subjects who participated in this study, Table S2: Descriptive statistics of the subscales of the SF 36, Table S3: Factor analysis for the subscales of the SF 36, Table S4: Frequency of items in the TMIG index for subjects who answered yes or able, Table S5: Frequency of scores of the TIMIG Index, Table S6: Factor analysis for the items in the TMIG index, Table S7: Three parameter logistic model of 15 foods, Table S8: Factor analysis for the 15 foods, Table S9: Correlations of number of remaining teeth, serum albumin level, and self-assessed chewing ability with subscales of the QOL, Table S10: Hazard ratios of self-assessed chewing ability of slight hard food adjusted by blood tests, Table S11: Means and medians of survival days.
Author Contributions
Y.N. planned the study design and management and analysis of the data and wrote the original draft. E.K., A.O., R.O., M.S., Y.T., C.T. and K.A. collected and managed the data. Y.N., H.D., T.S. and N.H. contributed to funding acquisition, planning the study design, and reviewing and editing the manuscript. All authors have read and agreed to the published version of the manuscript.
Funding
This study was supported by JSPS KAKENHI (grant numbers 17K12030, 20K10303), SECOM Science and Technology Foundation and an 8020 Research Grant for fiscal year 2017 from the 8020 Promotion Foundation (grant number 17-2-05). None of the funders played a role in the design of the study, data collection or analysis, interpretation of the results, or writing of the manuscript.
Conflicts of Interest
The authors state that they have no financial or nonfinancial conflicts of interest regarding this research.
References
- Leonardi, M.; Chatterji, S.; Koskinen, S.; Mateos, A.J.L.; Haro, J.M.; Frisoni, G.; Frattura, L.; Martinuzzi, A.; Adamczyk, T.B.; Gmurek, M.; et al. Determinants of health and disability in ageing population: The COURAGE in Europe Project. Clin. Psychol. Psychother. 2014, 21, 193–198. [Google Scholar] [CrossRef]
- Gómez, H.A.I.; Ayala, A.; García, R.M.P.; Blázquez, R.T.C.; Rodríguez, R.T.V.; Pérez, V.F.; Mayoralas, F.G.; Laso, R.A.; Larrañaga, C.A.; Forjaz, M.J. The WHO active ageing pillars and its association with survival: Findings from a population-based study in Spain. Arch. Gerontol. Geriatr. 2020, 90, 104114. [Google Scholar] [CrossRef]
- Turner, H.Y.C.; Peel, N.M.; Hubbard, R.E. Health assets in older age: A systematic review. BMJ Open. 2017, 7, e013226. [Google Scholar] [CrossRef] [PubMed]
- Kehoe, L.; Walton, J.; Flynn, A. Nutritional challenges for older adults in Europe: Current status and future directions. Proc. Nutr. Soc. 2019, 78, 221–233. [Google Scholar] [CrossRef]
- Gabrovec, B.; Veninšek, G.; Samaniego, L.L.; Carriazo, A.M.; Antoniadou, E.; Jelenc, M. The role of nutrition in ageing: A narrative review from the perspective of the European joint action on frailty—ADVANTAGE JA. Eur. J. Int. Med. 2018, 56, 26–32. [Google Scholar] [CrossRef] [PubMed]
- Lemacks, J.; Wells, B.A.; Ilich, J.Z.; Ralston, P.A. Interventions for improving nutrition and physical activity behaviors in adult African American populations: A systematic review, January 2000 through December 2011. Prev. Chronic. Dis. 2013, 10, E99. [Google Scholar] [CrossRef] [PubMed]
- Raffaele, B.; Matarese, M.; Alvaro, R.; Marinis, D.M.G. Health-promotion theories in nutritional interventions for community-dwelling older adults: A systematic review. Annali dell’Istituto Superiore di Sanità 2017, 53, 146–151. [Google Scholar] [CrossRef] [PubMed]
- Lyons, B.P. Nutrition education intervention with community-dwelling older adults: Research challenges and opportunities. J. Community Health 2014, 39, 810–818. [Google Scholar] [CrossRef] [PubMed]
- Takayama, K.; Atagi, S.; Imamura, F.; Tanaka, H.; Minato, K.; Harada, T.; Katakami, N.; Yokoyama, T.; Yoshimori, K.; Takiguchi, Y.; et al. Quality of life and survival survey of cancer cachexia in advanced non-small cell lung cancer patients-Japan nutrition and QOL survey in patients with advanced non-small cell lung cancer study. Support Care Cancer 2016, 24, 3473–3480. [Google Scholar] [CrossRef]
- Raynaud, K.; Seguy, D.; Rogosnitzky, M.; Saulnier, F.; Pruvot, F.R.; Zerbib, P. Conservative management of severe caustic injuries during acute phase leads to superior long-term nutritional and quality of life (QoL) outcome. Langenbecks Arch. Surg. 2016, 401, 81–87. [Google Scholar] [CrossRef]
- Ha, L.; Hauge, T.; Spenning, A.B.; Iversen, P.O. Individual, nutritional support prevents undernutrition, increases muscle strength and improves QoL among elderly at nutritional risk hospitalized for acute stroke: A randomized, controlled trial. Clin. Nutr. 2010, 29, 567–573. [Google Scholar] [CrossRef] [PubMed]
- Dent, E.; Visvanathan, R.; Piantadosi, C.; Chapman, I. Nutritional screening tools as predictors of mortality, functional decline, and move to higher level care in older people: A systematic review. J. Nutr. Gerontol. Geriatr. 2012, 31, 97–145. [Google Scholar] [CrossRef] [PubMed]
- Kiesswetter, E.; Pohlhausen, S.; Uhlig, K.; Diekmann, R.; Lesser, S.; Uter, W.; Heseker, H.; Stehle, P.; Sieber, C.C.; Volkert, D. Prognostic differences of the Mini Nutritional Assessment short form and long form in relation to 1-year functional decline and mortality in community-dwelling older adults receiving home care. J. Am. Geriatr. Soc. 2014, 62, 512–517. [Google Scholar] [CrossRef]
- Malafarina, V.; Reginster, J.Y.; Cabrerizo, S.; Bruyère, O.; Kanis, J.A.; Martinez, J.A.; Zulet, M.A. Nutritional status and nutritional treatment are related to outcomes and mortality in older adults with hip fracture. Nutrients 2018, 10, 555. [Google Scholar] [CrossRef] [PubMed]
- Keller, U. Nutritional laboratory markers in malnutrition. J. Clin. Med. 2019, 8, 775. [Google Scholar] [CrossRef] [PubMed]
- Copur, S.; Siriopol, D.; Afsar, B.; Comert, M.C.; Uzunkopru, G.; Sag, A.A.; Ortiz, A.; Covic, A.; van Raalte, D.H.; Cherney, D.Z.; et al. Serum glycated albumin predicts all-cause mortality in dialysis patients with diabetes mellitus: Meta-analysis and systematic review of a predictive biomarker. Acta Diabetol. 2020, 30. Online ahead of print. [Google Scholar] [CrossRef]
- Sun, J.; Su, H.; Lou, Y.; Wang, M. Association between serum albumin level and all-cause mortality in patients with chronic kidney disease: A retrospective cohort study. Am. J. Med. Sci. 2020. Online ahead of print. [Google Scholar] [CrossRef]
- Akirov, A.; Gorshtein, A.; Adler-Cohen, C.; Steinmetz, T.; Shochat, T.; Shimon, I. Low serum albumin levels predict short- and long-term mortality risk in patients hospitalized to general surgery wards. Intern. Med. J. 2019. Online ahead of print. [Google Scholar] [CrossRef]
- Kendall, H.; Abreu, E.; Cheng, A.L. Serum albumin trend is a predictor of mortality in ICU patients with sepsis. Biol. Res. Nurs. 2019, 21, 237–244. [Google Scholar] [CrossRef]
- Touma, E.; Bisharat, N. Trends in admission serum albumin and mortality in patients with hospital readmission. Int. J. Clin. Pract. 2019, 73, e13314. [Google Scholar] [CrossRef]
- Wu, C.Y.; Hu, H.Y.; Huang, N.; Chou, Y.C.; Li, C.P.; Chou, Y.J. Albumin levels and cause-specific mortality in community-dwelling older adults. Prev. Med. 2018, 112, 145–151. [Google Scholar] [CrossRef] [PubMed]
- Umeki, Y.; Adachi, H.; Enomoto, M.; Fukami, A.; Nakamura, S.; Nohara, Y.; Nakao, E.; Sakaue, A.; Tsuru, T.; Morikawa, N.; et al. Serum albumin and cerebro-cardiovascular mortality during a 15-year study in a community-based cohort in tanushimaru, a cohort of the seven countries study. Intern. Med. 2016, 55, 2917–2925. [Google Scholar] [CrossRef]
- Tanaka, M.; Momosaki, R.; Wakabayashi, H.; Kikura, T.; Maeda, K. Relationship between nutritional status and improved ADL in individuals with cervical spinal cord injury in a convalescent rehabilitation ward. Spinal Cord. 2019, 57, 501–508. [Google Scholar] [CrossRef]
- Pedersen, J.L.; Pedersen, P.U.; Damsgaard, E.M. Early nutritional follow-up after discharge prevents deterioration of ADL functions in malnourished, independent, geriatric patients who live alone—A randomized clinical trial. J. Nutr. Health Aging 2016, 20, 845–853. [Google Scholar] [CrossRef]
- Nishioka, S.; Wakabayashi, H.; Momosaki, R. Nutritional status changes and activities of daily living after hip fracture in convalescent rehabilitation units: A retrospective observational cohort study from the Japan rehabilitation nutrition database. J. Acad. Nutr. Diet. 2018, 118, 1270–1276. [Google Scholar] [CrossRef]
- Fueki, K.; Kimoto, K.; Ogawa, T.; Garrett, N.R. Effect of implant-supported or retained dentures on masticatory performance: A systematic review. J. Prosthet. Dent. 2007, 98, 470–477. [Google Scholar] [CrossRef]
- Kumar, Y.; Chand, P.; Arora, V.; Singh, S.V.; Mishra, N.; Alvi, H.A.; Verma, U.P. Comparison of rehabilitating missing mandibular first molars with implant- or tooth-supported prostheses using masticatory efficiency and patient satisfaction outcomes. J. Prosthodont. 2017, 26, 376–380. [Google Scholar] [CrossRef]
- Li, S.; Flint, A.; Pai, J.K.; Forman, J.P.; Hu, F.B.; Willett, W.C.; Rexrode, K.M.; Mukamal, K.J.; Rimm, E.B. Low carbohydrate diet from plant or animal sources and mortality among myocardial infarction survivors. J. Am. Heart Assoc. 2014, 22, e001169. [Google Scholar] [CrossRef] [PubMed]
- Shirai, K. Ideal body mass index determined by mortality in Europe, and adequate high protein and low carbohydrate diet to maintain bodyweight. J. Diabetes Investig. 2011, 30, 421–422. [Google Scholar] [CrossRef][Green Version]
- Lagiou, P.; Sandin, S.; Weiderpass, E.; Lagiou, A.; Mucci, L.; Trichopoulos, D.; Adami, H.O. Low carbohydrate-high protein diet and mortality in a cohort of Swedish women. J. Intern. Med. 2007, 261, 366–374. [Google Scholar] [CrossRef]
- Host, A.; McMahon, A.T.; Walton, K.; Charlton, K. Factors influencing food choice for independently living older people-A systematic literature review. J. Nutr. Gerontol. Geriatr. 2016, 35, 67–94. [Google Scholar] [CrossRef] [PubMed]
- Nomura, Y.; Tsutsumi, I.; Nagasaki, M.; Tsuda, H.; Koga, F.; Kashima, N.; Uraguchi, M.; Okada, A.; Kakuta, E.; Hanada, N. Supplied food consistency and oral functions of institutionalized elderly. Int. J. Dent. 2020, 2020, 3463056. [Google Scholar] [CrossRef] [PubMed]
- Fukuhara, S.; Bito, S.; Green, J.; Hsiao, A.; Kurokawa, K. Translation, adaptation, and validation of the SF-36 Health Survey for use in Japan. J. Clin. Epidemiol. 1998, 51, 1037–1044. [Google Scholar] [CrossRef]
- Fukuhara, S.; Ware, J.J.E.; Kosinski, M.; Wada, S.; Gandek, B. Psychometric and clinical tests of validity of the Japanese SF-36 Health Survey. J. Clin. Epidemiol. 1998, 51, 1045–1053. [Google Scholar] [CrossRef]
- Brazier, J.E.; Fukuhara, S.; Roberts, J.; Kharroubi, S.; Yamamoto, Y.; Ikeda, S.; Doherty, J.; Kurokawa, K. Estimating a preference-based index from the Japanese SF-36. J. Clin. Epidemiol. 2009, 62, 1323–1331. [Google Scholar] [CrossRef] [PubMed]
- Koyano, W.; Shibata, H.; Nakazato, K.; Haga, H.; Suyama, Y. Measurement of competence: Reliability and validity of the TMIG Index of Competence. Arch. Gerontol. Geriatr. 1991, 13, 103–116. [Google Scholar] [CrossRef]
- Nomura, Y.; Kakuta, E.; Okada, A.; Otsuka, R.; Shimada, M.; Tomizawa, Y.; Taguchi, C.; Arikawa, K.; Daikoku, H.; Sato, T.; et al. Effects of self-assessed chewing ability, tooth loss and serum albumin on mortality in 80-year-old individuals: A 20-year follow-up study. BMC Oral. Health 2020, 20, 122. [Google Scholar] [CrossRef]
- Nomura, Y.; Kakuta, E.; Okada, A.; Otsuka, R.; Shimada, M.; Tomizawa, Y.; Taguchi, C.; Arikawa, K.; Daikoku, H.; Sato, T.; et al. Oral microbiome in four female centenarians. Appl. Sci. 2020, 10, 5312. [Google Scholar] [CrossRef]
- Ishizaki, T.; Kai, I.; Kobayashi, Y.; Imanaka, Y. Functional transitions and active life expectancy for older Japanese living in a community. Arch. Gerontol. Geriatr. 2002, 35, 107–120. [Google Scholar] [CrossRef]
- Kiyoshige, E.; Kabayama, M.; Gondo, Y.; Masui, Y.; Inagaki, H.; Ogawa, M.; Nakagawa, T.; Yasumoto, S.; Akasaka, H.; Sugimoto, K.; et al. Age group differences in association between IADL decline and depressive symptoms in community-dwelling elderly. BMC Geriatr. 2019, 19, 309. [Google Scholar] [CrossRef]
- Komatsu, M.; Obayashi, K.; Tomioka, K.; Morikawa, M.; Jojima, N.; Okamoto, N.; Kurumatani, N.; Saeki, K. The interaction effect between physical and cultural leisure activities on the subsequent decline of instrumental ADL: The Fujiwara-kyo study. Environ. Health Prev. Med. 2019, 24, 71. [Google Scholar] [CrossRef]
- Hama, Y.; Kubota, C.; Moriya, S.; Onda, R.; Watanabe, Y.; Minakuchi, S. Factors related to removable denture use in independent older people: A cross-sectional study. J. Oral. Rehabil. 2020, 47, 998–1006. [Google Scholar] [CrossRef]
- Cho, S.; Park, S.; Takahashi, S.; Yoshiuchi, K.; Shephard, R.J.; Aoyagi, Y. Changes in and interactions between physical and mental health in older Japanese: The Nakanojo Study. Gerontology 2019, 65, 340–352. [Google Scholar] [CrossRef]
- Okamoto, N.; Hisashige, A.; Tanaka, Y.; Kurumatani, N. Development of the Japanese 15D instrument of health-related quality of life: Verification of reliability and validity among elderly people. PLoS ONE 2013, 8, e61721. [Google Scholar] [CrossRef]
- Kimura, M.; Moriyasu, A.; Kumagai, S.; Furuna, T.; Akita, S.; Kimura, S.; Suzuki, T. Community-based intervention to improve dietary habits and promote physical activity among older adults: A cluster randomized trial. BMC Geriatr. 2013, 13, 8. [Google Scholar] [CrossRef]
- Ansai, T.; Takata, Y.; Soh, I.; Akifusa, S.; Sogame, A.; Shimada, N.; Yoshida, A.; Hamasaki, T.; Awano, S.; Fukuhara, M.; et al. Relationship between chewing ability and 4-year mortality in a cohort of 80-year-old Japanese people. Oral. Dis. 2007, 13, 214–219. [Google Scholar] [CrossRef]
- Nomura, Y.; Kakuta, E.; Okada, A.; Yamamoto, Y.; Tomonari, H.; Hosoya, N.; Hanada, N.; Yoshida, N.; Takei, N. Prioritization of the skills to be mastered for the daily jobs of Japanese dental hygienists. Int. J. Dent. 2020, 2020, 4297646. [Google Scholar] [CrossRef]
- Nomura, Y.; Matsuyama, T.; Fukai, K.; Okada, A.; Ida, M.; Yamauchi, N.; Hanamura, H.; Yabuki, Y.; Watanabe, K.; Sugawara, M.; et al. PRECEDE-PROCEED model based questionnaire and saliva tests for oral health checkup in adult. J. Oral. Sci. 2019, 61, 544–548. [Google Scholar] [CrossRef]
- Nomura, Y.; Maung, K.; Khine, K.E.M.; Sint, K.M.; Lin, M.P.; Myint, W.M.K.; Aung, T.; Sogabe, K.; Otsuka, R.; Okada, A.; et al. Prevalence of dental caries in 5- and 6-year-old Myanmar children. Int. J. Dent. 2019, 2019, 5948379. [Google Scholar] [CrossRef]
- Nomura, Y.; Ishii, Y.; Suzuki, S.; Morita, K.; Suzuki, A.; Suzuki, S.; Tanabe, J.; Ishiwata, Y.; Yamakawa, K.; Chiba, Y.; et al. Nutritional status and oral frailty: A community based study. Nutrients 2020, 12, E2886. [Google Scholar] [CrossRef]
- Iwasa, H.; Yoshida, H.; Kim, H.; Yoshida, Y.; Kwon, J.; Sugiura, M.; Furuna, T.; Suzuki, T. A mortality comparison of participants and non-participants in a comprehensive health examination among elderly people living in an urban Japanese community. Aging. Clin. Exp. Res. 2007, 19, 240–245. [Google Scholar] [CrossRef]
- Sun, W.; Aodeng, S.; Tanimoto, Y.; Watanabe, M.; Han, J.; Wang, B.; Yu, L.; Kono, K. Quality of life (QOL) of the community-dwelling elderly and associated factors: A population-based study in urban areas of China. Arch. Gerontol. Geriatr. 2015, 60, 311–316. [Google Scholar] [CrossRef]
- Luger, E.; Haider, S.; Kapan, A.; Schindler, K.; Lackinger, C.; Dorner, T.E. Association between nutritional status and quality of life in (pre) frail community-dwelling older persons. J. Frailty Aging 2016, 5, 141–148. [Google Scholar]
- Smoliner, C.; Norman, K.; Scheufele, R.; Hartig, W.; Pirlich, M.; Lochs, H. Effects of food fortification on nutritional and functional status in frail elderly nursing home residents at risk of malnutrition. Nutrition 2008, 24, 1139–1144. [Google Scholar] [CrossRef]
- Gollub, E.A.; Weddle, D.O. Improvements in nutritional intake and quality of life among frail homebound older adults receiving home-delivered breakfast and lunch. J. Am. Diet. Assoc. 2004, 104, 1227–1235. [Google Scholar] [CrossRef]
- Izawa, S.; Kuzuya, M.; Okada, K.; Enoki, H.; Koike, T.; Kanda, S.; Iguchi, A. The nutritional status of frail elderly with care needs according to the mini-nutritional assessment. Clin. Nutr. 2006, 25, 962–967. [Google Scholar] [CrossRef]
- Haller, J. Vitamins for the elderly: Reducing disability and improving quality of life. Aging 1993, 5, 65–70. [Google Scholar]
- Mori, K.; Kawano, Y.; Tada, Y.; Hida, A.; Nagasawa, N.; Inoue, K.; Kamioka, H.; Inoue, K.; Ozeki, T. Relationship of dietary intake and lifestyle factors to health-related quality of life in the community-dwelling elderly. J. Nutr. Sci. Vitaminol. 2010, 56, 364–371. [Google Scholar] [CrossRef]
- Gotfredsen, K.; Walls, A.W. What dentition assures oral function? Clin. Oral Implants Res. 2007, 18, 34–45. [Google Scholar] [CrossRef]
- Sierpińska, T.; Gołebiewska, M.; Długosz, J.W. The relationship between masticatory efficiency and the state of dentition at patients with non rehabilitated partial lost of teeth. Adv. Med. Sci. 2006, 51, 196–199. [Google Scholar]
- Sato, Y.; Aida, J.; Kondo, K.; Tsuboya, T.; Watt, R.G.; Yamamoto, T.; Koyama, S.; Matsuyama, Y.; Osaka, K. Tooth loss and decline in functional capacity: A prospective cohort study from the Japan gerontological evaluation study. J. Am. Geriatr. Soc. 2016, 64, 2336–2342. [Google Scholar] [CrossRef]
- Maekawa, K.; Ikeuchi, T.; Shinkai, S.; Hirano, H.; Ryu, M.; Tamaki, K.; Yatani, H.; Kuboki, T.; Kimura-Ono, A.; Kikutani, T.; et al. Number of functional teeth more strongly predicts all-cause mortality than number of present teeth in Japanese older adults. Geriatr. Gerontol. Int. 2020, 20, 607–614. [Google Scholar] [CrossRef]
- Xue, Q.L.; Roche, K.B.; Varadhan, R.; Zhou, J.; Fried, L.P. Initial manifestations of frailty criteria and the development of frailty phenotype in the Women’s Health and Aging Study II. J. Gerontol. A Biol. Sci. Med. Sci. 2008, 63, 984–990. [Google Scholar] [CrossRef]
- Signore, D.S.; Roubenoff, R. Physical frailty and sarcopenia (PF&S): A point of view from the industry. Aging Clin. Exp. Res. 2017, 29, 69–74. [Google Scholar] [CrossRef]
- Tanaka, T.; Takahashi, K.; Hirano, H.; Kikutani, T.; Watanabe, Y.; Ohara, Y.; Furuya, H.; Tetsuo, T.; Akishita, M.; Iijima, K. Oral frailty as a risk factor for physical frailty and mortality in community-dwelling elderly. J. Gerontol. A Biol. Sci. Med. Sci. 2018, 73, 1661–1667. [Google Scholar] [CrossRef]
- Avgerinou, C.; Bhanu, C.; Walters, K.; Croker, H.; Tuijt, R.; Rea, J.; Hopkins, J.; Barr, M.; Kharicha, K.K. Supporting nutrition in frail older people: A qualitative study exploring views of primary care and community health professionals. Br. J. Gen. Pract. 2020, 70, e138–e145. [Google Scholar] [CrossRef]
- Tomata, Y.; Watanabe, T.; Sugiyama, K.; Zhang, S.; Sugawara, Y.; Tsuji, I. Effects of a community-based program for oral health and nutrition on cost-effectiveness by preventing disability in Japanese frail elderly: A quasi-experimental study using propensity score matching. J. Am. Med. Dir. Assoc. 2017, 18, 678–685. [Google Scholar] [CrossRef]
- Orlandoni, P.; Peladic, J.N.; Spazzafumo, L.; Venturini, C.; Cola, C.; Sparvoli, D.; Giorgini, N.; Basile, R.; Fagnani, D. Utility of video consultation to improve the outcomes of home enteral nutrition in a population of frail older patients. Geriatr. Gerontol. Int. 2016, 16, 762–767. [Google Scholar] [CrossRef]
- Hirakawa, Y.; Kimata, T.; Uemura, K. Current challenges in home nutrition services for frail older adults in Japan-A qualitative research study from the point of view of care managers. Healthcare 2013, 1, 53–63. [Google Scholar] [CrossRef]
- Suffian, M.N.I.; Adznam, S.N.; Saad, A.H.; Chan, Y.M.; Ibrahim, Z.; Omar, N.; Murat, M.F. Frailty Intervention through Nutrition Education and Exercise (FINE). A health promotion intervention to prevent frailty and improve frailty status among pre-frail elderly-A study protocol of a cluster randomized controlled trial. Nutrients 2020, 12, E2758. [Google Scholar] [CrossRef]
- Fujiwara, Y.; Shinkai, S.; Kumagai, S.; Amano, H.; Yoshida, Y.; Yoshida, H.; Kim, H.; Suzuki, T.; Ishizaki, T.; Haga, H.; et al. Longitudinal changes in higher-level functional capacity of an older population living in a Japanese urban community. Arch. Gerontol. Geriatr. 2003, 36, 141–153. [Google Scholar] [CrossRef]
- Cappelli, M.; Bordonali, A.; Giannotti, C.; Montecucco, F.; Nencioni, A.; Odetti, P.; Monacelli, F. Social vulnerability underlying disability amongst older adults: A systematic review. Eur. J. Clin. Investig. 2020, 50, e13239. [Google Scholar] [CrossRef]
- Shibata, H. Nutritional factors on longevity and quality of life in Japan. J. Nutr. Health Aging 2001, 5, 97–102. [Google Scholar]
- Don, B.R.; Kaysen, G. Serum albumin: Relationship to inflammation and nutrition. Semin. Dial. 2004, 17, 432–437. [Google Scholar] [CrossRef]
- Okamura, T.; Hayakawa, T.; Hozawa, A.; Kadowaki, T.; Murakami, Y.; Kita, Y.; Abbott, R.D.; Okayama, A.; Ueshima, H. Lower levels of serum albumin and total cholesterol associated with decline in activities of daily living and excess mortality in a 12-year cohort study of elderly Japanese. J. Am. Geriatr. Soc. 2008, 56, 529–535. [Google Scholar] [CrossRef]
- Takata, Y.; Ansai, T.; Soh, I.; Awano, S.; Sonoki, K.; Akifusa, S.; Kagiyama, S.; Hamasaki, T.; Torisu, T.; Yoshida, A.; et al. Serum albumin levels as an independent predictor of 4-year mortality in a community-dwelling 80-year-old population. Aging Clin. Exp. Res. 2010, 22, 31–35. [Google Scholar] [CrossRef]
- Takata, Y.; Ansai, T.; Yoshihara, A.; Miyazaki, H. Serum albumin (SA) levels and 10-year mortality in a community-dwelling 70-year-old population. Arch. Gerontol. Geriatr. 2012, 54, 39–43. [Google Scholar] [CrossRef]
- Goldwasser, P.; Feldman, J. Association of serum albumin and mortality risk. J. Clin. Epidemiol. 1997, 50, 693–703. [Google Scholar] [CrossRef]
- Sahyoun, N.R.; Jacques, P.F.; Dallal, G.; Russell, R.M. Use of albumin as a predictor of mortality in community dwelling and institutionalized elderly populations. J. Clin. Epidemiol. 1996, 49, 981–988. [Google Scholar] [CrossRef]
- Cohen, K.H.; Connor, B.E.L.; Edelstein, S.L. Albumin levels as a predictor of mortality in the healthy elderly. J. Clin. Epidemiol. 1992, 45, 207–212. [Google Scholar] [CrossRef]
- Nakanishi, N.; Hino, Y.; Ida, O.; Fukuda, H.; Shinsho, F.; Tatara, K. Associations between self-assessed masticatory disability and health of community-residing elderly people. Community Dent Oral. Epidemiol. 1999, 27, 366–371. [Google Scholar] [CrossRef] [PubMed]
- Nakanishi, N.; Fukuda, H.; Takatorige, T.; Tatara, K. Relationship between self-assessed masticatory disability and 9-year mortality in a cohort of community-residing elderly people. J. Am. Geriatr. Soc. 2005, 53, 54–58. [Google Scholar] [CrossRef]
- Fukai, K.; Takiguchi, T.; Ando, Y.; Aoyama, H.; Miyakawa, Y.; Ito, G.; Inoue, M.; Sasaki, H. Mortality rates of community-residing adults with and without dentures. Geriatr. Gerontol. Int. 2008, 8, 152–159. [Google Scholar] [CrossRef] [PubMed]
- Appollonio, I.; Carabellese, C.; Frattola, A.; Trabucchi, M. Dental status, quality of life, and mortality in an older community population: A multivariate approach. J. Am. Geriatr. Soc. 1997, 45, 1315–1323. [Google Scholar] [CrossRef] [PubMed]
- Morita, I.; Nakagaki, H.; Kato, K.; Murakami, T.; Tsuboi, S.; Hayashizaki, J.; Toyama, A.; Hashimoto, M.; Simozato, T.; Morishita, N.; et al. Relationship between survival rates and numbers of natural teeth in an elderly Japanese population. Gerodontology 2006, 23, 214–218. [Google Scholar] [CrossRef] [PubMed]
- Osterberg, T.; Carlsson, G.E.; Sundh, V.; Steen, B. Number of teeth—A predictor of mortality in the elderly? A population study in three Nordic localities. Acta Odontol. Scand. 2007, 65, 335–340. [Google Scholar] [CrossRef]
- Hämäläinen, P.; Meurman, J.H.; Keskinen, M.; Heikkinen, E. Relationship between dental health and 10-year mortality in a cohort of community-dwelling elderly people. Eur. J. Oral. Sci. 2003, 111, 291–296. [Google Scholar] [CrossRef] [PubMed]
- Osterberg, T.; Carlsson, G.E.; Sundh, V.; Mellström, D. Number of teeth--a predictor of mortality in 70-year-old subjects. Community Dent Oral. Epidemiol. 2008, 36, 258–268. [Google Scholar] [CrossRef]
- Hirotomi, T.; Yoshihara, A.; Ogawa, H.; Miyazaki, H. Number of teeth and 5-year mortality in an elderly population. Community Dent Oral. Epidemiol. 2015, 43, 226–231. [Google Scholar] [CrossRef]
Publisher’s Note: MDPI stays neutral with regard to jurisdictional claims in published maps and institutional affiliations. |
© 2020 by the authors. Licensee MDPI, Basel, Switzerland. This article is an open access article distributed under the terms and conditions of the Creative Commons Attribution (CC BY) license (http://creativecommons.org/licenses/by/4.0/).