Trends in Dietary Intake of Total Fat and Fatty Acids Among Korean Adolescents from 2007 to 2017
Abstract
1. Introduction
2. Materials and Methods
2.1. Data and Study Subjects
2.2. Dietary Assessment
2.3. Sociodemographic Variables
2.4. Statistical Analyses
3. Results
3.1. Characteristics of the Study Subjects
3.2. Trends in Total Fat Intake
3.3. Trends in Fatty Acids Intake
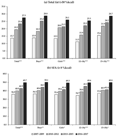
3.4. Trends in Prevalence of Excessive Intake of Total Fat and SFA
4. Discussion
Author Contributions
Funding
Conflicts of Interest
References
- GBD 2017 Causes of Death Collaborators. Global, regional, and national age-sex-specific mortality for 282 causes of death in 195 countries and territories, 1980–2017: A systematic analysis for the Global Burden of Disease Study 2017. Lancet 2018, 392, 1736–1788. [Google Scholar] [CrossRef]
- Eckel, R.H.; Jakicic, J.M.; Ard, J.D.; de Jesus, J.M.; Houston Miller, N.; Hubbard, V.S.; Lee, I.M.; Lichtenstein, A.H.; Loria, C.M.; Millen, B.E.; et al. 2013 AHA/ACC guideline on lifestyle management to reduce cardiovascular risk: A report of the American College of Cardiology/American Heart Association Task Force on Practice Guidelines. Circulation 2014, 129, S76–S99. [Google Scholar] [CrossRef] [PubMed]
- Lichtenstein, A.H.; Appel, L.J.; Brands, M.; Carnethon, M.; Daniels, S.; Franch, H.A.; Franklin, B.; Kris-Etherton, P.; Harris, W.S.; Howard, B.; et al. Diet and lifestyle recommendations revision 2006: A scientific statement from the American Heart Association Nutrition Committee. Circulation 2006, 114, 82–96. [Google Scholar] [CrossRef] [PubMed]
- U.S. Department of Health and Human Services and U.S. Department of Agriculture. 2015–2020 Dietary Guidelines for Americans, 8th ed.; U.S. Department of Health and Human Services and U.S. Department of Agriculture: Washington, DC, USA, 2015.
- Food and Agriculture Organization. Fats and Fatty Acids in Human Nutrition. Report of an Expert Consultation; Food and Agriculture Organization: Rome, Italy, 2010. [Google Scholar]
- Kubena, K.S. Metabolic syndrome in adolescents: Issues and opportunities. J. Am. Diet Assoc. 2011, 111, 1674–1679. [Google Scholar] [CrossRef]
- May, A.L.; Kuklina, E.V.; Yoon, P.W. Prevalence of cardiovascular disease risk factors among US adolescents, 1999–2008. Pediatrics 2012, 129, 1035–1041. [Google Scholar] [CrossRef]
- Liang, Y.; Hou, D.; Zhao, X.; Wang, L.; Hu, Y.; Liu, J.; Cheng, H.; Yang, P.; Shan, X.; Yan, Y.; et al. Childhood obesity affects adult metabolic syndrome and diabetes. Endocrine 2015, 50, 87–92. [Google Scholar] [CrossRef]
- Saarikoski, L.A.; Juonala, M.; Huupponen, R.; Viikari, J.S.A.; Lehtimäki, T.; Jokinen, E.; Hutri-Kähönen, N.; Taittonen, L.; Laitinen, T.; Raitakari, O.T. Low serum adiponectin levels in childhood and adolescence predict increased intima-media thickness in adulthood. The Cardiovascular Risk in Young Finns Study. Ann. Med. 2017, 49, 42–50. [Google Scholar] [CrossRef]
- Baek, Y.; Hwang, J.Y.; Kim, K.; Moon, H.K.; Kweon, S.; Yang, J.; Oh, K.; Shim, J.E. Dietary intake of fats and fatty acids in the Korean population: Korea National Health and Nutrition Examination Survey, 2013. Nutr. Res. Pr. 2015, 9, 650–657. [Google Scholar] [CrossRef]
- Cui, Z.; Dibley, M.J. Trends in dietary energy, fat, carbohydrate and protein intake in Chinese children and adolescents from 1991 to 2009. Br. J. Nutr. 2012, 108, 1292–1299. [Google Scholar] [CrossRef]
- Rippin, H.L.; Hutchinson, J.; Jewell, J.; Breda, J.J.; Cade, J.E. Child and adolescent nutrient intakes from current national dietary surveys of European populations. Nutr. Res. Rev. 2019, 32, 38–69. [Google Scholar] [CrossRef]
- U.S. Department of Agricultur, Agricultural Research Service. Energy Intakes: Percentages of Energy from Protein, Carbohydrate, Fat, and Alcohol, by Gender and Age, What We Eat in America, NHANES 2015–2016; U.S. Department of Agricultur, Agricultural Research Service: Beltsville, MD, USA, 2018.
- Abdul Majid, H.; Ramli, L.; Ying, S.P.; Su, T.T.; Jalaludin, M.Y.; Abdul Mohsein, N.A.-S. Dietary intake among adolescents in a middle-income country: An outcome from the Malaysian Health and Adolescents Longitudinal Research Team Study (the MyHeARTs Study). PLoS ONE 2016, 11, e0155447. [Google Scholar] [CrossRef] [PubMed]
- Pot, G.K.; Prynne, C.J.; Roberts, C.; Olson, A.; Nicholson, S.K.; Whitton, C.; Teucher, B.; Bates, B.; Henderson, H.; Pigott, S.; et al. National Diet and Nutrition Survey: Fat and fatty acid intake from the first year of the rolling programme and comparison with previous surveys. Br. J. Nutr. 2012, 107, 405–415. [Google Scholar] [CrossRef] [PubMed]
- Ervin, R.B.; Ogden, C.L. Trends in intake of energy and macronutrients in children and adolescents from 1999–2000 through 2009–2010. Nchs. Data Brief. 2013, 113, 1–8. [Google Scholar]
- Charzewska, J.; Chwojnowska, Z.; Wajszczyk, B.; Chabros, E. Twenty four year time trends in fats and cholesterol intake by adolescents. Warsaw Adolescents Study. Anthropol. Rev. 2015, 78, 183–195. [Google Scholar] [CrossRef]
- Libuda, L.; Alexy, U.; Kersting, M. Time trends in dietary fat intake in a sample of German children and adolescents between 2000 and 2010: Not quantity, but quality is the issue. Br. J. Nutr. 2014, 111, 141–150. [Google Scholar] [CrossRef] [PubMed]
- Meyer, B.J. Australians are not meeting the recommended intakes for omega-3 long chain polyunsaturated fatty acids: Results of an analysis from the 2011–2012 National Nutrition and Physical Activity Survey. Nutrients 2016, 8, 111. [Google Scholar] [CrossRef] [PubMed]
- Ley, S.H.; Hamdy, O.; Mohan, V.; Hu, F.B. Prevention and management of type 2 diabetes: Dietary components and nutritional strategies. Lancet 2014, 383, 1999–2007. [Google Scholar] [CrossRef]
- Korea Centers for Disease Control and Prevention. Korea Health Statistics 2017: Korea National Health and Nutrition Examination Survey (KNHANES Ⅶ-2); Korea Centers for Disease Control and Prevention: Cheongju, Korea, 2018.
- Song, S.; Shim, J.E.; Song, W.O. Trends in total fat and fatty acid intakes and chronic health conditions in Korean adults over 2007–2015. Public Health Nutr. 2019, 22, 1341–1350. [Google Scholar] [CrossRef]
- Song, S.; Shim, J.E. Evaluation of total fat and fatty acids intakes in the Korean adult population using data from the 2016–2017 Korea National Health and Nutrition Examination Surveys. Korean J. Community Nutr. 2019, 24, 223–231. [Google Scholar] [CrossRef]
- Kwon, E.; Nah, E.-H. Secular trends in height, weight and obesity among Korean children and adolescents in 2006–2015. Korean J. Health Educ. Promot. 2016, 33, 1–13. [Google Scholar] [CrossRef]
- Kweon, S.; Kim, Y.; Jang, M.J.; Kim, Y.; Kim, K.; Choi, S.; Chun, C.; Khang, Y.H.; Oh, K. Data resource profile: The Korea National Health and Nutrition Examination Survey (KNHANES). Int. J. Epidemiol. 2014, 43, 69–77. [Google Scholar] [CrossRef] [PubMed]
- National Institute of Agricultural Sciences. Food Composition Table, 7th ed.; National Institute of Agricultural Sciences: Suwon, Korea, 2006.
- National Institute of Agricultural Sciences. Food Composition Table, 8th ed.; National Institute of Agricultural Sciences: Suwon, Korea, 2011.
- National Institute of Agricultural Sciences. Food Composition Table, 9th ed.; National Institute of Agricultural Sciences: Wanju, Korea, 2016.
- Yoon, M.O.; Kim, K.; Hwang, J.-Y.; Lee, H.S.; Son, T.Y.; Moon, H.-K.; Shim, J.E. Development of a fatty acids database using the Korea National Health and Nutrition Examination Survey data. J. Nutr. Health 2014, 47, 435–442. [Google Scholar] [CrossRef][Green Version]
- The Korean Nutrition Society. Dietary Reference Intakes for Koreans 2015; The Korean Nutrition Society: Seoul, Korea, 2016. [Google Scholar]
- Saito, A.; Imai, S.; Htun, N.C.; Okada, E.; Yoshita, K.; Yoshiike, N.; Takimoto, H. The trends in total energy, macronutrients and sodium intake among Japanese: Findings from the 1995–2016 National Health and Nutrition Survey. Br. J. Nutr. 2018, 120, 424–434. [Google Scholar] [CrossRef]
- Shen, X.; Fang, A.; He, J.; Liu, Z.; Guo, M.; Gao, R.; Li, K. Trends in dietary fat and fatty acid intakes and related food sources among Chinese adults: A longitudinal study from the China Health and Nutrition Survey (1997–2011). Public Health Nutr. 2017, 20, 2927–2936. [Google Scholar] [CrossRef] [PubMed]
- Harika, R.K.; Cosgrove, M.C.; Osendarp, S.J.M.; Verhoef, P.; Zock, P.L. Fatty acid intakes of children and adolescents are not in line with the dietary intake recommendations for future cardiovascular health: A systematic review of dietary intake data from thirty countries. Br. J. Nutr. 2011, 106, 307–316. [Google Scholar] [CrossRef] [PubMed]
- Calvo-Lerma, J.; Hulst, J.; Boon, M.; Martins, T.; Ruperto, M.; Colombo, C.; Fornés-Ferrer, V.; Woodcock, S.; Claes, I.; Asseiceira, I.; et al. The relative contribution of food groups to macronutrient intake in children with cystic fibrosis: A European multicenter assessment. J. Acad. Nutr. Diet 2019, 119, 1305–1319. [Google Scholar] [CrossRef] [PubMed]
- Aranceta, J.; Perez-Rodrigo, C. Recommended dietary reference intakes, nutritional goals and dietary guidelines for fat and fatty acids: A systematic review. Br. J. Nutr. 2012, 107 (Suppl. 2), S8–S22. [Google Scholar] [CrossRef]

| Characteristics | Total (n = 6406) | 2007–2009 (n = 1931) | 2010–2012 (n = 1883) | 2013–2015 (n = 1633) | 2016–2017 (n = 959) | p-Value 2 | |||||
|---|---|---|---|---|---|---|---|---|---|---|---|
| % or Mean | SE | % or Mean | SE | % or Mean | SE | % or Mean | SE | % or Mean | SE | ||
| Gender | |||||||||||
| Boys | 53.5 | 0.3 | 53.8 | 1.1 | 54.8 | 1.2 | 51.8 | 1.1 | 53.4 | 1.2 | 0.4104 |
| Girls | 46.5 | 0.3 | 46.2 | 1.0 | 45.2 | 1.1 | 48.2 | 1.1 | 46.6 | 1.2 | |
| Age | |||||||||||
| 12–14 years | 40.1 | 0.3 | 43.8 | 0.9 | 40.5 | 0.9 | 39.1 | 0.9 | 35.6 | 0.9 | 0.0013 |
| 15–18 years | 59.9 | 0.4 | 56.2 | 1.2 | 59.5 | 1.4 | 60.9 | 1.2 | 64.4 | 1.5 | |
| Region | |||||||||||
| Urban | 83.6 | 0.5 | 82.4 | 1.7 | 82.0 | 1.9 | 84.1 | 1.8 | 87.4 | 1.9 | 0.3855 |
| Rural | 16.4 | 0.3 | 17.6 | 1.2 | 18.0 | 1.4 | 15.9 | 1.1 | 12.6 | 0.9 | |
| Household income | |||||||||||
| Lowest | 13.2 | 0.2 | 12.9 | 0.6 | 14.6 | 0.8 | 12.9 | 0.6 | 11.8 | 0.7 | 0.1890 |
| Medium-low | 26.6 | 0.3 | 23.4 | 0.8 | 29.1 | 1.2 | 27.3 | 0.9 | 25.7 | 0.9 | |
| Medium-high | 30.5 | 0.3 | 32.3 | 1.0 | 27.7 | 1.0 | 31.6 | 1.0 | 31.1 | 1.0 | |
| Highest | 29.7 | 0.3 | 31.4 | 1.1 | 28.6 | 1.0 | 28.2 | 1.1 | 31.4 | 1.2 | |
| Energy and macronutrient intake | |||||||||||
| Total energy (kcal) | 2129 | 12.7 | 1970 | 20.3 | 2215 | 24.9 | 2189 | 24.3 | 2121 | 32.3 | <0.0001 |
| Carbohydrate (% kcal) | 62.0 | 0.2 | 64.0 | 0.3 | 62.4 | 0.3 | 61.2 | 0.3 | 59.9 | 0.4 | <0.0001 |
| Fat (% kcal) | 23.6 | 0.1 | 21.9 | 0.2 | 23.3 | 0.3 | 24.3 | 0.2 | 25.5 | 0.3 | <0.0001 |
| Protein (% kcal) | 14.4 | 0.1 | 14.1 | 0.1 | 14.4 | 0.1 | 14.5 | 0.1 | 14.6 | 0.2 | 0.0079 |
| Characteristics | Total Fat (g) 2 | Total Fat (% kcal) 3 | ||||||||||||||||
|---|---|---|---|---|---|---|---|---|---|---|---|---|---|---|---|---|---|---|
| 2007–2009 | 2010–2012 | 2013–2015 | 2016–2017 | p-Trend | 2007–2009 | 2010–2012 | 2013–2015 | 2016–2017 | p-Trend | |||||||||
| Mean | SE | Mean | SE | Mean | SE | Mean | SE | Mean | SE | Mean | SE | Mean | SE | Mean | SE | |||
| Total | 54.3 | 0.7 | 56.2 | 0.8 | 57.3 | 0.7 | 61.8 | 1.0 | <0.0001 | 21.7 | 0.3 | 23.1 | 0.3 | 24.1 | 0.3 | 25.2 | 0.4 | <0.0001 |
| Gender | ||||||||||||||||||
| Boys | 61.4 | 1.0 | 63.6 | 1.1 | 64.8 | 1.0 | 69.9 | 1.5 | <0.0001 | 21.9 | 0.3 | 23.2 | 0.4 | 24.4 | 0.4 | 25.6 | 0.5 | <0.0001 |
| Girls | 46.4 | 0.8 | 48.1 | 1.0 | 49.1 | 0.8 | 52.9 | 1.1 | <0.0001 | 21.5 | 0.4 | 23.0 | 0.4 | 23.8 | 0.4 | 24.8 | 0.5 | <0.0001 |
| Age | ||||||||||||||||||
| 12–14 years | 52.0 | 0.7 | 53.7 | 0.9 | 56.0 | 0.9 | 59.7 | 1.2 | <0.0001 | 21.0 | 0.3 | 22.2 | 0.4 | 23.9 | 0.4 | 24.6 | 0.5 | <0.0001 |
| 15–18 years | 56.2 | 1.0 | 58.4 | 1.1 | 58.7 | 0.9 | 63.7 | 1.3 | <0.0001 | 22.3 | 0.4 | 23.8 | 0.4 | 24.4 | 0.4 | 25.8 | 0.5 | <0.0001 |
| Region | ||||||||||||||||||
| Urban | 54.7 | 0.7 | 56.3 | 0.8 | 57.6 | 0.7 | 61.7 | 1.0 | <0.0001 | 21.9 | 0.3 | 23.1 | 0.3 | 24.2 | 0.3 | 25.3 | 0.4 | <0.0001 |
| Rural | 52.2 | 1.2 | 55.1 | 1.5 | 56.0 | 1.2 | 62.4 | 2.7 | 0.0002 | 21.3 | 0.5 | 23.2 | 0.6 | 24.2 | 0.6 | 25.4 | 1.1 | <0.0001 |
| Household income | ||||||||||||||||||
| Lowest | 50.6 | 2.1 | 53.7 | 1.7 | 53.3 | 1.7 | 57.6 | 2.0 | 0.0386 | 21.6 | 0.6 | 23.5 | 0.8 | 23.3 | 0.8 | 24.8 | 0.9 | 0.0059 |
| Medium-low | 54.9 | 1.2 | 54.8 | 1.4 | 53.0 | 1.2 | 59.6 | 2.3 | 0.1784 | 22.4 | 0.5 | 22.9 | 0.5 | 23.2 | 0.5 | 24.9 | 0.8 | 0.0066 |
| Medium-high | 53.7 | 1.2 | 56.7 | 1.4 | 59.1 | 1.1 | 63.8 | 1.5 | <0.0001 | 21.2 | 0.4 | 22.9 | 0.6 | 24.5 | 0.5 | 25.7 | 0.6 | <0.0001 |
| Highest | 56.2 | 1.1 | 57.8 | 1.6 | 61.3 | 1.3 | 63.3 | 1.8 | <0.0001 | 22.1 | 0.4 | 23.5 | 0.6 | 25.2 | 0.5 | 25.4 | 0.7 | <0.0001 |
| Characteristics | SFA (g) 2 | SFA (% kcal) 3 | ||||||||||||||||
|---|---|---|---|---|---|---|---|---|---|---|---|---|---|---|---|---|---|---|
| 2007–2009 | 2010–2012 | 2013–2015 | 2016–2017 | p-Trend | 2007–2009 | 2010–2012 | 2013–2015 | 2016–2017 | p-Trend | |||||||||
| Mean | SE | Mean | SE | Mean | SE | Mean | SE | Mean | SE | Mean | SE | Mean | SE | Mean | SE | |||
| Total | 17.8 | 0.3 | 18.4 | 0.3 | 18.4 | 0.3 | 20.6 | 0.4 | <0.0001 | 7.1 | 0.1 | 7.6 | 0.1 | 7.8 | 0.1 | 8.4 | 0.2 | <0.0001 |
| Gender | ||||||||||||||||||
| Boys | 20.4 | 0.5 | 21.3 | 0.5 | 20.8 | 0.5 | 23.5 | 0.6 | 0.0005 | 7.3 | 0.1 | 7.7 | 0.2 | 7.9 | 0.2 | 8.6 | 0.2 | <0.0001 |
| Girls | 14.8 | 0.3 | 15.4 | 0.4 | 15.8 | 0.3 | 17.5 | 0.4 | <0.0001 | 6.9 | 0.1 | 7.4 | 0.2 | 7.7 | 0.2 | 8.3 | 0.2 | <0.0001 |
| Age | ||||||||||||||||||
| 12–14 years | 17.1 | 0.3 | 18.0 | 0.4 | 18.2 | 0.4 | 19.8 | 0.5 | <0.0001 | 7.0 | 0.1 | 7.5 | 0.2 | 7.8 | 0.2 | 8.2 | 0.2 | <0.0001 |
| 15–18 years | 18.2 | 0.4 | 18.8 | 0.5 | 18.6 | 0.4 | 21.1 | 0.6 | <0.0001 | 7.2 | 0.1 | 7.6 | 0.2 | 7.7 | 0.1 | 8.6 | 0.2 | <0.0001 |
| Region | ||||||||||||||||||
| Urban | 17.9 | 0.3 | 18.4 | 0.3 | 18.4 | 0.3 | 20.7 | 0.4 | <0.0001 | 7.2 | 0.1 | 7.6 | 0.1 | 7.8 | 0.1 | 8.5 | 0.2 | <0.0001 |
| Rural | 16.9 | 0.5 | 18.1 | 0.7 | 18.3 | 0.5 | 20.2 | 1.1 | 0.0051 | 7.0 | 0.2 | 7.6 | 0.3 | 8.0 | 0.2 | 8.2 | 0.4 | 0.0010 |
| Household income | ||||||||||||||||||
| Lowest | 16.3 | 1.0 | 17.7 | 0.7 | 16.7 | 0.8 | 17.6 | 0.8 | 0.5505 | 7.0 | 0.3 | 7.7 | 0.3 | 7.4 | 0.3 | 7.6 | 0.3 | 0.2303 |
| Medium-low | 17.9 | 0.5 | 17.6 | 0.6 | 17.1 | 0.5 | 20.1 | 0.9 | 0.0834 | 7.4 | 0.2 | 7.4 | 0.2 | 7.6 | 0.2 | 8.5 | 0.3 | 0.0032 |
| Medium-high | 17.8 | 0.5 | 18.5 | 0.6 | 19.2 | 0.5 | 21.3 | 0.6 | <0.0001 | 7.1 | 0.2 | 7.6 | 0.2 | 8.0 | 0.2 | 8.6 | 0.2 | <0.0001 |
| Highest | 18.5 | 0.5 | 19.5 | 0.7 | 19.8 | 0.6 | 21.7 | 0.8 | <0.0001 | 7.3 | 0.2 | 7.9 | 0.2 | 8.2 | 0.2 | 8.8 | 0.3 | <0.0001 |
| Characteristics | MUFA (g) 2 | MUFA (% kcal) 3 | ||||||||||||||||
|---|---|---|---|---|---|---|---|---|---|---|---|---|---|---|---|---|---|---|
| 2007–2009 | 2010–2012 | 2013–2015 | 2016–2017 | p-Trend | 2007–2009 | 2010–2012 | 2013–2015 | 2016–2017 | p-Trend | |||||||||
| Mean | SE | Mean | SE | Mean | SE | Mean | SE | Mean | SE | Mean | SE | Mean | SE | Mean | SE | |||
| Total | 17.2 | 0.3 | 18.0 | 0.3 | 18.7 | 0.3 | 20.7 | 0.4 | <0.0001 | 6.8 | 0.1 | 7.3 | 0.1 | 7.9 | 0.1 | 8.4 | 0.2 | <0.0001 |
| Gender | ||||||||||||||||||
| Boys | 19.6 | 0.4 | 20.5 | 0.5 | 21.3 | 0.4 | 23.6 | 0.7 | <0.0001 | 6.9 | 0.1 | 7.4 | 0.2 | 8.0 | 0.2 | 8.6 | 0.2 | <0.0001 |
| Girls | 14.4 | 0.3 | 15.3 | 0.4 | 15.9 | 0.3 | 17.4 | 0.4 | <0.0001 | 6.7 | 0.1 | 7.3 | 0.2 | 7.7 | 0.2 | 8.2 | 0.2 | <0.0001 |
| Age | ||||||||||||||||||
| 12–14 years | 16.4 | 0.3 | 17.1 | 0.4 | 18.2 | 0.4 | 19.8 | 0.5 | <0.0001 | 6.6 | 0.1 | 7.0 | 0.1 | 7.8 | 0.2 | 8.1 | 0.2 | <0.0001 |
| 15–18 years | 17.7 | 0.4 | 18.8 | 0.5 | 19.3 | 0.4 | 21.4 | 0.6 | <0.0001 | 6.9 | 0.1 | 7.6 | 0.2 | 8.0 | 0.1 | 8.6 | 0.2 | <0.0001 |
| Region | ||||||||||||||||||
| Urban | 17.3 | 0.3 | 18.0 | 0.3 | 18.8 | 0.3 | 20.7 | 0.5 | <0.0001 | 6.9 | 0.1 | 7.4 | 0.1 | 7.9 | 0.1 | 8.4 | 0.2 | <0.0001 |
| Rural | 16.3 | 0.4 | 17.8 | 0.7 | 18.5 | 0.5 | 20.7 | 1.3 | <0.0001 | 6.6 | 0.2 | 7.4 | 0.3 | 8.0 | 0.2 | 8.4 | 0.4 | <0.0001 |
| Household income | ||||||||||||||||||
| Lowest | 16.5 | 0.9 | 17.4 | 0.8 | 17.3 | 0.7 | 19.0 | 0.8 | 0.0697 | 6.9 | 0.3 | 7.6 | 0.3 | 7.6 | 0.3 | 8.2 | 0.3 | 0.0059 |
| Medium-low | 17.2 | 0.4 | 17.4 | 0.6 | 17.1 | 0.5 | 20.2 | 1.0 | 0.0124 | 7.0 | 0.2 | 7.2 | 0.2 | 7.5 | 0.2 | 8.4 | 0.4 | 0.0001 |
| Medium-high | 17.0 | 0.4 | 18.3 | 0.6 | 19.4 | 0.5 | 21.5 | 0.7 | <0.0001 | 6.6 | 0.2 | 7.2 | 0.2 | 8.0 | 0.2 | 8.6 | 0.3 | <0.0001 |
| Highest | 17.7 | 0.5 | 18.7 | 0.7 | 20.3 | 0.6 | 21.1 | 0.8 | <0.0001 | 6.9 | 0.2 | 7.5 | 0.3 | 8.3 | 0.2 | 8.4 | 0.3 | <0.0001 |
| Characteristics | 2007–2009 | 2010–2012 | 2013–2015 | 2016–2017 | p-Trend | 2007–2009 | 2010–2012 | 2013–2015 | 2016–2017 | p-Trend | ||||||||
|---|---|---|---|---|---|---|---|---|---|---|---|---|---|---|---|---|---|---|
| Mean | SE | Mean | SE | Mean | SE | Mean | SE | Mean | SE | Mean | SE | Mean | SE | Mean | SE | |||
| PUFA (g) 2 | PUFA (% kcal) 3 | |||||||||||||||||
| Total | 12.4 | 0.2 | 12.1 | 0.2 | 12.5 | 0.2 | 13.2 | 0.3 | 0.0050 | 5.0 | 0.1 | 5.0 | 0.1 | 5.3 | 0.1 | 5.4 | 0.1 | 0.0003 |
| Gender | ||||||||||||||||||
| Boys | 13.7 | 0.3 | 13.3 | 0.3 | 13.9 | 0.3 | 14.6 | 0.4 | 0.0250 | 5.0 | 0.1 | 4.9 | 0.1 | 5.3 | 0.1 | 5.4 | 0.1 | 0.0019 |
| Girls | 11.0 | 0.3 | 10.7 | 0.3 | 10.9 | 0.3 | 11.7 | 0.4 | 0.0812 | 5.1 | 0.1 | 5.0 | 0.1 | 5.3 | 0.1 | 5.4 | 0.2 | 0.0371 |
| Age | ||||||||||||||||||
| 12–14 years | 11.5 | 0.2 | 11.4 | 0.3 | 12.1 | 0.3 | 13.0 | 0.4 | <0.0001 | 4.7 | 0.1 | 4.7 | 0.1 | 5.1 | 0.1 | 5.4 | 0.1 | <0.0001 |
| 15–18 years | 13.2 | 0.3 | 12.7 | 0.3 | 13.0 | 0.3 | 13.6 | 0.4 | 0.2610 | 5.4 | 0.1 | 5.2 | 0.1 | 5.4 | 0.1 | 5.5 | 0.1 | 0.1584 |
| Region | ||||||||||||||||||
| Urban | 12.4 | 0.2 | 12.0 | 0.2 | 12.5 | 0.2 | 13.1 | 0.3 | 0.0222 | 5.1 | 0.1 | 4.9 | 0.1 | 5.3 | 0.1 | 5.4 | 0.1 | 0.0024 |
| Rural | 12.2 | 0.4 | 12.0 | 0.4 | 12.1 | 0.5 | 13.9 | 0.7 | 0.0711 | 5.0 | 0.2 | 5.1 | 0.2 | 5.2 | 0.2 | 5.7 | 0.3 | 0.0420 |
| Household income | ||||||||||||||||||
| Lowest | 11.9 | 0.5 | 11.5 | 0.5 | 12.0 | 0.6 | 13.7 | 0.9 | 0.0865 | 5.3 | 0.3 | 4.9 | 0.2 | 5.4 | 0.3 | 5.9 | 0.4 | 0.1251 |
| Medium-low | 12.5 | 0.4 | 12.0 | 0.4 | 11.8 | 0.4 | 12.5 | 0.5 | 0.7853 | 5.2 | 0.2 | 5.1 | 0.2 | 5.1 | 0.2 | 5.2 | 0.2 | 0.8937 |
| Medium-high | 12.1 | 0.3 | 12.3 | 0.4 | 12.6 | 0.4 | 13.6 | 0.5 | 0.0042 | 4.8 | 0.1 | 4.9 | 0.2 | 5.2 | 0.1 | 5.5 | 0.2 | 0.0002 |
| Highest | 12.7 | 0.3 | 12.0 | 0.4 | 13.0 | 0.4 | 13.1 | 0.4 | 0.2268 | 5.0 | 0.1 | 4.9 | 0.1 | 5.4 | 0.1 | 5.2 | 0.2 | 0.0888 |
| n-3 FA (g) 2 | n-3 FA (% kcal) 3 | |||||||||||||||||
| Total | 1.52 | 0.03 | 1.44 | 0.04 | 1.46 | 0.03 | 1.60 | 0.05 | 0.2437 | 0.63 | 0.01 | 0.60 | 0.02 | 0.62 | 0.01 | 0.66 | 0.02 | 0.1266 |
| Gender | ||||||||||||||||||
| Boys | 1.65 | 0.05 | 1.54 | 0.05 | 1.60 | 0.05 | 1.75 | 0.07 | 0.2237 | 0.61 | 0.02 | 0.58 | 0.02 | 0.61 | 0.02 | 0.64 | 0.02 | 0.2232 |
| Girls | 1.38 | 0.05 | 1.32 | 0.06 | 1.31 | 0.05 | 1.44 | 0.06 | 0.6297 | 0.64 | 0.02 | 0.62 | 0.02 | 0.63 | 0.02 | 0.68 | 0.03 | 0.2973 |
| Age | ||||||||||||||||||
| 12–14 years | 1.46 | 0.04 | 1.37 | 0.05 | 1.44 | 0.04 | 1.67 | 0.08 | 0.0222 | 0.60 | 0.02 | 0.57 | 0.02 | 0.61 | 0.02 | 0.70 | 0.04 | 0.0062 |
| 15–18 years | 1.57 | 0.05 | 1.49 | 0.06 | 1.48 | 0.05 | 1.57 | 0.06 | 0.8264 | 0.65 | 0.02 | 0.62 | 0.02 | 0.63 | 0.02 | 0.64 | 0.02 | 0.9127 |
| Region | ||||||||||||||||||
| Urban | 1.52 | 0.03 | 1.43 | 0.04 | 1.48 | 0.03 | 1.60 | 0.05 | 0.2207 | 0.63 | 0.02 | 0.60 | 0.02 | 0.63 | 0.01 | 0.66 | 0.02 | 0.1097 |
| Rural | 1.52 | 0.07 | 1.42 | 0.09 | 1.36 | 0.06 | 1.61 | 0.11 | 0.9486 | 0.64 | 0.03 | 0.61 | 0.04 | 0.58 | 0.03 | 0.69 | 0.05 | 0.9700 |
| Household income | ||||||||||||||||||
| Lowest | 1.39 | 0.08 | 1.32 | 0.09 | 1.37 | 0.09 | 1.66 | 0.17 | 0.1697 | 0.62 | 0.04 | 0.57 | 0.04 | 0.63 | 0.05 | 0.70 | 0.06 | 0.2115 |
| Medium-low | 1.59 | 0.06 | 1.44 | 0.08 | 1.38 | 0.06 | 1.55 | 0.08 | 0.3745 | 0.65 | 0.03 | 0.62 | 0.03 | 0.60 | 0.02 | 0.65 | 0.03 | 0.5617 |
| Medium-high | 1.50 | 0.06 | 1.53 | 0.08 | 1.44 | 0.05 | 1.67 | 0.08 | 0.2028 | 0.62 | 0.02 | 0.62 | 0.03 | 0.61 | 0.02 | 0.69 | 0.03 | 0.1044 |
| Highest | 1.54 | 0.06 | 1.38 | 0.07 | 1.56 | 0.07 | 1.53 | 0.08 | 0.5712 | 0.62 | 0.03 | 0.58 | 0.03 | 0.65 | 0.03 | 0.63 | 0.04 | 0.4566 |
| n-6 FA (g) 2 | n-6 FA (% kcal) 3 | |||||||||||||||||
| Total | 11.0 | 0.2 | 10.8 | 0.2 | 11.1 | 0.2 | 11.6 | 0.2 | 0.0092 | 4.4 | 0.1 | 4.4 | 0.1 | 4.7 | 0.1 | 4.7 | 0.1 | 0.0006 |
| Gender | ||||||||||||||||||
| Boys | 12.2 | 0.3 | 11.9 | 0.3 | 12.4 | 0.3 | 12.9 | 0.4 | 0.0442 | 4.4 | 0.1 | 4.4 | 0.1 | 4.7 | 0.1 | 4.7 | 0.1 | 0.0030 |
| Girls | 9.7 | 0.2 | 9.5 | 0.2 | 9.7 | 0.3 | 10.2 | 0.3 | 0.0873 | 4.5 | 0.1 | 4.4 | 0.1 | 4.7 | 0.1 | 4.7 | 0.1 | 0.0491 |
| Age | ||||||||||||||||||
| 12–14 years | 10.2 | 0.2 | 10.2 | 0.2 | 10.7 | 0.2 | 11.3 | 0.3 | 0.0001 | 4.1 | 0.1 | 4.2 | 0.1 | 4.5 | 0.1 | 4.6 | 0.1 | <0.0001 |
| 15–18 years | 11.7 | 0.3 | 11.3 | 0.3 | 11.6 | 0.3 | 12.1 | 0.3 | 0.2635 | 4.7 | 0.1 | 4.6 | 0.1 | 4.8 | 0.1 | 4.9 | 0.1 | 0.1616 |
| Region | ||||||||||||||||||
| Urban | 11.0 | 0.2 | 10.7 | 0.2 | 11.1 | 0.2 | 11.5 | 0.2 | 0.0460 | 4.5 | 0.1 | 4.4 | 0.1 | 4.7 | 0.1 | 4.7 | 0.1 | 0.0054 |
| Rural | 10.8 | 0.3 | 10.7 | 0.4 | 10.9 | 0.4 | 12.3 | 0.6 | 0.0433 | 4.4 | 0.1 | 4.5 | 0.2 | 4.7 | 0.2 | 5.0 | 0.3 | 0.0347 |
| Household income | ||||||||||||||||||
| Lowest | 10.6 | 0.5 | 10.3 | 0.5 | 10.7 | 0.5 | 12.0 | 0.8 | 0.1054 | 4.7 | 0.2 | 4.4 | 0.2 | 4.8 | 0.2 | 5.2 | 0.3 | 0.1182 |
| Medium-low | 11.1 | 0.3 | 10.6 | 0.4 | 10.5 | 0.3 | 11.0 | 0.4 | 0.7154 | 4.6 | 0.1 | 4.5 | 0.1 | 4.6 | 0.1 | 4.6 | 0.2 | 0.9915 |
| Medium-high | 10.7 | 0.3 | 10.9 | 0.4 | 11.3 | 0.3 | 11.9 | 0.4 | 0.0045 | 4.2 | 0.1 | 4.4 | 0.1 | 4.7 | 0.1 | 4.8 | 0.2 | 0.0002 |
| Highest | 11.3 | 0.3 | 10.8 | 0.3 | 11.5 | 0.3 | 11.5 | 0.4 | 0.3343 | 4.4 | 0.1 | 4.4 | 0.1 | 4.8 | 0.1 | 4.6 | 0.1 | 0.1534 |
© 2019 by the authors. Licensee MDPI, Basel, Switzerland. This article is an open access article distributed under the terms and conditions of the Creative Commons Attribution (CC BY) license (http://creativecommons.org/licenses/by/4.0/).
Share and Cite
Song, S.; Shim, J.E. Trends in Dietary Intake of Total Fat and Fatty Acids Among Korean Adolescents from 2007 to 2017. Nutrients 2019, 11, 3073. https://doi.org/10.3390/nu11123073
Song S, Shim JE. Trends in Dietary Intake of Total Fat and Fatty Acids Among Korean Adolescents from 2007 to 2017. Nutrients. 2019; 11(12):3073. https://doi.org/10.3390/nu11123073
Chicago/Turabian StyleSong, SuJin, and Jae Eun Shim. 2019. "Trends in Dietary Intake of Total Fat and Fatty Acids Among Korean Adolescents from 2007 to 2017" Nutrients 11, no. 12: 3073. https://doi.org/10.3390/nu11123073
APA StyleSong, S., & Shim, J. E. (2019). Trends in Dietary Intake of Total Fat and Fatty Acids Among Korean Adolescents from 2007 to 2017. Nutrients, 11(12), 3073. https://doi.org/10.3390/nu11123073

