Diet-Related Risk Factors for Incident Hypertension During an 11-Year Follow-Up: The Korean Genome Epidemiology Study
Abstract
1. Introduction
2. Materials and Methods
2.1. Study Subjects
2.2. Assessment of Hypertension
2.3. Dietary Data
2.4. Potential Risk Factors
2.5. Statistical Analysis
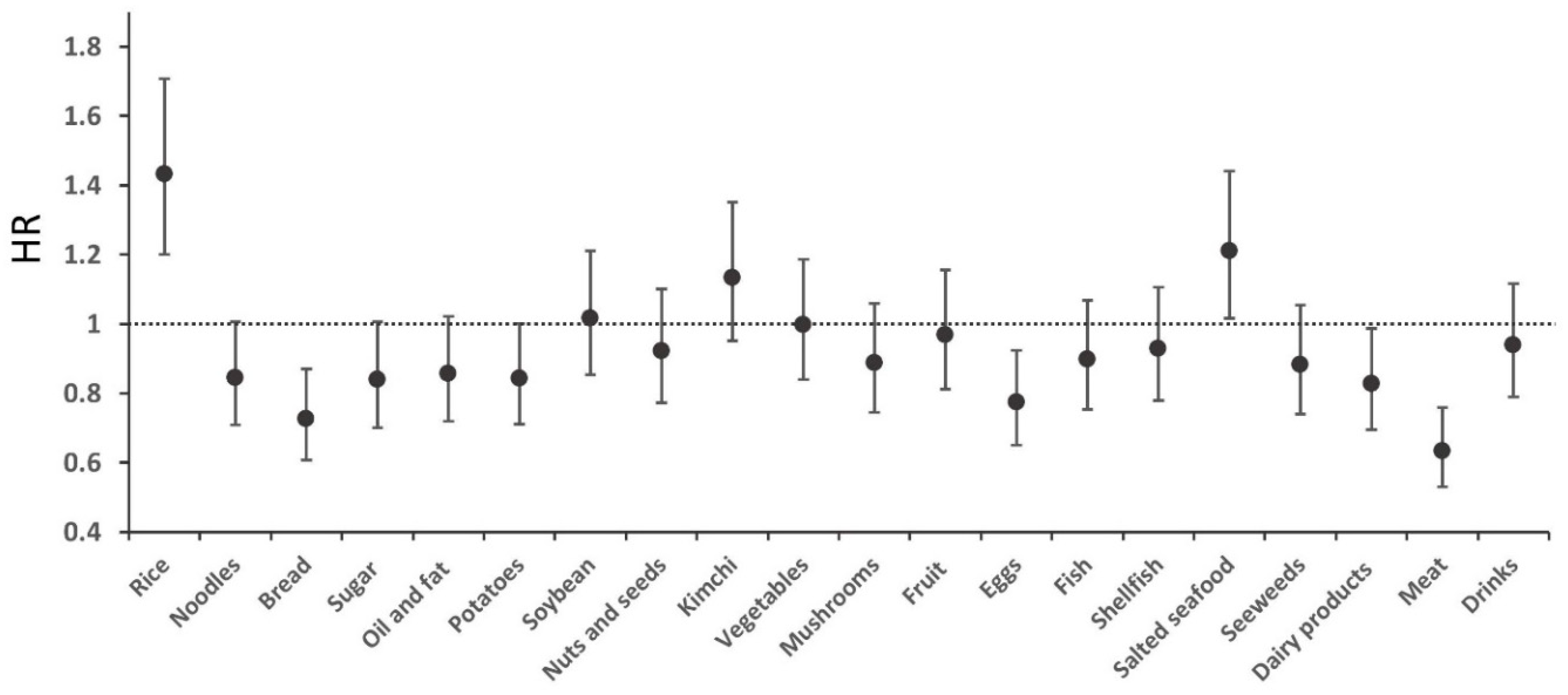
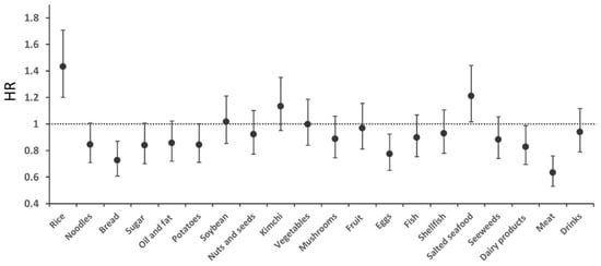
3. Results
4. Discussion
5. Conclusions
Supplementary Materials
Author Contributions
Acknowledgments
Conflicts of Interest
References
- World Health Organization. A Global Brief on Hypertension: Silent Killer, Global Public Health Crisis. 2013. Available online: http://apps.who.int/iris/bitstream/10665/79059/1/WHO_DCO_WHD_2013.2_eng.pdf?ua=1&bcsi_scan_43167910db6ab4d9=0&bcsi_scan_filename=WHO_DCO_WHD_2013.2_eng.pdf (accessed on 4 January 2018).
- Statistics Korea. Prevalence of Hypertension: Sex, Age 30 and Over. Available online: http://kosis.kr/statHtml/statHtml.do?orgId=117&tblId=DT_11702_N105&vw_cd=&list_id=117_11702_B01&seqNo=&lang_mode=ko&language=kor&obj_var_id=&itm_id=&conn_path=MT_ZTITLE# (accessed on 4 January 2018).
- World Health Organization. Global Status Report on Noncommunicable Diseases 2010. Available online: http://www.who.int/nmh/publications/ncd_report2010/en/ (accessed on 5 January 2018).
- Sun, D.; Liu, J.; Xiao, L.; Liu, Y.; Wang, Z.; Li, C.; Jin, Y.; Zhao, Q.; Wen, S.; Wang, T.J.; et al. Recent development of risk-prediction models for incident hypertension: An updated systematic review. PLoS ONE 2017, 12, e0187240. [Google Scholar] [CrossRef] [PubMed]
- Juhola, J.; Oikonen, M.; Magnussen, C.G.; Mikkilä, V.; Siitonen, N.; Jokinen, E.; Laitinen, T.; Würtz, P.; Gidding, S.S.; Taittonen, L.; et al. Childhood physical, environmental, and genetic predictors of adult hypertension: the cardiovascular risk in young Finns study. Circulation 2012, 126, 402–409. [Google Scholar] [CrossRef] [PubMed]
- Saneei, P.; Salehi-Abargouei, A.; Esmaillzadeh, A.; Azadbakht, L. Influence of Dietary Approaches to Stop Hypertension (DASH) diet on blood pressure: A systematic review and meta-analysis on randomized controlled trials. Nutr. Metab. Cardiovasc Dis. 2014, 24, 1253–1261. [Google Scholar] [CrossRef] [PubMed]
- Salehi-Abargouei, A.; Maghsoudi, Z.; Shirani, F.; Azadbakht, L. Effects of Dietary Approaches to Stop Hypertension (DASH)-style diet on fatal or nonfatal cardiovascular diseases––Incidence: A systematic review and meta-analysis on observational prospective studies. Nutrition 2013, 29, 611–618. [Google Scholar] [CrossRef] [PubMed]
- Bazzano, L.A.; Green, T.; Harrison, T.N.; Reynolds, K. Dietary approaches to prevent hypertension. Curr. Hypertens. Rep. 2013, 15, 694–702. [Google Scholar] [CrossRef] [PubMed]
- Schwingshackl, L.; Schwedhelm, C.; Hoffmann, G.; Knüppel, S.; Iqbal, K.; Andriolo, V.; Bechthold, A.; Schlesinger, S.; Boeing, H. Food groups and risk of hypertension: A systematic review and dose-response meta-analysis of prospective studies. Adv. Nutr. 2017, 8, 793–803. [Google Scholar] [CrossRef] [PubMed]
- Wang, H.; Fox, C.S.; Troy, L.M.; Mckeown, N.M.; Jacques, P.F. Longitudinal association of dairy consumption with the changes in blood pressure and the risk of incident hypertension: The Framingham Heart Study. Br. J. Nutr. 2015, 114, 1887–1899. [Google Scholar] [CrossRef] [PubMed]
- Lelong, H.; Blacher, J.; Baudry, J.; Adriouch, S.; Galan, P.; Fezeu, L.; Hercberg, S.; Kesse-Guyot, E. Individual and combined effects of dietary factors on risk of incident hypertension prospective analysis from the nutrinet-santé cohort. Hypertension 2017, 70, 712–720. [Google Scholar] [CrossRef] [PubMed]
- Kim, Y.; Han, B.G.; KoGES Group. Cohort profile: The Korean genome and epidemiology study [KoGES] consortium. Int. J. Epidemiol. 2017, 46, e20. [Google Scholar] [CrossRef] [PubMed]
- Korea Centers for Disease Control and Prevention. The Korean Genome and Epidemiology Study. Available online: http://www.cdc.go.kr/CDC/contents/CdcKrContentView.jsp?cid=24606&viewType=CDC&menuIds=HOME001-MNU1136-MNU2530-MNU1223-MNU1348 (accessed on 5 January 2018).
- Ahn, Y.; Kwon, E.; Shim, J.E.; Park, M.K.; Joo, Y.; Kimm, K.; Park, C.; Kim, D.H. Validation and reproducibility of food frequency questionnaire for Korean genome epidemiologic study. Eur. J. Clin. Nutr. 2007, 61, 1435–1441. [Google Scholar] [CrossRef] [PubMed]
- Borghi, C.; Rosei, E.A.; Bardin, T.; Dawson, J.; Dominiczak, A.; Kielstein, J.T.; Manolis, A.J.; Perez-Ruiz, F.; Mancia, G. Serum uric acid and the risk of cardiovascular and renal disease. J. Hypertens. 2015, 33, 1729–1741. [Google Scholar] [CrossRef] [PubMed]
- Borghi, C.; Rodriguez-Artalejo, F.; De Backer, G.; Dallongeville, J.; Medina, J.; Guallar, E.; Perk, J.; Banegas, J.R.; Tubach, F.; Roy, C.; et al. The association between blood pressure and lipid levels in Europe: European study on cardiovascular risk prevention and management in usual daily practice. J. Hypertens. 2016, 34, 2155–2163. [Google Scholar] [CrossRef] [PubMed]
- Tzoulaki, I.; Patel, C.J.; Okamura, T.; Chan, Q.; Brown, I.J.; Miura, K.; Ueshima, H.; Zhao, L.; Van Horn, L.; Daviglus, M.L.; et al. A nutrient-wide association study on blood pressure. Circulation 2012, 126, 2456–2464. [Google Scholar] [CrossRef] [PubMed]
- American Heart Association. Alcohol and Heart Health. 2015. Available online: http://www.heart.org/HEARTORG/Conditions/More/MyHeartandStrokeNews/Alcohol-and-Heart-Disease_UCM_305173_Article.jsp#.WkXWadJl_cs (accessed on 5 January 2018).
- Costanzo, S.; Di Castelnuovo, A.; Donati, M.B.; Iacoviello, L.; de Gaetano, G. Alcohol consumption and mortality in patients with cardiovascular disease: A meta-analysis. J. Am. Coll. Cardiol. 2010, 55, 1339–1347. [Google Scholar] [CrossRef] [PubMed]
- Institute for Health Metrics and Evaluation. GBD Compare. Available online: https://vizhub.healthdata.org/gbd-compare/ (accessed on 5 January 2018).
- Yoon, J.; Seo, H.; Oh, I.H.; Yoon, S.J. The non-communicable disease burden in Korea: Findings from the 2012 Korean burden of disease study. J. Korean Med. Sci. 2016, 31, S158–S167. [Google Scholar] [CrossRef] [PubMed]
- World Action on Salt & Health. World Action. Asia. Available online: http://www.worldactiononsalt.com/worldaction/asia/ (accessed on 5 January 2018).
- Korea Centers for Disease Control and Prevention. Korea National Health Statistics 2016–The 7th Korea National Health and Nutrition Examination Survey (KNHANES VII-1). Cheongju: Korea Centers for Disease Control and Prevention. 2017. Available online: https://knhanes.cdc.go.kr/knhanes/sub04/sub04_03.do?classType=7 (accessed on 5 January 2018).
- Jackson, S.L.; King, S.M.; Zhao, L.; Cogswell, M.E. Prevalence of excess sodium intake in the United States–NHANES, 2009–2012. MMWR 2016, 64, 1393–1397. [Google Scholar] [CrossRef] [PubMed]
- Park, J.E.; Jung, H.; Lee, J.E. Dietary pattern and hypertension in Korean adults. Public Health Nutr. 2014, 17, 597–606. [Google Scholar] [CrossRef] [PubMed]
- Song, D.Y.; Park, J.E.; Shim, J.E.; Lee, J.E. Trends in the major dish groups and food groups contributing to sodium intake in the Korea National Health and Nutrition Examination Survey 1998–2010. Korean J. Nutr. 2013, 46, 72–85. [Google Scholar] [CrossRef][Green Version]
- Park, Y.H.; Chung, S.J. A comparison of sources of sodium and potassium intake by gender, age and regions in Koreans: Korea National Health and Nutrition Examination Survey (KNHANES) 2010–2012. Korean J. Community Nutr. 2016, 21, 558–573. [Google Scholar] [CrossRef]
- Anderson, C.A.; Appel, L.J.; Okuda, N.; Brown, I.J.; Chan, Q.; Zhao, L.; Ueshima, H.; Kesteloot, H.; Miura, K.; Curb, J.D.; et al. Dietary sources of sodium in China, Japan, the United Kingdom, and the United States, women and men aged 40 to 59 years: The INTERMAP study. J. Am. Diet. Assoc. 2010, 110, 736–745. [Google Scholar] [CrossRef] [PubMed]
- Fuller, N.R.; Sainsbury, A.; Caterson, I.D.; Markovic, T.P. Egg consumption and human cardio-metabolic health in people with and without diabetes. Nutrients 2015, 7, 7399–7420. [Google Scholar] [CrossRef] [PubMed]
- Golzarand, M.; Bahadoran, Z.; Mirmiran, P.; Azizi, F. Protein foods group and 3-year incidence of hypertension: A prospective study from tehran lipid and glucose study. J. Ren Nutr. 2016, 26, 219–225. [Google Scholar] [CrossRef] [PubMed]
- Skórkowska-Telichowska, K.; Kosińska, J.; Chwojnicka, M.; Tuchendler, D.; Tabin, M.; Tuchendler, R.; Bobak, L.; Trziszka, T.; Szuba, A. Positive effects of egg-derived phospholipids in patients with metabolic syndrome. Adv. Med. Sci. 2016, 61, 169–174. [Google Scholar] [CrossRef] [PubMed]
- Fernandez, M.L. Dietary cholesterol provided by eggs and plasma lipoproteins in healthy populations. Curr. Opin. Clin Nutr. Metab. Care 2006, 9, 8–12. [Google Scholar] [CrossRef] [PubMed]
- Park, K.; Son, J.; Jang, J.; Kang, R.; Chung, H.K.; Lee, K.W.; Lee, S.M.; Lim, H.; Shin, M.J. unprocessed meat consumption and incident cardiovascular diseases in Korean adults: The Korean Genome and Epidemiology Study (KoGES). Nutrients 2017, 9, 498. [Google Scholar] [CrossRef] [PubMed]
- Lee, J.E.; McLerran, D.F.; Rolland, B.; Chen, Y.; Grant, E.J.; Vedanthan, R.; Inoue, M.; Tsugane, S.; Gao, Y.T.; Tsuji, I.; et al. Meat intake and cause-specific mortality: A pooled analysis of Asian prospective cohort studies. Am. J. Clin. Nutr. 2013, 98, 1032–1041. [Google Scholar] [CrossRef] [PubMed]
- Wang, X.; Lin, X.; Ouyang, Y.Y.; Liu, J.; Zhao, G.; Pan, A.; Hu, FB. Red and processed meat consumption and mortality: Dose-response meta-analysis of prospective cohort studies. Public Health Nutr. 2016, 19, 893–905. [Google Scholar] [CrossRef] [PubMed]
- Organization for Economic Cooperation and Development. Meat Consumption (Indicator). Available online: https://data.oecd.org/agroutput/meat-consumption.htm (accessed on 5 January 2018).
- McAfee, A.J.; McSorley, E.M.; Cuskelly, G.J.; Moss, B.W.; Wallace, J.M.; Bonham, M.P.; Fearon, A.M. Red meat consumption: an overview of the risks and benefits. Meat Sci. 2010, 84, 1–13. [Google Scholar] [CrossRef] [PubMed]
- Ezzati, M.; Riboli, E. Behavioral and dietary risk factors for noncommunicable diseases. N. Engl. J. Med. 2013, 369, 954–964. [Google Scholar] [CrossRef] [PubMed]
- Park, M.K.; Paik, H.Y.; Lee, Y. Intake trends of red meat, alcohol, and fruits and vegetables as cancer-related dietary factors from 1998 to 2009. Osong. Public Health Res. Perspect. 2016, 7, 180–189. [Google Scholar] [CrossRef] [PubMed]
- Chun, H.; Kim, I.H.; Min, K.D. Accuracy of self-reported hypertension, diabetes, and hypercholesterolemia: analysis of a representative sample of korean older adults. Osong. Public Health Res. Perspect. 2016, 7, 108–115. [Google Scholar] [CrossRef] [PubMed]

| Total (n = 6792) | Without HTN Incidence (n = 5580) | With HTN Incidence (n = 1212) | p Value | |
|---|---|---|---|---|
| Age, years | 51.2 ± 8.7 | 50.8 ± 8.7 | 53.2 ± 8.5 | <0.0001 a |
| Male, % | 3300 (48.6) | 2712 (48.6) | 588 (48.5) | 0.98 b |
| Rural area, % | 3275 (48.2) | 2676 (48.0) | 599 (49.4) | 0.37 b |
| Education level, % | ||||
| Less than middle school graduate | 3665 (54.2) | 2951 (53.1) | 714 (59.2) | <0.001 b |
| Graduated high school | 2180 (32.3) | 1820 (32.8) | 360 (29.8) | |
| Some college or higher | 915 (13.5) | 782 (14.1) | 133 (11.0) | |
| Monthly income (KRW), % | ||||
| <1,000,000 | 2177 (32.5) | 1727 (31.4) | 450 (37.7) | <0.001 b |
| 1,000,000–1,999,999 | 1996 (29.8) | 1658 (30.1) | 338 (28.3) | |
| ≥2,000,000 | 2522 (37.7) | 2116 (38.5) | 406 (34.0) | |
| BMI status, % | ||||
| BMI < 23.0 kg/m2 | 2307 (34.0) | 2019 (36.2) | 288 (23.8) | <0.0001 b |
| BMI ≥ 23.0 kg/m2 | 4484 (66.0) | 3560 (63.8) | 924 (76.2) | |
| Smoking status, % | ||||
| Never smokers | 3918 (58.2) | 3216 (58.1) | 702 (58.5) | 0.41 b |
| Former smokers | 1022 (15.2) | 828 (15.0) | 194 (16.1) | |
| Current smokers | 1793 (26.6) | 1488 (26.9) | 305 (25.4) | |
| Alcohol intake, % | ||||
| Non-drinking | 3431 (51.8) | 2817 (51.8) | 614 (51.7) | 0.06 b |
| <15 g/day | 1929 (29.1) | 1610 (29.6) | 319 (26.9) | |
| 15–24 g/day | 451 (6.8) | 366 (6.7) | 85 (7.1) | |
| ≥25 g/day | 816 (12.3) | 646 (11.9) | 170 (14.3) | |
| Renal function, % | ||||
| <eGFR 60 mL/min per 1.73 m2 | 199 (2.9) | 148 (2.7) | 51 (4.2) | <0.01 b |
| LDL-c (mg/dL) | 113.1 ± 32.5 | 112.7 ± 32.5 | 114.9 ± 32.4 | 0.03 a |
| Parental HTN, % | ||||
| Yes | 971 (14.3) | 748 (13.4) | 223 (18.4) | <0.0001 b |
| Diabetes, % | ||||
| Yes | 313 (4.6) | 237 (4.3) | 76 (6.3) | <0.01 b |
| Known Risk Factors | Known Risk Factors + Dietary Risk Factors (High Group vs. Low Group) | |||||
|---|---|---|---|---|---|---|
| HR | 95% CI | HR | 95% CI | |||
| Age | 1.04 | 1.03 | 1.05 | 1.04 | 1.03 | 1.05 |
| Sex (ref. Female) | 1.00 | 0.83 | 1.22 | 1.03 | 0.84 | 1.25 |
| Rural area | 0.85 | 0.74 | 0.97 | 0.84 | 0.73 | 0.96 |
| Education level (ref. some college or higher) | ||||||
| Graduated middle school | 1.30 | 1.06 | 1.61 | 1.29 | 1.05 | 1.59 |
| Graduated high school | 1.17 | 0.95 | 1.43 | 1.18 | 0.96 | 1.44 |
| BMI status (ref. < 23 kg/m2) | ||||||
| BMI ≥ 23 kg/m2 | 1.72 | 1.50 | 1.97 | 1.71 | 1.49 | 1.96 |
| Smoking status (ref. Never smokers) | ||||||
| Former smokers | 1.04 | 0.83 | 1.29 | 1.04 | 0.84 | 1.30 |
| Current smokers | 1.09 | 0.89 | 1.33 | 1.10 | 0.90 | 1.34 |
| Alcohol intake (ref, non-drinker) | ||||||
| <15 g/day | 0.98 | 0.85 | 1.13 | 0.99 | 0.86 | 1.15 |
| 15–24 | 1.06 | 0.83 | 1.36 | 1.09 | 0.85 | 1.40 |
| ≥25 g/day | 1.31 | 1.07 | 1.60 | 1.32 | 1.08 | 1.62 |
| Renal function (eGFR ≥ 60 mL/min per 1.73 m2) | ||||||
| eGFR < 60 | 1.29 | 0.97 | 1.71 | 1.30 | 0.98 | 1.73 |
| LDL-c | 1.00 | 1.00 | 1.00 | 1.00 | 1.00 | 1.00 |
| Parental HTN (ref. no) | 1.52 | 1.30 | 1.76 | 1.52 | 1.31 | 1.77 |
| Diabetes (ref. no) | 1.24 | 0.98 | 1.57 | 1.24 | 0.97 | 1.57 |
| Dietary factors‡ | ||||||
| Meat intake | 0.68 | 0.56 | 0.83 | |||
| Eggs intake | 0.79 | 0.66 | 0.95 | |||
| Salted seafood intake | 1.28 | 1.07 | 1.55 | |||
| Subgroup | Exposure% | HR | 95% CI | PAF (%) | ∑PAF (%) | ||
|---|---|---|---|---|---|---|---|
| Known risk factors | |||||||
| BMI status | BMI ≥ 23 kg/m2 | 66.0 | 1.71 | 1.49 | 1.96 | 31.8 | 42.6 |
| Alcohol intake | ≥25 g/day | 12.3 | 1.32 | 1.08 | 1.62 | 3.8 | - |
| Parental HTN | Yes | 14.3 | 1.52 | 1.31 | 1.77 | 7.0 | - |
| Dietary risk factors † | |||||||
| Meat (g/day) | <26.3 | 20.0 | 1.46 | 1.20 | 1.78 | 8.5 | 29.0 |
| 26.3–<41.7 | 20.0 | 1.28 | 1.05 | 1.56 | 5.4 | - | |
| 41.7–<58.3 | 20.0 | 1.25 | 1.03 | 1.52 | 4.7 | - | |
| 58.3–<83.7 | 20.0 | 1.19 | 0.98 | 1.44 | - | - | |
| ≥83.7 | 20.0 | 1.00 | - | - | - | - | |
| Eggs (g/day) | <2.6 | 20.0 | 1.27 | 1.05 | 1.52 | 5.0 | - |
| 2.6–<6.2 | 20.0 | 1.00 | 0.82 | 1.21 | - | - | |
| 6.2–<11.0 | 20.0 | 1.13 | 0.94 | 1.36 | - | - | |
| 11.0–<21.3 | 20.0 | 1.02 | 0.84 | 1.23 | - | - | |
| ≥21.3 | 20.0 | 1.00 | - | - | - | - | |
| Salted seafood (g/day) | 0 | 20.0 | 1.00 | - | - | - | - |
| 0<–<0.5 | 20.0 | 1.05 | 0.87 | 1.27 | - | - | |
| 0.5–<1.0 | 20.0 | 1.11 | 0.91 | 1.36 | - | - | |
| 1.0–<2.6 | 20.0 | 1.12 | 0.92 | 1.37 | - | - | |
| ≥2.6 | 20.0 | 1.28 | 1.07 | 1.55 | 5.4 | - | |
© 2018 by the authors. Licensee MDPI, Basel, Switzerland. This article is an open access article distributed under the terms and conditions of the Creative Commons Attribution (CC BY) license (http://creativecommons.org/licenses/by/4.0/).
Share and Cite
Lee, H.A.; Park, H. Diet-Related Risk Factors for Incident Hypertension During an 11-Year Follow-Up: The Korean Genome Epidemiology Study. Nutrients 2018, 10, 1077. https://doi.org/10.3390/nu10081077
Lee HA, Park H. Diet-Related Risk Factors for Incident Hypertension During an 11-Year Follow-Up: The Korean Genome Epidemiology Study. Nutrients. 2018; 10(8):1077. https://doi.org/10.3390/nu10081077
Chicago/Turabian StyleLee, Hye Ah, and Hyesook Park. 2018. "Diet-Related Risk Factors for Incident Hypertension During an 11-Year Follow-Up: The Korean Genome Epidemiology Study" Nutrients 10, no. 8: 1077. https://doi.org/10.3390/nu10081077
APA StyleLee, H. A., & Park, H. (2018). Diet-Related Risk Factors for Incident Hypertension During an 11-Year Follow-Up: The Korean Genome Epidemiology Study. Nutrients, 10(8), 1077. https://doi.org/10.3390/nu10081077

