Determinants of Plasma Docosahexaenoic Acid Levels and Their Relationship to Neurological and Cognitive Functions in PKU Patients: A Double Blind Randomized Supplementation Study
Abstract
1. Introduction
2. Materials and Methods
2.1. Inclusion and Exclusion Criteria
2.2. Intervention
2.3. Outcome Assessments
2.4. Biochemical Measures
2.5. Genotyping
2.6. Sample Size Estimation and Data Analysis
2.7. Statistical Analyses
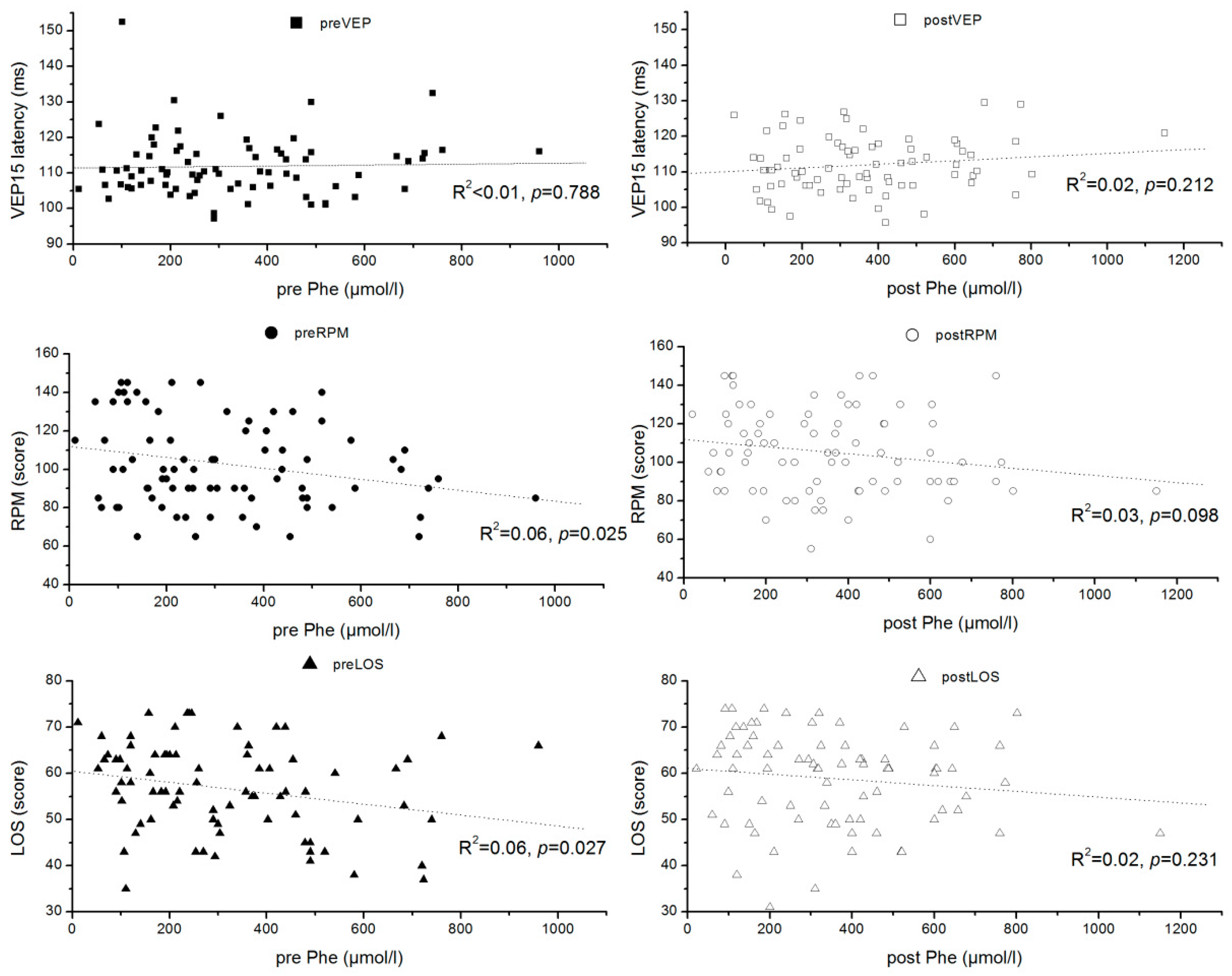
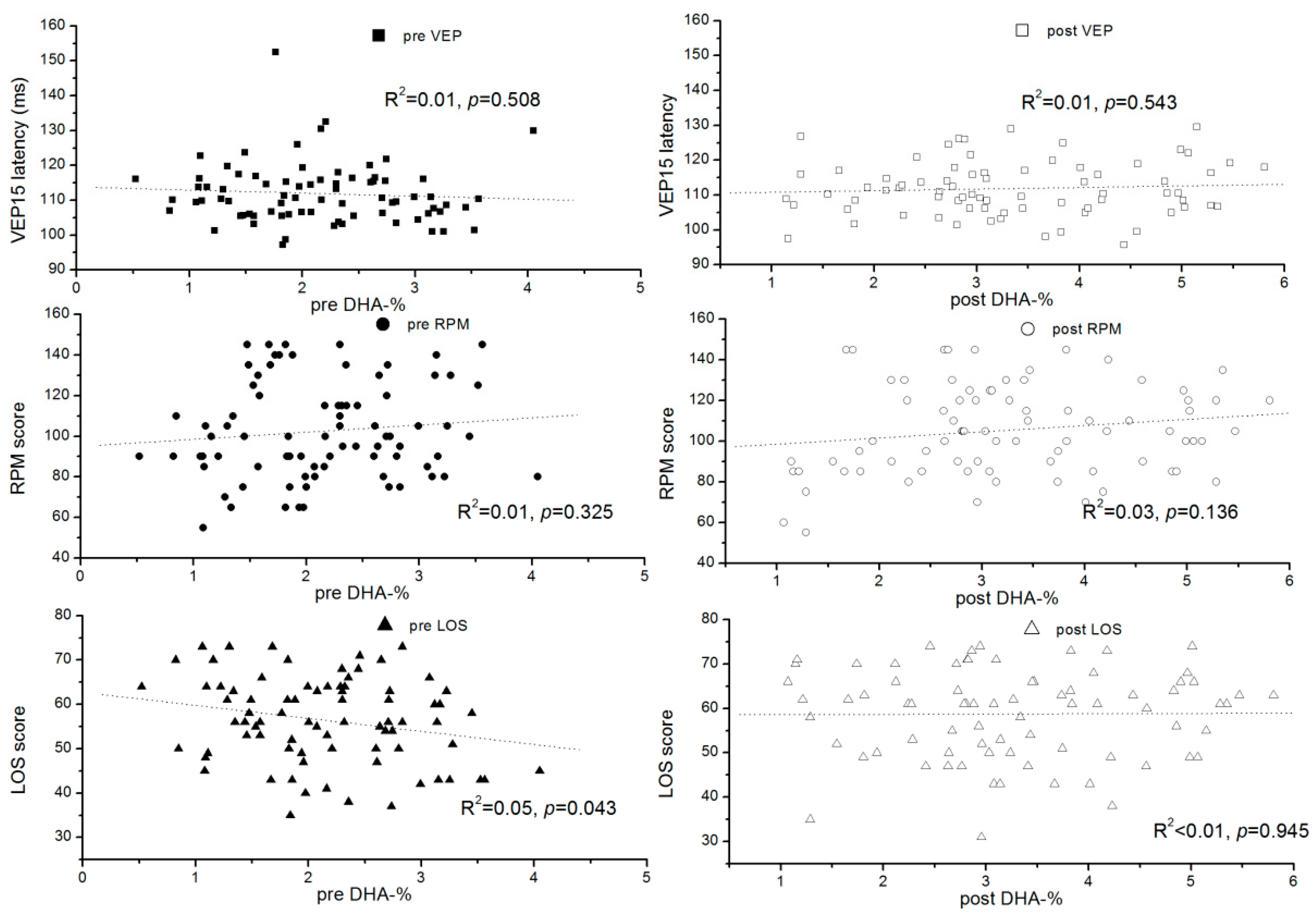
3. Results
4. Discussion
5. Conclusions
Supplementary Materials
Author Contributions
Funding
Acknowledgments
Conflicts of Interest
References
- Brumm, V.L.; Azen, C.; Moats, R.A.; Stern, A.M.; Broomand, C.; Nelson, M.D.; Koch, R. Neuropsychological outcome of subjects participating in the PKU adult collaborative study: A preliminary review. J. Inherit. Metab. Dis. 2004, 27, 549–566. [Google Scholar] [CrossRef]
- Koletzko, B.; Beblo, S.; Demmelmair, H.; Hanebutt, F.L. Omega-3 LC-PUFA supply and neurological outcomes in children with phenylketonuria (PKU). J. Pediatr. Gastroenterol. Nutr. 2009, 48, S2–S7. [Google Scholar] [CrossRef] [PubMed]
- Gonzalez-Rodriguez, L.G.; Aparicio, A.; Lopez-Sobaler, A.M.; Ortega, R.M. Omega 3 and omega 6 fatty acids intake and dietary sources in a representative sample of Spanish adults. Int. J. Vitam. Nutr. Res. 2013, 83, 36–47. [Google Scholar] [CrossRef] [PubMed]
- Sanjurjo, P.; Perteagudo, L.; Soriano, J.R.; Vilaseca, A.; Campistol, J. Polyunsaturated fatty acid status in patients with phenylketonuria. J. Inherit. Metab. Dis. 1994, 17, 704–709. [Google Scholar] [CrossRef]
- Galli, C.; Agostoni, C.; Mosconi, C.; Riva, E.; Salari, P.C.; Giovannini, M. Reduced plasma C-20 and C-22 polyunsaturated fatty acids in children with phenylketonuria during dietary intervention. J. Pediatr. 1991, 119, 562–567. [Google Scholar] [CrossRef]
- Giovannini, M.; Biasucci, G.; Agostoni, C.; Luotti, D.; Riva, E. Lipid status and fatty acid metabolism in phenylketonuria. J. Inherit. Metab. Dis. 1995, 18, 265–272. [Google Scholar] [CrossRef] [PubMed]
- Lohner, S.; Fekete, K.; Decsi, T. Lower n-3 long-chain polyunsaturated fatty acid values in patients with phenylketonuria: A systematic review and meta-analysis. Nutr. Res. 2013, 33, 513–520. [Google Scholar] [CrossRef]
- Demmelmair, H.; Koletzko, B. Importance of fatty acids in the perinatal period. World Rev. Nutr. Diet 2015, 112, 31–47. [Google Scholar]
- Stonehouse, W. Does consumption of LC omega-3 PUFA enhance cognitive performance in healthy school-aged children and throughout adulthood? Evidence from clinical trials. Nutrients 2014, 6, 2730–2758. [Google Scholar] [CrossRef]
- Kuratko, C.N.; Barrett, E.C.; Nelson, E.B.; Salem, N., Jr. The relationship of docosahexaenoic acid (DHA) with learning and behavior in healthy children: A review. Nutrients 2013, 5, 2777–2810. [Google Scholar] [CrossRef]
- Calder, P.C. Docosahexaenoic Acid. Ann. Nutr. Metab. 2016, 69, 7–21. [Google Scholar] [CrossRef] [PubMed]
- Schmitz, G.; Ecker, J. The opposing effects of n-3 and n-6 fatty acids. Prog. Lipid Res. 2008, 47, 147–155. [Google Scholar] [CrossRef] [PubMed]
- Beblo, S.; Reinhardt, H.; Demmelmair, H.; Muntau, A.C.; Koletzko, B. Effect of fish oil supplementation on fatty acid status, coordination, and fine motor skills in children with phenylketonuria. J. Pediatr. 2007, 150, 479–484. [Google Scholar] [CrossRef] [PubMed]
- Beblo, S.; Reinhardt, H.; Muntau, A.C.; Muller-Felber, W.; Roscher, A.A.; Koletzko, B. Fish oil supplementation improves visual evoked potentials in children with phenyketonuria. Neurology 2001, 57, 1488–1491. [Google Scholar] [CrossRef] [PubMed]
- Agostoni, C.; Massetto, N.; Biasucci, G.; Rottoli, A.; Bonvissuto, M.; Bruzzese, M.G.; Giovannini, M.; Riva, E. Effects of long-chain polyunsaturated fatty acid supplementation on fatty acid status and visual function in treated children with hyperphenylalaninemia. J. Pediatr. 2000, 137, 504–509. [Google Scholar] [CrossRef] [PubMed]
- Lattka, E.; Illig, T.; Heinrich, J.; Koletzko, B. Do FADS genotypes enhance our knowledge about fatty acid related phenotypes? Clin. Nutr. 2010, 29, 277–287. [Google Scholar] [CrossRef] [PubMed]
- Tanaka, T.; Shen, J.; Abecasis, G.R.; Kisialiou, A.; Ordovas, J.M.; Guralnik, J.M.; Singleton, A.; Bandinelli, S.; Cherubini, A.; Arnett, D.; et al. Genome-wide association study of plasma polyunsaturated fatty acids in the InCHIANTI Study. PLoS Genet. 2009, 5, e1000338. [Google Scholar] [CrossRef]
- Lattka, E.; Koletzko, B.; Zeilinger, S.; Hibbeln, J.R.; Klopp, N.; Ring, S.M.; Steer, C.D. Umbilical cord PUFA are determined by maternal and child fatty acid desaturase (FADS) genetic variants in the Avon Longitudinal Study of Parents and Children (ALSPAC). Br. J. Nutr. 2013, 109, 1196–1210. [Google Scholar] [CrossRef]
- Schaeffer, L.; Gohlke, H.; Muller, M.; Heid, I.M.; Palmer, L.J.; Kompauer, I.; Demmelmair, H.; Illig, T.; Koletzko, B.; Heinrich, J. Common genetic variants of the FADS1 FADS2 gene cluster and their reconstructed haplotypes are associated with the fatty acid composition in phospholipids. Hum. Mol. Genet. 2006, 15, 1745–1756. [Google Scholar] [CrossRef]
- Gillingham, L.G.; Harding, S.V.; Rideout, T.C.; Yurkova, N.; Cunnane, S.C.; Eck, P.K.; Jones, P.J. Dietary oils and FADS1-FADS2 genetic variants modulate [13C]alpha-linolenic acid metabolism and plasma fatty acid composition. Am. J. Clin. Nutr. 2013, 97, 195–207. [Google Scholar] [CrossRef]
- Smith, C.E.; Follis, J.L.; Nettleton, J.A.; Foy, M.; Wu, J.H.; Ma, Y.; Tanaka, T.; Manichakul, A.W.; Wu, H.; Chu, A.Y.; et al. Dietary fatty acids modulate associations between genetic variants and circulating fatty acids in plasma and erythrocyte membranes: Meta-analysis of nine studies in the CHARGE consortium. Mol. Nutr. Food Res. 2015, 59, 1373–1383. [Google Scholar] [CrossRef] [PubMed]
- Raven, J. Raven Progressive Matrices. In Handbook of Nonverbal Assessment; McCallum, R.S., Ed.; Springer: Berlin, Germany, 2003; pp. 223–237. [Google Scholar]
- Achenbach, T.M. Manual for Child Behavior Checklist/ 4-18 and 1991 Profile; University of Vermont, Dept. of Psychiatry: Burlington, VT, USA, 1991. [Google Scholar]
- Glaser, C.; Demmelmair, H.; Koletzko, B. High-throughput analysis of fatty acid composition of plasma glycerophospholipids. J. Lipid Res. 2010, 51, 216–221. [Google Scholar] [CrossRef]
- Rodriguez, S.; Gaunt, T.R.; Day, I.N.M. Hardy-Weinberg Equilibrium Testing of Biological Ascertainment for Mendelian Randomization Studies. Am. J. Epidemiol. 2009, 169, 505–514. [Google Scholar] [CrossRef] [PubMed]
- Rangel-Huerta, O.D.; Gil, A. Effect of omega-3 fatty acids on cognition: An updated systematic review of randomized clinical trials. Nutr. Rev. 2018, 76, 1–20. [Google Scholar] [CrossRef] [PubMed]
- Osendarp, S.J.; Baghurst, K.I.; Bryan, J.; Calvaresi, E.; Hughes, D.; Hussaini, M.; Karyadi, S.J.; van Klinken, B.J.; van der Knaap, H.C.; Lukito, W.; et al. Effect of a 12-mo micronutrient intervention on learning and memory in well-nourished and marginally nourished school-aged children: 2 parallel, randomized, placebo-controlled studies in Australia and Indonesia. Am. J. Clin. Nutr. 2007, 86, 1082–1093. [Google Scholar] [PubMed]
- Kennedy, D.O.; Jackson, P.A.; Elliott, J.M.; Scholey, A.B.; Robertson, B.C.; Greer, J.; Tiplady, B.; Buchanan, T.; Haskell, C.F. Cognitive and mood effects of 8 weeks’ supplementation with 400 mg or 1000 mg of the omega-3 essential fatty acid docosahexaenoic acid (DHA) in healthy children aged 10–12 years. Nutr. Neurosci. 2009, 12, 48–56. [Google Scholar] [CrossRef]
- Kirby, A.; Woodward, A.; Jackson, S.; Wang, Y.; Crawford, M.A. A double-blind, placebo-controlled study investigating the effects of omega-3 supplementation in children aged 8–10 years from a mainstream school population. Res. Dev. Disabil. 2010, 31, 718–730. [Google Scholar] [CrossRef]
- McNamara, R.K.; Able, J.; Jandacek, R.; Rider, T.; Tso, P.; Eliassen, J.C.; Alfieri, D.; Weber, W.; Jarvis, K.; DelBello, M.P.; et al. Docosahexaenoic acid supplementation increases prefrontal cortex activation during sustained attention in healthy boys: A placebo-controlled, dose-ranging, functional magnetic resonance imaging study. Am. J. Clin. Nutr. 2010, 91, 1060–1067. [Google Scholar] [CrossRef]
- Richardson, A.J.; Burton, J.R.; Sewell, R.P.; Spreckelsen, T.F.; Montgomery, P. Docosahexaenoic acid for reading, cognition and behavior in children aged 7–9 years: A randomized, controlled trial (the DOLAB Study). PLoS ONE 2012, 7. [Google Scholar] [CrossRef]
- Johnson, M.; Fransson, G.; Ostlund, S.; Areskoug, B.; Gillberg, C. Omega 3/6 fatty acids for reading in children: A randomized, double-blind, placebo-controlled trial in 9-year-old mainstream schoolchildren in Sweden. J. Child Psychol. Psychiatry 2017, 58, 83–93. [Google Scholar] [CrossRef]
- Widenhorn-Muller, K.; Schwanda, S.; Scholz, E.; Spitzer, M.; Bode, H. Effect of supplementation with long-chain omega-3 polyunsaturated fatty acids on behavior and cognition in children with attention deficit/hyperactivity disorder (ADHD): A randomized placebo-controlled intervention trial. Prostaglandins Leukot Essent. Fatty Acids 2014, 91, 49–60. [Google Scholar] [CrossRef]
- EFSA Panel on Dietetic Products, Nutrition and Allergies (NDA). Scientific Opinion on the substantiation of a health claim related to DHA and contribution to normal brain development pursuant to Article 14 of Regulation (EC) No 1924/2006. EFSA J. 2014, 12, 3840. [Google Scholar] [CrossRef]
- Glaser, C.; Demmelmair, H.; Sausenthaler, S.; Herbarth, O.; Heinrich, J.; Koletzko, B. Fatty acid composition of serum glycerophospholipids in children. J. Pediatr. 2010, 157, 826–831. [Google Scholar] [CrossRef]
- Poge, A.P.; Baumann, K.; Muller, E.; Leichsenring, M.; Schmidt, H.; Bremer, H.J. Long-chain polyunsaturated fatty acids in plasma and erythrocyte membrane lipids of children with phenylketonuria after controlled linoleic acid intake. J. Inherit. Metab. Dis. 1998, 21, 373–381. [Google Scholar] [CrossRef]
- Gramer, G.; Haege, G.; Langhans, C.D.; Schuhmann, V.; Burgard, P.; Hoffmann, G.F. Long-chain polyunsaturated fatty acid status in children, adolescents and adults with phenylketonuria. Prostaglandins Leukot Essent. Fatty Acids 2016, 109, 52–57. [Google Scholar] [CrossRef]
- Brenna, J.T.; Carlson, S.E. Docosahexaenoic acid and human brain development: Evidence that a dietary supply is needed for optimal development. J. Hum. Evol. 2014, 77, 99–106. [Google Scholar] [CrossRef]
- Koletzko, B.; Sauerwald, T.; Demmelmair, H.; Herzog, M.; von Schenck, U.; Bohles, H.; Wendel, U.; Seidel, J. Dietary long-chain polyunsaturated fatty acid supplementation in infants with phenylketonuria: A randomized controlled trial. J. Inherit. Metab. Dis. 2007, 30, 326–332. [Google Scholar] [CrossRef]
- Eggert, D. LOS KF18 Kurzform zur Messung des motorischen Entwicklungsstandes von normalen und behinderten Kindern im Alter von 5 bis 13 Jahren; Beltz Test Gesellschaft: Weinheim, Germany, 1974. [Google Scholar]
- Steer, C.D.; Lattka, E.; Koletzko, B.; Golding, J.; Hibbeln, J.R. Maternal fatty acids in pregnancy, FADS polymorphisms, and child intelligence quotient at 8 y of age. Am. J. Clin. Nutr. 2013, 98, 1575–1582. [Google Scholar] [CrossRef]
- Connor, W.E.; Neuringer, M.; Lin, D.S. Dietary effects on brain fatty acid composition: The reversibility of n-3 fatty acid deficiency and turnover of docosahexaenoic acid in the brain, erythrocytes, and plasma of rhesus monkeys. J. Lipid Res. 1990, 31, 237–247. [Google Scholar]
- Arterburn, L.M.; Hall, E.B.; Oken, H. Distribution, interconversion, and dose response of n-3 fatty acids in humans. Am. J. Clin. Nutr. 2006, 83, 1467S–1476S. [Google Scholar] [CrossRef]
- Patterson, A.C.; Chalil, A.; Aristizabal Henao, J.J.; Streit, I.T.; Stark, K.D. Omega-3 polyunsaturated fatty acid blood biomarkers increase linearly in men and women after tightly controlled intakes of 0.25, 0.5, and 1 g/d of EPA + DHA. Nutr. Res. 2015, 35, 1040–1051. [Google Scholar] [CrossRef] [PubMed]
- Stoutjesdijk, E.; Schaafsma, A.; Dijck-Brouwer, D.A.J.; Muskiet, F.A.J. Fish oil supplemental dose needed to reach 1g% DHA+EPA in mature milk. Prostaglandins Leukot Essent. Fatty Acids 2018, 128, 53–61. [Google Scholar] [CrossRef] [PubMed]
- Sands, S.A.; Reid, K.J.; Windsor, S.L.; Harris, W.S. The impact of age, body mass index, and fish intake on the EPA and DHA content of human erythrocytes. Lipids 2005, 40, 343–347. [Google Scholar] [CrossRef] [PubMed]
- Flock, M.R.; Skulas-Ray, A.C.; Harris, W.S.; Etherton, T.D.; Fleming, J.A.; Kris-Etherton, P.M. Determinants of erythrocyte omega-3 fatty acid content in response to fish oil supplementation: A dose-response randomized controlled trial. J. Am. Heart Assoc. 2013, 2, e000513. [Google Scholar] [CrossRef]
- Jump, D.B. Fatty acid regulation of hepatic lipid metabolism. Curr. Opion. Clin. Nutr. Metab. Care 2011, 14, 115–120. [Google Scholar] [CrossRef] [PubMed]
- Plourde, M.; Cunnane, S.C. Extremely limited synthesis of long chain polyunsaturates in adults: Implications for their dietary essentiality and use as supplements. Appl. Physiol. Nutr. Metab. 2007, 32, 619–634. [Google Scholar] [CrossRef] [PubMed]
- Burdge, G.C.; Calder, P.C. Conversion of alpha-linolenic acid to longer-chain polyunsaturated fatty acids in human adults. Reprod. Nutr. Dev. 2005, 45, 581–597. [Google Scholar] [CrossRef]
- Harris, W.S.; Masson, S.; Barlera, S.; Milani, V.; Pileggi, S.; Franzosi, M.G.; Marchioli, R.; Tognoni, G.; Tavazzi, L.; Latini, R.; et al. Red blood cell oleic acid levels reflect olive oil intake while omega-3 levels reflect fish intake and the use of omega-3 acid ethyl esters: The Gruppo Italiano per lo Studio della Sopravvivenza nell’Infarto Miocardico-Heart Failure trial. Nutr. Res. 2016, 36, 989–994. [Google Scholar] [CrossRef]
- Flock, M.R.; Harris, W.S.; Kris-Etherton, P.M. Long-chain omega-3 fatty acids: Time to establish a dietary reference intake. Nutr. Rev. 2013, 71, 692–707. [Google Scholar] [CrossRef]
- Lacombe, R.J.S.; Giuliano, V.; Colombo, S.M.; Arts, M.T.; Bazinet, R.P. Compound-specific isotope analysis resolves the dietary origin of docosahexaenoic acid in the mouse brain. J. Lipid Res. 2017, 58, 2071–2081. [Google Scholar] [CrossRef]
- Brenna, J.T.; Salem, N., Jr.; Sinclair, A.J.; Cunnane, S.C. Alpha-Linolenic acid supplementation and conversion to n-3 long-chain polyunsaturated fatty acids in humans. Prostaglandins Leukot Essent. Fatty Acids 2009, 80, 85–91. [Google Scholar] [CrossRef] [PubMed]
- Domenichiello, A.F.; Kitson, A.P.; Metherel, A.H.; Chen, C.T.; Hopperton, K.E.; Stavro, P.M.; Bazinet, R.P. Whole-Body Docosahexaenoic Acid Synthesis-Secretion Rates in Rats Are Constant across a Large Range of Dietary alpha-Linolenic Acid Intakes. J. Nutr. 2017, 147, 37–44. [Google Scholar] [CrossRef] [PubMed]
- Domenichiello, A.F.; Chen, C.T.; Trepanier, M.O.; Stavro, P.M.; Bazinet, R.P. Whole body synthesis rates of DHA from alpha-linolenic acid are greater than brain DHA accretion and uptake rates in adult rats. J. Lipid Res. 2014, 55, 62–74. [Google Scholar] [CrossRef] [PubMed]
- Cleary, M.A.; Feillet, F.; White, F.J.; Vidailhet, M.; MacDonald, A.; Grimsley, A.; Maurin, N.; de Baulny, H.O.; Rutherford, P.J. Randomised controlled trial of essential fatty acid supplementation in phenylketonuria. Eur. J. Clin. Nutr. 2006, 60, 915–920. [Google Scholar] [CrossRef] [PubMed]
- Lattka, E.; Klopp, N.; Demmelmair, H.; Klingler, M.; Heinrich, J.; Koletzko, B. Genetic variations in polyunsaturated fatty acid metabolism--implications for child health? Ann. Nutr. Metab. 2012, 60, 8–17. [Google Scholar] [CrossRef] [PubMed]
- Jelena Vidakovic, A.; Santos, S.; Williams, M.A.; Duijts, L.; Hofman, A.; Demmelmair, H.; Koletzko, B.; Jaddoe, V.W.; Gaillard, R. Maternal plasma n-3 and n-6 polyunsaturated fatty acid concentrations during pregnancy and subcutaneous fat mass in infancy. Obesity (Silver Spring) 2016, 24, 1759–1766. [Google Scholar] [CrossRef] [PubMed]
- Otto, S.J.; van Houwelingen, A.C.; Hornstra, G. The effect of different supplements containing docosahexaenoic acid on plasma and erythrocyte fatty acids of healthy non-pregnant women. Nutr. Res. 2000, 20, 917–927. [Google Scholar] [CrossRef]
- Brossard, N.; Croset, M.; Pachiaudi, C.; Riou, J.P.; Tayot, J.L.; Lagarde, M. Retroconversion and metabolism of [ 13 C]22:6n-3 in humans and rats after intake of a single dose of [ 13 C]22:6n-3-triacylglycerols. Am. J. Clin. Nutr. 1996, 64, 577–586. [Google Scholar] [CrossRef]
- Plourde, M.; Chouinard-Watkins, R.; Rioux-Perreault, C.; Fortier, M.; Dang, M.T.M.; Allard, M.J.; Tremblay-Mercier, J.; Zhang, Y.; Lawrence, P.; Vohl, M.C.; et al. Kinetics of C-13-DHA before and during fish-oil supplementation in healthy older individuals. Am. J. Clin. Nutr. 2014, 100, 105–112. [Google Scholar] [CrossRef]
- Vyncke, K.E.; Libuda, L.; De Vriendt, T.; Moreno, L.A.; Van Winckel, M.; Manios, Y.; Gottrand, F.; Molnar, D.; Vanaelst, B.; Sjostrom, M.; et al. Dietary fatty acid intake, its food sources and determinants in European adolescents: The HELENA (Healthy Lifestyle in Europe by Nutrition in Adolescence) Study. Br. J. Nutr. 2012, 108, 2261–2273. [Google Scholar] [CrossRef]
- O’Sullivan, T.A.; Ambrosini, G.; Beilin, L.J.; Mori, T.A.; Oddy, W.H. Dietary intake and food sources of fatty acids in Australian adolescents. Nutrition 2011, 27, 153–159. [Google Scholar] [CrossRef] [PubMed]
- Burdge, G.C.; Wootton, S.A. Conversion of alpha-linolenic acid to eicosapentaenoic, docosapentaenoic and docosahexaenoic acids in young women. Br. J. Nutr. 2002, 88, 411–420. [Google Scholar] [CrossRef] [PubMed]
- Domenichiello, A.F.; Kitson, A.P.; Bazinet, R.P. Is docosahexaenoic acid synthesis from a-linolenic acid sufficient to supply the adult brain? Prog. Lipid Res. 2015, 59, 54–66. [Google Scholar] [CrossRef] [PubMed]
- Gramer, G.; Forl, B.; Springer, C.; Weimer, P.; Haege, G.; Mackensen, F.; Muller, E.; Volcker, H.E.; Hoffmann, G.F.; Lindner, M.; et al. Visual functions in phenylketonuria-evaluating the dopamine and long-chain polyunsaturated fatty acids depletion hypotheses. Mol. Genet. Metab. 2013, 108, 1–7. [Google Scholar] [CrossRef] [PubMed]





| Munich | Birmingham | Santander | Milan | Heidelberg | Istanbul | |
|---|---|---|---|---|---|---|
| n | 14 | 22 | 12 | 9 | 16 | 9 |
| age (years) | 8.0 ± 2.4 | 9.2 ± 2.4 | 8.9 ± 2.9 | 10.6 ± 3.3 | 8.5 ± 2.1 | 9.3 ± 2.7 |
| male (%) | 71 | 59 | 33 | 67 | 44 | 67 |
| mat. ed. & (%) # | 14 | 36 | 8 | 11 | 40 | 0 |
| weight (kg) | 26.8 ± 8.2 | 35.2 ± 14.8 | 34.3 ± 15.8 | 34.9 ± 14.8 | 32.6 ± 10.8 | 31.6 ± 11.4 |
| VEP15 (ms) * | 119.0 ± 13.5 | 108.5 ± 7.3 | 110.1 ± 5.5 | 110.5 ± 6.5 | 110.6 ± 5.8 | 115.3 ± 4.1 |
| RPM score * | 111.4 ± 20.3 | 101.0 ± 25.1 | 97.1 ± 22.0 | 123.3 ± 19.4 | 97.2 ± 22.0 | 85.6 ± 16.7 |
| LOS T-score * | 55.8 ± 7.5 | 49.3 ± 9.0 | 62.2 ± 10.1 | 58.8 ± 7.9 | 60.8 ± 9.0 | 57.7 ± 8.0 |
| CBCL score | 54.1 ± 12.2 | 48.6 ± 11.9 | 55.2 ± 9.1 | 51.2 ± 10.8 | 53.7 ± 9.9 | 47.1 ± 6.6 |
| Phe (µmol/L) | 230 ± 175 | 347 ± 201 | 303 ± 115 | 338 ± 268 | 323 ± 268 | 364 ± 113 |
| TG (mmol/L) | 1.29 ± 0.63 | 1.14 ± 0.68 | 0.77 ± 0.26 | 0.90 ± 0.30 | 1.17 ± 0.45 | 1.11 ± 0.41 |
| CHOL (mmol/L) | 3.52 ± 0.48 | 3.47 ± 0.78 | 3.63 ± 0.57 | 3.70 ± 0.52 | 3.78 ± 0.55 | 3.40 ± 0.50 |
| DHA * (% wt/wt) | 2.36 ± 0.59 | 2.52 ± 0.77 | 1.46 ± 0.42 | 1.85 ± 0.34 | 2.87 ± 1.01 | 1.36 ± 0.61 |
| ARA (% wt/wt) | 10.17 ± 2.00 | 10.04 ± 2.36 | 9.75 ± 2.39 | 10.30 ± 0.91 | 9.57 ± 1.68 | 11.48 ± 2.53 |
| ALA * (% wt/wt) | 0.35 ± 0.15 | 0.42 ± 0.23 | 0.15 ± 0.06 | 0.16 ± 0.08 | 0.37 ± 0.17 | 0.14 ± 0.10 |
| LA * (% wt/wt) | 22.62 ± 2.54 | 22.15 ± 3.20 | 21.45 ± 3.12 | 19.03 ± 2.21 | 21.37 ± 4.26 | 25.66 ± 3.76 |
| n | R2 | Stand. β for DHA Intake | p | Stand. β for Pre Value | p | |
|---|---|---|---|---|---|---|
| LOS T-score | 78 | 40 | −0.016 | 0.857 | 0.644 | 4.0 × 10−10 |
| RPM-score | 80 | 64 | −0.108 | 0.118 | 0.808 | 5.0 × 10−19 |
| VEP15 (ms) | 74 | 57 | −0.027 | 0.727 | 0.764 | 8.2 × 10−15 |
| DHA-% | 82 | 66 | 0.653 | 7.5 × 10−16 | 0.532 | 3.4 × 10−12 |
| DHA (mg/L) | 82 | 63 | 0.614 | 7.4 × 10−14 | 0.551 | 4.9 × 10−12 |
| LDL/HDL | 71 | 55 | −0.055 | 0.495 | 0.749 | 7.4 × 10−14 |
| Chol. (mmol/L) | 76 | 38 | 0.109 | 0.239 | 0.602 | 7.5 × 10−9 |
| TG (mmol/L) | 79 | 33 | 0.049 | 0.601 | 0.59 | 1.3 × 10−8 |
| LA (mg/L) | 82 | 32 | 0.144 | 0.121 | 0.556 | 4.5 × 10−8 |
| ALA (mg/L) | 82 | 32 | −0.006 | 0.948 | 0.577 | 2.4 × 10−8 |
| ARA (mg/L) | 82 | 29 | −0.118 | 0.215 | 0.526 | 3.3 × 10−7 |
| 0 (n ≥ 15) | >0 to <1.9 (n ≥ 15) | ≥1.9 (n ≥ 42) | p-Value (ANOVA) | |
|---|---|---|---|---|
| DHA (mg/L) | 0.0 ± 9.1 | 5.1 ± 10.3 | 19.5 ± 13.6 | 1.3 × 10−8 |
| TG (mmol/L) | −0.1 ± 0.7 | 0.0 ± 0.5 | 0.1 ± 0.5 | 0.595 |
| Chol. (mmol/L) | −0.1 ± 0.6 | 0.0 ± 0.5 | 0.1 ± 0.5 | 0.795 |
| LDL (mmol/L) | −0.3 ± 1.2 | 0.2 ± 0.5 | −0.1 ± 0.5 | 0.397 |
| HDL (mmol/L) | 0.0 ± 0.3 | 0.0 ± 0.3 | 0.0 ± 0.2 | 0.865 |
| VEP15 (ms) | 1.3 ± 3.5 | 0.5 ± 8.7 | −0.6 ± 4.7 | 0.527 |
| RPM-score | 9.5 ± 13.5 | 2.2 ± 15.8 | 1.6 ± 13.8 | 0.016 |
| LOS T-score | 2.9 ± 7.0 | 4.2 ± 6.3 | 0.8 ± 9.1 | 0.371 |
| dbSNP | Major/Minor | Gene | HWE a | MAF b | %-ARA pre | DHA-% pre | VEP Latency pre | LOS pre | RPM pre | VEP Latency Change | DHA-% Change |
|---|---|---|---|---|---|---|---|---|---|---|---|
| rs174579 | C/T | FADS2 | 0.01 | 0.19 | 4.0 × 10−4 | >0.1 | >0.1 | >0.1 | >0.1 | >0.1 | 8.0 × 10−3 |
| rs174449 | A/G | FADS3 | 0.56 | 0.43 | 5.4 × 10−2 | 3.0 × 10−3 | >0.1 | >0.1 | >0.1 | >0.1 | >0.1 |
| rs968567 | C/T | FADS2 | 0.33 | 0.13 | 2.0 × 10−3 | >0.1 | >0.1 | >0.1 | >0.1 | >0.1 | 6.6 × 10−2 |
| rs526126 | C/G | FADS2 | 0.95 | 0.19 | 2.7 × 10−2 | >0.1 | >0.1 | >0.1 | >0.1 | >0.1 | >0.1 |
| rs174455 | G/A | FADS3 | 1.18 | 0.46 | 7.0 × 10−2 | 2.4 × 10−2 | >0.1 | >0.1 | >0.1 | >0.1 | >0.1 |
| rs498793 | C/T | FADS2 | 0.71 | 0.35 | >0.1 | >0.1 | >0.1 | >0.1 | >0.1 | >0.1 | >0.1 |
| rs174570 | C/T | FADS2 | 0.33 | 0.13 | 1.1 × 10−2 | >0.1 | >0.1 | >0.1 | >0.1 | >0.1 | >0.1 |
| rs174561 | T/C | FADS | 3.04 | 0.28 | 7.6 × 10−9 | 3.4 × 10−2 | >0.1 | >0.1 | >0.1 | >0.1 | 9.9 × 10−2 |
| rs3834458 | T/del | FADS2 | 2.47 | 0.30 | 1.3 × 10−7 | 3.6 × 10−2 | >0.1 | >0.1 | >0.1 | >0.1 | 8.9 × 10−2 |
| rs174548 | C/G | FADS1 | 1.86 | 0.29 | 7.2 × 10−10 | 1.5 × 10−2 | >0.1 | >0.1 | >0.1 | >0.1 | >0.1 |
| rs174575 | C/G | FADS2 | 0.01 | 0.25 | 1.0 × 10−5 | 2.5 × 10−2 | >0.1 | >0.1 | >0.1 | >0.1 | 2.0 × 10−2 |
| rs174627 | G/A | FADS2 | 0.08 | 0.13 | >0.1 | >0.1 | >0.1 | >0.1 | >0.1 | >0.1 | >0.1 |
| rs174602 | T/C | FADS2 | 0.06 | 0.24 | 1.5 × 10−2 | 3.0 × 10−3 | >0.1 | >0.1 | >0.1 | >0.1 | >0.1 |
| rs174464 | G/A | FADS3 | 0.79 | 0.38 | 4.0 × 10−3 | 7.0 × 10−3 | >0.1 | >0.1 | >0.1 | >0.1 | >0.1 |
| rs174468 | T/C | FADS | 8.37 c | 0.27 | |||||||
| rs17544159 | A/C | ELOVL | 0.54 | 0.08 | >0.1 | 9.7 × 10−2 | 2.5 × 10−2 | >0.1 | >0.1 | 4.3 × 10−2 | >0.1 |
| rs12207094 | A/T | ELOVL5 | 1.69 | 0.13 | >0.1 | >0.1 | >0.1 | >0.1 | >0.1 | >0.1 | 3.0 × 10−2 |
| rs2397142 | C/G | ELOVL5 | 0.94 | 0.29 | >0.1 | >0.1 | >0.1 | >0.1 | >0.1 | >0.1 | >0.1 |
| rs209515 | G/A | ELOVL5 | 0.05 | 0.38 | >0.1 | >0.1 | >0.1 | >0.1 | >0.1 | >0.1 | 1.4 × 10−2 |
| rs715441 | T/C | ELOVL5 | 0.18 | 0.14 | >0.1 | 1.9 × 10−2 | >0.1 | >0.1 | >0.1 | >0.1 | >0.1 |
| rs209512 | T/C | ELOVL5 | 4.31 c | 0.19 | |||||||
| rs735860 | T/C | ELOVL5 | 0.01 | 0.44 | >0.1 | >0.1 | >0.1 | >0.1 | >0.1 | >0.1 | >0.1 |
| R2 | β DHA Intake | p-Value | β LA | p-Value | β ALA | p-Value | β rs174548 | p-Value | β Total Saturated Fatty Acids | p-Value | β rs174548 × Precursor | p-Value | |
|---|---|---|---|---|---|---|---|---|---|---|---|---|---|
| pre | |||||||||||||
| DGLA | 0.69 | −0.22 | 4.1 × 10−3 | 0.30 | 1.0 × 10−6 | 0.86 | 1.1 × 10−18 | −0.17 | 4.0 × 10−3 | ||||
| ARA | 0.57 | −0.44 | 3.3 × 10−9 | 0.53 | 1.1 × 10−7 | ||||||||
| DPA n-6 | 0.36 | −0.51 | 2.5 × 10−7 | 0.66 | 7.2 × 10−8 | ||||||||
| EPA | 0.84 | −0.33 | 7.6 × 10−9 | 0.83 | 3.5 × 10−30 | −0.18 | 2.3 × 10−5 | 0.44 | 4.8 × 10−12 | −0.28 | 7.8 × 10−9 | ||
| DPA n-3 | 0.69 | −0.21 | 5.6 × 10−3 | 0.61 | 5.2 × 10−14 | −0.24 | 7.8 × 10−5 | 0.59 | 1.8 × 10−9 | −0.18 | 5.3 × 10−3 | ||
| DHA | 0.60 | 0.65 | 9.5 × 10−13 | −0.28 | 4.9 × 10−5 | 0.36 | 1.2 × 10−4 | −0.23 | 1.4 × 10−3 | ||||
| post | |||||||||||||
| DGLA | 0.61 | −0.23 | 8.5 × 10−3 | −0.21 | 3.9 × 10−3 | 0.44 | 3.6 × 10−8 | 0.87 | 1.6 × 10−17 | ||||
| ARA | 0.43 | −0.39 | 2.7 × 10−5 | 0.52 | 1.0 × 10−6 | ||||||||
| DPA n-6 | 0.47 | −0.39 | 3.9 × 10−6 | −0.52 | 1.7 × 10−8 | 0.68 | 1.9 × 10−10 | ||||||
| EPA | 0.90 | −0.20 | 4.8 × 10−6 | 0.80 | 1.0 × 10−36 | −0.20 | 3.2 × 10−7 | 0.27 | 3.3 × 10−8 | −0.18 | 6.7 × 10−7 | ||
| DPA n-3 | 0.69 | 0.55 | 7.0 × 10−13 | −0.21 | 1.7 × 10−3 | 0.41 | 2.4 × 10−7 | −0.16 | 9.5 × 10−3 | ||||
| DHA | 0.51 | 0.54 | 2.3 × 10−10 | 0.30 | 4.0 × 10−4 | 0.30 | 1.3 × 10−3 |
© 2018 by the authors. Licensee MDPI, Basel, Switzerland. This article is an open access article distributed under the terms and conditions of the Creative Commons Attribution (CC BY) license (http://creativecommons.org/licenses/by/4.0/).
Share and Cite
Demmelmair, H.; MacDonald, A.; Kotzaeridou, U.; Burgard, P.; Gonzalez-Lamuno, D.; Verduci, E.; Ersoy, M.; Gokcay, G.; Alyanak, B.; Reischl, E.; et al. Determinants of Plasma Docosahexaenoic Acid Levels and Their Relationship to Neurological and Cognitive Functions in PKU Patients: A Double Blind Randomized Supplementation Study. Nutrients 2018, 10, 1944. https://doi.org/10.3390/nu10121944
Demmelmair H, MacDonald A, Kotzaeridou U, Burgard P, Gonzalez-Lamuno D, Verduci E, Ersoy M, Gokcay G, Alyanak B, Reischl E, et al. Determinants of Plasma Docosahexaenoic Acid Levels and Their Relationship to Neurological and Cognitive Functions in PKU Patients: A Double Blind Randomized Supplementation Study. Nutrients. 2018; 10(12):1944. https://doi.org/10.3390/nu10121944
Chicago/Turabian StyleDemmelmair, Hans, Anita MacDonald, Urania Kotzaeridou, Peter Burgard, Domingo Gonzalez-Lamuno, Elvira Verduci, Melike Ersoy, Gulden Gokcay, Behiye Alyanak, Eva Reischl, and et al. 2018. "Determinants of Plasma Docosahexaenoic Acid Levels and Their Relationship to Neurological and Cognitive Functions in PKU Patients: A Double Blind Randomized Supplementation Study" Nutrients 10, no. 12: 1944. https://doi.org/10.3390/nu10121944
APA StyleDemmelmair, H., MacDonald, A., Kotzaeridou, U., Burgard, P., Gonzalez-Lamuno, D., Verduci, E., Ersoy, M., Gokcay, G., Alyanak, B., Reischl, E., Müller-Felber, W., Faber, F. L., Handel, U., Paci, S., & Koletzko, B. (2018). Determinants of Plasma Docosahexaenoic Acid Levels and Their Relationship to Neurological and Cognitive Functions in PKU Patients: A Double Blind Randomized Supplementation Study. Nutrients, 10(12), 1944. https://doi.org/10.3390/nu10121944

