Reading the Himalayan Treeline in 3D: Species Turnover and Structural Thresholds from UAV LiDAR
Highlights
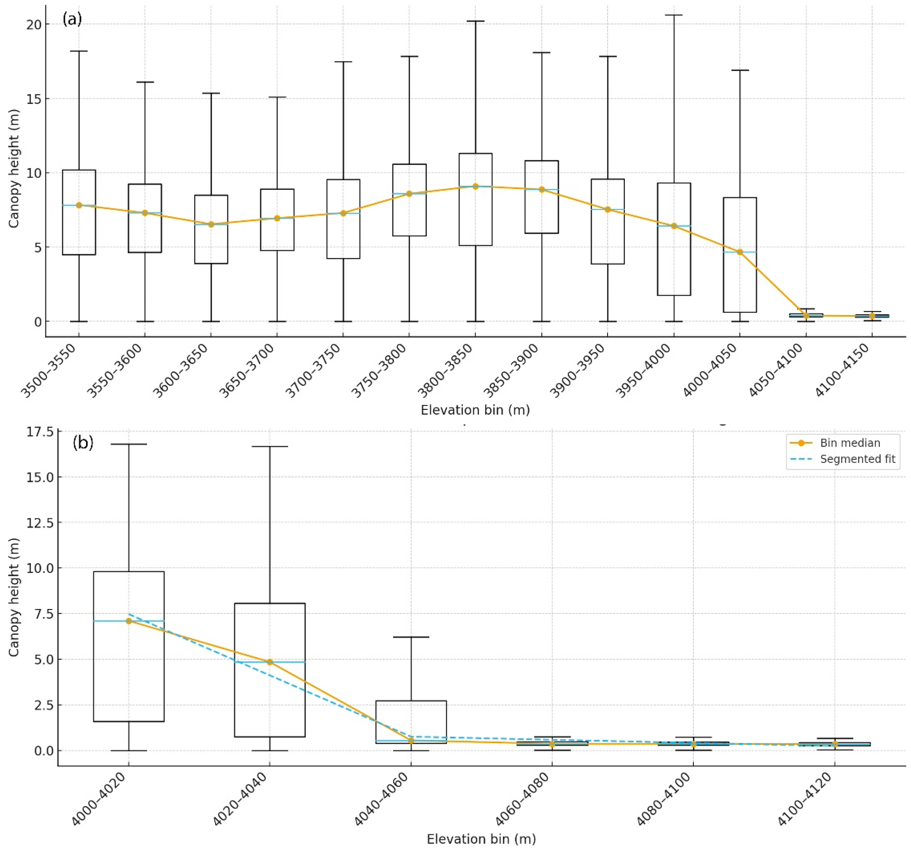
- High-resolution UAV LiDAR captured a sharp treeline transition (~60–80 m vertical range) in the Manang Valley, with concurrent canopy simplification and species turnover from Pinus wallichiana to Abies spectabilis and Betula utilis.
- A random forest classifier using LiDAR-derived structural and intensity metrics achieved high accuracy (>85%) for species identification, with intensity variability emerging as a key predictor.
- UAV LiDAR enables crown-level monitoring of forest structure and species composition across steep elevational gradients, offering a scalable tool for detecting early signals of biome shifts due to climate change.
- This approach helps overcome the limitations of satellite or field-only studies by providing detailed, three-dimensional insight into ecological thresholds and structural transitions at the treeline.
Abstract
1. Introduction
2. Methods
2.1. Study Site
2.2. Data Sources
2.2.1. Field-Based Measurements
2.2.2. UAV-LiDAR Data Collection and Processing
2.3. Segmented Regression to Detect the Treeline Breakpoint
2.4. Individual Tree Segmentation
2.5. Species Classification
2.6. Modeling Elevation Effects on Forest Structure and Species Turnover
3. Results
3.1. CHM-Based Elevation Patterns in Canopy Height
3.2. CHM-Based Treeline Threshold and Sharpness
3.3. Crown-Based Species Distribution Along Elevation
3.4. Species-Specific Height Responses to Elevation
3.5. Segmentation and Classification Performance
4. Discussion
4.1. Treeline Sharpness and Structural Thresholds
4.2. Elevation-Driven Simplification of Forest Structure
4.3. Species Turnover and Niche Segregation
4.4. Methodological Insights and Constraints
4.5. Implications for Monitoring Climate Sensitivity and Forecasting Treeline Shifts
5. Summary
Author Contributions
Funding
Data Availability Statement
Acknowledgments
Conflicts of Interest
References
- Lu, X.; Zheng, X.; Liang, E.; Piao, S.; Babst, F.; Elliott, G.P.; Sigdel, S.R.; Wang, T.; Wang, Y.; Li, X.; et al. Patterns, dynamics and drivers of alpine treelines and shrublines. Nat. Rev. Earth Environ. 2025, 6, 489–502. [Google Scholar] [CrossRef]
- Schickhoff, U.; Bobrowski, M.; Böhner, J.; Bürzle, B.; Chaudhary, R.P.; Gerlitz, L.; Heyken, H.; Lange, J.; Müller, M.; Scholten, T.; et al. Do Himalayan treelines respond to recent climate change? An evaluation of sensitivity indicators. Earth Syst. Dyn. 2015, 6, 245–265. [Google Scholar] [CrossRef]
- Singh, S.; Sharma, S.; Dhyani, P. Himalayan arc and treeline: Distribution, climate change responses and ecosystem properties. Biodivers. Conserv. 2019, 28, 1997–2016. [Google Scholar] [CrossRef]
- Mishra, N.B.; Mainali, K.P. Greening and browning of the Himalaya: Spatial patterns and the role of climatic change and human drivers. Sci. Total Environ. 2017, 587, 326–339. [Google Scholar] [CrossRef]
- Anderson, K.; Fawcett, D.; Cugulliere, A.; Benford, S.; Jones, D.; Leng, R. Vegetation expansion in the subnival Hindu Kush Himalaya. Glob. Change Biol. 2020, 26, 1608–1625. [Google Scholar] [CrossRef]
- Pandit, M.K. Life in the Himalaya: An Ecosystem at Risk; Harvard University Press: Cambridge, MA, USA, 2017. [Google Scholar]
- Harsch, M.A.; Hulme, P.E.; McGlone, M.S.; Duncan, R.P. Are treelines advancing? A global meta-analysis of treeline response to climate warming. Ecol. Lett. 2009, 12, 1040–1049. [Google Scholar] [CrossRef]
- Holtmeier, F.; Broll, G. Treeline research–From the roots of the past to present time. A review. Forests 2019, 11, 38. [Google Scholar] [CrossRef]
- Singh, S.; Reshi, Z.A.; Joshi, R. Treeline research in the Himalaya: Current understanding and future imperatives. In Ecology of Himalayan Treeline Ecotone; Springer: Berlin/Heidelberg, Germany, 2023; pp. 1–29. [Google Scholar]
- Sigdel, S.R.; Zheng, X.; Babst, F.; Camarero, J.J.; Gao, S.; Li, X.; Lu, X.; Pandey, J.; Dawadi, B.; Sun, J.; et al. Accelerated succession in Himalayan alpine treelines under climatic warming. Nat. Plants 2024, 10, 1909–1918. [Google Scholar] [CrossRef]
- Garbarino, M.; Morresi, D.; Anselmetto, N.; Weisberg, P.J. Treeline remote sensing: From tracking treeline shifts to multi-dimensional monitoring of ecotonal change. Remote Sens. Ecol. Conserv. 2023, 9, 729–742. [Google Scholar] [CrossRef]
- Mainali, K.; Shrestha, B.B.; Sharma, R.K.; Adhikari, A.; Gurarie, E.; Singer, M.; Parmesan, C. Contrasting responses to climate change at Himalayan treelines revealed by population demographics of two dominant species. Ecol. Evol. 2020, 10, 1209–1222. [Google Scholar] [CrossRef]
- Schwab, N.; Bürzle, B.; Bobrowski, M.; Böhner, J.; Chaudhary, R.P.; Scholten, T.; Weidinger, J.; Schickhoff, U. Predictors of the success of natural regeneration in a himalayan treeline ecotone. Forests 2022, 13, 454. [Google Scholar] [CrossRef]
- Salick, J.; Ghimire, S.K.; Fang, Z.; Dema, S.; Konchar, K.M.; Collaborating authors. Himalayan alpine vegetation, climate change and mitigation. J. Ethnobiol. 2014, 34, 276–293. [Google Scholar] [CrossRef]
- Wang, Z.; Ginzler, C.; Eben, B.; Rehush, N.; Waser, L.T. Assessing changes in mountain treeline ecotones over 30 years using CNNs and historical aerial images. Remote Sens. 2022, 14, 2135. [Google Scholar] [CrossRef]
- Padalia, H.; Rai, I.D.; Pangtey, D.; Rana, K.; Khuroo, A.A.; Nandy, S.; Singh, G.; Sekar, K.C.; Sharma, N.; Uniyal, S.K.; et al. Fine-scale classification and mapping of subalpine-alpine vegetation and their environmental correlates in the Himalayan global biodiversity hotspot. Biodivers. Conserv. 2023, 32, 4387–4423. [Google Scholar] [CrossRef]
- Purekhovsky, A.G.; Gunya, A.N.; Kolbowsky, E.Y.; Aleinikov, A.A. Methods Of Studying The Alpine Treeline: A Systematic Review. Geogr. Environ. Sustain. 2025, 18, 105–116. [Google Scholar] [CrossRef]
- Wei, B.; Zhang, Y.; Liu, L.; Zhang, B.; Gong, D.; Gu, C.; Li, L.; Paudel, B. Upper Elevational Limit of Vegetation in the Himalayas Identified from Landsat Images. Remote Sens. 2024, 17, 78. [Google Scholar] [CrossRef]
- Adam, M.; Urbazaev, M.; Dubois, C.; Schmullius, C. Accuracy assessment of GEDI terrain elevation and canopy height estimates in European temperate forests: Influence of environmental and acquisition parameters. Remote Sens. 2020, 12, 3948. [Google Scholar] [CrossRef]
- Li, H.; Li, X.; Kato, T.; Hayashi, M.; Fu, J.; Hiroshima, T. Accuracy assessment of GEDI terrain elevation, canopy height, and aboveground biomass density estimates in Japanese artificial forests. Sci. Remote Sens. 2024, 10, 100144. [Google Scholar] [CrossRef]
- Mathew, J.R.; Singh, C.; Mohapatra, J.; Agrawal, R.; Solanki, H.; Khuroo, A.A.; Hamid, M.; Malik, A.; Ahmad, R.; Kumar, A. Quantifying variation in canopy height from LiDAR data as a function of altitude along alpine treeline ecotone in Indian Himalaya. In Ecology of Himalayan Treeline Ecotone; Springer: Berlin/Heidelberg, Germany, 2023; pp. 191–203. [Google Scholar]
- Potapov, P.; Li, X.; Hernandez-Serna, A.; Tyukavina, A.; Hansen, M.C.; Kommareddy, A.; Pickens, A.; Turubanova, S.; Tang, H.; Silva, C.E.; et al. Mapping global forest canopy height through integration of GEDI and Landsat data. Remote Sens. Environ. 2021, 253, 112165. [Google Scholar] [CrossRef]
- Mishra, N.B.; Singh, P.B. Mountains of Error: UAV LiDAR Benchmarking of GEDI and GEDI-Derived Global Canopy Height Products in Steep Himalayan Forests. Department of Geography & Environmental Science, University of Wisconsin-La Crosse, La Crosse, WI, USA, 2026. manuscript in preparation. [Google Scholar]
- Das, S.; Basnet, P.; Seidel, D.; Röll, A.; Ehbrecht, M.; Hölscher, D. Tree architecture and structural complexity in mountain forests of the Annapurna region, Himalaya. Ecol. Evol. 2025, 15, e71341. [Google Scholar] [CrossRef]
- Balenović, I.; Liang, X.; Jurjević, L.; Hyyppä, J.; Seletković, A.; Kukko, A. Hand-held personal laser scanning–current status and perspectives for forest inventory application. Croat. J. For. Eng. J. Theory Appl. For. Eng. 2021, 42, 165–183. [Google Scholar]
- Karna, Y.K.; Hussin, Y.A.; Gilani, H.; Bronsveld, M.; Murthy, M.; Qamer, F.M.; Karky, B.S.; Bhattarai, T.; Aigong, X.; Baniya, C.B. Integration of WorldView-2 and airborne LiDAR data for tree species level carbon stock mapping in Kayar Khola watershed, Nepal. Int. J. Appl. Earth Obs. Geoinf. 2015, 38, 280–291. [Google Scholar] [CrossRef]
- Kc, Y.B.; Liu, Q.; Saud, P.; Gaire, D.; Adhikari, H. Estimation of Above-Ground Forest Biomass in Nepal by the Use of Airborne LiDAR, and Forest Inventory Data. Land 2024, 13, 213. [Google Scholar] [CrossRef]
- Mathew, J.R.; Singh, C.P.; Solanki, H.; Sedha, D.; Pandya, M.R.; Bhattacharya, B.K. Role of LiDAR remote sensing in identifying physiognomic traits of alpine treeline: A global review. Trop. Ecol. 2024, 65, 341–355. [Google Scholar] [CrossRef]
- Mishra, N.B.; Mainali, K.P.; Shrestha, B.B.; Radenz, J.; Karki, D. Species-level vegetation mapping in a Himalayan treeline ecotone using unmanned aerial system (UAS) imagery. ISPRS Int. J. Geo-Inf. 2018, 7, 445. [Google Scholar] [CrossRef]
- Carrieri, E.; Morresi, D.; Meloni, F.; Anselmetto, N.; Lingua, E.; Marzano, R.; Urbinati, C.; Vitali, A.; Garbarino, M. Very-high resolution aerial imagery and deep learning uncover the fine-scale spatial patterns of elevational treelines. EGUsphere 2024, 2024, 6393–6409. [Google Scholar]
- Mishra, N.B.; Miles, E.S.; Chaudhuri, G.; Mainali, K.P.; Mal, S.; Singh, P.B.; Tiruwa, B. Quantifying heterogeneous monsoonal melt on a debris-covered glacier in Nepal Himalaya using repeat uncrewed aerial system (UAS) photogrammetry. J. Glaciol. 2022, 68, 288–304. [Google Scholar] [CrossRef]
- Frey, J.; Kovach, K.; Stemmler, S.; Koch, B. UAV photogrammetry of forests as a vulnerable process. A sensitivity analysis for a structure from motion RGB-image pipeline. Remote Sens. 2018, 10, 912. [Google Scholar] [CrossRef]
- Liang, X.; Kukko, A.; Balenović, I.; Saarinen, N.; Junttila, S.; Kankare, V.; Holopainen, M.; Mokroš, M.; Surový, P.; Kaartinen, H.; et al. Close-range remote sensing of forests: The state of the art, challenges, and opportunities for systems and data acquisitions. IEEE Geosci. Remote Sens. Mag. 2022, 10, 32–71. [Google Scholar] [CrossRef]
- Li, L.; Peng, Z.; Chen, Q.; Wang, Z.; Huang, Q.; Wang, B.; Cai, Q.; Fang, W.; Ma, S.; Zhang, Z. Mapping elevational patterns of functional diversity of canopy species in an alpine forest using drone multispectral and LiDAR data. Ecol. Indic. 2024, 169, 112965. [Google Scholar] [CrossRef]
- Neuville, R.; Bates, J.S.; Jonard, F. Estimating forest structure from UAV-mounted LiDAR point cloud using machine learning. Remote Sens. 2021, 13, 352. [Google Scholar] [CrossRef]
- Shrestha, K.; Hofgaard, A.; Vandvik, V. Recent treeline dynamics are similar between dry and mesic areas of Nepal, central Himalaya. J. Plant Ecol. 2015, 8, 347–358. [Google Scholar] [CrossRef]
- Bajracharya, S.B.; Furley, P.A.; Newton, A.C. Impacts of community-based conservation on local communities in the Annapurna Conservation Area, Nepal. Biodivers. Conserv. 2006, 15, 2765–2786. [Google Scholar] [CrossRef]
- Bhatta, K.P.; Aryal, A.; Baral, H.; Khanal, S.; Acharya, A.K.; Phomphakdy, C.; Dorji, R. Forest structure and composition under contrasting precipitation regimes in the high mountains, western Nepal. Sustainability 2021, 13, 7510. [Google Scholar] [CrossRef]
- Chhetri, P.K.; Bista, R.; Shrestha, K.B. How does the stand structure of treeline-forming species shape the treeline ecotone in different regions of the Nepal Himalayas? J. Mt. Sci. 2020, 17, 2354–2368. [Google Scholar] [CrossRef]
- DJI. DJI Terra User Guide; DJI: Shenzhen, China, 2024. [Google Scholar]
- Zhang, W.; Qi, J.; Wan, P.; Wang, H.; Xie, D.; Wang, X.; Yan, G. An easy-to-use airborne LiDAR data filtering method based on cloth simulation. Remote Sens. 2016, 8, 501. [Google Scholar] [CrossRef]
- Tao, S.; Wu, F.; Guo, Q.; Wang, Y.; Li, W.; Xue, B.; Hu, X.; Li, P.; Tian, D.; Li, C.; et al. Segmenting tree crowns from terrestrial and mobile LiDAR data by exploring ecological theories. ISPRS J. Photogramm. Remote Sens. 2015, 110, 66–76. [Google Scholar] [CrossRef]
- McGaughey, R.J.; Kruper, A.; Bobsin, C.R.; Bormann, B.T. Tree species classification based on upper crown morphology captured by uncrewed aircraft system lidar data. Remote Sens. 2024, 16, 603. [Google Scholar] [CrossRef]
- Ørka, H.O.; Næsset, E.; Bollandsås, O.M. Classifying species of individual trees by intensity and structure features derived from airborne laser scanner data. Remote Sens. Environ. 2009, 113, 1163–1174. [Google Scholar] [CrossRef]
- Zaki, N.A.M.; Rajuli, M.F.; Abd Latif, Z.; Suratman, M.N.; Omar, H.; Norashikin, S.; Zainal, M.Z.; Talib, N. Analysis of canopy height model (CHM) extraction using quick terrain modeller (QTM) for tropical forest area. In IOP Conference Series: Earth and Environmental Science, Proceedings of the 10th IGRSM International Conference and Exhibition on Geospatial & Remote Sensing, Kuala Lumpur, Malaysia, 20–21 October 2020; IOP Publishing: Bristol, UK, 2020; p. 012045. [Google Scholar]
- Imagery, A. Available online: https://appliedimagery.com/download/ (accessed on 16 August 2025).
- Breiman, L. Random forests. Mach. Learn. 2001, 45, 5–32. [Google Scholar] [CrossRef]
- Team, R.C. R: A language and environment for statistical computing and graphics. Found. Stat. Comput. 2022, 1, 409. [Google Scholar]
- Vauhkonen, J.; Ene, L.; Gupta, S.; Heinzel, J.; Holmgren, J.; Pitkänen, J.; Solberg, S.; Wang, Y.; Weinacker, H.; Hauglin, K.M.; et al. Comparative testing of single-tree detection algorithms under different types of forest. Forestry 2012, 85, 27–40. [Google Scholar] [CrossRef]
- Congalton, R.G.; Green, K. Assessing the Accuracy of Remotely Sensed Data: Principles and Practices; CRC press: Boca Raton, FL, USA, 2019. [Google Scholar]
- Kohavi, R. A study of cross-validation and bootstrap for accuracy estimation and model selection. In Proceedings of the International Joint Conference on Articial Intelligence (IJCAI), Montréal, QC, Canada, 20–25 August 1995; pp. 1137–1145. [Google Scholar]
- Zeng, X.-M.; Berdugo, M.; Saez-Sandino, T.; Tao, D.; Ren, T.; Zhou, G.; Liu, Y.-R.; Terrer, C.; Reich, P.B.; Delgado-Baquerizo, M. Temperature thresholds induce abrupt shifts in biodiversity and ecosystem services in montane ecosystems worldwide. Proc. Natl. Acad. Sci. USA 2025, 122, e2413981122. [Google Scholar] [CrossRef]
- Körner, C. Alpine treelines. In Alpine Plant Life: Functional Plant Ecology of High Mountain Ecosystems; Springer: Berlin/Heidelberg, Germany, 2021; pp. 141–173. [Google Scholar]
- Holtmeier, F.K.; Broll, G. Sensitivity and response of northern hemisphere altitudinal and polar treelines to environmental change at landscape and local scales. Glob. Ecol. Biogeogr. 2005, 14, 395–410. [Google Scholar] [CrossRef]
- Körner, C.; Paulsen, J. A world-wide study of high altitude treeline temperatures. J. Biogeogr. 2004, 31, 713–732. [Google Scholar] [CrossRef]
- Miehe, S.; Miehe, G.; Miehe, S.; Böhner, J.; Bäumler, R.; Ghimire, S.; Bhattarai, K.; Chaudhary, R.; Subedi, M. Vegetation ecology. In Nepal: An Introduction to the Natural History, Ecology and Human Environment in the Himalayas. Royal Botanic Garden Edinburgh, Edinburgh, United Kingdom; Royal Botanic Garden Edinburgh: Edinburgh, UK, 2015; pp. 385–472. [Google Scholar]
- Sigdel, S.R.; Liang, E.; Wang, Y.; Dawadi, B.; Camarero, J.J. Tree-to-tree interactions slow down Himalayan treeline shifts as inferred from tree spatial patterns. J. Biogeogr. 2020, 47, 1816–1826. [Google Scholar] [CrossRef]











Disclaimer/Publisher’s Note: The statements, opinions and data contained in all publications are solely those of the individual author(s) and contributor(s) and not of MDPI and/or the editor(s). MDPI and/or the editor(s) disclaim responsibility for any injury to people or property resulting from any ideas, methods, instructions or products referred to in the content. |
© 2026 by the authors. Licensee MDPI, Basel, Switzerland. This article is an open access article distributed under the terms and conditions of the Creative Commons Attribution (CC BY) license.
Share and Cite
Mishra, N.B.; Singh, P.B. Reading the Himalayan Treeline in 3D: Species Turnover and Structural Thresholds from UAV LiDAR. Remote Sens. 2026, 18, 309. https://doi.org/10.3390/rs18020309
Mishra NB, Singh PB. Reading the Himalayan Treeline in 3D: Species Turnover and Structural Thresholds from UAV LiDAR. Remote Sensing. 2026; 18(2):309. https://doi.org/10.3390/rs18020309
Chicago/Turabian StyleMishra, Niti B., and Paras Bikram Singh. 2026. "Reading the Himalayan Treeline in 3D: Species Turnover and Structural Thresholds from UAV LiDAR" Remote Sensing 18, no. 2: 309. https://doi.org/10.3390/rs18020309
APA StyleMishra, N. B., & Singh, P. B. (2026). Reading the Himalayan Treeline in 3D: Species Turnover and Structural Thresholds from UAV LiDAR. Remote Sensing, 18(2), 309. https://doi.org/10.3390/rs18020309

