Sign in to use this feature.

Years

Between: -

Subjects

remove_circle_outline
remove_circle_outline
remove_circle_outline
remove_circle_outline
remove_circle_outline
remove_circle_outline
remove_circle_outline
remove_circle_outline
remove_circle_outline

Journals

Article Types

Countries / Regions

remove_circle_outline
remove_circle_outline
remove_circle_outline

Search Results (388)

Search Parameters:
Keywords = individual-tree segmentation

Order results
Result details
Results per page
Select all
Export citation of selected articles as:
22 pages, 16470 KB  
Article
A Multi-Temporal Instance Segmentation Framework and Exhaustively Annotated Tree Crown Dataset for a Subtropical Urban Forest Case
by Weihong Lin, Hao Jiang, Mengjun Ku, Jing Zhang and Baomin Wang
Remote Sens. 2026, 18(7), 1082; https://doi.org/10.3390/rs18071082 - 3 Apr 2026
Viewed by 184
Abstract
Accurate individual tree crown identification is essential for urban forestry, yet existing datasets often lack exhaustive annotations and multi-temporal diversity. To address this limitation, an exhaustively annotated dataset was curated for crown instance segmentation, comprising 47,754 labeled individual crowns from approximately 110 species [...] Read more.
Accurate individual tree crown identification is essential for urban forestry, yet existing datasets often lack exhaustive annotations and multi-temporal diversity. To address this limitation, an exhaustively annotated dataset was curated for crown instance segmentation, comprising 47,754 labeled individual crowns from approximately 110 species across three temporal phases. Anchored in a “crown geometry” labeling criterion focusing on upper-canopy individuals visible in the imagery, and the high-resolution imagery captured seasonal variations in shape, color, and texture, providing an empirical basis for within-site robustness. Utilizing this dataset, this study (1) compared five instance segmentation models; (2) evaluated their generalization capabilities across different temporal phases; and (3) tested a multi-temporal joint training strategy and a non-maximum suppression (NMS)-based fusion. The experiments revealed significant overfitting in single-temporal models. While ConvNeXt-V2 achieved a high segmentation mean Average Precision (Segm_mAP) of 0.852 within the same temporal phase, its performance dropped sharply to 0.361 across phases. Bi-temporal joint training significantly mitigated this issue, improving cross-temporal performance to 0.665 and further increasing within-phase accuracy to 0.874. In contrast, tri-temporal training reduced accuracy (0.748), demonstrating that effective generalizability depends on the strategic selection of complementary temporal phases rather than the mere accumulation of data. The multi-temporal training framework provided in this study could serve as a practical reference and a foundational benchmark for further urban forest structural monitoring research. Full article
Show Figures

Figure 1

25 pages, 10673 KB  
Article
Application of UAV Devices to Assess Post-Drought Canopy Vigor in Two Pine Forests Showing Die-Off
by Elisa Tamudo, Jesús Revuelto, Antonio Gazol and Jesús Julio Camarero
Remote Sens. 2026, 18(6), 916; https://doi.org/10.3390/rs18060916 - 17 Mar 2026
Viewed by 305
Abstract
Rising temperatures and droughts are triggering forest die-off in climate warming hotspots such as the Mediterranean Basin. UAVs equipped with LiDAR and multispectral sensors offer a powerful tool for surveys of tree vigor at landscape level. We used UAV-acquired LiDAR data and multispectral [...] Read more.
Rising temperatures and droughts are triggering forest die-off in climate warming hotspots such as the Mediterranean Basin. UAVs equipped with LiDAR and multispectral sensors offer a powerful tool for surveys of tree vigor at landscape level. We used UAV-acquired LiDAR data and multispectral camera imagery to segment individual tree crowns, classify species, and assess the health status in two drought-affected forests in northeastern Spain: a mixed Pinus pinasterQuercus ilex forest and a Pinus halepensis forest. Individual trees were segmented and classified using object-based image analysis with the Random Forest algorithm incorporating spectral, structural, and topographic variables. Greenness indices (NDVI and EVI) were analyzed in relation to crown height, topography (slope and elevation) and solar radiation, and their interactions. Analyses showed satisfactory crown segmentation (F-Score = 0.85–0.86) and species classification (Overall accuracy = 0.86–0.99), though distinguishing spectrally similar classes remained challenging. Taller P. pinaster trees exhibited higher NDVI, while taller P. halepensis displayed higher NDVI values in dense neighborhoods and on gentle slopes. These findings highlight the potential of high-resolution UAV-based remote sensing for effective near-real-time detection and attribution of forest die-off. Future research should aim to improve algorithm accuracy and better integrate field-based validation across different forest types. Full article
(This article belongs to the Special Issue Vegetation Mapping through Multiscale Remote Sensing)
Show Figures

Figure 1

30 pages, 11087 KB  
Article
Estimation of Individual Tree-Level Structural and Biochemical Traits for Seabuckthorn Forests in Lhasa Valley Plain by Coupling UAV-Based LiDAR and Multispectral Images with N-PROSAIL Model
by Wenkai Xue, Kai Zhou, Pubu Dunzhu, Zhen Xing, Yunhua Wu, Ling Lin, Xin Shen and Lin Cao
Remote Sens. 2026, 18(6), 909; https://doi.org/10.3390/rs18060909 - 16 Mar 2026
Viewed by 251
Abstract
The accurate and efficient extraction of individual tree phenotypic traits for seabuckthorn (Hippophae rhamnoides L.) in natural forests is crucial for germplasm exploration, precision silviculture, and ecological restoration. This study extracted structural and biochemical traits of seabuckthorn in Tibet’s Lhasa valley using [...] Read more.
The accurate and efficient extraction of individual tree phenotypic traits for seabuckthorn (Hippophae rhamnoides L.) in natural forests is crucial for germplasm exploration, precision silviculture, and ecological restoration. This study extracted structural and biochemical traits of seabuckthorn in Tibet’s Lhasa valley using Unmanned aerial vehicle (UAV) LiDAR, multispectral imagery, and the N-PROSAIL model. Firstly, building on a classification conducted through multi-scale spatial analysis and hierarchical clustering with dynamic thresholds, shrub interference was effectively reduced, thereby improving the accuracy of individual tree segmentation. Tree height and crown width were derived from the segmentation results, and a DBH estimation model was developed using handheld LiDAR data. Finally, leaf nitrogen content was mapped within canopies using random forest combined with the N-PROSAIL model and nitrogen reference data. The results demonstrated that the optimized segmentation method successfully extracted structural traits (F1 = 84.21%). Tree height was accurately estimated (R2 = 0.814, RMSE = 0.580 m), and the DBH prediction model performed satisfactorily (R2 = 0.779, RMSE = 1.725 cm). The random forest model also effectively estimated leaf nitrogen content (R2 = 0.680, RMSE = 2.074 mg/g). Full article
Show Figures

Figure 1

30 pages, 30836 KB  
Article
CrownViM: Context Clustering Meets Vision Mamba for Precise Tree Crown Segmentation in Aerial RGB Imagery
by Erkang Shi, Ziyang Shi, Fulin Su, Lin Li, Ruifeng Liu, Fangying Wan and Kai Zhou
Remote Sens. 2026, 18(6), 860; https://doi.org/10.3390/rs18060860 - 11 Mar 2026
Viewed by 286
Abstract
The proliferation of high-spatial-resolution remote sensing data is transforming forest attribute estimation, replacing traditional manual approaches with deep learning-based Individual Tree Crown Delineation (ITCD). Nevertheless, accurate ITCD boundary extraction from aerial RGB imagery faces persistent challenges: boundary ambiguity from complex crown occlusion in [...] Read more.
The proliferation of high-spatial-resolution remote sensing data is transforming forest attribute estimation, replacing traditional manual approaches with deep learning-based Individual Tree Crown Delineation (ITCD). Nevertheless, accurate ITCD boundary extraction from aerial RGB imagery faces persistent challenges: boundary ambiguity from complex crown occlusion in mixed forests, scarcity of high-quality annotations, and computational limitations of existing methods in dense forests. The latter manifests particularly in overlapping crown scenarios through constrained receptive fields, leading to substantial parameter requirements, computational inefficiency, and compromised accuracy. To overcome these limitations, we propose CrownViM, a novel architecture based on a bidirectional State Space Model (SSM). The framework integrates a linear-complexity Context Clustering Vision Mamba (CCViM) encoder for efficient global context modeling and employs a MaskFormer decoder for precise boundary prediction. We further introduce a partial-supervision loss function to reduce dependence on exhaustively annotated crown masks. Evaluations on OAM-TCD and the single-tree segmentation dataset (SSD) show CrownViM achieves significant segmentation accuracy improvements while maintaining a lightweight profile (39.6 M parameters). It substantially outperforms Convolutional Neural Network (CNN), Vision Transformer (ViT), and hybrid-based baselines when processing overlapping crowns and structurally complex scenes. As the first implementation of state space models in ITCD, CrownViM effectively addresses core limitations in global context capture, computational efficiency, and boundary definition. Our efficient architecture and sparse-annotation loss strategy enable high-accuracy, robust individual tree mapping, advancing tools for large-scale forest monitoring and accurate carbon stock quantification. Full article
Show Figures

Figure 1

25 pages, 8404 KB  
Article
Ladder-Side-Tuning of Visual Foundation Model for City-Scale Individual Tree Detection from High-Resolution Remote Sensing Images
by Chen Huang, Ying Ding, Kun Xiao, Rong Liu and Ying Sun
Remote Sens. 2026, 18(5), 819; https://doi.org/10.3390/rs18050819 - 6 Mar 2026
Viewed by 262
Abstract
Accurate detection of individual trees is essential for urban forest management and ecological assessment, yet remains challenging due to the heterogeneous backgrounds, variable sizes of tree crowns, and significant variations across urban scenarios. To address these issues, we propose Tree-SAM, a city-scale individual [...] Read more.
Accurate detection of individual trees is essential for urban forest management and ecological assessment, yet remains challenging due to the heterogeneous backgrounds, variable sizes of tree crowns, and significant variations across urban scenarios. To address these issues, we propose Tree-SAM, a city-scale individual tree detection architecture built upon the visual foundation model Segment Anything Model (SAM) and equipped with three task-specific modules, i.e., Cross-Correlation Feature Backbone (CCFB), Hierarchical Instance Aggregation Neck (HIAN), and Context-Aware Adaptation Head (CAAH). These modules synergistically fuse general semantics with fine-grained structural cues, enable multi-scale feature aggregation, and adaptively refine predictions based on specific scene contexts. On the GZ-Tree Crown dataset, Tree-SAM achieves F1-scores of 0.762, 0.732, and 0.830, with corresponding AP@50 values of 0.478, 0.454, and 0.526 in the forest, mixed, and urban scenarios, respectively, consistently ranking first across all scenes and demonstrating strong adaptability to diverse intra-city landscapes. Additional evaluations on the BAMFORESTS dataset and the SZ-Dataset further confirm its robustness across varied geographic contexts. Tree-SAM provides a reliable, automated framework for large-scale urban tree mapping, providing reliable data support for urban forest management, carbon stock estimation, and ecological assessment. Full article
Show Figures

Figure 1

16 pages, 5250 KB  
Article
Identification of Cypress Bark Beetle-Infested Cypress Based on LiDAR and RGB Imagery
by Ke Wu, Zhiqiang Li, Linpan Feng, Shali Shi, Liangying Zhang, Shixing Zhou, Sen Zhai and Lin Xiao
Forests 2026, 17(3), 328; https://doi.org/10.3390/f17030328 - 6 Mar 2026
Viewed by 276
Abstract
Forest pests and diseases are some of the major disturbances affecting the stability of forest ecosystems. Accurate identification of insect-infested trees is therefore crucial for assessing forest health and implementing precision forestry management. This study focuses on stand-level detection of cypress trees ( [...] Read more.
Forest pests and diseases are some of the major disturbances affecting the stability of forest ecosystems. Accurate identification of insect-infested trees is therefore crucial for assessing forest health and implementing precision forestry management. This study focuses on stand-level detection of cypress trees (Cupressus funebris Endl.) that were affected by the cypress bark beetle (Phloeosinus aubei Perris), and the framework enables individual tree segmentation, insect-infested tree detection, and stand infestation assessment. Firstly, individual trees were extracted from Light Detection and Ranging (LiDAR) point cloud data using the layer-stacking seed point algorithm. Based on the segmented tree crowns, four vegetation indices (Visible Atmospherically Resistant Index (VARI), Visible-band Difference Vegetation Index (VDVI), Red-Green Index (RGI), and Color Index of Vegetation Extraction (CIVE)) were calculated from Unmanned Aerial Vehicle (UAV) RGB imagery. Insect-infested cypress trees were extracted through threshold segmentation. Through visual interpretation, the optimal vegetation index was determined and the infestation rate at the stand level was calculated. Based on the above framework, a total of 1368 trees were identified in the cypress stand, with a segmentation Precision of 82.51%, a Recall of 80.00%, and an F1-score of 81.24%. RGI achieved the best performance (Precision = 100.00%, Recall = 86.96%, F1-score = 93.02%) and identified 20 infested trees, accounting for 1.46% of the cypress stand. Supplementary experiments further confirm the superiority of the RGI index and the μ ± 2σ thresholding method. These results demonstrate that the proposed method enables rapid detection of the infested cypress trees, effective monitoring of stand health and infestation severity, thereby supporting informed decision-making in pest control and forest management. Full article
Show Figures

Figure 1

21 pages, 15774 KB  
Article
Two-Phase Forest Damage Assessment with Sentinel-2 NDVI Double Differencing and UAV-Based Segmentation in the Sopron Mountains
by Norbert Ács, Bálint Heil, Botond Szász, Ádám Folcz, Márk Preisinger, Gyula Sándor and Kornél Czimber
Remote Sens. 2026, 18(5), 803; https://doi.org/10.3390/rs18050803 - 6 Mar 2026
Viewed by 377
Abstract
Due to climate change, drought periods are becoming more frequent and more intense, posing substantial stress to Central European forest stands, especially climatically sensitive conifer forests. The early detection and accurate spatial delineation of forest damage are essential for supporting adaptive forest management [...] Read more.
Due to climate change, drought periods are becoming more frequent and more intense, posing substantial stress to Central European forest stands, especially climatically sensitive conifer forests. The early detection and accurate spatial delineation of forest damage are essential for supporting adaptive forest management decisions. This study presents a two-tier, multi-step forest damage assessment approach that combines Sentinel-2 satellite-based NDVI double-difference analysis with UAV-based high-resolution photogrammetric evaluation. In the first phase, potential damaged forest patches were identified in two sample areas of the Sopron Mountains using double-difference maps derived from monthly window NDVI maxima calculated from Sentinel-2 data. In the second phase, UAV surveys were carried out over the selected forest compartments, resulting in individual-tree-level canopy segmentation and object-based NDVI analysis. The photogrammetric point clouds were combined with ground points derived from airborne laser scanning to enable the accurate generation of canopy height models. The results confirmed that NDVI double-difference analysis is suitable for the spatial detection of both gradual drought-related damage and sudden disturbances—such as forest fire—even under sequences of drought and moderate years occurring in a sporadic pattern. The UAV-based analysis corroborated the satellite observations in detail and enabled an accurate inventory of damaged trees as well as the exploration of their spatial distribution. The proposed methodology provides an efficient, cost-effective, and operational tool for multi-scale monitoring of forest damage, contributing to the timely recognition of climate-change impacts and to the substantiation of targeted forest management interventions. Full article
(This article belongs to the Section Biogeosciences Remote Sensing)
Show Figures

Figure 1

37 pages, 34025 KB  
Article
Individual Tree Segmentation from LiDAR Point Clouds: A Mamba-Enhanced Sparse CNN Approach for Accurate Forest Inventory
by Xiangji Peng, Jizheng Yi, Rong Liu, Xiangyu Shen and Xiaoyao Li
Remote Sens. 2026, 18(4), 664; https://doi.org/10.3390/rs18040664 - 22 Feb 2026
Viewed by 555
Abstract
Individual tree segmentation is critical for automated forest inventory systems, enabling detailed individual tree records that support precision forest management. While current airborne LiDAR systems can acquire high-density, high-accuracy point clouds of dense forests, significant challenges remain in analyzing the diversity of forest [...] Read more.
Individual tree segmentation is critical for automated forest inventory systems, enabling detailed individual tree records that support precision forest management. While current airborne LiDAR systems can acquire high-density, high-accuracy point clouds of dense forests, significant challenges remain in analyzing the diversity of forest samples across different regions. An improved method of instance segmentation using a Mamba-Enhanced Sparse Convolutional Neural Network is proposed to address the problem of misallocation caused by ambiguous boundaries and overlapping canopies of individual trees. An innovative offset prediction method further reduces the high error rate in low-canopy datasets. On the basis of a variety of features, the designed network customizes the HDBSCAN clustering algorithm and the W-KNN neighborhood search algorithm for fine-grained instance segmentation to achieve optimal performance. To address the lack of block coherence in the FOR-instance dataset and to reduce redundant noisy trees in some regions, this work develops a novel pipeline to simulate real woodland scenes and evaluates the robustness of the network in composite forests. Extensive validation on real and benchmark data demonstrates the method’s superior generalization capability, yielding robust segmentation results across varied forest structures. The most marked gains are achieved in low-canopy settings, confirming the method’s enhanced ability to handle complex structural overlaps. Our method provides a more comprehensive solution for the inventory management of structurally heterogeneous or regionally diverse woodlands, thereby enhancing both the automation and precision of forest resource assessment. Full article
(This article belongs to the Section Forest Remote Sensing)
Show Figures

Figure 1

25 pages, 7659 KB  
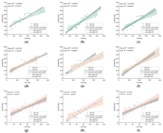
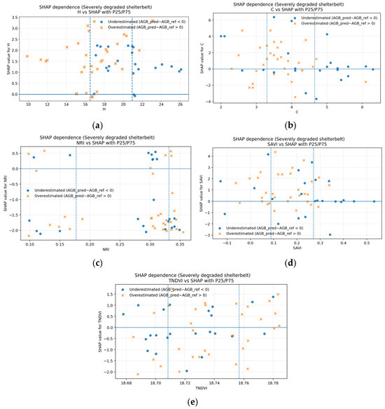
Article
Aboveground Biomass Inversion of Farmland Shelterbelts Across Degradation Levels Using UAV LiDAR–Multispectral Fusion: A Case Study in Xinjiang, China
by Yuxuan Wang, Hongqi Wu, Yu Lv, Wenling Mao, Shuhao Shang, Ruihong Zhong and Yanmin Fan
Drones 2026, 10(2), 148; https://doi.org/10.3390/drones10020148 - 20 Feb 2026
Viewed by 342
Abstract
Accurate aboveground biomass (AGB) estimation of farmland shelterbelts is critical for evaluating shelterbelt degradation and guiding restoration in arid agricultural landscapes. However, satellite-based retrieval is challenging for narrow linear belts affected by strong edge effects and canopy gaps under degradation. Here we developed [...] Read more.
Accurate aboveground biomass (AGB) estimation of farmland shelterbelts is critical for evaluating shelterbelt degradation and guiding restoration in arid agricultural landscapes. However, satellite-based retrieval is challenging for narrow linear belts affected by strong edge effects and canopy gaps under degradation. Here we developed a plot-scale Unmanned Aerial Vehicle (UAV) workflow that fuses Light Detection and Ranging (LiDAR) structural metrics and multispectral vegetation indices to estimate individual-tree AGB for Populus euphratica Olivier (Xinjiang poplar) shelterbelts in Tiemenguan, Xinjiang, China. Field measurements were collected in October 2024 from three belts representing healthy, moderately degraded, and severely degraded conditions (n = 135 trees; 45/50/40). Because destructive sampling was infeasible, AGB was derived as allometry-based reference values, with a prior-constrained scale factor (ρ) used to ensure physically plausible ranges. We compared multiple linear regression, random forest, and Support vector regression (SVR) models under LiDAR-only, multispectral-only, and fused inputs. Fusion consistently improved agreement with reference AGB, and the fused SVR achieved the best performance (test R2 = 0.846/0.848/0.718 for healthy/moderately/severely degraded belts). The workflow highlights spectral–structural complementarity for degraded shelterbelts, while broader deployment requires local calibration and independent biomass validation. Full article
(This article belongs to the Section Drones in Agriculture and Forestry)
Show Figures

Figure 1

23 pages, 3295 KB  
Article
A Two-Level Ensemble Machine Learning Framework for OSA Classification Whilst Awake from Noisy Tracheal Breathing Sounds
by Vahid Bastani Najafabadi, Walid Ashraf, Ahmed Elwali and Zahra Moussavi
Sensors 2026, 26(4), 1349; https://doi.org/10.3390/s26041349 - 20 Feb 2026
Viewed by 376
Abstract
Obstructive sleep apnea (OSA), defined by repetitive airway obstruction during sleep, is significantly underdiagnosed, mainly due to the resource-intensive and time-consuming nature of sleep assessment technologies. Machine learning analysis of the tracheal breathing sounds (TBS) whilst awake offers an alternative approach for OSA [...] Read more.
Obstructive sleep apnea (OSA), defined by repetitive airway obstruction during sleep, is significantly underdiagnosed, mainly due to the resource-intensive and time-consuming nature of sleep assessment technologies. Machine learning analysis of the tracheal breathing sounds (TBS) whilst awake offers an alternative approach for OSA quick screening. This study aimed to address the challenge of wakefulness OSA detection using TBS recorded with an inexpensive microphone in a noisy environment. Data of 247 individuals with various degrees of OSA severity were analyzed. Recorded data were segmented into inspiration and expiration phases, followed by acoustic features extraction, feature reduction, and classification. A two-level ensemble architecture was implemented. Nine sub-classifiers were stratified by anthropometric profiles. Each sub-classifier was constructed as an ensemble of bagged decision trees, with a final prediction via probability-based voting. The proposed algorithm achieved an accuracy of 77.1%, sensitivity of 84.3%, and specificity of 59.9%. Although these results have lower performance than those obtained previously using a high-quality microphone in a quiet room, they demonstrate that acoustic OSA detection whilst awake remains feasible, even in very noisy environments. Nevertheless, microphone quality emerged as a key determinant of classification performance. Full article
(This article belongs to the Special Issue Novel Implantable Sensors and Biomedical Applications)
Show Figures

Graphical abstract

22 pages, 2818 KB  
Article
Tree Geo-Positioning in Coniferous Forest Plots: A Comparison of Ground Survey and Laser Scanning Methods
by Lina Beniušienė, Donatas Jonikavičius, Monika Papartė, Marius Aleinikovas, Iveta Varnagirytė-Kabašinskienė, Ričardas Beniušis and Gintautas Mozgeris
Forests 2026, 17(2), 272; https://doi.org/10.3390/f17020272 - 18 Feb 2026
Viewed by 483
Abstract
Accurate spatial information on individual tree locations is essential for precision forestry, the integration of field and remote sensing data, and tree-level forest analyses. This study compared the positional accuracy and tree identification performance of four tree-mapping approaches: legacy paper maps, a pseudolite-based [...] Read more.
Accurate spatial information on individual tree locations is essential for precision forestry, the integration of field and remote sensing data, and tree-level forest analyses. This study compared the positional accuracy and tree identification performance of four tree-mapping approaches: legacy paper maps, a pseudolite-based field positioning system (TerraHärp), drone-based laser scanning, and mobile laser scanning (MLS). The analysis was conducted in five long-term experimental forest sites in Lithuania, comprising pine- and spruce-dominated stands with varying stand densities. Tree locations derived from legacy maps and the TerraHärp system were compared to assess systematic and random positional discrepancies. TerraHärp-derived tree positions were subsequently used as a reference to evaluate the laser scanning-based methods. Positional accuracy was assessed using Hotelling’s T2 test, root-mean-square error, and the National Standard for Spatial Data Accuracy (NSSDA), while spatial autocorrelation of deviations was examined using Moran’s I. The results indicated that discrepancies between TerraHärp and legacy maps were dominated by systematic horizontal shifts in the historical maps, whereas random positional variability was relatively small and consistent across stand types. Drone-based laser scanning showed a strong dependence of tree identification accuracy on stand density and mean tree diameter. Overall, CHM-based segmentation yielded more accurate tree identification than 3D point cloud segmentation, with mean F1-scores of 0.78 and 0.72, respectively. Positional accuracy varied by method, with the largest errors from CHM apexes and highest 3D point cloud points (mean NSSDA ≈ 1.8–2.0 m), improved accuracy using the lowest 3D cluster points (1.45–1.72 m), and the highest accuracy achieved using mobile laser scanning (mean NSSDA 0.76–0.90 m; >95% of trees within 1 m). These results demonstrate that pseudolite-based field mapping provides a reliable reference for high-precision tree location and for integrating field and laser scanning data in managed conifer stands. Full article
(This article belongs to the Section Forest Inventory, Modeling and Remote Sensing)
Show Figures

Figure 1

26 pages, 7254 KB  
Article
Individual Street Tree Detection and Vitality Assessment Using GeoAI and Multi-Source Imagery
by Yeonsu Kang and Youngok Kang
Smart Cities 2026, 9(2), 31; https://doi.org/10.3390/smartcities9020031 - 11 Feb 2026
Viewed by 650
Abstract
Urban street trees provide essential environmental and social benefits, yet their vitality is often challenged by adverse urban conditions such as traffic emissions, impervious surfaces, and limited soil moisture. Conventional street tree management relies heavily on labor-intensive field inspections, making large-scale and repeatable [...] Read more.
Urban street trees provide essential environmental and social benefits, yet their vitality is often challenged by adverse urban conditions such as traffic emissions, impervious surfaces, and limited soil moisture. Conventional street tree management relies heavily on labor-intensive field inspections, making large-scale and repeatable assessment difficult. To address this limitation, this study proposes a GeoAI-based framework that integrates high-resolution aerial imagery, multispectral satellite data, and deep learning–based semantic segmentation to automatically delineate individual street trees and derive a remote sensing-based vitality proxy. Street trees are detected from orthorectified aerial imagery using semantic segmentation models, and vegetation indices—including NDVI, NDRE, and NDMI—are extracted from multispectral satellite imagery. An area-weighted object–pixel matching strategy is applied to associate spectral indicators with individual crowns across multi-resolution datasets. A composite vitality proxy is then constructed by integrating chlorophyll- and moisture-related indices. The results reveal spatial variability in spectral vitality signals across different urban environments. Trees along major road corridors tended to exhibit lower chlorophyll- and moisture-related indicators, while those near parks, riverfront walkways, and recently developed residential areas generally showed higher values. NDMI provided complementary insights into moisture-related stress that were not fully reflected by chlorophyll-based indices. Although the proposed vitality proxy is not a substitute for field-based diagnosis, the overall framework offers a scalable approach for citywide screening and prioritization of potentially stressed trees, supporting data-informed urban green infrastructure management within smart-city planning contexts. Full article
Show Figures

Figure 1

20 pages, 3878 KB  
Article
TreeSeg-Net: An End-to-End Instance Segmentation Network for Leaf-Off Forest Point Clouds Using Global Context and Spatial Proximity
by Xingmei Xu, Ruihang Zhang, Shunfu Xiao, Jiayuan Li, Xinyue Zhang, Liying Cao, Helong Yu, Yuntao Ma, Jian Zhang and Xiyang Zhao
Plants 2026, 15(4), 525; https://doi.org/10.3390/plants15040525 - 7 Feb 2026
Viewed by 490
Abstract
Forest ecosystems play a pivotal role in maintaining the balance of the global carbon cycle and conserving biodiversity. High-density point clouds derived from unmanned aerial vehicle (UAV) structure from motion (SfM) and multi-view stereo (MVS) technologies offer a cost-effective solution for data acquisition. [...] Read more.
Forest ecosystems play a pivotal role in maintaining the balance of the global carbon cycle and conserving biodiversity. High-density point clouds derived from unmanned aerial vehicle (UAV) structure from motion (SfM) and multi-view stereo (MVS) technologies offer a cost-effective solution for data acquisition. These technologies have become efficient tools for facilitating precision forest resource management and extracting individual tree structural parameters. However, in complex forest scenarios during the leaf-off season, canopies exhibit unstructured branch network morphologies due to the absence of leaf occlusion, and adjacent crowns are heavily interlaced. Consequently, existing segmentation methods struggle to overcome challenges associated with fuzzy boundaries and instance adhesion. To address these challenges, this study proposes TreeSeg-Net, an end-to-end instance segmentation network designed to precisely separate individual trees directly from raw point clouds. The network incorporates a global context attention module (GCAM) to capture long-range feature dependencies, thereby compensating for the limitations of sparse convolution in perceiving global information. Simultaneously, a spatial proximity weighting module (SPWM) is designed. By introducing geometric center constraints and a distance penalty mechanism, this module effectively mitigates under-segmentation issues caused by the feature similarity of adjacent branches in high-canopy-density environments. Experimental results demonstrate that TreeSeg-Net achieves an average precision (AP) of 97.2% in instance segmentation tasks and a mean intersection over union (mIoU) of 99.7% in semantic segmentation tasks. Compared to mainstream networks, the proposed method exhibits superior segmentation accuracy, providing an efficient and automated technical solution for precise resource inventory in complex forest environments. Full article
Show Figures

Figure 1

29 pages, 1843 KB  
Systematic Review
Deep Learning for Tree Crown Detection and Delineation Using UAV and High-Resolution Imagery for Biometric Parameter Extraction: A Systematic Review
by Abdulrahman Sufyan Taha Mohammed Aldaeri, Chan Yee Kit, Lim Sin Ting and Mohamad Razmil Bin Abdul Rahman
Forests 2026, 17(2), 179; https://doi.org/10.3390/f17020179 - 29 Jan 2026
Viewed by 798
Abstract
Mapping individual-tree crowns (ITCs) along with extracting tree morphological attributes provides the core parameters required for estimating thermal stress and carbon emission functions. However, calculating morphological attributes relies on the prior delineation of ITCs. Using the Preferred Reporting Items for Systematic Reviews and [...] Read more.
Mapping individual-tree crowns (ITCs) along with extracting tree morphological attributes provides the core parameters required for estimating thermal stress and carbon emission functions. However, calculating morphological attributes relies on the prior delineation of ITCs. Using the Preferred Reporting Items for Systematic Reviews and Meta-Analysis (PRISMA) framework, this review synthesizes how deep-learning (DL)-based methods enable the conversion of crown geometry into reliable biometric parameter extraction (BPE) from high-resolution imagery. This addresses a gap often overlooked in studies focused solely on detection by providing a direct link to forest inventory metrics. Our review showed that instance segmentation dominates (approximately 46% of studies), producing the most accurate pixel-level masks for BPE, while RGB imagery is most common (73%), often integrated with canopy-height models (CHM) to enhance accuracy. New architectural approaches, such as StarDist, outperform Mask R-CNN by 6% in dense canopies. However, performance differs with crown overlap, occlusion, species diversity, and the poor transferability of allometric equations. Future work could prioritize multisensor data fusion, develop end-to-end biomass modeling to minimize allometric dependence, develop open datasets to address model generalizability, and enhance and test models like StarDist for higher accuracy in dense forests. Full article
Show Figures

Figure 1

26 pages, 14692 KB  
Article
Assessment of Premium Citrus Fruit Production Potential Based on Multi-Spectral Remote Sensing with Unmanned Aerial Vehicles
by Guoxue Xie, Wentao Nong, Shaoe Yang, Qiting Huang, Zelin Qin, Saisai Wu, Canda Ma, Yurong Ling, Cunsui Liang and Xinjie He
Remote Sens. 2026, 18(2), 350; https://doi.org/10.3390/rs18020350 - 20 Jan 2026
Viewed by 433
Abstract
Citrus, as a globally important economic crop, requires accurate assessment of premium fruit production potential for precise orchard management and enhanced economic benefits. This study develops a method for assessing the production potential of premium citrus using UAV-based multispectral imagery and ground data. [...] Read more.
Citrus, as a globally important economic crop, requires accurate assessment of premium fruit production potential for precise orchard management and enhanced economic benefits. This study develops a method for assessing the production potential of premium citrus using UAV-based multispectral imagery and ground data. Taking citrus orchards in Wuming District, Guangxi, China, as the experimental area, this study investigates techniques for assessing the production potential of premium fruit at the canopy scale of citrus trees in southern hilly regions, aiming to rapidly predict the quality production potential of citrus before fruit ripening. The methodology involved the following: (1) Segmenting the study area using a Digital Surface Model (DSM) and extracting individual tree canopies by integrating NDVI with a marker-controlled watershed algorithm. Canopy fruit boundaries were identified using the NPCI index. (2) Selecting key assessment indicators—NDVI, TCAVI, REOSAVI, canopy area, and canopy fruit area—through correlation analysis with nutritional quality metrics. (3) Establishing threshold levels for these indicators and constructing a production potential assessment model. Experimental results demonstrated an individual tree identification accuracy (precision) of 98.75%, a recall of 98.47%, and an F-score of 98.61%. Canopy area extraction achieved a coefficient of determination (R2) of 0.869 and a root mean square error (RMSE) of 0.489 m2. The overall accuracy for production potential assessment reached 85.11%. This study provides a new approach for using UAV multispectral technology to non-destructively assess the production potential of premium citrus in the hilly regions of southern China, offering technical support for precise orchard management. Full article
Show Figures

Figure 1

Back to TopTop