Skin Temperature of the North Sea from an Autonomous Surface Vehicle Compared to Remote Sensing Observation
Highlights
- Remote SST has a strong relationship with the in situ SST but consistently showed a cold bias.
- Remote SST aligned better with the near-surface layer than the skin layer.
- Rain-related bias reversals indicate environmental dependencies worth exploring.
- The bulk-like behaviour of satellite SST strengthens its operational value.
Abstract
1. Introduction
2. Material and Methods
2.1. Study Area and Period
2.2. Data
2.3. Data Accuracy
2.4. Match-Up Analysis
3. Results
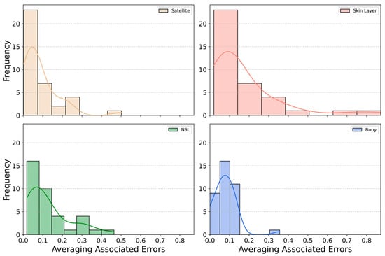
3.1. Data Distribution and Accuracy
3.2. Results of Match-Up Analysis
4. Discussion
5. Conclusions
Author Contributions
Funding
Data Availability Statement
Acknowledgments
Conflicts of Interest
Abbreviations
| ANOVA | Analysis of Variance |
| ASV | Autonomous Surface Vehicle |
| AVHRR | Advanced Very-High-Resolution Radiometer |
| BSH | German Federal Maritime and Hydrographic Agency |
| CI | Confidence Interval |
| CTD | Conductivity, Temperature, and Depth Sensor |
| IQR | Interquartile Range |
| MSG | Meteosat Second Generation |
| NSL | Near-Surface Layer (1 m depth) |
| RMSE | Root-Mean-Square Error |
| RV | Research Vessel |
| SST | Sea Surface Temperature |
| SEVIRI | Spinning Enhanced Visible and Infrared Imager |
| SLSTR | Sea and Land Surface Temperature Radiometer |
| Suomi NPP | National Polar-Orbiting Partnership |
References
- Donlon, C.J.; Minnett, P.J.; Gentemann, C.; Nightingale, T.J.; Barton, I.J.; Ward, B.; Murray, M.J. Toward Improved Validation of Satellite Sea Surface Skin Temperature Measurements for Climate Research. J. Clim. 2002, 15, 353–369. [Google Scholar] [CrossRef]
- Dong, Y.; Bakker, D.C.E.; Bell, T.G.; Huang, B.; Landschützer, P.; Liss, P.S.; Yang, M. Update on the Temperature Corrections of Global Air-Sea CO2 Flux Estimates. Glob. Biogeochem. Cycles 2022, 36, e2022GB007360. [Google Scholar] [CrossRef]
- Fairall, C.W.; Bradley, E.F.; Hare, J.E.; Grachev, A.A.; Edson, J.B. Bulk Parameterization of Air–Sea Fluxes: Updates and Verification for the COARE Algorithm. J. Clim. 2003, 16, 571–591. [Google Scholar] [CrossRef]
- Castro, S.L.; Wick, G.A.; Steele, M. Validation of Satellite Sea Surface Temperature Analyses in the Beaufort Sea Using UpTempO Buoys. Remote Sens. Environ. 2016, 187, 458–475. [Google Scholar] [CrossRef]
- Yu, W.; Ma, M. Scale Mismatch Between In Situ and Remote Sensing Observations of Land Surface Temperature: Implications for the Validation of Remote Sensing LST Products. IEEE Geosci. Remote Sens. Lett. 2014, 12, 497–501. [Google Scholar] [CrossRef]
- Ribas-Ribas, M.; Zappa, C.; Wurl, O. Technologies for Observing the Near Sea Surface. Oceanography 2021, 34, 88–89. [Google Scholar] [CrossRef]
- Wurl, O.; Ekau, W.; Landing, W.M.; Zappa, C.J. Sea Surface Microlayer in a Changing Ocean—A Perspective. Elem. Sci. Anthr. 2017, 5, 31. [Google Scholar] [CrossRef]
- Pearson, K.; Merchant, C.; Embury, O.; Donlon, C. The Role of Advanced Microwave Scanning Radiometer 2 Channels within an Optimal Estimation Scheme for Sea Surface Temperature. Remote Sens. 2018, 10, 90. [Google Scholar] [CrossRef]
- Lee, M.-A.; Chang, Y.; Sakaida, F.; Kawamura, H.; Cheng, C.-H.; Chan, J.-W.; Huang, I. Validation of Satellite-Derived Sea Surface Temperatures for Waters around Taiwan. Terr. Atmos. Ocean. Sci. 2005, 16, 1189. [Google Scholar] [CrossRef]
- Kwak, M.-T.; Seo, G.-H.; Cho, Y.-K.; Kim, B.-G.; You, S.H.; Seo, J.-W. Long-Term Comparison of Satellite and in-Situ Sea Surface Temperatures around the Korean Peninsula. Ocean Sci. J. 2015, 50, 109–117. [Google Scholar] [CrossRef]
- Gomez, A.M.; McDonald, K.C.; Shein, K.; DeVries, S.; Armstrong, R.A.; Hernandez, W.J.; Carlo, M. Comparison of Satellite-Based Sea Surface Temperature to In Situ Observations Surrounding Coral Reefs in La Parguera, Puerto Rico. J. Mar. Sci. Eng. 2020, 8, 453. [Google Scholar] [CrossRef]
- Wu, Y. A Comparative Study of Satellite-Based Operational Analyses and Ship-Based in-Situ Observations of Sea Surface Temperatures over the Eastern Canadian Shelf. Satell. Oceanogr. Meteorol. 2023, 1, 29–38. [Google Scholar] [CrossRef]
- Brewin, R.; Smale, D.; Moore, P.; Dall’Olmo, G.; Miller, P.; Taylor, B.; Smyth, T.; Fishwick, J.; Yang, M. Evaluating Operational AVHRR Sea Surface Temperature Data at the Coastline Using Benthic Temperature Loggers. Remote Sens. 2018, 10, 925. [Google Scholar] [CrossRef]
- Høyer, J.L.; She, J. Optimal Interpolation of Sea Surface Temperature for the North Sea and Baltic Sea. J. Mar. Syst. 2007, 65, 176–189. [Google Scholar] [CrossRef]
- Høyer, J.L.; Le Borgne, P.; Eastwood, S. A Bias Correction Method for Arctic Satellite Sea Surface Temperature Observations. Remote Sens. Environ. 2014, 146, 201–213. [Google Scholar] [CrossRef]
- Thakur, K.K.; Vanderstichel, R.; Barrell, J.; Stryhn, H.; Patanasatienkul, T.; Revie, C.W. Comparison of Remotely-Sensed Sea Surface Temperature and Salinity Products With in Situ Measurements From British Columbia, Canada. Front. Mar. Sci. 2018, 5, 121. [Google Scholar] [CrossRef]
- Li, Z.; Wu, H.; Duan, S.; Zhao, W.; Ren, H.; Liu, X.; Leng, P.; Tang, R.; Ye, X.; Zhu, J.; et al. Satellite Remote Sensing of Global Land Surface Temperature: Definition, Methods, Products, and Applications. Rev. Geophys. 2023, 61, e2022RG000777. [Google Scholar] [CrossRef]
- Wurl, O.; Gassen, L.; Badewien, T.H.; Braun, A.; Emig, S.; Holthusen, L.A.; Lehners, C.; Meyerjürgens, J.; Ribas, M.R. HALOBATES: An Autonomous Surface Vehicle for High-Resolution Mapping of the Sea-Surface Microlayer and near-Surface Layer on Essential Climate Variables. J. Atmos. Ocean. Technol. 2024, 41, 1197–1211. [Google Scholar] [CrossRef]
- Ribas-Ribas, M.; Hamizah Mustaffa, N.I.; Rahlff, J.; Stolle, C.; Wurl, O. Sea Surface Scanner (S3): A Catamaran for High-Resolution Measurements of Biogeochemical Properties of the Sea Surface Microlayer. J. Atmos. Ocean. Technol. 2017, 34, 1433–1448. [Google Scholar] [CrossRef]
- Shinki, M.; Wendeberg, M.; Vagle, S.; Cullen, J.T.; Hore, D.K. Characterization of Adsorbed Microlayer Thickness on an Oceanic Glass Plate Sampler. Limnol. Ocean Methods 2012, 10, 728–735. [Google Scholar] [CrossRef]
- Horrocks, L.A.; Candy, B.; Nightingale, T.J.; Saunders, R.W.; O’Carroll, A.; Harris, A.R. Parameterizations of the Ocean Skin Effect and Implications for Satellite-based Measurement of Sea-surface Temperature. J. Geophys. Res. 2003, 108, 2002JC001503. [Google Scholar] [CrossRef]
- Ayim, S.M.; Bibi, R.; Cortés, E.; Gassen, L.; Jaeger, L.; Lehners, C.; Ribas-Ribas, M.; Wurl, O. High-Resolution Measurements of Essential Climate Variables in the North Sea from the Autonomous Surface Vehicle HALOBATES During RV Heincke Cruise HE626 [Dataset]. PANGAEA. 2025. Available online: https://doi.pangaea.de/10.1594/PANGAEA.972989 (accessed on 25 September 2025).
- Gassen, L.; Ayim, S.M.; Bibi, R.; Cortés, E.; Holthusen, L.A.; Jaeger, L.; Lagemann, M.; Lehners, C.; Ribas-Ribas, M.; Wurl, O. High-Resolution Measurements of Essential Climate Variables in the North Sea from the Autonomous Surface Vehicle HALOBATES During RV Heincke Cruise HE614 2024, 1368766 Data Points. PANGAEA. 2024. Available online: https://doi.pangaea.de/10.1594/PANGAEA.969378 (accessed on 25 September 2025).
- Gassen, L.; Ayim, S.M.; Emig, S.; Goßmann, I.; Holthusen, L.A.; Jaeger, L.; Lagemann, M.; Lehners, C.; Ribas-Ribas, M.; Wurl, O. High-Resolution Measurements of Essential Climate Variables in the North Sea from the Autonomous Surface Vehicle HALOBATES During RV Heincke Cruise HE598 2024, 1019068 Data Points. PANGAEA. 2024. Available online: https://doi.pangaea.de/10.1594/PANGAEA.968799 (accessed on 25 September 2025).
- Gassen, L.; Ayim, S.M.; Emig, S.; Holthusen, L.A.; Jaeger, L.; Lagemann, M.; Lehners, C.; Ribas-Ribas, M.; Wurl, O. High-Resolution Measurements of Essential Climate Variables in the North Sea from the Autonomous Surface Vehicle HALOBATES During RV Heincke Cruise HE609 2025. PANGAEA. 2025. Available online: https://doi.pangaea.de/10.1594/PANGAEA.968800 (accessed on 25 September 2025).
- European Union-Copernicus Marine Service. Baltic Sea—Diurnal Subskin Sea Surface Temperature Analysis. 2022. Available online: https://data.marine.copernicus.eu/product/SST_BAL_PHY_SUBSKIN_L4_NRT_010_034/description (accessed on 28 November 2023).
- Merchant, C.J.; Embury, O.; Bulgin, C.E.; Block, T.; Corlett, G.K.; Fiedler, E.; Good, S.A.; Mittaz, J.; Rayner, N.A.; Berry, D.; et al. Satellite-Based Time-Series of Sea-Surface Temperature since 1981 for Climate Applications. Sci. Data 2019, 6, 223. [Google Scholar] [CrossRef]
- Vinogradova, N.T.; Ponte, R.M. Small-Scale Variability in Sea Surface Salinity and Implications for Satellite-Derived Measurements. J. Atmos. Ocean. Technol. 2013, 30, 2689–2694. [Google Scholar] [CrossRef]
- Jessup, A.T.; Branch, R. Integrated Ocean Skin and Bulk Temperature Measurements Using the Calibrated Infrared In Situ Measurement System (CIRIMS) and Through-Hull Ports. J. Atmos. Ocean. Technol. 2008, 25, 579–597. [Google Scholar] [CrossRef]
- Wurl, O.; Landing, W.M.; Mustaffa, N.I.H.; Ribas-Ribas, M.; Witte, C.R.; Zappa, C.J. The Ocean’s Skin Layer in the Tropics. J. Geophys. Res. Ocean. 2019, 124, 59–74. [Google Scholar] [CrossRef] [PubMed]
- Donlon, C.; Robinson, I.; Casey, K.S.; Vazquez-Cuervo, J.; Armstrong, E.; Arino, O.; Gentemann, C.; May, D.; LeBorgne, P.; Piollé, J.; et al. The Global Ocean Data Assimilation Experiment High-Resolution Sea Surface Temperature Pilot Project. Bull. Am. Meteorol. Soc. 2007, 88, 1197–1214. [Google Scholar] [CrossRef]
- Casey, K.S.; Cornillon, P. A Comparison of Satellite and In Situ–Based Sea Surface Temperature Climatologies. J. Clim. 1999, 12, 1848–1863. [Google Scholar] [CrossRef]
- Minnett, P.J.; Alvera-Azcárate, A.; Chin, T.M.; Corlett, G.K.; Gentemann, C.L.; Karagali, I.; Li, X.; Marsouin, A.; Marullo, S.; Maturi, E.; et al. Half a Century of Satellite Remote Sensing of Sea-Surface Temperature. Remote Sens. Environ. 2019, 233, 111366. [Google Scholar] [CrossRef]
- Wick, G.A.; Bates, J.J.; Scott, D.J. Satellite and Skin-Layer Effects on the Accuracy of Sea Surface Temperature Measurements from the GOES Satellites. J. Atmos. Ocean. Technol. 2002, 19, 1834–1848. [Google Scholar] [CrossRef]
- Smit, A.J.; Roberts, M.; Anderson, R.J.; Dufois, F.; Dudley, S.F.J.; Bornman, T.G.; Olbers, J.; Bolton, J.J. A Coastal Seawater Temperature Dataset for Biogeographical Studies: Large Biases between In Situ and Remotely-Sensed Data Sets around the Coast of South Africa. PLoS ONE 2013, 8, e81944. [Google Scholar] [CrossRef]
- Castillo, K.D.; Lima, F.P. Comparison of in Situ and Satellite-derived (MODIS-Aqua/Terra) Methods for Assessing Temperatures on Coral Reefs. Limnol. Ocean Methods 2010, 8, 107–117. [Google Scholar] [CrossRef]
- Gassen, L.; Ayim, S.M.; Badewien, T.H.; Ribas-Ribas, M.; Wurl, O. Wind Speed Effects on Rainfall-Induced Salinity and Temperature Anomalies at the Sea Surface Microlayer at Mid-Latitudes. Elem. Sci. Anth. 2024, 12, 00004. [Google Scholar] [CrossRef]
- Dash, P.; Ignatov, A.; Martin, M.; Donlon, C.; Brasnett, B.; Reynolds, R.W.; Banzon, V.; Beggs, H.; Cayula, J.-F.; Chao, Y.; et al. Group for High Resolution Sea Surface Temperature (GHRSST) Analysis Fields Inter-Comparisons—Part 2: Near Real Time Web-Based Level 4 SST Quality Monitor (L4-SQUAM). Deep Sea Res. Part II Top. Stud. Oceanogr. 2012, 77–80, 31–43. [Google Scholar] [CrossRef]
- Donlon, C.; Berruti, B.; Buongiorno, A.; Ferreira, M.-H.; Féménias, P.; Frerick, J.; Goryl, P.; Klein, U.; Laur, H.; Mavrocordatos, C.; et al. The Global Monitoring for Environment and Security (GMES) Sentinel-3 Mission. Remote Sens. Environ. 2012, 120, 37–57. [Google Scholar] [CrossRef]
- Kilpatrick, K.A.; Podestá, G.; Walsh, S.; Williams, E.; Halliwell, V.; Szczodrak, M.; Brown, O.B.; Minnett, P.J.; Evans, R. A Decade of Sea Surface Temperature from MODIS. Remote Sens. Environ. 2015, 165, 27–41. [Google Scholar] [CrossRef]











| Platform | RMSE | Mean Bias | Standard Deviation of Mean Bias | R-Squared | Correlation | Slope |
|---|---|---|---|---|---|---|
| Skin layer | 0.75 | −0.44 | 0.60 | 0.98 | 0.98 | 0.97 |
| NSL | 0.66 | −0.40 | 0.52 | 0.99 | 0.98 | 0.98 |
| Buoy | 0.74 | −0.65 | 0.35 | 0.99 | 0.98 | 0.99 |
Disclaimer/Publisher’s Note: The statements, opinions and data contained in all publications are solely those of the individual author(s) and contributor(s) and not of MDPI and/or the editor(s). MDPI and/or the editor(s) disclaim responsibility for any injury to people or property resulting from any ideas, methods, instructions or products referred to in the content. |
© 2025 by the authors. Licensee MDPI, Basel, Switzerland. This article is an open access article distributed under the terms and conditions of the Creative Commons Attribution (CC BY) license (https://creativecommons.org/licenses/by/4.0/).
Share and Cite
Ayim, S.M.; Gassen, L.; Ribas-Ribas, M.; Wurl, O. Skin Temperature of the North Sea from an Autonomous Surface Vehicle Compared to Remote Sensing Observation. Remote Sens. 2025, 17, 4056. https://doi.org/10.3390/rs17244056
Ayim SM, Gassen L, Ribas-Ribas M, Wurl O. Skin Temperature of the North Sea from an Autonomous Surface Vehicle Compared to Remote Sensing Observation. Remote Sensing. 2025; 17(24):4056. https://doi.org/10.3390/rs17244056
Chicago/Turabian StyleAyim, Samuel Mintah, Lisa Gassen, Mariana Ribas-Ribas, and Oliver Wurl. 2025. "Skin Temperature of the North Sea from an Autonomous Surface Vehicle Compared to Remote Sensing Observation" Remote Sensing 17, no. 24: 4056. https://doi.org/10.3390/rs17244056
APA StyleAyim, S. M., Gassen, L., Ribas-Ribas, M., & Wurl, O. (2025). Skin Temperature of the North Sea from an Autonomous Surface Vehicle Compared to Remote Sensing Observation. Remote Sensing, 17(24), 4056. https://doi.org/10.3390/rs17244056

