Five-Year Evaluation of Sentinel-2 Cloud-Free Mosaic Generation Under Varied Cloud Cover Conditions in Hawai’i
Abstract
1. Introduction
2. Materials and Methods
2.1. Study Area
2.2. Availability of Satellite Imagery
2.2.1. Planet Basemap Imagery
2.2.2. CloudScore+ Algorithm on Google Earth Engine
2.2.3. s2cloudless Algorithm on Google Earth Engine
2.2.4. A New Masking Algorithm Based on Deep Learning (L3)
2.3. Experimental Design
2.4. Benchmarking
2.4.1. Visual Inspection
2.4.2. Graphical and Statistical Analysis
3. Results
4. Discussion
5. Conclusions
Author Contributions
Funding
Data Availability Statement
Acknowledgments
Conflicts of Interest
References
- Zou, X.; Yi, Z.; Tao, P.; Cui, Y. Research on Cloud Removal Based on Fusing Multi-Temporal Remote Sensing Images. In Proceedings of the 2022 IEEE 10th Joint International Information Technology and Artificial Intelligence Conference (ITAIC), Chongqing, China, 17–19 June 2022. [Google Scholar] [CrossRef]
- Robinson, T.; Rosser, N.; Walters, R.J. The Spatial and Temporal Influence of Cloud Cover on Satellite-Based Emergency Mapping of Earthquake Disasters. Sci. Rep. 2019, 9, 12455. [Google Scholar] [CrossRef]
- Meyer, S.T.; Koch, C.; Weisser, W.W. Towards a Standardized Rapid Ecosystem Function Assessment (REFA). Trends Ecol. Evol. 2015, 30, 390–397. [Google Scholar] [CrossRef] [PubMed]
- Kustas, W.P.; Norman, J.M. Use of Remote Sensing for Evapotranspiration Monitoring over Land Surfaces. Hydrol. Sci. J. 1996, 41, 495–516. [Google Scholar] [CrossRef]
- Pettorelli, N.; Laurance, W.F.; O’Brien, T.G.; Wegmann, M.; Nagendra, H.; Turner, W. Satellite Remote Sensing for Applied Ecologists: Opportunities and Challenges. J. Appl. Ecol. 2014, 51, 839–848. [Google Scholar] [CrossRef]
- Turner, M.G.; Calder, W.J.; Cumming, G.S.; Hughes, T.P.; Jentsch, A.; LaDeau, S.L.; Lenton, T.M.; Shuman, B.N.; Turetsky, M.R.; Ratajczak, Z. Climate Change, Ecosystems and Abrupt Change: Science Priorities. Philos. Trans. R. Soc. B 2020, 375, 20190105. [Google Scholar] [CrossRef] [PubMed]
- Rossow, W.B.; Garder, L.C. Cloud Detection Using Satellite Measurements of Infrared and Visible Radiances for ISCCP. J. Clim. 1993, 6, 2341–2369. [Google Scholar] [CrossRef]
- Sishodia, R.P.; Ray, R.L.; Singh, S.K. Applications of Remote Sensing in Precision Agriculture: A Review. Remote Sens. 2020, 12, 3136. [Google Scholar] [CrossRef]
- Burgan, R.E. Monitoring Vegetation Greenness with Satellite Data; US Department of Agriculture, Forest Service, Intermountain Research Station: Ogden, UT, USA, 1993; Volume 297. [Google Scholar]
- Cannon, P.; Friday, J.B.; Harrington, T.; Keith, L.; Hughes, M.; Hauff, R.; Hughes, F.; Perroy, R.; Benitez, D.; Roy, K. Rapid ‘Ōhi ‘a Death in Hawai ‘i. In Forest Microbiology; Elsevier: Amsterdam, The Netherlands, 2022; pp. 267–289. [Google Scholar]
- Roy, K.; Granthon, C.; Peck, R.W.; Atkinson, C.T. Effectiveness of Rapid Ohia Death Management Strategies at a Focal Disease Outbreak on Hawaii Island; HCSU Technical Report Series 99; University of Hawai‘i at Manoa: Honolulu, HI, USA, 2021. [Google Scholar]
- Perroy, R.L.; Sullivan, T.; Benitez, D.; Hughes, R.F.; Keith, L.M.; Brill, E.; Kissinger, K.; Duda, D. Spatial Patterns of ‘ōhi ‘a Mortality Associated with Rapid ‘ōhi ‘a Death and Ungulate Presence. Forests 2021, 12, 1035. [Google Scholar] [CrossRef]
- Luiz, B.C.; Giardina, C.P.; Keith, L.M.; Jacobs, D.F.; Sniezko, R.A.; Hughes, M.A.; Friday, J.B.; Cannon, P.; Hauff, R.; Francisco, K. A Framework for Establishing a Rapid ‘Ōhi ‘a Death Resistance Program. New For. 2023, 54, 637–660. [Google Scholar] [CrossRef]
- Perroy, R.L.; Sullivan, T.; Stephenson, N. Assessing the Impacts of Canopy Openness and Flight Parameters on Detecting a Sub-Canopy Tropical Invasive Plant Using a Small Unmanned Aerial System. ISPRS J. Photogramm. Remote Sens. 2017, 125, 174–183. [Google Scholar] [CrossRef]
- Pejchar, L.; Lepczyk, C.A.; Fantle-Lepczyk, J.E.; Hess, S.C.; Johnson, M.T.; Leopold, C.R.; Marchetti, M.; McClure, K.M.; Shiels, A.B. Hawaii as a Microcosm: Advancing the Science and Practice of Managing Introduced and Invasive Species. Bioscience 2020, 70, 184–193. [Google Scholar] [CrossRef]
- Kendall, S.J.; Rounds, R.A.; Camp, R.J.; Genz, A.S.; Cady, T.; Ball, D.L. Forest Bird Populations at the Big Island National Wildlife Refuge Complex, Hawai‘i. J. Fish Wildl. Manag. 2024, 14, 410–432. [Google Scholar] [CrossRef]
- Schörghofer, N.; Leopold, M.; Klasner, F.L. A Third Pond on the Mauna Kea Summit Plateau. Pac. Sci. 2023, 76, 277–287. [Google Scholar] [CrossRef]
- Trauernicht, C. Vegetation—Rainfall Interactions Reveal How Climate Variability and Climate Change Alter Spatial Patterns of Wildland Fire Probability on Big Island, Hawaii. Sci. Total Environ. 2019, 650, 459–469. [Google Scholar] [CrossRef] [PubMed]
- López-Puigdollers, D.; Mateo-García, G.; Gómez-Chova, L. Benchmarking Deep Learning Models for Cloud Detection in Landsat-8 and Sentinel-2 Images. Remote Sens. 2021, 13, 992. [Google Scholar] [CrossRef]
- Han, L.; Wu, T.; Liu, Q.; Liu, Z. A Novel Approach for Cloud Detection in Scenes With Snow/Ice Using High Resolution Sentinel-2 Images. Atmosphere 2019, 10, 44. [Google Scholar] [CrossRef]
- Sánchez, A.; Picoli, M.C.A.; Câmara, G.; Andrade, P.R.; Chaves, M.E.D.; Lechler, S.; Soares, A.R.; Marujo, R.d.F.B.; Simões, R.; Ferreira, K.R.; et al. Comparison of Cloud Cover Detection Algorithms on Sentinel–2 Images of the Amazon Tropical Forest. Remote Sens. 2020, 12, 1284. [Google Scholar] [CrossRef]
- Hagolle, O.; Colin, J.; Coustance, S.; Kettig, P.; d’Angelo, P.; Auer, S.; Doxani, G.; Desjardins, C. Sentinel-2 Surface Reflectance Products Generated by CNES and DLR: Methods, Validation and Applications. ISPRS Ann. Photogramm. Remote Sens. Spat. Inf. Sci. 2021, 51, 9–15. [Google Scholar] [CrossRef]
- Baetens, L.; Desjardins, C.; Hagolle, O. Validation of Copernicus Sentinel-2 Cloud Masks Obtained from MAJA, Sen2Cor, and FMask Processors Using Reference Cloud Masks Generated with a Supervised Active Learning Procedure. Remote Sens. 2019, 11, 433. [Google Scholar] [CrossRef]
- Romero, A.; Gatta, C.; Camps-Valls, G. Unsupervised Deep Feature Extraction for Remote Sensing Image Classification. IEEE Trans. Geosci. Remote Sens. 2015, 54, 1349–1362. [Google Scholar] [CrossRef]
- Mateo-García, G.; Gómez-Chova, L.; Camps-Valls, G. Convolutional Neural Networks for Multispectral Image Cloud Masking. In Proceedings of the 2017 IEEE International Geoscience and Remote Sensing Symposium (IGARSS), Fort Worth, TX, USA, 23–28 July 2017; pp. 2255–2258. [Google Scholar]
- Wu, W.; Gao, X.; Fan, J.; Xia, L.; Luo, J.; Zhou, Y. Improved Mask R-CNN-Based Cloud Masking Method for Remote Sensing Images. Int. J. Remote Sens. 2020, 41, 8910–8933. [Google Scholar] [CrossRef]
- Gong, C.; Long, T.; Yin, R.; Jiao, W.; Wang, G. A Hybrid Algorithm With Swin Transformer and Convolution for Cloud Detection. Remote Sens. 2023, 15, 5264. [Google Scholar] [CrossRef]
- Wu, C.; Chen, X.; Li, X. Mask Transformer: Unpaired Text Style Transfer Based on Masked Language. Appl. Sci. 2020, 10, 6196. [Google Scholar] [CrossRef]
- Dosovitskiy, A. An Image Is Worth 16x16 Words: Transformers for Image Recognition at Scale. arXiv 2020, arXiv:2010.11929. [Google Scholar]
- Stucker, C.; Garnot, V.S.F.; Schindler, K. U-TILISE: A Sequence-to-Sequence Model for Cloud Removal in Optical Satellite Time Series. IEEE Trans. Geosci. Remote Sens. 2023, 61, 1–16. [Google Scholar] [CrossRef]
- Dimyati, M.; Husna, A.; Handayani, P.T.; Annisa, D.N. Cloud Removal on Satellite Imagery Using Blended Model: Case Study Using Quick Look of High-Resolution Image of Indonesia. Telkomnika (Telecommun. Comput. Electron. Control) 2022, 20, 373. [Google Scholar] [CrossRef]
- Zhao, Y.; Wang, G.; Tang, C.; Luo, C.; Zeng, W.; Zha, Z.-J. A Battle of Network Structures: An Empirical Study of Cnn, Transformer, and Mlp. arXiv 2021, arXiv:2108.13002. [Google Scholar]
- Candra, D.S.; Phinn, S.R.; Scarth, P. Automated Cloud and Cloud-Shadow Masking for Landsat 8 Using Multitemporal Images in a Variety of Environments. Remote Sens. 2019, 11, 2060. [Google Scholar] [CrossRef]
- Amani, M.; Ghorbanian, A.; Ahmadi, S.A.; Kakooei, M.; Moghimi, A.; Mirmazloumi, S.M.; Moghaddam, S.H.A.; Mahdavi, S.; Ghahremanloo, M.; Parsian, S. Google Earth Engine Cloud Computing Platform for Remote Sensing Big Data Applications: A Comprehensive Review. IEEE J. Sel. Top. Appl. Earth Obs. Remote Sens. 2020, 13, 5326–5350. [Google Scholar] [CrossRef]
- Gorelick, N.; Hancher, M.; Dixon, M.; Ilyushchenko, S.; Thau, D.; Moore, R. Google Earth Engine: Planetary-Scale Geospatial Analysis for Everyone. Remote Sens. Environ. 2017, 202, 18–27. [Google Scholar] [CrossRef]
- Singh, R.; Biswas, M.; Pal, M. Cloud Detection Using Sentinel 2 Imageries: A Comparison of XGBoost, RF, SVM, and CNN Algorithms. Geocarto Int. 2022, 38, 1–32. [Google Scholar] [CrossRef]
- Pasquarella, V.J.; Brown, C.F.; Czerwinski, W.; Rucklidge, W.J. Comprehensive Quality Assessment of Optical Satellite Imagery Using Weakly Supervised Video Learning. In Proceedings of the IEEE/CVF Conference on Computer Vision and Pattern Recognition, Vancouver, BC, Canada, 17–24 June 2023; pp. 2124–2134. [Google Scholar]
- Kottek, M.; Grieser, J.; Beck, C.; Rudolf, B.; Rubel, F. World Map of the Köppen-Geiger Climate Classification Updated. Meteorol. Z. 2006, 15, 259–263. [Google Scholar] [CrossRef]
- Giambelluca, T.W.; Chen, Q.; Frazier, A.G.; Price, J.P.; Chen, Y.-L.; Chu, P.-S.; Eischeid, J.K.; Delparte, D.M. Online Rainfall Atlas of Hawai ‘i. Bull. Am. Meteorol. Soc. 2013, 94, 313–316. [Google Scholar] [CrossRef]
- Miller, J. Mauna Loa Observatory: A 20th Anniversary Report; US Department of Commerce, National Oceanic and Atmospheric Administration: Silver Spring, MD, USA, 1978. [Google Scholar]
- Phiri, D.; Simwanda, M.; Salekin, S.; Nyirenda, V.R.; Murayama, Y.; Ranagalage, M. Sentinel-2 Data for Land Cover/Use Mapping: A Review. Remote Sens. 2020, 12, 2291. [Google Scholar] [CrossRef]
- Helber, P.; Bischke, B.; Hees, J.; Dengel, A. Towards a Sentinel-2 Based Human Settlement Layer. In Proceedings of the IGARSS 2019—2019 IEEE International Geoscience and Remote Sensing Symposium, Yokohama, Japan, 28 July–2 August 2019; pp. 5936–5939. [Google Scholar]
- Marta, S. Planet Imagery Product Specifications. Planet Labs San Fr. CA USA 2018, 91, 170. [Google Scholar]
- Frazier, A.E.; Hemingway, B.L. A Technical Review of Planet Smallsat Data: Practical Considerations for Processing and Using Planetscope Imagery. Remote Sens. 2021, 13, 3930. [Google Scholar] [CrossRef]
- Pascual, A.; Tupinambá-Simões, F.; Guerra-Hernández, J.; Bravo, F. High-Resolution Planet Satellite Imagery and Multi-Temporal Surveys to Predict Risk of Tree Mortality in Tropical Eucalypt Forestry. J. Environ. Manag. 2022, 310, 114804. [Google Scholar] [CrossRef] [PubMed]
- Nguyen, H.T.T.; Doan, T.M.; Tomppo, E.; McRoberts, R.E. Land Use/Land Cover Mapping Using Multitemporal Sentinel-2 Imagery and Four Classification Methods—A Case Study From Dak Nong, Vietnam. Remote Sens. 2020, 12, 1367. [Google Scholar] [CrossRef]
- Housman, I.W.; Chastain, R.A.; Finco, M. V An Evaluation of Forest Health Insect and Disease Survey Data and Satellite-Based Remote Sensing Forest Change Detection Methods: Case Studies in the United States. Remote Sens. 2018, 10, 1184. [Google Scholar] [CrossRef]
- Chastain, R.; Housman, I.; Goldstein, J.; Finco, M.; Tenneson, K. Empirical Cross Sensor Comparison of Sentinel-2A and 2B MSI, Landsat-8 OLI, and Landsat-7 ETM+ Top of Atmosphere Spectral Characteristics over the Conterminous United States. Remote Sens. Environ. 2019, 221, 274–285. [Google Scholar] [CrossRef]
- Gong, C.; Yin, R.; Long, T.; Jiao, W.; He, G.; Wang, G. Spatial–Temporal Approach and Dataset for Enhancing Cloud Detection in Sentinel-2 Imagery: A Case Study in China. Remote Sens. 2024, 16, 973. [Google Scholar] [CrossRef]
- Liang, K.; Yang, G.; Zuo, Y.; Chen, J.; Sun, W.; Meng, X.; Chen, B. A Novel Method for Cloud and Cloud Shadow Detection Based on the Maximum and Minimum Values of Sentinel-2 Time Series Images. Remote Sens. 2024, 16, 1392. [Google Scholar] [CrossRef]
- Zupanc, A. Improving Cloud Detection with Machine Learning [WWW Document]. Sentin. Hub Blog. 2017. Available online: https://medium.com/sentinel-hub/improvingcloud-detection-with-machine-learning-c09dc5d7cf13 (accessed on 26 October 2021).
- Hagolle, O.; Morin, D.; Kadiri, M. Detailed Processing Model for the Weighted Average Synthesis Processor (WASP) for Sentinel-2 (1.4). 2018. Available online: https://zenodo.org/record/1401360 (accessed on 24 March 2021).
- Baetens, L.; Hagolle, O. Sentinel-2 Reference Cloud Masks Generated by an Active Learning Method. Type: Dataset. 2018. Available online: https://zenodo.org/record/1460961 (accessed on 19 February 2019).
- Lim, B.; Son, S.; Kim, H.; Nah, S.; Mu Lee, K. Enhanced Deep Residual Networks for Single Image Super-Resolution. In Proceedings of the IEEE Conference on Computer Vision and Pattern Recognition Workshops, Honolulu, HI, USA, 21–26 July 2017; pp. 136–144. [Google Scholar]
- Lanaras, C.; Bioucas-Dias, J.; Galliani, S.; Baltsavias, E.; Schindler, K. Super-Resolution of Sentinel-2 Images: Learning a Globally Applicable Deep Neural Network. ISPRS J. Photogramm. Remote Sens. 2018, 146, 305–319. [Google Scholar] [CrossRef]
- Wang, J.; Sun, K.; Cheng, T.; Jiang, B.; Deng, C.; Zhao, Y.; Liu, D.; Mu, Y.; Tan, M.; Wang, X. Deep High-Resolution Representation Learning for Visual Recognition. IEEE Trans. Pattern Anal. Mach. Intell. 2020, 43, 3349–3364. [Google Scholar] [CrossRef] [PubMed]
- Main-Knorn, M.; Pflug, B.; Louis, J.; Debaecker, V.; Müller-Wilm, U.; Gascon, F. Sen2Cor for Sentinel-2. In Proceedings of the Image and Signal Processing for Remote Sensing XXIII, Warsaw, Poland, 11–13 September 2017; Volume 10427, pp. 37–48. [Google Scholar]
- Louis, J.; Debaecker, V.; Pflug, B.; Main-Knorn, M.; Bieniarz, J.; Mueller-Wilm, U.; Cadau, E.; Gascon, F. Sentinel-2 Sen2Cor: L2A Processor for Users. In Proceedings of the Living Planet Symposium 2016, Prague, Czech Republic, 9–13 May 2016; Spacebooks Online. pp. 1–8. [Google Scholar]
- Foga, S.; Scaramuzza, P.L.; Guo, S.; Zhu, Z.; Dilley, R.D., Jr.; Beckmann, T.; Schmidt, G.L.; Dwyer, J.L.; Hughes, M.J.; Laue, B. Cloud Detection Algorithm Comparison and Validation for Operational Landsat Data Products. Remote Sens. Environ. 2017, 194, 379–390. [Google Scholar] [CrossRef]
- Skakun, S.; Wevers, J.; Brockmann, C.; Doxani, G.; Aleksandrov, M.; Batič, M.; Frantz, D.; Gascon, F.; Gómez-Chova, L.; Hagolle, O. Cloud Mask Intercomparison EXercise (CMIX): An Evaluation of Cloud Masking Algorithms for Landsat 8 and Sentinel-2. Remote Sens. Environ. 2022, 274, 112990. [Google Scholar] [CrossRef]
- Aybar, C.; Ysuhuaylas, L.; Loja, J.; Gonzales, K.; Herrera, F.; Bautista, L.; Yali, R.; Flores, A.; Diaz, L.; Cuenca, N.; et al. CloudSEN12, a Global Dataset for Semantic Understanding of Cloud and Cloud Shadow in Sentinel-2. Sci. Data 2022, 9, 782. [Google Scholar] [CrossRef]
- R Core Team. R: A Language and Environment for Statistical Computing; R Core Team: Vienna, Austria, 2010. [Google Scholar]
- McGill, R.; Tukey, J.W.; Larsen, W.A. Variations of Box Plots. Am. Stat. 1978, 32, 12–16. [Google Scholar] [CrossRef]
- Wickham, H.; Stryjewski, L. 40 Years of Boxplots. Technical Report. 2011. Available online: https://vita.had.co.nz/papers/boxplots.html (accessed on 9 January 2024).
- Lenth, R. V Estimated Marginal Means, Aka Least-Squares Means [R Package Emmeans Version 1.6.0]. Compr. R Arch. Netw. (CRAN) 2021, 34, 216–221. [Google Scholar]
- Searle, S.R.; Speed, F.M.; Milliken, G.A. Population Marginal Means in the Linear Model: An Alternative to Least Squares Means. Am. Stat. 1980, 34, 216–221. [Google Scholar] [CrossRef]
- Castillo, E.B.; Cayo, E.Y.T.; Almeida, C.M.d.; López, R.S.; Briceño, N.B.R.; López, J.O.S.; Gurbillón, M.Á.B.; Oliva, M.; Espinoza-Villar, R. Monitoring Wildfires in the Northeastern Peruvian Amazon Using Landsat-8 and Sentinel-2 Imagery in the GEE Platform. ISPRS Int. J. Geoinf. 2020, 9, 564. [Google Scholar] [CrossRef]
- Khanal, N.; Uddin, K.; Matin, M.A.; Tenneson, K. Automatic Detection of Spatiotemporal Urban Expansion Patterns by Fusing OSM and Landsat Data in Kathmandu. Remote Sens. 2019, 11, 2296. [Google Scholar] [CrossRef]
- Amoakoh, A.O.; Aplin, P.; Awuah, K.T.; Delgado-Fernández, I.; Moses, C.; Alonso, C.P.P.; Kankam, S.; Mensah, J.C. Testing the Contribution of Multi-Source Remote Sensing Features for Random Forest Classification of the Greater Amanzule Tropical Peatland. Sensors 2021, 21, 3399. [Google Scholar] [CrossRef] [PubMed]
- Gao, X.; Chi, H.; Huang, J.; Han, Y.; Li, Y.; Ling, F. Comparison of Cloud-Mask Algorithms and Machine-Learning Methods Using Sentinel-2 Imagery for Mapping Paddy Rice in Jianghan Plain. Remote Sens. 2024, 16, 1305. [Google Scholar] [CrossRef]
- Watt, M.S.; Holdaway, A.; Watt, P.; Pearse, G.D.; Palmer, M.E.; Steer, B.S.C.; Camarretta, N.; McLay, E.; Fraser, S. Early Prediction of Regional Red Needle Cast Outbreaks Using Climatic Data Trends and Satellite-Derived Observations. Remote Sens. 2024, 16, 1401. [Google Scholar] [CrossRef]
- Yu, P.; Zhou, T.; Luo, H.; Liu, X.; Shi, P.; Zhang, Y.; Zhang, J.; Zhou, P.; Xu, Y. Global Pattern of Ecosystem Respiration Tendencies and Its Implications on Terrestrial Carbon Sink Potential. Earth’s Future 2022, 10, e2022EF002703. [Google Scholar] [CrossRef]
- Li, S.; Lü, S.; Liu, Y.; Gao, Y.; Ao, Y. Variations and Trends of Terrestrial NPP and Its Relation to Climate Change in the 10 CMIP5 Models. J. Earth Syst. Sci. 2015, 124, 395–403. [Google Scholar] [CrossRef]
- Haara, A.; Kangas, A.; Tuominen, S. Economic Losses Caused by Tree Species Proportions and Site Type Errors in Forest Management Planning. Silva Fenn. 2019, 53, 10089. [Google Scholar] [CrossRef]
- Platnick, S.; King, M.D.; Ackerman, S.A.; Menzel, W.P.; Baum, B.A.; Riédi, J.; Frey, R. The MODIS Cloud Products: Algorithms and Examples From Terra. IEEE Trans. Geosci. Remote Sens. 2003, 41, 459–473. [Google Scholar] [CrossRef]
- Madson, A.; Dimson, M.; Fortini, L.B.; Kawelo, K.; Ticktin, T.; Keir, M.; Dong, C.; Ma, Z.; Beilman, D.W.; Kay, K.; et al. A Near Four-Decade Time Series Shows the Hawaiian Islands Have Been Browning Since the 1980s. Environ. Manag. 2022, 71, 965–980. [Google Scholar] [CrossRef] [PubMed]
- Barton, K.E.; Westerband, A.; Ostertag, R.; Stacy, E.; Winter, K.; Drake, D.R.; Fortini, L.B.; Litton, C.M.; Cordell, S.; Krushelnycky, P.; et al. Hawai‘i Forest Review: Synthesizing the Ecology, Evolution, and Conservation of a Model System. Perspect. Plant Ecol. Evol. Syst. 2021, 52, 125631. [Google Scholar] [CrossRef]
- Vaughn, N.R.; Hughes, R.F.; Asner, G.P. Multi-Scale Remote Sensing-Based Landscape Epidemiology of the Spread of Rapid ‘Ōhiʻa Death in Hawaiʻi. For. Ecol. Manag. 2023, 538, 120983. [Google Scholar] [CrossRef]
- Espinoza-Mendoza, V.E. Factors Influencing the Estimation of Aboveground Biomass (AGB) in Tropical Forests Using RADAR Remote Sensing. PeerJ Prepr. 2018, 6, e26534v1. [Google Scholar] [CrossRef]
- Caiza-Morales, L.; Gómez, C.; Torres, R.; Nicolau, A.P.; Olano, J.M. MANGLEE: A Tool for Mapping and Monitoring MANgrove Ecosystem on Google Earth Engine—A Case Study in Ecuador. J. Geovis. Spat. Anal. 2024, 8, 17. [Google Scholar] [CrossRef]
- Slagter, B.; Reiche, J.; Marcos, D.; Mullissa, A.; Lossou, E.; Peña-Claros, M.; Herold, M. Monitoring Direct Drivers of Small-Scale Tropical Forest Disturbance in near Real-Time with Sentinel-1 and -2 Data. Remote Sens. Environ. 2023, 295, 113655. [Google Scholar] [CrossRef]
- Yin, Z.; Ling, F.; Foody, G.M.; Li, X.; Du, Y. Cloud Detection in Landsat-8 Imagery in Google Earth Engine Based on a Deep Convolutional Neural Network. Remote Sens. Lett. 2020, 11, 1181–1190. [Google Scholar] [CrossRef]
- Hamunyela, E.; Rosca, S.; Mirt, A.; Engle, E.; Herold, M.; Gieseke, F.; Verbesselt, J. Implementation of BFASTmonitor Algorithm on Google Earth Engine to Support Large-Area and Sub-Annual Change Monitoring Using Earth Observation Data. Remote Sens. 2020, 12, 2953. [Google Scholar] [CrossRef]
- Martinez, J.A.C.; Adarme, M.X.O.; Turnes, J.N.; Costa, G.; De Almeida, C.A.; Feitosa, R.Q. A Comparison of Cloud Removal Methods for Deforestation Monitoring in Amazon Rainforest. Int. Arch. Photogramm. Remote Sens. Spat. Inf. Sci. 2022, 43, 665–671. [Google Scholar] [CrossRef]
- Xu, K.; Guan, K.; Peng, J.; Luo, Y.; Wang, S. DeepMask: An Algorithm for Cloud and Cloud Shadow Detection in Optical Satellite Remote Sensing Images Using Deep Residual Network. arXiv 2019, arXiv:1911.03607. [Google Scholar]
- Twumasi, Y.A.; Asare-Ansah, A.B.; Merem, E.C.; Loh, P.M.; Namwamba, J.B.; Ning, Z.; Yeboah, H.B.; Anokye, M.; Armah, R.N.D.; Apraku, C.Y.; et al. Fusion of Landsat 8 OLI and PlanetScope Images for Urban Forest Management in Baton Rouge, Louisiana. J. Geogr. Inf. Syst. 2022, 14, 444–461. [Google Scholar] [CrossRef]
- Sandonís-Pozo, L.; Llorens, J.; Escolà, A.; Arnó, J.; Pascual, M.; Martínez-Casasnovas, J.A. Satellite Multispectral Indices to Estimate Canopy Parameters and Within-Field Management Zones in Super-Intensive Almond Orchards. Precis. Agric. 2022, 23, 2040–2062. [Google Scholar] [CrossRef]
- Warren, S.G.; Eastman, R.; Hahn, C.J. A Survey of Changes in Cloud Cover and Cloud Types Over Land From Surface Observations, 1971–1996. J. Clim. 2007, 20, 717–738. [Google Scholar] [CrossRef]
- Barnes, M.L.; Miura, T.; Giambelluca, T.W. An Assessment of Diurnal and Seasonal Cloud Cover Changes Over the Hawaiian Islands Using Terra and Aqua MODIS*. J. Clim. 2015, 29, 77–90. [Google Scholar] [CrossRef]
- Zhang, C.; Hamilton, K.; Wang, Y. Monitoring and Projecting Snow on Hawaii Island. Earth’s Future 2017, 5, 436–448. [Google Scholar] [CrossRef]
- Ray, D.K.; Manoharan, V.S.; Welch, R.M. Cloud Cover Conditions and Stability of the Western Ghats Montane Wet Forests. J. Geophys. Res. Atmos. 2011, 116, D12104. [Google Scholar] [CrossRef]
- Graham, E.; Mulkey, S.S.; Kitajima, K.; Phillips, N.; Wright, S.J. Cloud Cover Limits Net CO2 Uptake and Growth of a Rainforest Tree During Tropical Rainy Seasons. Proc. Natl. Acad. Sci. USA 2003, 100, 572–576. [Google Scholar] [CrossRef] [PubMed]
- Wang, J.; Wang, Y.; Wang, W.; Shi, L.; Si, H. Transfer-Learning-Based Cloud Detection for Zhuhai-1 Satellite Hyperspectral Imagery. Front. Environ. Sci. 2022, 10, 1039249. [Google Scholar] [CrossRef]
- Park, S. A Dynamic Relationship Between the Leaf Phenology and Rainfall Regimes of Hawaiian Tropical Ecosystems: A Remote Sensing Approach. Singap. J. Trop. Geogr. 2010, 31, 371–383. [Google Scholar] [CrossRef]
- Kpienbaareh, D.; Sun, X.; Wang, J.; Luginaah, I.; Kerr, R.B.; Lupafya, E.; Dakishoni, L. Crop Type and Land Cover Mapping in Northern Malawi Using the Integration of Sentinel-1, Sentinel-2, and PlanetScope Satellite Data. Remote Sens. 2021, 13, 700. [Google Scholar] [CrossRef]
- Hirschmugl, M.; Sobe, C.; Deutscher, J.; Schardt, M. Combined Use of Optical and Synthetic Aperture Radar Data for REDD+ Applications in Malawi. Land 2018, 7, 116. [Google Scholar] [CrossRef]
- Li, L.; Liu, L.; Peng, Y.; Su, Y.; Hu, Y.; Zou, R. Integration of Multimodal Data for Large-Scale Rapid Agricultural Land Evaluation Using Machine Learning and Deep Learning Approaches. Geoderma 2023, 439, 116696. [Google Scholar] [CrossRef]
- Li, J.; Hong, D.; Gao, L.; Yao, J.; Zheng, K.; Zhang, B.; Chanussot, J. Deep Learning in Multimodal Remote Sensing Data Fusion: A Comprehensive Review. Int. J. Appl. Earth Obs. Geoinf. 2022, 112, 102926. [Google Scholar] [CrossRef]











| Factor | Class | “Clear” (Success) | “Cloudy” (Error) | “No Data” (NA) | |||
|---|---|---|---|---|---|---|---|
| Pr (>F) 1 | Value ± SD (%) | Pr (>F) 1 | Value ± SD (%) | Pr (>F) 1 | Value ± SD (%) | ||
| mask | Planet | <3.46 × 10−10 *** | 94.57 ± 19.30 a | <2 × 10−16 *** | 5.43 ± 19.30 b | <2 × 10−16 *** | -- |
| L3 | 79.26 ± 37.25 b | 0.88 ± 6.38 c | 20.24 ± 37.28 a | ||||
| s2cloudless | 80.79 ± 28.31 b | 15.39 ± 22.88 a | 3.83 ± 14.92 c | ||||
| CloudScore+ | 89.42 ± 23.63 a | 0.63 ± 1.93 c | 9.94 ± 23.35 b | ||||
| cloud cover | low | 2 × 10−16 *** | 99.03 ± 4.57 a | <2 × 10−16 *** | 0.65 ± 3.49 c | <2 × 10−16 *** | 0.43 ± 3.49 c |
| moderate | 95.14 ± 16.34 a | 2.72 ± 10.65 bc | 2.86 ± 14.56 c | ||||
| high | 87.01 ± 26.06 b | 6.41 ± 18.23 b | 9.85 ± 24.16 b | ||||
| very high | 62.47 ± 38.97 c | 12.69 ± 23.42 a | 32.55 ± 40.38 a | ||||
| season | dry | 0.0008 * | 82.35 ± 31.58 b | 0.063 | 6.75 ± 17.92 a | 0.009 * | 14.49 ± 30.58 a |
| wet | 88.61 ± 25.96 a | 4.75 ± 15.25 a | 9.09 ± 25.12 b | ||||
| year | 2019 | 0.468 | 85.95 ± 26.99 a | 0.206 | 6.97 ± 17.48 a | 0.654 | 9.43 ± 25.15 a |
| 2020 | 88.72 ± 26.91 a | 3.41 ± 11.33 a | 10.49 ± 27.88 a | ||||
| 2021 | 86.73 ± 27.18 a | 6.00 ± 16.69 a | 10.41 ± 26.33 a | ||||
| 2022 | 85.27 ± 29.56 a | 4.92 ± 15.96 a | 12.38 ± 28.13 a | ||||
| 2023 | 83.40 ± 31.91 a | 6.62 ± 19.52 a | 13.94 ± 30.45 a | ||||
| 2nd Factor | Class | “Clear” (Success) (%) | “Cloudy” (Error) (%) | No Data (%) | |||||||||||||||||||
|---|---|---|---|---|---|---|---|---|---|---|---|---|---|---|---|---|---|---|---|---|---|---|---|
| Planet | CloudScore+ | s2cloudless | L3 | Planet | CloudScore+ | s2cloudless | L3 | CloudScore+ | s2cloudless | L3 | |||||||||||||
| Mean | SD | Mean | SD | Mean | SD | Mean | SD | Mean | SD | Mean | SD | Mean | SD | Mean | SD | Mean | SD | Mean | SD | Mean | SD | ||
| cloud cover | low | 99.52 | 3.74 | 99.22 | 4.95 | 98.03 | 5.68 | 99.37 | 3.55 | 0.48 | 3.74 | 0.13 | 0.81 | 1.97 | 5.68 | 0.00 | 0.00 | 0.65 | 4.91 | 0.00 | 0.00 | 0.63 | 3.55 |
| moderate | 97.62 | 13.77 | 97.53 | 10.88 | 92.23 | 15.23 | 93.18 | 22.75 | 2.38 | 13.77 | 0.35 | 1.46 | 7.72 | 15.11 | 0.42 | 1.65 | 2.12 | 10.51 | 0.05 | 0.39 | 6.40 | 22.61 | |
| high | 98.36 | 8.89 | 90.12 | 21.28 | 79.14 | 29.54 | 80.44 | 33.17 | 3.34 | 8.89 | 0.71 | 1.95 | 18.69 | 27.08 | 2.90 | 12.54 | 9.17 | 20.76 | 2.17 | 10.46 | 18.20 | 33.15 | |
| very high | 82.66 | 32.29 | 70.53 | 33.94 | 53.25 | 30.28 | 43.46 | 45.90 | 15.64 | 32.29 | 1.34 | 2.78 | 33.53 | 23.39 | 0.24 | 0.82 | 28.14 | 34.21 | 13.22 | 26.03 | 56.31 | 46.11 | |
| year | 2019 | 93.42 | 17.84 | 89.83 | 22.72 | 78.21 | 26.87 | 82.38 | 35.47 | 6.58 | 17.84 | 0..35 | 1..18 | 20..29 | 25.51 | 0.65 | 2.07 | 9.81 | 22.51 | 1.50 | 6.17 | 16.98 | 35.46 |
| 2020 | 97.71 | 13.90 | 90.60 | 23.18 | 84.42 | 26.71 | 82.15 | 36.74 | 2.29 | 13.90 | 0.58 | 1.61 | 9.94 | 15.71 | 0.83 | 4.40 | 8.81 | 23.32 | 5.65 | 19.76 | 17.02 | 36.87 | |
| 2021 | 94.37 | 17.16 | 91.74 | 19.86 | 82.37 | 25.73 | 78.43 | 38.44 | 7.80 | 22.06 | 0.72 | 1.87 | 15.33 | 22.05 | 0.17 | 0.77 | 7.54 | 19.58 | 2.30 | 7.04 | 21.39 | 38.46 | |
| 2022 | 92.92 | 24.57 | 87.56 | 26.45 | 82.81 | 27.17 | 77.79 | 37.17 | 5.00 | 20.41 | 0.23 | 0.88 | 13.94 | 22.05 | 0.52 | 2.51 | 12.21 | 25.99 | 3.25 | 12.99 | 21.69 | 37.28 | |
| 2023 | 94.44 | 21.63 | 87.48 | 25.88 | 76.19 | 34.44 | 75.50 | 39.46 | 5.56 | 21.63 | 1.27 | 3.17 | 17.44 | 26.99 | 2.21 | 13.13 | 11.25 | 25.34 | 6.38 | 21.43 | 24.19 | 39.32 | |
| season | dry | 90.72 | 25.34 | 85.62 | 27.58 | 77.12 | 30.94 | 75.95 | 38.84 | 8.27 | 23.62 | 0.60 | 1.74 | 16.47 | 22.00 | 1.68 | 9.37 | 13.79 | 27.38 | 6.40 | 20.25 | 23.29 | 38.98 |
| wet | 97.32 | 12.88 | 92.14 | 20.02 | 83.40 | 26.08 | 81.61 | 36.03 | 3.40 | 15.29 | 0.65 | 2.06 | 14.61 | 23.53 | 0.32 | 2.60 | 7.21 | 19.65 | 1.99 | 9.11 | 18.07 | 36.01 | |
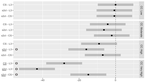
| Cloud Cover | Mask Comparison | Success (“Clear” Pixels) | Error (“Cloudy” Pixels) | ||
|---|---|---|---|---|---|
| Pr (>F) 1 | Value (%) 2 | Pr (>F) 1 | Value (%) 2 | ||
| s2cloudless-Planet | 1.0000 | −1.48 | 0.9999 | 1.48 | |
| low | CloudScore+-Planet | 1.0000 | −0.30 | 1.0000 | −0.35 |
| L3-Planet | 1.0000 | −0.15 | 1.0000 | −0.48 | |
| CloudScore+-s2cloudless | 1.0000 | 1.18 | 0.9999 | −1.83 | |
| L3-s2cloudless | 1.0000 | 1.33 | 0.9999 | −1.97 | |
| L3-CloudScore+ | 0.9997 | 0.15 | 1.0000 | −0.13 | |
| moderate | s2cloudless-Planet | 0.9971 | −5.38 | 0.7596 | 5.33 |
| CloudScore+-Planet | 1.0000 | −0.08 | 0.9999 | −2.03 | |
| L3-Planet | 0.9997 | −4.43 | 0.9999 | −1.97 | |
| CloudScore+-s2cloudless | 0.9975 | 5.30 | 0.2109 | −7.37 | |
| L3-s2cloudless | 1.0000 | 0.95 | 0.2241 | −7.30 | |
| L3-CloudScore+ | 0.9998 | −4.35 | 0.9405 | −4.38 | |
| high | s2cloudless-Planet | 0.0010 *** | −19.22 | 0.0000 *** | 15.36 |
| CloudScore+-Planet | 0.8725 | −8.24 | 0.9998 | −2.63 | |
| L3-Planet | 0.0038 *** | −17.91 | 1.0000 | −0.44 | |
| CloudScore+-s2cloudless | 0.4410 | 10.98 | 0.0000 *** | −17.98 | |
| L3-s2cloudless | 1.0000 | 1.30 | 0.0000 *** | −15.80 | |
| L3-CloudScore+ | 0.6680 | −9.68 | 0.9999 | 2.19 | |
| very high | s2cloudless-Planet | 0.0000 *** | −29.41 | 0.0000 *** | 17.88 |
| CloudScore+-Planet | 0.2653 | −12.14 | 0.0000 *** | −14.30 | |
| L3-Planet | 0.0000 *** | −39.20 | 0.0000 *** | −15.41 | |
| CloudScore+-s2cloudless | 0.0068 *** | 17.27 | 0.0000 *** | −32.19 | |
| L3-s2cloudless | 0.6478 | −9.80 | 0.0000 *** | −33.29 | |
| L3-CloudScore+ | 0.0000 *** | −27.07 | 1.0000 | −1.10 | |
Disclaimer/Publisher’s Note: The statements, opinions and data contained in all publications are solely those of the individual author(s) and contributor(s) and not of MDPI and/or the editor(s). MDPI and/or the editor(s) disclaim responsibility for any injury to people or property resulting from any ideas, methods, instructions or products referred to in the content. |
© 2024 by the authors. Licensee MDPI, Basel, Switzerland. This article is an open access article distributed under the terms and conditions of the Creative Commons Attribution (CC BY) license (https://creativecommons.org/licenses/by/4.0/).
Share and Cite
Rodríguez-Puerta, F.; Perroy, R.L.; Barrera, C.; Price, J.P.; García-Pascual, B. Five-Year Evaluation of Sentinel-2 Cloud-Free Mosaic Generation Under Varied Cloud Cover Conditions in Hawai’i. Remote Sens. 2024, 16, 4791. https://doi.org/10.3390/rs16244791
Rodríguez-Puerta F, Perroy RL, Barrera C, Price JP, García-Pascual B. Five-Year Evaluation of Sentinel-2 Cloud-Free Mosaic Generation Under Varied Cloud Cover Conditions in Hawai’i. Remote Sensing. 2024; 16(24):4791. https://doi.org/10.3390/rs16244791
Chicago/Turabian StyleRodríguez-Puerta, Francisco, Ryan L. Perroy, Carlos Barrera, Jonathan P. Price, and Borja García-Pascual. 2024. "Five-Year Evaluation of Sentinel-2 Cloud-Free Mosaic Generation Under Varied Cloud Cover Conditions in Hawai’i" Remote Sensing 16, no. 24: 4791. https://doi.org/10.3390/rs16244791
APA StyleRodríguez-Puerta, F., Perroy, R. L., Barrera, C., Price, J. P., & García-Pascual, B. (2024). Five-Year Evaluation of Sentinel-2 Cloud-Free Mosaic Generation Under Varied Cloud Cover Conditions in Hawai’i. Remote Sensing, 16(24), 4791. https://doi.org/10.3390/rs16244791

