An Integrated Algorithm Fusing UWB Ranging Positioning and Visual–Inertial Information for Unmanned Vehicles
Abstract
1. Introduction
- (1)
- A sliding window model and nonlinear optimization theory are utilized to establish an objective optimization function. The optimal pose solution is obtained through iterative optimization, thereby forming a positioning system that integrates visual inertia with the ranging of a single base station of UWB.
- (2)
- At present, most combinations merely utilize the ranging information of UWB without considering the angle constraint. In this study, the angle information acquired by combining the antenna array is employed to enhance the constraint of UWB.
- (3)
- Simulated environments and real sheltered space environments are constructed for testing purposes. Experimental design is introduced, encompassing experimental data, experimental schemes, experimental results, and analysis. Through comparative analysis, it is observed that the algorithm proposed in this study exhibits superior performance in relevant indicators.
2. Related Work
3. Method
3.1. Method Overview
3.2. Principle of UWB Single-Base-Station Positioning
3.3. Principle of Visual Inertia Odometer
- (1)
- IMU pre-integral residual term
- (2)
- Visual residual term
3.4. Visual Inertial Odometer and UWB Fusion Positioning Model Based on Factor Map
4. Experiments
4.1. Test and Analysis in Simulation Environment
4.1.1. Simulation Experimental Environment Setup
4.1.2. Performance Metrics
4.1.3. Simulation Experimental Tests and Analysis
4.2. Test and Analysis in Real Environment
4.2.1. Real Experimental Environment Setup
4.2.2. Real Experimental Tests and Analysis
5. Conclusions
Author Contributions
Funding
Data Availability Statement
Conflicts of Interest
References
- Yu, B.G.; Huang, L.; Bao, Y.; Jia, H.; Li, S. Research Status and Trends of Indoor Positioning and Navigation Technology in China. J. Geod. Geoinf. Sci. 2023, 6. [Google Scholar]
- Li, X.; Wang, X.; Liao, J.; Li, X.; Li, S.; Lyu, H. Semi-tightly coupled integration of multi-GNSS PPP and S-VINS for precise positioning in GNSS-challenged environments. Satell. Navig. 2021, 2, 1. [Google Scholar] [CrossRef]
- Liang, X.; Pan, S.; Yu, B.; Li, S.; Du, S. A Pseudo-Satellite Fingerprint Localization Method Based on Discriminative Deep Belief Networks. Remote Sens. 2024, 16, 1430. [Google Scholar] [CrossRef]
- Liang, Y.; Müller, S.; Schwendner, D.; Rolle, D.; Ganesch, D.; Schaffer, I. A scalable framework for robust vehicle state estimation with a fusion of a low-cost IMU, the GNSS, radar, a camera and lidar. In Proceedings of the 2020 IEEE/RSJ International Conference on Intelligent Robots and Systems (IROS), Las Vegas, NV, USA, 24 October 2020–24 January 2021; pp. 1661–1668. [Google Scholar]
- Xu, X.C. Lunar rover positioning and precision analysis for single closed station based on image. Sci. Surv. Mapp. 2015. [Google Scholar]
- Wang, L.; Jiang, Q.; Li, S. Research on Fusion Matching Object Recognition and Location Based on Binocular Image Multi-feature Point Fusion. Radio Eng. 2018, 48, 628–633. [Google Scholar]
- Li, S.; Yu, B.; Jin, Y.; Huang, L.; Zhang, H.; Liang, X. Image-Based Indoor Localization Using Smartphone Camera. Wirel. Commun. Mob. Comput. 2021, 2021, 3279059. [Google Scholar] [CrossRef]
- Liao, J.; Li, X.; Wang, X.; Li, S.; Wang, H. Enhancing navigation performance through visual-inertial odometry in GNSS-degraded environment. Gps Solut. 2021, 25, 50. [Google Scholar] [CrossRef]
- Leutenegger, S.; Lynen, S.; Bosse, M.; Siegwart, R.; Furgale, P. Keyframe-b ased visual–inertial odometry using nonlinear optimization. Int. J. Robot. Res. 2015, 34, 314–334. [Google Scholar] [CrossRef]
- Qin, T.; Li, P.; Shen, S. Vins-mono: A robust and versatile monocular visual-inertial state estimator. IEEE Trans. Robot. 2018, 34, 1004–1020. [Google Scholar] [CrossRef]
- Ren, G.; Cao, Z.; Liu, X.; Tan, M.; Yu, J. Plj-slam: Monocular visual slam with points, lines, and junctions of coplanar lines. IEEE Sens. J. 2022, 22, 15465–15476. [Google Scholar] [CrossRef]
- Cao, S.; Lu, X.; Shen, S. GVINS: Tightly coupled GNSS-visual-inertial fusion for smooth and consistent state estimation. IEEE Trans. Robot. 2022, 38, 2004–2021. [Google Scholar] [CrossRef]
- Guo, Y.; Vouch, O.; Zocca, S.; Minetto, A.; Dovis, F. Enhanced EKF-based time calibration for GNSS/UWB tight integration. IEEE Sens. J. 2022, 23, 552–566. [Google Scholar] [CrossRef]
- Shan, T.; Englot, B.; Ratti, C.; Rus, D. Lvi-sam: Tightly-coupled lidar-visual-inertial odometry via smoothing and mapping. In Proceedings of the 2021 IEEE International Conference on Robotics and Automation (ICRA), Xi’an, China, 30 May–5 June 2021; pp. 5692–5698. [Google Scholar]
- Qin, T.; Cao, S.; Pan, J.; Shen, S. A general optimization-based framework for global pose estimation with multiple sensors. arXiv 2019, arXiv:1901.03642. [Google Scholar]
- Hausman, K.; Weiss, S.; Brockers, R.; Matthies, L.; Sukhatme, G.S. Self-calibrating multi-sensor fusion with probabilistic measurement validation for seamless sensor switching on a UAV. In Proceedings of the 2016 IEEE International Conference on Robotics and Automation (ICRA), Stockholm, Sweden, 16–21 May 2016; pp. 4289–4296. [Google Scholar]
- Nyqvist, H.E.; Skoglund, M.A.; Hendeby, G.; Gustafsson, F. Pose estimation using monocular vision and inertial sensors aided with ultra wide band. In Proceedings of the 2015 International Conference on Indoor Positioning and Indoor Navigation (IPIN), Banff, AB, Canada, 13–16 October 2015; pp. 1–10. [Google Scholar]
- Xu, X.; Liu, X.; Zhao, B.; Yang, B. An extensible positioning system for locating mobile robots in unfamiliar environments. Sensors 2019, 19, 4025. [Google Scholar] [CrossRef]
- Yang, B.; Li, J.; Zhang, H. Uvip: Robust uwb aided visual-inertial positioning system for complex indoor environments. In Proceedings of the 2021 IEEE International Conference on Robotics and Automation (ICRA), Xi’an, China, 30 May–5 June 2021; pp. 5454–5460. [Google Scholar]
- Shen, B.; Zhang, Z.; Shu, S. UWB-VIO integrated indoor positioning algorithm for mobile robots. J. Comput. Appl. 2022, 42, 3924. [Google Scholar]
- Yang, B.; Li, J.; Zhang, H. Resilient indoor localization system based on UWB and visual–inertial sensors for complex environments. IEEE Trans. Instrum. Meas. 2021, 70, 8504014. [Google Scholar] [CrossRef]
- Cao, Y.; Beltrame, G. VIR-SLAM: Visual, inertial, and ranging SLAM for single and multi-robot systems. Auton. Robot. 2021, 45, 905–917. [Google Scholar] [CrossRef]
- Jung, K.; Shin, S.; Myung, H. U-VIO: Tightly coupled UWB visual inertial odometry for robust localization. In Proceedings of the International Conference on Robot Intelligence Technology and Applications, Daejeon, South Korea, 16–17 December 2021; pp. 272–283. [Google Scholar]
- Gao, B.; Lian, B.; Wang, D.; Tang, C. Low drift visual inertial odometry with UWB aided for indoor localization. IET Commun. 2022, 16, 1083–1093. [Google Scholar] [CrossRef]
- Fan, Q.; Sun, B.; Sun, Y.; Zhuang, X. Performance enhancement of MEMS-based INS/UWB integration for indoor navigation applications. IEEE Sens. J. 2017, 17, 3116–3130. [Google Scholar] [CrossRef]
- Zhong, Y.; Liu, T.; Li, B.; Yang, L.; Lou, L. Integration of UWB and IMU for precise and continuous indoor positioning. In Proceedings of the 2018 Ubiquitous Positioning, Indoor Navigation and Location-Based Services (UPINLBS), Wuhan, China, 22–23 March 2018; pp. 1–5. [Google Scholar]
- Wang, C.; Zhang, H.; Nguyen, T.M.; Xie, L. Ultra-wideband aided fast localization and mapping system. In Proceedings of the 2017 IEEE/RSJ International Conference on Intelligent Robots and Systems (IROS), Vancouver, BC, Canada, 24–28 September 2017; pp. 1602–1609. [Google Scholar]
- Liu, F.; Zhang, J.; Wang, J.; Han, H.; Yang, D. An UWB/vision fusion scheme for determining pedestrians’ indoor location. Sensors 2020, 20, 1139. [Google Scholar] [CrossRef]
- Taponecco, L.; D‘Amico, A.A.; Mengali, U. Joint TOA and AOA estimation for UWB localization applications. IEEE Trans. Wirel. Commun. 2011, 10, 2207–2217. [Google Scholar] [CrossRef]
- Nguyen, T.M.; Nguyen, T.H.; Cao, M.; Qiu, Z.; Xie, L. Integrated uwb-vision approach for autonomous docking of uavs in gps-denied environments. In Proceedings of the 2019 International Conference on Robotics and Automation (ICRA), Montreal, QC, Canada, 20–24 May 2019; pp. 9603–9609. [Google Scholar]
- Xu, H.; Wang, L.; Zhang, Y.; Qiu, K.; Shen, S. Decentralized visual-inertial-UWB fusion for relative state estimation of aerial swarm. In Proceedings of the 2020 IEEE International Conference on Robotics and Automation (ICRA), Paris, France, 31 May–31 August 2020; pp. 8776–8782. [Google Scholar]
- Li, S.; Yu, B.G.; Yi, Q.W.; Du, S.T.; Li, Y.F.; Yang, Z.H. A lunar rover location method based on the fusion of multi-source ranging and visual inertia. Space Electron. Technol. 2024, 21, 1–6. [Google Scholar]














| Author | Algorithm | Information Source Type | Positioning Error (m) |
|---|---|---|---|
| Nyqvist, H. E. et al. [17] | EKF | IMU, Vision, UWB | 0.2 |
| Xu, X. et al. [18] | MCKF | IMU, UWB | 0.4 |
| Yang, B. et al. [19] | UVIP | IMU, Vision, UWB | 0.15 |
| Shen, B. et al. [20] | ES-EKF | IMU, Vision, UWB | 0.3 |
| Yang, B. et al. [21] | R-UVIS | IMU, Vision, UWB | 0.13 |
| Cao, Y. et al. [22] | VIR-SLAM | IMU, Vision, UWB | 0.15 |
| Juan, K. et al. [23] | U-VIO | IMU, Vision, UWB | 0.2 |
| Gao, B. et al. [24] | PL-VIO/UWB | IMU, Vision, UWB | 0.12 |
| Fan, Q. et al. [25] | DSAKF | IMU, UWB | 0.18 |
| Wang, C. et al. [27] | graph optimization | IMU, vision, UWB | 0.11 |
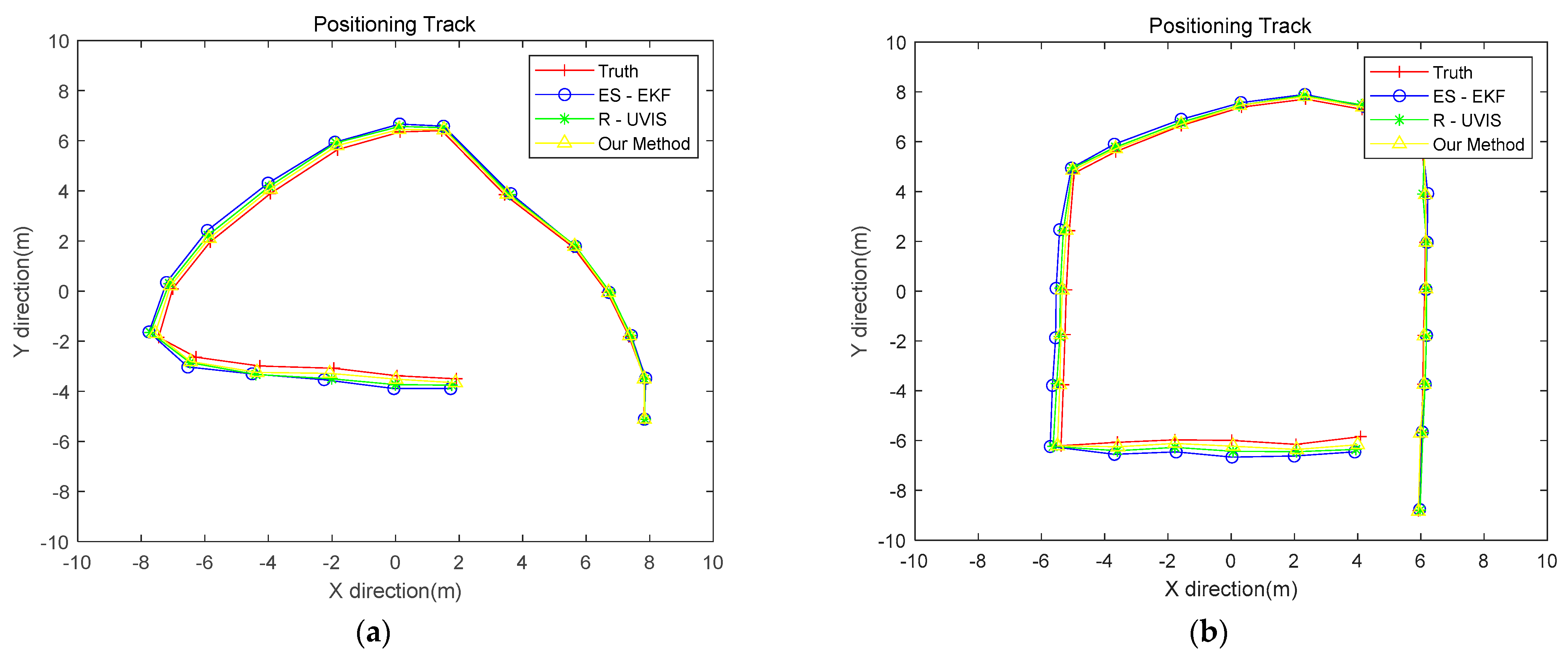
| Experiment | Algorithm | Maximum (m) | Mean (m) | Median (m) | Root Mean Square Error (m) |
|---|---|---|---|---|---|
| Simulation scene | ES-EKF | 7.32 | 3.08 | 2.96 | 3.54 |
| R-UVIS | 5.19 | 1.83 | 1.45 | 2.20 | |
| Our Method | 2.68 | 1.10 | 1.08 | 1.25 |
| Device Model | Performance | Parameter Value |
|---|---|---|
| MYNTEYE | frequency | 30 FPS |
| resolution | 752 × 480 | |
| field of view Angle | D:146° H:122° V:76° | |
| BMI088 IMU | frequency | 200 Hz |
| axis | 6 axis | |
| UWB | radio frequency | 6~9 GHz |
| number of antenna array | 5 | |
| static positioning accuracy | 10 cm | |
| dynamic positioning accuracy | 30 cm | |
| angular estimation accuracy | 3° |
| Experiment | Algorithm | Maximum (m) | Mean (m) | Median (m) | Root Mean Square Error (m) |
|---|---|---|---|---|---|
| Indoor scene test I | ES-EKF | 0.55 | 0.29 | 0.32 | 0.34 |
| R-UVIS | 0.42 | 0.22 | 0.25 | 0.25 | |
| Our Method | 0.27 | 0.13 | 0.14 | 0.15 | |
| Indoor scene test II | ES-EKF | 0.67 | 0.26 | 0.23 | 0.32 |
| R-UVIS | 0.53 | 0.19 | 0.18 | 0.22 | |
| Our Method | 0.33 | 0.11 | 0.09 | 0.13 |
Disclaimer/Publisher’s Note: The statements, opinions and data contained in all publications are solely those of the individual author(s) and contributor(s) and not of MDPI and/or the editor(s). MDPI and/or the editor(s) disclaim responsibility for any injury to people or property resulting from any ideas, methods, instructions or products referred to in the content. |
© 2024 by the authors. Licensee MDPI, Basel, Switzerland. This article is an open access article distributed under the terms and conditions of the Creative Commons Attribution (CC BY) license (https://creativecommons.org/licenses/by/4.0/).
Share and Cite
Li, S.; Wang, L.; Yu, B.; Liang, X.; Du, S.; Li, Y.; Yang, Z. An Integrated Algorithm Fusing UWB Ranging Positioning and Visual–Inertial Information for Unmanned Vehicles. Remote Sens. 2024, 16, 4530. https://doi.org/10.3390/rs16234530
Li S, Wang L, Yu B, Liang X, Du S, Li Y, Yang Z. An Integrated Algorithm Fusing UWB Ranging Positioning and Visual–Inertial Information for Unmanned Vehicles. Remote Sensing. 2024; 16(23):4530. https://doi.org/10.3390/rs16234530
Chicago/Turabian StyleLi, Shuang, Lihui Wang, Baoguo Yu, Xiaohu Liang, Shitong Du, Yifan Li, and Zihan Yang. 2024. "An Integrated Algorithm Fusing UWB Ranging Positioning and Visual–Inertial Information for Unmanned Vehicles" Remote Sensing 16, no. 23: 4530. https://doi.org/10.3390/rs16234530
APA StyleLi, S., Wang, L., Yu, B., Liang, X., Du, S., Li, Y., & Yang, Z. (2024). An Integrated Algorithm Fusing UWB Ranging Positioning and Visual–Inertial Information for Unmanned Vehicles. Remote Sensing, 16(23), 4530. https://doi.org/10.3390/rs16234530

