Abstract
Empirical tropospheric models can improve the performance of GNSS precise point positioning (PPP) by providing a priori zenith tropospheric delay (ZTD) information. However, existing models experience insufficient ZTD profile refinement, inadequate correction for systematic bias between the ZTD used in empirical modelling and the GNSS ZTD, and low time efficiency in model updating as more data become available. Therefore, a refined spatiotemporal empirical ZTD model was developed in this study on the basis of the fifth generation of European Centre for Medium-Range Weather Forecasts Reanalysis (ERA5) data and GNSS data. First, an ENM-R profile model was established by refining the modelling height of the negative exponential function model (ENM). Second, a regression kriging interpolation method was designed to model the systematic bias correction between the ERA5 ZTD and the GNSS ZTD. Last, the final refined ZTD model, ENM-RS, was established by introducing systematic bias correction into ENM-R. Experiments suggest that, compared with the ENM-R and GPT3 models, ENM-RS can effectively suppress systematic bias and improve ZTD modelling accuracy by 10~17%. To improve model update efficiency, the idea of updating an empirical model with sequential least square (SLSQ) adjustment is proposed for the first time. When ENM-RS is modelled via 12 years of ERA data, our method can reduce the time consumption to one-fifth of that of the traditional method. The benefits of our ENM-RS model are evaluated with PPP. The results show that relative to PPP solutions with ENM-R- and GPT3-derived ZTD constraints as well as no constraint, the ENM-RS ZTD constraint can decrease PPP convergence time by approximately 10~30%.
1. Introduction
Precise point positioning (PPP) is a high-accuracy positioning technique that can achieve centimetre- or even millimetre-level accuracy in stand-alone mode and has been widely used in geodetic applications [1,2]. With improvements in the accuracy of GNSS satellite orbits and clocks, as well as the availability of uncalibrated phase delay products, the performance of PPP has improved over the last 20 years. However, the convergence time remains a limiting factor in advancing real-time PPP applications [3]. One of the main errors limiting the convergence time of real-time PPP is atmospheric delay errors. The tropospheric delay generated by nondispersive media is frequency independent and cannot be eliminated as an ionospheric delay through an ionosphere-free (IF) combination, which is usually estimated and expressed as a zenith tropospheric delay (ZTD) parameter with a mapping function in PPP processing. Accurate a priori ZTD information has been extensively shown to enhance PPP performance, including by decreasing the convergence time and improving the positioning accuracy [4].
Initially, traditional methods for obtaining tropospheric delays rely on measured meteorological data or reanalysis products, such as the Saastamoinen model [5], the Hopfied model [6], and the Black model [7]. Although these approaches can provide an a priori ZTD, their applications are limited because of the time-delayed nature of reanalysis products and the lack of measured meteorological data, such as pressure, temperature, and humidity measurements. As a result, a few studies have focused on developing empirical models to provide external meteorological data or ZTD. These models can provide meteorological information without limitation of measured or reanalysis data, and thus is convenient for standard positioning users. Leandro et al. [8,9] developed a latitude-dependent model, referred to as the University of New Brunswick (UNB) model, by empirically fitting meteorological parameters with the assumption of north–south symmetry. Boehm et al. [10,11] built global pressure and temperature (GPT) series models by providing the empirical values of meteorological parameters in terms of grid points. Similar models include the global slant tropospheric delay simplified (GSTDS) model based on the nonlinear hypothesis [12], the TropGrid model established with nine years of 3-dimensional weather fields [13] and the P-voxel model constructed by dividing grid data into different height levels [14]. However, for PPP applications, the empirical model still requires refinement to fully account for the spatiotemporal features of ZTD [15] and to attenuate the impact of unreasonable assumptions, e.g., the assumption of north–south symmetry of UNB [16].
To refine the empirical model, researchers have made many attempts to construct ZTD vertical models and extend them in the horizontal direction. The vertical variation in the ZTD is usually fitted with a negative exponential function, which can achieve overall high accuracy but experiences large errors at low altitudes [17,18]. In ref. [19], an improved vertical profile model was developed via a five-segment negative exponential segmentation function. On the basis of [19,20] finely considered the periodic variation of elevation correction coefficients and developed a global segmented ZTD correction model (GGZTD_P). By comprehensively considering the number of estimated parameters and fitting accuracy, the authors in [15] proposed using cubic polynomials to fit the ZTD below 12 km and then established a global high-accuracy ZTD empirical model. In ref. [21], the authors used a nonfunctional fitting method that considered corrections for the dry and wet parts of the ZTD and improved the ZTD accuracy in regions with large height differences. The variation characteristics of the ZTD in the horizontal direction are usually expressed as a function of latitude, longitude, and the ZTD value of the reference height. The representative empirical models include the GZTD model using the spherical harmonic function [22], the IGGTrop series of models based on 3D grids [23,24,25], the GGZTD model [26], which introduces a sliding window adjustment, and the refined GGZTD model GGZTD-S [15].
Although the use of ZTD empirical models can improve PPP performance to a certain extent [26], models with higher accuracy are still urgently needed. In [18], an ENM model was proposed to fit the ZTD profile below 50 km in the Chinese region; however, a negative exponential function model (ENM) may not properly characterise ZTD low altitude changes. On the basis of sliding windows, the GGZTD-S model was built in [15] by correcting the systematic bias between the ERA5 ZTD and the GNSS ZTD. However, this method is limited by the size of the window, which results in insufficient correction of systematic bias. In addition, researchers tend to use data from a specific period in ZTD modelling and focus little on how to update the model efficiently, resulting in time-consuming model updates when new data become available. Therefore, additional research is needed to address the above issues.
In this study, we conducted a detailed analysis of the spatiotemporal variation in the ZTD in China on the basis of long-term ERA5 reanalysis data. A highly reliable Chinese empirical ZTD model was subsequently established that accounts for the ZTD profile refinement as well as the systematic biases between the ERA-ZTD data and the GNSS-ZTD data. In addition, for the first time, a sequential solution for ZTD empirical modelling, which can quickly update and refine historical parameter estimation information with the latest measurement data, was proposed. The advantages of our refined ZTD model over the Chinese empirical ZTD model are subsequently systematically demonstrated via accuracy evaluation and PPP application. Our key conclusions are presented at the end of this study.
2. Data and Accuracy Indicator
2.1. Data Collection
The study area covers a region in China from 15°N to 55°N and from 70°E to 135°E. The ERA5 reanalysis products provided by the European Centre for Medium-Range Weather Forecasts (ECMWF) and GNSS observation data collected from the Crustal Movement Observation Network of China (CMONOC) are used for empirical ZTD modelling in the Chinese region. ERA5 is an hourly reanalysis product assimilated with multisource data that provides global weather and climate parameters, with up to 0.25° × 0.25° horizontal resolution and 37 isobaric layers in the vertical direction. ZTD can be integrated with ERA5 data and then used for meteorological analysis and ZTD empirical modelling [27]. Considering the computational efficiency and accuracy, first, the 1° × 1° ERA5 grid products from 2011 to 2022 were used for analysing the spatiotemporal characteristics of ZTD in the Chinese region. Second, a refined ERA-ZTD profile model was established.
GPS observations for approximately 250 continuously operating CMONOC stations from 2017 to 2022 were utilised to investigate and model the systematic biases between ERA-ZTD and GNSS-ZTD. The distribution of selected CMONOC stations is shown in Figure 1.
Figure 1.
Distribution of CMONOC stations.
All the CMONOC stations are processed via PPP with raw observations to retrieve the ZTD via the open-source software GROOPS (https://github.com/groops-devs/groops, accessed on 24 June 2024), which was developed and used by TUG (an IGS analysis centre) and adopts up-to-date models to support high-accuracy GNSS data processing [28]. The key PPP strategies are summarised in Table 1.
Table 1.
Strategy for GNSS ZTD retrieval.
2.2. Accuracy Indicator
To assess the performance of the methods developed in this paper accurately, the root mean square error () and mean bias () are used for the assessment and are shown below:
where is the reference ZTD at the GNSS station, is the corresponding predicted value, and represents the total number of samples.
3. ZTD Analysis of the Chinese Region
Knowledge of ZTD spatiotemporal variation characteristics is a fundamental prerequisite for the accurate construction of ZTD models. In this section, the spatiotemporal variation patterns of the ZTD in the Chinese region are analysed via ERA products from 2011 to 2022. We separated the periodic terms of the ZTD via the Fourier series according to Equation (2) and computed the annual mean (Mean), annual amplitude, semiannual amplitude, and daily amplitude of the ZTD, as shown in Figure 2. The mean values indicate that China’s ZTD ranges from 2.2 to 2.5 m, with overall statistics being greater in the southern region than in the northern region, which is the result of regional monsoons and wet rainy summers and dry but rainy winters [15,18]. The annual amplitude statistical distribution reveals that the ERA-ZTD of southern China had significant annual variations of 10 to 20 cm but a smaller semiannual amplitude. The northern part of China has smaller annual variations than the southern part, but has a prominent semiannual amplitude of 2 to 7 cm. In addition, a diurnal variation of 0.5 to 2 cm was observed in the Western China ERA-ZTD, which is consistent with the results of reference [29]. In summary, the ZTD in China has obvious regional characteristics, and the diurnal variation pattern in the western region is remarkable. In subsequent empirical ZTD modelling, the diurnal variation and spatial characteristics of the ZTD in China are carefully considered.
Figure 2.
Spatiotemporal characteristics of the ERA-derived ZTD data in the Chinese region from 2012 to 2022. Top left: mean value of the ZTD; top right: annual ZTD amplitude; bottom left: semiannual ZTD amplitude; bottom right: diurnal ZTD amplitude.
4. Refined Spatiotemporal ZTD Model
4.1. Spatiotemporal Model of the Ztd Profile
ZTD profile models are commonly used to characterise the spatiotemporal variation in the troposphere in the vertical direction to mitigate the effect of height differences on interpolation to the target point [30]. In [18], the authors proposed an ENM model by fitting the whole-layer ZTD data provided by ERA5. However, the stratified ERA5-ZTD data became sparser with increasing height, resulting in a loss of accuracy in the profile model. Considering the vertical variations in the ZTD (Figure 2) and topography (Figure 1) of the Chinese region, we adjusted the modelling height of the previous ENM (50 km) to 9 km to cover the surface of the Chinese region and established an improved model, the ENM-R. The vertical fitting function of the ENM-R is expressed as follows:
where and are the ZTD and height of the reference point (in this study, = 0), respectively; and denote the ZTD and height of the target point, respectively; and is the fitting coefficient. On the basis of the spatiotemporal variation characteristic analysis of the regional ZTD in China presented above (Figure 2), the temporal models of and are fitted via Fourier series considering the annual, semiannual, and diurnal variations:
In (2), is the coefficient to be fitted (e.g., and ), is the annual mean value, and represent the annual variation coefficients, and denote the semiannual variation coefficients, and are diurnal variation coefficients, is the day of year, and is the hour of day.
The Fourier coefficients of ENM-R are stored as grids of the same size as the ERA5 data used in this contribution. When the location and time are known, the ZTDs of the four nearest grid points around the target point can be obtained according to Equations (1) and (2), and then the ZTD of the target point can be obtained via bilinear interpolation.
4.2. ZTD Systematic Bias Model Based on Regression Kriging
- Previous studies have shown that systematic biases exist between the ground surface GNSS ZTD and the ERA ZTD, and such systematic biases () can be effectively modelled and further corrected to . Then, the corrected can be expressed as
In [15], the authors demonstrated that the ZTD systematic bias has a certain periodicity and constructed a spatiotemporal model using a sliding window of size . However, this method is limited by the size of the sliding window and the distribution of GNSS stations. In extreme cases, when no GNSS station is present within the sliding window, system bias correction is not possible. To solve this problem, this study designs a method to model the systematic bias that is built directly on grid points. The method consists of three steps:
- The GNSS-ZTD time series and ERA grid point maps of the study area were collected.
- A regression kriging interpolation method was used to fit and interpolate the GNSS-ZTD data to the height of for each grid.
- The bias time series between ERA-ZTD and GNSS-ZTD at each grid was fitted with Equation (2), and was obtained; then, was calculated via Equation (3) for each grid.
The key to this method is to obtain the GNSS-ZTD interpolation map. Previous ZTD interpolation methods require prior calibration of the parameters to obtain the optimal solution. For example, inverse distance weighting requires prior calibration of the search range, which can affect model scalability. Therefore, we establish a regression kriging model based on the spatial features of the ZTD. The relationships among the interpolation ZTD of the positions of the target points , the GNSS ZTD () of the known stations and the locations of the GNSS stations are expressed as follows:
In (4), is the regression function that describes the relationship between the ZTD and the GNSS station position, is the regression parameter to be estimated in relation to the ZTD and the locations of the target points, and reflects the ZTD correlation between the GNSS station position and the target points, which controls the influence of the spatial relationships among points during interpolation.
The functional forms of and can be determined according to the spatial features of the ZTD. Studies have shown that there is a certain linear relationship between the ZTD and latitude [8,31], and the relationship between the ZTD and height can be described via Equation (1). On the basis of the above characteristics, is designed via Equation (5) to describe the spatial variation in the ZTD. Since China’s ZTD varies continuously within certain regions according to Figure 2, the spherical function shown in Equation (6) is suitable for establishing to characterise regionalism [31]:
In the above equations, is the negative exponential coefficient, which can be obtained from ENM-R; is the coordinate difference between GNSS stations; and is the coefficient value of the correlation function. The only parameters that need to be confirmed are and . can be computed via a searching method that is based on the posterior variance during the iteration process [32,33], whereas is determined iteratively via least squares adjustment:
where is the matrix of correlation coefficients established by the coordinate differences between GNSS station positions via Equation (6). Once and are determined, the GNSS-ZTD at the ERA grid can be calculated according to Equation (4), and then the empirical model can be further established.
4.3. Parameter Update Model
In general, the empirical ZTD performance is dependent on the duration and timeliness of the input data. The established ZTD empirical model can theoretically be updated and improved by further introducing new reanalysis data and GNSS measurements. Previous studies often used a dataset covering a certain period to construct the ZTD empirical model in batch processing mode, but did not address this practical requirement [15,31]. Integrating all available datasets in batch processing to reconstruct the ZTD model would be very time-consuming. In this study, an easy-to-extend model updating method is adopted to refine the tropospheric model continuously via sequential least squares:
where and are the Fourier coefficients (shown in Equation (2)) of the old model and the updated model, respectively. After each model update process, the values of each grid parameter and the cofactor matrix are saved. When new data are introduced, and can be determined via the design matrix , and the weight matrices , and can be determined via Equation (9); then, the model coefficients are updated via Equation (8).
Under the refined empirical ZTD model, the parameters to be updated are the Fourier coefficients and the ENM-R profile factor .
5. Results and Analysis
In this section, the advantages of our empirical ZTD model are systematically evaluated. First, the performances of the proposed ZTD profile model (ENM-R) and systematic bias-corrected model (ENM-RS) are investigated. Second, the time consumption and ZTD modelling accuracy comparison between the developed model updating approach and the traditional batch processing mode are conducted. Last, the real-world effectiveness of our ENM-RS model in PPP applications is assessed.
5.1. Validation of the Profile Model
Recently, representative ZTD profile models, such as the ENM model developed by [18] and the cubic profile model (CPM) proposed by [15], have exhibited high accuracy in fitting ZTD in the Chinese region and at low altitudes (below 12 km). To present the advantages of our ENM-R model, first, the CPM, ENM, and ENM-R models were built using the ERA5 ZTD from 2011 to 2022. Second, the ZTD prediction MAE and RMSE of the above three models were subsequently calculated via the ERA5 ZTD data from 2023 as a reference.
Table 2 shows the maximum, minimum and overall ZTD modelling errors (MAEs and RMSEs) of the grids for CPM, ENM and ENM-R. The overall MAE and RMSE of the ENM with a 50 km modelling height are 1.70 cm and 2.19 cm, respectively. When we switched to our ENM-R model with a 9 km modelling altitude, the ZTD error MAE and RMSE decreased to 1.17 cm and 1.56 cm, respectively, with 31% and 28% reductions, respectively, relative to those of the ENM model. Compared with the CPM, our ENM-R model can reduce the overall ZTD error MAE and RMSE by 27% and 64%, respectively.
Table 2.
ZTD modelling error, MAE and RMSE statistics for CPM, ENM and ENM-R (units: cm).
Figure 3 displays the ZTD modelling MAE and RMSE distributions for CPM, ENM and ENM-R. Our proposed ENM-R model has the best performance in most of China, with the ZTD RMSE and MAE stabilizing within 2 cm. Compared with that of the CPM, the accuracy of the ENM-R significantly improves in eastern China, and the ZTD modelling performance is not obviously improved or slightly degrades only in the western part of China near the Kunlun Mountains and the Himalayas. In contrast, relative to the ENM, the ENM-R significantly improves the ZTD modelling accuracy in Western China but not in southeastern China. Overall, ENM-R overcomes the shortcomings of the regional accuracy degradation of the CPM and ENM, and its performance is stable in terms of geographical distribution compared with that of the CPM and ENM.
Figure 3.
Spatial distributions of the MAEs and RMSEs of the profile models. (Top) results of CPM; (Centre) results of ENM; and (Bottom) results of ENM-R.
In summary, our ENM-R model can greatly improve the overall and regional accuracy compared with those of the ENM and CPM models, demonstrating the superiority of the ENM-R in modelling within the Chinese region.
5.2. Validation of the Systematic Bias Model
In this section, biases between the GNSS ZTD and ENM-R ZTD from 2017 to 2022 are modelled and further corrected to the ENM-R to construct the ENM-RS model. To assess the performance of the ENM-RS model in narrowing the differences between the empirical ZTD prediction and GNSS-ZTD estimates, the hourly GNSS-ZTD data retrieved from CMONOC stations in 2023 are selected as a benchmark to evaluate the ZTD prediction improvement of the ENM-RS model compared with that of the ENM-R model and that of the widely used GPT3 model [34]. The statistical results are presented in Figure 4, Figure 5, Figure 6 and Figure 7 and Table 3.
Figure 4.
Error distribution of GPT3 (green), ENM−R (blue) and ENM−RS (light red).
Figure 5.
Compared with ENM-R, the RMSE improved the ratio of ENM-RS for each station.
Figure 6.
RMSE improvement ratio of ENM-RS compared with GPT3 for each station.
Figure 7.
Comparison of the RMSE and performance improvement ratio at different height levels.
Table 3.
Stations’ maximum, minimum, and overall ZTD error (RMSE and MAE) for ENM-R, ENM-RS, and GPT3.
From the error distribution shown in Figure 4, the modelling errors of the EMN-R, ENM-RS, and GPT3 ZTDs relative to the GNSS solutions range from approximately −0.1 to 0.1 m and conform to a normal distribution. The mean errors of ENM-R and GPT3 are 1 cm and −1 cm, respectively. This finding clearly indicates that there is a systematic bias between the ENM-R/GPT3 ZTD predictions and GNSS-ZTD. After switching to ENM-RS, the differences decreased to 0 cm, proving that ENM-RS can effectively suppress the systematic bias. Moreover, the results in Table 3 show that the application of the ENM-RS model also helped to reduce the maximum and minimum MAEs and RMSEs of the ENM-R. In addition, ENM-RS also reduces the overall MAEs and RMSEs of ENM-R by 0.31 cm and 0.43 cm, respectively, with improvements of 10.4% and 11.2%, respectively. Compared to the results of GPT3 shown in Table 3, ENM-RS can improve all the statistical metrics, especially for its significantly lower maximum RMSE. As a result, ENM-RS reduces the ZTD errors MAE and RMSE of GPT3 by approximately 0.36 cm (11.9%) and 0.70 cm (17.0%), respectively. These statistics show that ENM-RS can effectively reduce the differences between the empirical ZTD prediction and the GNSS-driven ZTD estimates and improve the ZTD modelling accuracy relative to the ENM-R and GPT3 models.
To depict the advantage of the spatial geographical distribution of ENM-RS, the improvement ratio of ENM-RS compared with that of ENM-R and GPT3 for each station is determined, and the corresponding spatial distributions are plotted in Figure 5 and Figure 6. The results in Figure 6 indicate that, compared with ENM-R, the ENM-RS model reduces the RMSE of the ZTD estimation error for 213 out of 236 stations, accounting for approximately 90.3%. The most significant reformation occurs mainly in the central-eastern and northeastern parts of China, while the improvement in the southeastern regions is not prominent, and the ZTD modelling accuracy decreases in the northwestern area. There may be two explanations for the decreased accuracy. First, the terrain undulates sharply among GNSS stations in northwestern China (Figure 1), and there is abundant water vapour along the southeastern coast [17,19], making it difficult for the ENM-RS to capture the exact variation pattern of the systematic bias between the ERA-derived ZTD and the GNSS-derived ZTD. Second, in the process of constructing the ENM-RS, the use of only ERA5 data to characterise the ZTD distribution and construct the spatiotemporal model may not be able to fully represent the GNSS ZTD distribution, which could introduce errors in the empirical model. The terrain undulates sharply for GNSS stations in northwestern China (Figure 1) and there is abundant water vapour along the southeastern coast [18,21], making it difficult for the ENM-RS to capture the exact variation pattern of the systematic bias between the ERA-derived ZTD and the GNSS-derived ZTD. Figure 6 shows that, compared with the GPT3 model, our ENM-RS model improves the ZTD modelling accuracy of 200 out of 236 stations, accounting for approximately 84.7%. In addition, the improvement ratio decreases from west to east, which implies that the effectiveness of ENM-RS is slightly insufficient in eastern China, with noticeable ZTD variations.
As previously mentioned, the modelling performance of empirical ZTD models is correlated with station height. To further present the performance characteristics of ENM-RS ZTD modelling with height, the overall RMSE and ratio of the stations with improved RMSEs at different heights are compared with those of GPT3 and ENM-R, as shown in Figure 7. The results show that our ENM-RS model has the highest ZTD modelling accuracy for station heights less than 2 km, with more than 80% of the RMSE-improved stations relative to those of the ENM-R and GPT models (for stations below 500 m, the ratio of GPT3 is approximately 70%). In the plateau area with elevations greater than 2 km, the percentages of RMSE-improved stations reach 98.2% and 81.5% compared with those of ENM-R and GPT3, respectively. Notably, the advantage of the accuracy for ENM-R and ENM-RS is more significant than that of GPT3 with increasing altitude and peaks at altitudes of 500~1000 m, which indicates that the accuracy of the correction of GPT3 in the height direction is not sufficient. In conclusion, ENM-RS can effectively reduce the systematic bias between the GNSS ZTD and the ERA ZTD, and the improvement in performance relative to that of ERA-R and GPT3 decreases when the station height exceeds 2 km.
5.3. Analysis of Parameter Updates
To evaluate the benefits of parameter sequential updating on the empirical models, six models were built via least squares adjustment (LSQ) and the month-wise parameter sequential updating (SLSQ) method:
- The ENM-RS1 model was built with the 2011~2012 ERA-ZTD dataset and the 2017~2022 GNSS-ZTD dataset.
- The ENM-RS2 model was built with the 2011~2014 ERA-ZTD dataset and the 2017~2022 GNSS-ZTD dataset.
- The ENM-RS3 model was built with the 2011~2016 ERA-ZTD dataset and the 2017~2022 GNSS-ZTD dataset.
- The ENM-RS4 model was built with the 2011~2018 ERA-ZTD dataset and the 2017~2022 GNSS-ZTD dataset.
- The ENM-RS5 model was built with the 2011~2020 ERA-ZTD dataset and the 2017~2022 GNSS-ZTD dataset.
- The ENM-RS6 model was built with the 2011~2022 ERA-ZTD dataset and the 2017~2022 GNSS-ZTD dataset.
The RMSE and time consumption of the LSQ and SLSQ methods for establishing these six models were calculated, and the results are shown in Figure 8 and Table 4. The accuracy of ZTD modelling via the LSQ and SLSQ parameter updating methods is consistent, indicating that the ZTD empirical model is not sensitive to the ERA5 data. Compared with the traditional SLQ method, the sequential SLSQ parameter updating method significantly improves the ZTD modelling efficiency with increasing data length. Using SLSQ, the time consumption for constructing the ENM-RS2, ENM-RS3, ENM-RS4, ENM-RS5, and ENM-RS6 models was 216 min, 216 min, 204 min, 196 min, and 200 min, which decreases by 28.9%, 60.0%, 72.9%, 78.4%, and 81.5%, respectively, relative to that of LSQ. Therefore, the sequential updating of modelling parameters (SLSQ) allows for the rapid integration of new data and the iteration of previously established empirical models, and it is a better choice for updating models.
Figure 8.
Time consumption of LSQ and the month-wise parameter update SLSQ method.
Table 4.
RMSEs for different models when LSQ and SLSQ (unit: cm) are used.
5.4. Analysis of ENM-RS in PPP Enhancement
The ZTDs generated from the model are usually used for PPP enhancements. Therefore, this section investigates the real-world effectiveness of the ENM-RS model in PPP to demonstrate its practical value in application. We conducted four experiments:
- Constrained PPP with ENM-RS ZTD;
- Constrained PPP with ENM-R ZTD;
- Constrained PPP with GPT3 ZTD;
- PPP with no ZTD constraint (NoConstraint).
For this validation, GNSS observations collected on DOY (day of year) 001~007, 061~067, 121~127, 181~187, and 241~247 for 2023 from 236 CMONOC stations were processed, and the strategies used for PPP are shown in Table 5. Constraint functions of ZWD residuals are built for PPP enhancement:
where is the ZTD residual to be estimated, is the ZTD predicted via a mathematical method, represents the ZTD a priori values, and represents the accuracy of the external ZTD products, which is an hourly value that is determined by performing leave-one-out cross-validation among all GNSS stations [35]. The convergence times in the horizontal directions (east and north) and vertical directions (up) for all the stations are used as indices to evaluate the different ZTD solution performances. Note that the convergence time is defined as the time when the position error is less than 0.2 m and lasts for at least 10 min [36]. The results are shown in Figure 9 and Figure 10, and Table 6.
Table 5.
Models and strategies for PPP validation.
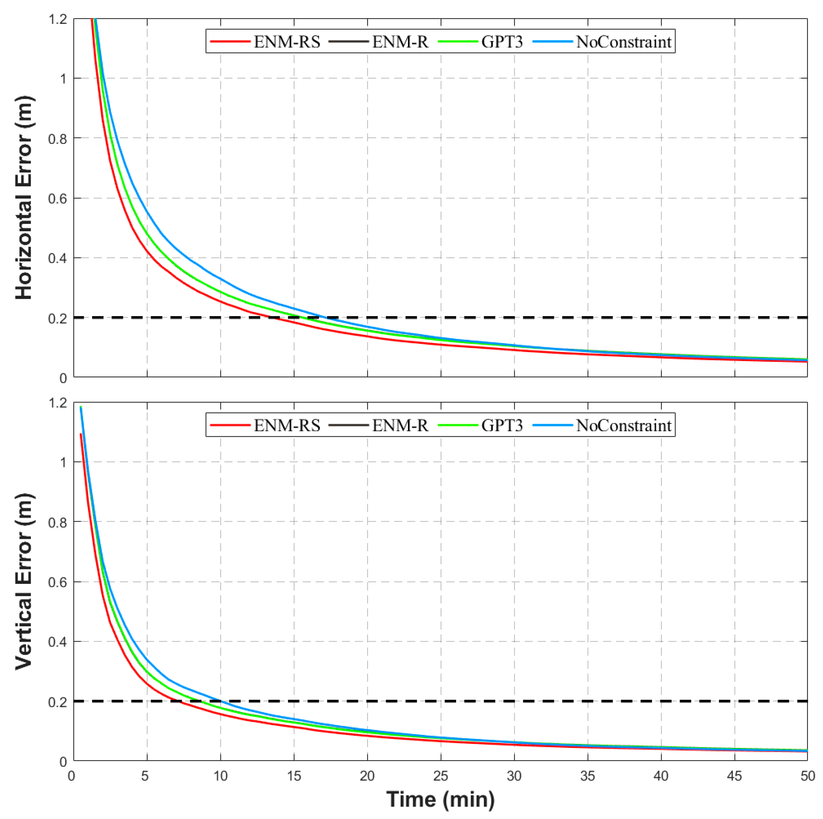
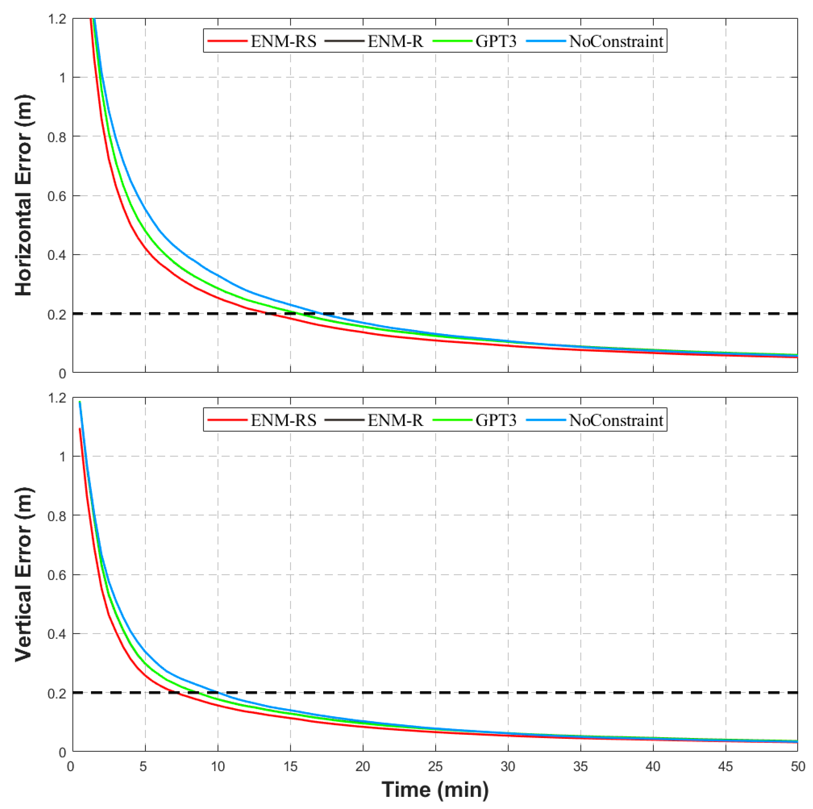
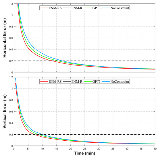
Figure 9.
Convergence time reduction in ENM-RS at stations compared with ENM-R (top plots), GPT3 (centre plots), and NoConstraint modes (bottom plots).
Figure 10.
Average convergence time for all stations under the ENM-RS, ENM-R, GPT3, and NoConstraint modes.
Table 6.
Convergence time for positioning errors less than 0.2 m (unit: minute).
Figure 9 shows the distribution of the convergence time reduction of the ENM-RS at each station relative to the ENM-R, GPT3 and NoConstraint modes. ENM-RS can effectively reduce most of the station PPP convergence time. Compared with the ENM-R, GPT3 and NoConstraint modes, the ENM-RS mode improved the PPP convergence speed in the horizontal orientation by 185, 184, and 183 stations, representing 78.3%, 78.0%, and 77.5%, respectively, of the total 236 stations. In the vertical direction, ENM-RS decreased the convergence time to 175, 175, and 178 sites, accounting for 74.1%, 74.1%, and 75.4%, respectively. Figure 9 shows that the better performance of ENM-RS is concentrated in Central China and Western China. In a few eastern coastal and high-altitude areas, the application of ENM-RS does not significantly improve the convergence performance of PPP, and even the convergence time of some stations further increases.
To comprehensively reveal the advantages of ENM-RS in decreasing PPP convergence, Table 6 and Figure 10 present the average PPP convergence times of all stations for the ENM-R, GPT3, NoConstraint and ENM-RS solutions. The convergence time of the ENM-RS mode is significantly less than that of the other three modes. In the horizontal direction, the average convergence time of ENM-RS reaches 14 min, which is 2 min, 2 min, and 3 min less than that of the ENM-R, GPT3 and NoConstraint modes, with improvements of 12.5%, 12.5%, and 17.6%, respectively. In the vertical direction, the convergence time of ENM-RS was only 7.5 min, which is 1.5 min, 1.5 min, and 3 min less than those of the other three modes, with increases of 16.7%, 16.7%, and 28.6%, respectively. The above results show that our model can reduce the PPP convergence time to some extent and can be applied in future PPP enhancements.
6. Conclusions
To improve the performance of the current empirical model in profile fitting, systematic bias correction, and parameter updating processing, an ENM-RS model for China is established on the basis of 12 years of ERA5 data and 6 years of GNSS data. First, the ZTD characteristics across China are analysed on the basis of 12 years of ERA5 ZTD data. Second, ENM-RS is established according to the ZTD features, which includes the ZTD profile model and system bias correction. The ENM-R model was developed for ZTD profile fitting by adjusting the modelling height to 9 km. The results show that the accuracy of ENM-R can stabilise within 2 cm in the Chinese region, and its overall MAE and RMSE can reach 1.17 and 1.56, respectively, which are better than those of the ENM and CPM. To address the issue of inadequate systematic bias correction between ZTD models and the GNSS ZTD, a regression kriging method is designed to directly model the systematic bias between the GNSS ZTD and ENM-R at a grid point. Second, ENM-RS is built by introducing a systematic bias model to ENM-R. This method overcomes the limitation of the sliding window in systematic bias correction due to the fixed window size but is not limited by the determination of the initial model parameters. Experimental analysis revealed that ENM-RS can suppress systematic differences across the modelling region, with overall RMSE and MAE values of 2.67 cm and 3.41 cm, respectively, representing improvements of 11.9%, 17.0%, 10.4%, and 11.2%, respectively, with respect to those of GPT3 and ENM-R. To improve the efficiency of model updating, the idea of using sequential ideas to update model parameters is proposed for the first time. When modelling is conducted with 12 years of ERA data, the proposed sequential method is only one-fifth as time-consuming as the traditional method is, confirming the efficiency of the sequential approach. Although the model updating results show little improvement, updating models with multisource data may be promising in the future.
Last, the effect of ENM-RS on PPP convergence performance is validated via 2023 GNSS data. The statistical results demonstrate that using ENM-RS to constrain the PPP effectively reduces the convergence time in the horizontal and vertical directions. Compared with PPP solutions with ENM-R and GPT3-derived ZTD constraints as well as no constraints, ENM-RS PPP has a 10%~30% improvement in convergence speed, which demonstrates the usefulness of the ENM-RS model in real-time PPP. Since ENM-RS does not rely on preset parameters in the interpolation method and can be extended and updated with new data, it is also practical for the rapid ZTD modelling of fused multisource data in future work.
Author Contributions
Conceptualization: Y.F. and F.X.; methodology: F.X. and N.J.; software: Y.F. and N.J.; validation: Y.F. and Z.S.; formal analysis: Y.F.; investigation: Y.F.; resources: F.X.; data curation: F.X.; writing—original draft preparation: Y.F.; writing—review and editing: F.X.; visualization: Z.S.; supervision: F.X. and N.J.; project administration: F.X.; and funding acquisition: F.X. All authors have read and agreed to the published version of the manuscript.
Funding
This research was funded by the National Nature Science Foundation of China (No. 12303071), the Shanghai Science and Technology Plan Project (No. 23YF1455500), the China Postdoctoral Science Foundation (No. 2023M743653) and the Ministry of Industry and Information Technology of China through the High Precision Timing Service Project (No. TC220A04A-80).
Data Availability Statement
The original contributions presented in this study are included in the article. Further inquiries can be directed to the corresponding author.
Acknowledgments
We thank IGS/WHU for providing products and TUG (Graz University of Technology) for providing the open-source GNSS software (GROOPS: https://github.com/groops-devs/groops, accessed on 24 June 2024) used in our analysis.
Conflicts of Interest
The authors declare no conflict of interest.
References
- Zumberge, J.F.; Heflin, M.B.; Jefferson, D.C.; Watkins, M.M.; Webb, F.H. Precise point positioning for the efficient and robust analysis of GPS data from large networks. J. Geophys. Res. Solid Earth 1997, 102, 5005–5017. [Google Scholar] [CrossRef]
- Zhou, F.; Cao, X.; Ge, Y.; Li, W. Assessment of the positioning performance and tropospheric delay retrieval with precise point positioning using products from different analysis centers. GPS Solut. 2019, 24, 12. [Google Scholar] [CrossRef]
- Shi, J.; Xu, C.; Guo, J.; Gao, Y. Local troposphere augmentation for real-time precise point positioning. Earth Planets Space 2014, 66, 30. [Google Scholar] [CrossRef]
- Xiong, C.; Yu, L.; Zhao, L. Analysis on the Impacts of Slant Tropospheric Delays on Precise Point Positioning. Appl. Sci. 2019, 9, 4884. [Google Scholar] [CrossRef]
- Saastamoinen, J.J. Contributions to the theory of atmospheric refraction. Bull. Géod. 1972, 105, 279–298. [Google Scholar] [CrossRef]
- Hopfield, H.S. Two-quartic tropospheric refractivity profile for correcting satellite data. J. Geophys. Res. 1969, 74, 4487–4499. [Google Scholar] [CrossRef]
- Black, H.D. An easily implemented algorithm for the tropospheric range correction. J. Geophys. Res. Solid Earth 1978, 83, 1825–1828. [Google Scholar] [CrossRef]
- Leandro, R.; Santos, M.; Langley, R. UNB neutral atmosphere models: Development and performance. In Proceedings of the 2006 National Technical Meeting of the Institute of Navigation, Monterey, CA, USA, 18–20 January 2006; pp. 564–573. [Google Scholar]
- Leandro, R.F.; Langley, R.B.; Santos, M.C. UNB3m_pack: A neutral atmosphere delay package for radiometric space techniques. GPS Solut. 2007, 12, 65–70. [Google Scholar] [CrossRef]
- Boehm, J.; Heinkelmann, R.; Schuh, H. Short Note: A global model of pressure and temperature for geodetic applications. J. Geod. 2007, 81, 679–683. [Google Scholar] [CrossRef]
- Böhm, J.; Möller, G.; Schindelegger, M.; Pain, G.; Weber, R. Development of an improved empirical model for slant delays in the troposphere (GPT2w). GPS Solut. 2015, 19, 433–441. [Google Scholar] [CrossRef]
- Sun, J.; Wu, Z.; Yin, Z.; Ma, B. A simplified GNSS tropospheric delay model based on the nonlinear hypothesis. GPS Solut. 2017, 21, 1735–1745. [Google Scholar] [CrossRef]
- Schüler, T. The TropGrid2 standard tropospheric correction model. GPS Solut. 2014, 18, 123–131. [Google Scholar] [CrossRef]
- Sun, P.; Zhang, K.; Wu, S.; Wang, R.; Zhu, D.; Li, L. An investigation of a voxel-based atmospheric pressure and temperature model. GPS Solut. 2023, 27, 56. [Google Scholar] [CrossRef]
- Li, H.; Zhu, G.; Kang, Q.; Huang, L.; Wang, H. A global zenith tropospheric delay model with ERA5 and GNSS-based ZTD difference correction. GPS Solut. 2023, 27, 154. [Google Scholar] [CrossRef]
- Mao, J.; Wang, Q.; Liang, Y.; Cui, T. A new simplified zenith tropospheric delay model for real-time GNSS applications. GPS Solut. 2021, 25, 43. [Google Scholar] [CrossRef]
- Dousa, J.; Elias, M. An improved model for calculating tropospheric wet delay. Geophys. Res. Lett. 2014, 41, 4389–4397. [Google Scholar] [CrossRef]
- Xia, P.; Tong, M.; Ye, S.; Qian, J.; Hu, F. Establishing a high-precision real-time ZTD model of China with GPS and ERA5 historical data and its application in PPP. GPS Solut. 2022, 27, 2. [Google Scholar] [CrossRef]
- Zhu, G.; Huang, L.; Yang, Y.; Li, J.; Zhou, L.; Liu, L. Refining the ERA5-based global model for vertical adjustment of zenith tropospheric delay. Satell. Navig. 2022, 3, 27. [Google Scholar] [CrossRef]
- Huang, L.; Lan, S.; Zhu, G.; Chen, F.; Li, J.; Liu, L. A global grid model for the estimation of zenith tropospheric delay considering the variations at different altitudes. Geosci. Model Dev. Discuss. 2023, 16, 7223–7235. [Google Scholar] [CrossRef]
- Zhao, Q.; Wang, W.; Li, Z.; Du, Z.; Yang, P.; Yao, W.; Yao, Y. A high-precision ZTD interpolation method considering large area and height differences. GPS Solut. 2023, 28, 4. [Google Scholar] [CrossRef]
- Yao, Y.; He, C.; Zhang, B.; Xu, C. A new global zenith tropospheric delay model GZTD. Chin. J. Geophys. 2013, 56, 2218–2227. [Google Scholar] [CrossRef]
- Li, W.; Yuan, Y.; Ou, J.; Chai, Y.; Li, Z.; Liou, Y.-A.; Wang, N. New versions of the BDS/GNSS zenith tropospheric delay model IGGtrop. J. Geod. 2014, 89, 73–80. [Google Scholar] [CrossRef]
- Li, W.; Yuan, Y.; Ou, J.; He, Y. IGGtrop_SH and IGGtrop_rH: Two Improved Empirical Tropospheric Delay Models Based on Vertical Reduction Functions. IEEE Trans. Geosci. Remote Sens. 2018, 56, 5276–5288. [Google Scholar] [CrossRef]
- Li, W.; Yuan, Y.; Ou, J.; Li, H.; Li, Z. A new global zenith tropospheric delay model IGGtrop for GNSS applications. Chin. Sci. Bull. 2012, 57, 2132–2139. [Google Scholar] [CrossRef]
- Huang, L.; Chen, H.; Liu, L.; Jiang, W. A new high-precision global model for calculating zenith tropospheric delay. Chin. J. Geophys. 2021, 64, 782–795. [Google Scholar] [CrossRef]
- Hersbach, H.; Bell, B.; Berrisford, P.; Hirahara, S.; Horányi, A.; Muñoz-Sabater, J.; Nicolas, J.; Peubey, C.; Radu, R.; Schepers, D.; et al. The ERA5 global reanalysis. Q. J. R. Meteorol. Soc. 2020, 146, 1999–2049. [Google Scholar] [CrossRef]
- Strasser, S.; Mayer-Gürr, T.; Zehentner, N. Processing of GNSS constellations and ground station networks using the raw observation approach. J. Geod. 2018, 93, 1045–1057. [Google Scholar] [CrossRef]
- Yao, Y.; Hu, Y.; Zhang, B. Establishment of a global zenith tropospheric delay model using multi-source data. Chin. Sci. Bull. 2016, 61, 2730–2741. (In Chinese) [Google Scholar]
- Du, Z.; Zhao, Q.; Yao, Y.; Zhu, H. Real-time tropospheric delay map retrieval using sparse GNSS stations. GPS Solut. 2023, 28, 12. [Google Scholar] [CrossRef]
- Huang, L.; Zhu, G.; Peng, H.; Liu, L.; Ren, C.; Jiang, W. An improved global grid model for calibrating zenith tropospheric delay for GNSS applications. GPS Solut. 2022, 27, 17. [Google Scholar] [CrossRef]
- Bilonick, R.A. An Introduction to Applied Geostatistics; Taylor & Francis: Abingdon, UK, 1991. [Google Scholar]
- Müller, W.G. Optimum Design of Experiments for Random Fields. In Collecting Spatial Data; Springer: Berlin/Heidelberg, Germany, 2001; Volume XII, p. 242. [Google Scholar]
- Landskron, D.; Bohm, J. VMF3/GPT3: Refined discrete and empirical troposphere mapping functions. J. Geod. 2017, 92, 349–360. [Google Scholar] [CrossRef] [PubMed]
- Challener, R.C.; Welbanks, L.; McGill, P. Bringing 2D eclipse mapping out of the shadows with leave-one-out cross validation. Astron. J. 2023, 166, 251. [Google Scholar] [CrossRef]
- Sha, Z.; Hu, F.; Wei, P.; Ye, S.; Zhu, Y. A method for calculating real-time ZTD grid data in Chinese regions based on GNSS ZTD modified ERA5 grid products. J. Atmos. Sol.-Terr. Phys. 2024, 255, 106174. [Google Scholar] [CrossRef]
- Geng, J.; Wen, Q.; Chen, G.; Dumitraschkewitz, P.; Zhang, Q. All-frequency IGS phase clock/bias product combination to improve PPP ambiguity resolution. J. Geod. 2024, 98, 48. [Google Scholar] [CrossRef]
- Carrère, L.; Lyard, F.; Cancet, M.; Guillot, A.; Picot, N. FES 2014, a new tidal model—Validation results and perspectives for improvements. In Proceedings of the ESA Living Planet Symposium, Prague, Czech Republic, 9–13 May 2016; European Space Agency: Paris, France, 2016; pp. 9–13. [Google Scholar]
- Gérard, P.; Luzum, B. IERS Technical Note No. 36; Verlag des Bundesamts für Kartographie und Geodäsie: Frankfurt am Main, Germany, 2010; 179p, ISBN 3-89888-989-6. [Google Scholar]
Disclaimer/Publisher’s Note: The statements, opinions and data contained in all publications are solely those of the individual author(s) and contributor(s) and not of MDPI and/or the editor(s). MDPI and/or the editor(s) disclaim responsibility for any injury to people or property resulting from any ideas, methods, instructions or products referred to in the content. |
© 2024 by the authors. Licensee MDPI, Basel, Switzerland. This article is an open access article distributed under the terms and conditions of the Creative Commons Attribution (CC BY) license (https://creativecommons.org/licenses/by/4.0/).









