Hyperspectral Data for Early Identification and Classification of Potassium Deficiency in Soybean Plants (Glycine max (L.) Merrill)
Abstract
1. Introduction
2. Materials and Methods
2.1. Study Area
2.2. Spectral Data Acquisition

2.3. Spectral Data Preprocessing
2.4. Statistical Analysis
2.4.1. Analysis of Variance and Comparison of Means
2.4.2. Analysis of Homogeneity of Spectral Curves
2.4.3. Principal Component Analysis (PCA)
2.4.4. Linear Discriminant Analysis (LDA)
- (1)
- LDA adjusted to differentiate treatments at each development stage and in each crop season (2017–2018, 2018–2019, and 2019–2020).
- (2)
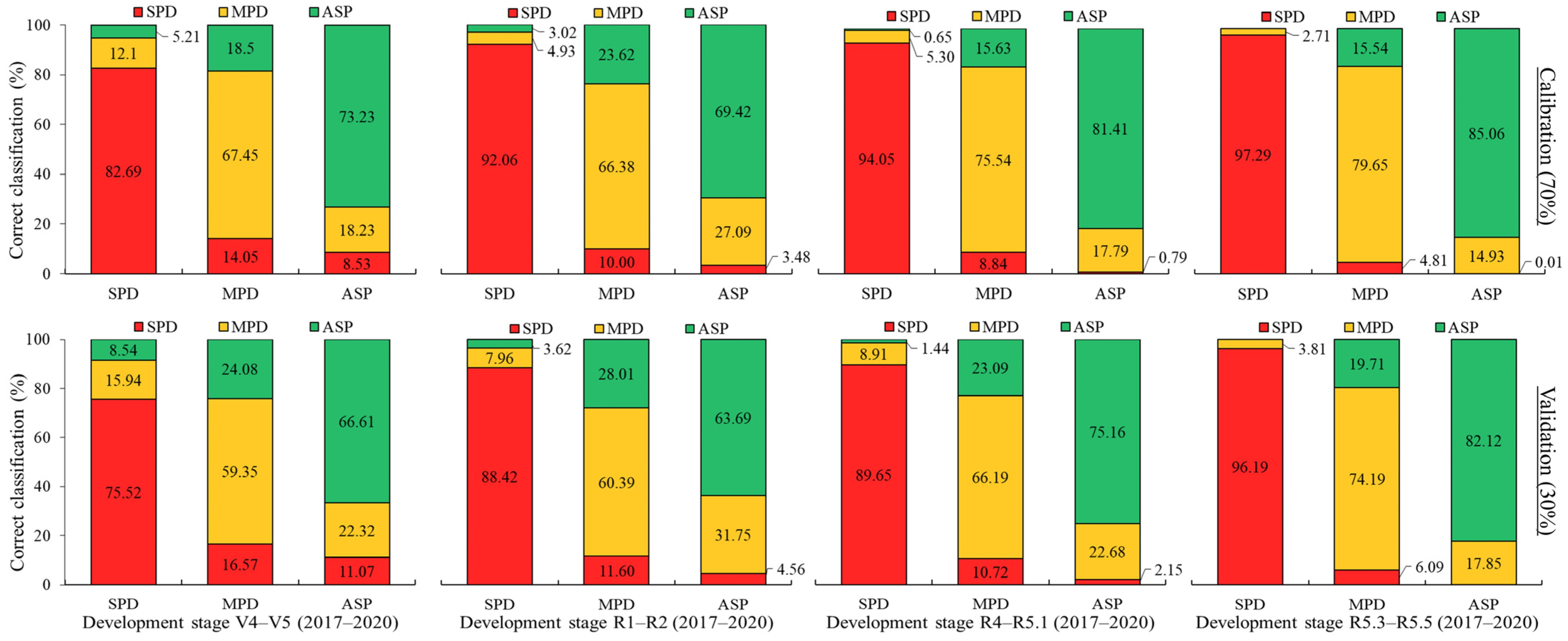
- LDA by combining data from development stages with similar characteristics. The following combinations were used: V4–V5; R1–R2; R3–R4; and R5.1–R5.3. The data used for each combination were from the 2017 to 2020 crop seasons. The goal of this approach was to create an effective LDA model that can reduce the impact of variations inherent to each crop season.
- (3)
- LDA by combining all the data collected regardless of the development stages and crop seasons. The goal of this approach was to assess the potential for discriminating treatments independent of the evaluated stages and crop seasons.
3. Results and Discussion
3.1. Foliar Potassium in the Crop Seasons 2017–2018, 2018–2019, and 2019–2020
3.2. Soybean Grain Yield in the 2017–2018, 2018–2019, and 2019–2020 Crop Seasons
3.3. Visual Analysis of the Reflectance Spectra
3.4. Wavelength Selection by Proc “Stepwise”
3.5. Principal Component Analysis (PCA)
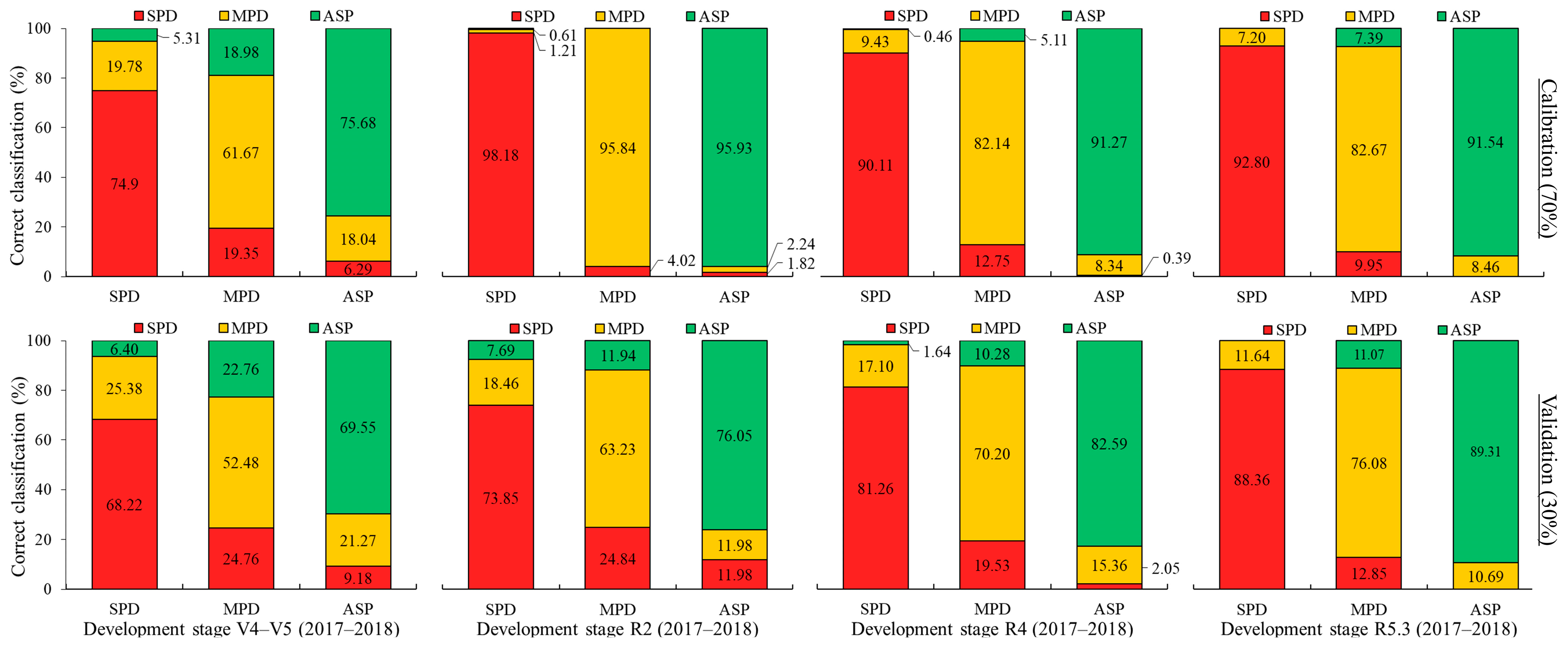
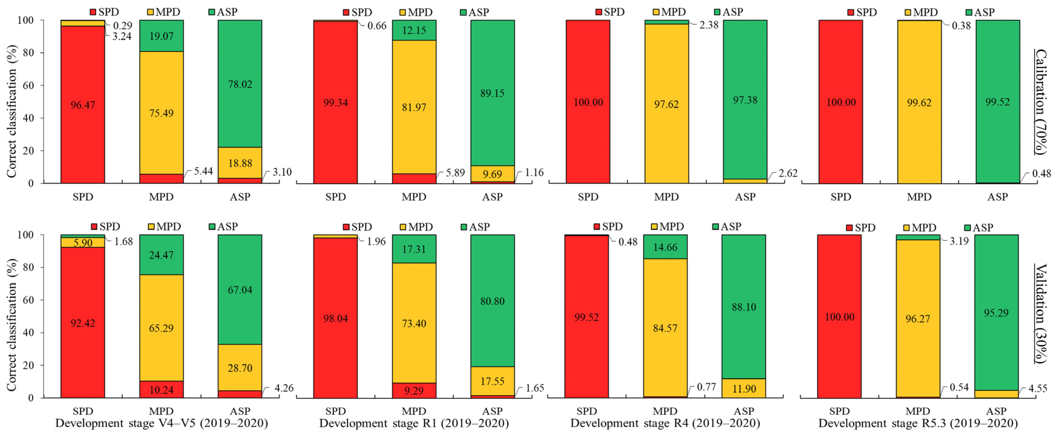
3.6. Linear Discriminant Analysis (LDA)
4. Conclusions
Author Contributions
Funding
Data Availability Statement
Acknowledgments
Conflicts of Interest
References
- Crusiol, L.G.T.; Nanni, M.R.; Furlanetto, R.H.; Sibaldelli, R.N.R.; Cezar, E.; Mertz-Henning, L.M.; Nepomuceno, A.L.; Neumaier, N.; Farias, J.R.B. UAV-Based Thermal Imaging in the Assessment of Water Status of Soybean Plants. Int. J. Remote Sens. 2020, 41, 3243–3265. [Google Scholar] [CrossRef]
- Crusiol, L.G.T.; Nanni, M.R.; Furlanetto, R.H.; Sibaldelli, R.N.R.; Cezar, E.; Sun, L.; Foloni, J.S.S.; Mertz-Henning, L.M.; Nepomuceno, A.L.; Neumaier, N.; et al. Classification of Soybean Genotypes Assessed Under Different Water Availability and at Different Phenological Stages Using Leaf-Based Hyperspectral Reflectance. Remote Sens. 2021, 13, 172. [Google Scholar] [CrossRef]
- Crusiol, L.G.T.; Sun, L.; Sibaldelli, R.N.R.; Junior, V.F.; Furlaneti, W.X.; Chen, R.; Sun, Z.; Wuyun, D.; Chen, Z.; Nanni, M.R.; et al. Strategies for Monitoring Within-Field Soybean Yield Using Sentinel-2 Vis-NIR-SWIR Spectral Bands and Machine Learning Regression Methods. Precis. Agric. 2022, 23, 1093–1123. [Google Scholar] [CrossRef]
- Crusiol, L.G.T.; Nanni, M.R.; Furlanetto, R.H.; Sibaldelli, R.N.R.; Cezar, E.; Sun, L.; Foloni, J.S.S.; Mertz-Henning, L.M.; Nepomuceno, A.L.; Neumaier, N.; et al. Yield Prediction in Soybean Crop Grown under Different Levels of Water Availability Using Reflectance Spectroscopy and Partial Least Squares Regression. Remote Sens. 2021, 13, 977. [Google Scholar] [CrossRef]
- Crusiol, L.G.T.; Nanni, M.R.; Furlanetto, R.H.; Sibaldelli, R.N.R.; Sun, L.; Gonçalves, S.L.; Foloni, J.S.S.; Mertz-Henning, L.M.; Nepomuceno, A.L.; Neumaier, N.; et al. Assessing the Sensitive Spectral Bands for Soybean Water Status Monitoring and Soil Moisture Prediction Using Leaf-Based Hyperspectral Reflectance. Agric. Water Manag. 2023, 277, 108089. [Google Scholar] [CrossRef]
- Guilherme Teixeira Crusiol, L.; Braga, P.; Rafael Nanni, M.; Furlanetto, R.H.; Sibaldelli, R.N.R.; Cezar, E.; Sun, L.; Foloni, J.S.S.; Mertz-Henning, L.M.; Lima Nepomuceno, A.; et al. Using Leaf-Based Hyperspectral Reflectance for Genotype Classification within a Soybean Germplasm Collection Assessed under Different Levels of Water Availability. Int. J. Remote Sens. 2021, 42, 8165–8184. [Google Scholar] [CrossRef]
- de Oliveira, K.M.; Furlanetto, R.H.; Rodrigues, M.; dos Santos, G.L.A.A.; Reis, A.S.; Teixeira Crusiol, L.G.; Rafael Nanni, M.; Cezar, E.; de Oliveira, R.B. Assessing Phosphorus Nutritional Status in Maize Plants Using Leaf-Based Hyperspectral Measurements and Multivariate Analysis. Int. J. Remote Sens. 2022, 43, 2560–2580. [Google Scholar] [CrossRef]
- Bandara, A.Y.; Weerasooriya, D.K.; Bradley, C.A.; Allen, T.W.; Esker, P.D. Dissecting the Economic Impact of Soybean Diseases in the United States over Two Decades. PLoS ONE 2020, 15, e0231141. [Google Scholar] [CrossRef] [PubMed]
- Chen, L.; Qi, X.; Zhang, X.; Li, Q.; Zhang, Y. Effect of Agricultural Land Use Changes on Soil Nutrient Use Efficiency in an Agricultural Area, Beijing, China. Chin. Geogr. Sci. 2011, 21, 392–402. [Google Scholar] [CrossRef]
- Esper Neto, M.; Minato, E.A.; Besen, M.R.; Inoue, T.T.; Batista, M.A. Biometric Responses of Soybean to Different Potassium Fertilization Management Practices in Years with High and Low Precipitation. Rev. Bras. Cienc. Solo 2018, 42, e0170305. [Google Scholar] [CrossRef]
- Furlanetto, R.H.; Rafael Nanni, M.; Guilherme Teixeira Crusiol, L.; Silva, G.F.C.; Junior, A.d.O.; Sibaldelli, R.N.R. Identification and Quantification of Potassium (K+) Deficiency in Maize Plants Using an Unmanned Aerial Vehicle and Visible/near-Infrared Semi-Professional Digital Camera. Int. J. Remote Sens. 2021, 42, 8783–8804. [Google Scholar] [CrossRef]
- Johnson, R.; Vishwakarma, K.; Hossen, M.d.S.; Kumar, V.; Shackira, A.M.; Puthur, J.T.; Abdi, G.; Sarraf, M.; Hasanuzzaman, M. Potassium in Plants: Growth Regulation, Signaling, and Environmental Stress Tolerance. Plant Physiol. Biochem. 2022, 172, 56–69. [Google Scholar] [CrossRef]
- Xu, Q.; Fu, H.; Zhu, B.; Hussain, H.A.; Zhang, K.; Tian, X.; Duan, M.; Xie, X.; Wang, L. Potassium Improves Drought Stress Tolerance in Plants by Affecting Root Morphology, Root Exudates, and Microbial Diversity. Metabolites 2021, 11, 131. [Google Scholar] [CrossRef] [PubMed]
- Rodrigues, M.; Cezar, E.; Abrantes dos Santos, G.L.A.; Reis, A.S.; Furlanetto, R.H.; de Oliveira, R.B.; D’Àvila, R.C.; Nanni, M.R. Estimating Technological Parameters and Stem Productivity of Sugarcane Treated with Rock Powder Using a Proximal Spectroradiometer Vis-NIR-SWIR. Ind. Crops Prod. 2022, 186, 115278. [Google Scholar] [CrossRef]
- Azadnia, R.; Rajabipour, A.; Jamshidi, B.; Omid, M. New Approach for Rapid Estimation of Leaf Nitrogen, Phosphorus, and Potassium Contents in Apple-Trees Using Vis/NIR Spectroscopy Based on Wavelength Selection Coupled with Machine Learning. Comput. Electron. Agric. 2023, 207, 107746. [Google Scholar] [CrossRef]
- Furlanetto, R.H.; Crusiol, L.G.T.; Gonçalves, J.V.F.; Nanni, M.R.; de Oliveira Junior, A.; de Oliveira, F.A.; Sibaldelli, R.N.R. Machine Learning as a Tool to Predict Potassium Concentration in Soybean Leaf Using Hyperspectral Data. Precis. Agric. 2023, 24, 2264–2292. [Google Scholar] [CrossRef]
- Siedliska, A.; Baranowski, P.; Pastuszka-Woźniak, J.; Zubik, M.; Krzyszczak, J. Identification of Plant Leaf Phosphorus Content at Different Growth Stages Based on Hyperspectral Reflectance. BMC Plant Biol. 2021, 21, 28. [Google Scholar] [CrossRef] [PubMed]
- Gitelson, A.A. Remote Estimation of Fraction of Radiation Absorbed by Photosynthetically Active Vegetation: Generic Algorithm for Maize and Soybean. Remote Sens. Lett. 2019, 10, 283–291. [Google Scholar] [CrossRef]
- Gould, K.S.; Jay-Allemand, C.; Logan, B.A.; Baissac, Y.; Bidel, L.P.R. When Are Foliar Anthocyanins Useful to Plants? Re-Evaluation of the Photoprotection Hypothesis Using Arabidopsis thaliana Mutants That Differ in Anthocyanin Accumulation. Environ. Exp. Bot. 2018, 154, 11–22. [Google Scholar] [CrossRef]
- Falcioni, R.; Gonçalves, J.V.F.; de Oliveira, K.M.; de Oliveira, C.A.; Reis, A.S.; Crusiol, L.G.T.; Furlanetto, R.H.; Antunes, W.C.; Cezar, E.; de Oliveira, R.B.; et al. Chemometric Analysis for the Prediction of Biochemical Compounds in Leaves Using UV-VIS-NIR-SWIR Hyperspectroscopy. Plants 2023, 12, 3424. [Google Scholar] [CrossRef]
- Falcioni, R.; Moriwaki, T.; Rodrigues, M.; de Oliveira, K.M.; Furlanetto, R.H.; dos Reis, A.S.; dos Santos, G.L.A.A.; Mendonça, W.A.; Crusiol, L.G.T.; Gonçalves, J.V.F.; et al. Nutrient Deficiency Lowers Photochemical and Carboxylation Efficiency in Tobacco. Theor. Exp. Plant Physiol. 2023, 35, 81–97. [Google Scholar] [CrossRef]
- Falcioni, R.; Moriwaki, T.; Pattaro, M.; Herrig Furlanetto, R.; Nanni, M.R.; Camargos Antunes, W. High Resolution Leaf Spectral Signature as a Tool for Foliar Pigment Estimation Displaying Potential for Species Differentiation. J. Plant Physiol. 2020, 249, 153161. [Google Scholar] [CrossRef]
- Gold, K.M.; Townsend, P.A.; Herrmann, I.; Gevens, A.J. Investigating Potato Late Blight Physiological Differences across Potato Cultivars with Spectroscopy and Machine Learning. Plant Sci. 2020, 295, 110316. [Google Scholar] [CrossRef] [PubMed]
- Gold, K.M.; Townsend, P.A.; Chlus, A.; Herrmann, I.; Couture, J.J.; Larson, E.R.; Gevens, A.J. Hyperspectral Measurements Enable Pre-Symptomatic Detection and Differentiation of Contrasting Physiological Effects of Late Blight and Early Blight in Potato. Remote Sens. 2020, 12, 286. [Google Scholar] [CrossRef]
- Fallon, B.; Yang, A.; Lapadat, C.; Armour, I.; Juzwik, J.; Montgomery, R.A.; Cavender-Bares, J. Spectral Differentiation of Oak Wilt from Foliar Fungal Disease and Drought Is Correlated with Physiological Changes. Tree Physiol. 2020, 40, 377–390. [Google Scholar] [CrossRef]
- Junges, A.H.; Almança, M.A.K.; Fajardo, T.V.M.; Ducati, J.R. Leaf Hyperspectral Reflectance as a Potential Tool to Detect Diseases Associated with Vineyard Decline. Trop. Plant Pathol. 2020, 45, 522–533. [Google Scholar] [CrossRef]
- Furlanetto, R.H.; Moriwaki, T.; Falcioni, R.; Pattaro, M.; Vollmann, A.; Sturion Junior, A.C.; Antunes, W.C.; Nanni, M.R. Hyperspectral Reflectance Imaging to Classify Lettuce Varieties by Optimum Selected Wavelengths and Linear Discriminant Analysis. Remote Sens. Appl. 2020, 20, 100400. [Google Scholar] [CrossRef]
- Gómez-Casero, M.T.; López-Granados, F.; Peña-Barragán, J.M.; Jurado-Expósito, M.; García-Torres, L.; Fernández-Escobar, R. Assessing Nitrogen and Potassium Deficiencies in Olive Orchards through Discriminant Analysis of Hyperspectral Data. J. Am. Soc. Hortic. Sci. 2007, 132, 611–618. [Google Scholar] [CrossRef]
- Foster, A.J.; Kakani, V.G.; Ge, J.; Gregory, M.; Mosali, J. Discriminant Analysis of Nitrogen Treatments in Switchgrass and High Biomass Sorghum Using Leaf and Canopy-Scale Reflectance Spectroscopy. Int. J. Remote Sens. 2016, 37, 2252–2279. [Google Scholar] [CrossRef]
- EMBRAPA. Tecnologias de Produção de Soja—Região Central Do Brasil—2014; Embrapa Soja: Londrina, Brazil, 2013; Volume 1. [Google Scholar]
- Muhammed, H.H. Hyperspectral Crop Reflectance Data for Characterising and Estimating Fungal Disease Severity in Wheat. Biosyst. Eng. 2005, 91, 9–20. [Google Scholar] [CrossRef]
- Muhammed, H.H. Using Hyperspectral Reflectance Data for Discrimination between Healthy and Diseased Plants, and Determination of Damage-Level in Diseased Plants. In Proceedings of the 2002 Applied Imagery Pattern Recognition Workshop, Washington, DC, USA, 16–18 October 2002; pp. 49–54. [Google Scholar]
- Farias, J.R.B.; Nepomuceno, A.L.; Neumaier, N. Ecofisiologia Da Soja; Embrapa Soja: Londrina, Brazil, 2007. [Google Scholar]
- Oliveira Junior, A.D.; Castro, C.D.; Pereira, L.R.; Domingos, C.D.S. Estádios Fenológicos e Marcha de Absorção de Nutrientes Da Soja; Embrapa: Londrina, Brazil, 2016. [Google Scholar]
- EMBRAPA. Manual de Análises Químicas de Solos, Plantas e Fertilizantes; Embrapa Solos: Brasilia, Brazil, 2009; Volume 1. [Google Scholar]
- Lletí, R.; Meléndez, E.; Ortiz, M.C.; Sarabia, L.A.; Sánchez, M.S. Outliers in Partial Least Squares Regression. Anal. Chim. Acta 2005, 544, 60–70. [Google Scholar] [CrossRef]
- Varmuza, K.; Filzmoser, P. Introduction to Multivariate Statistical Analysis in Chemometrics; CRC Press: Boca Raton, FL, USA, 2016; ISBN 9780429145049. [Google Scholar]
- Tharwat, A.; Gaber, T.; Ibrahim, A.; Hassanien, A.E. Linear Discriminant Analysis: A Detailed Tutorial. AI Commun. 2017, 30, 169–190. [Google Scholar] [CrossRef]
- Izenman, A.J. Linear Discriminant Analysis; Springer: Berlin/Heidelberg, Germany, 2013; pp. 237–280. [Google Scholar]
- Sociedade Brasileira de Ciencia do Solo. Manual de Adubação e Calagem Para o Estado Do Paraná Curitiba; Sociedade Brasileira de Ciência do Solo—Núcleo Estadual Paraná: Estadual Paraná, Brazil, 2017; p. 482. ISBN 978-85-69416-07-0. [Google Scholar]
- Pelleschi, S.; Rocher, J.P.; Prioul, J.L. Effect of Water Restriction on Carbohydrate Metabolism and Photosynthesis in Mature Maize Leaves. Plant Cell Environ. 1997, 20, 493–503. [Google Scholar] [CrossRef]
- Kim, J.-Y.; Mahé, A.; Brangeon, J.; Prioul, J.-L. A Maize Vacuolar Invertase, IVR 2, Is Induced by Water Stress. Organ/Tissue Specificity and Diurnal Modulation of Expression. Plant Physiol. 2000, 124, 71–84. [Google Scholar] [CrossRef] [PubMed]
- Sentelhas, P.C.; Battisti, R.; Câmara, G.M.S.; Farias, J.R.B.; Hampf, A.C.; Nendel, C. The Soybean Yield Gap in Brazil—Magnitude, Causes and Possible Solutions for Sustainable Production. J. Agric. Sci. 2015, 153, 1394–1411. [Google Scholar] [CrossRef]
- Pattaro, M.C.; Falcioni, R.; Moriwaki, T.; Corrêa Alves, D.; Antunes, W.C. Blue Light Strongly Promotes De-Etiolation over Green, Moderate over Red, but Have Limited Action over Far-Red Lights in Lettuce Plants. Sci. Hortic. 2024, 328, 112863. [Google Scholar] [CrossRef]
- Moriwaki, T.; Falcioni, R.; Tanaka, F.A.O.; Cardoso, K.A.K.; Souza, L.A.; Benedito, E.; Nanni, M.R.; Bonato, C.M.; Antunes, W.C. Nitrogen-Improved Photosynthesis Quantum Yield Is Driven by Increased Thylakoid Density, Enhancing Green Light Absorption. Plant Sci. 2019, 278, 1–11. [Google Scholar] [CrossRef] [PubMed]
- Zhao, X.; Du, Q.; Zhao, Y.; Wang, H.; Li, Y.; Wang, X.; Yu, H. Effects of Different Potassium Stress on Leaf Photosynthesis and Chlorophyll Fluorescence in Maize (Zea mays L.) at Seedling Stage. Agric. Sci. 2016, 7, 44–53. [Google Scholar] [CrossRef]
- Zhao, D.; Oosterhuis, D.M.; Bednarz, C.W. Influence of Potassium Deficiency on Photosynthesis, Chlorophyll Content, and Chloroplast Ultrastructure of Cotton Plants. Photosynthetica 2001, 39, 103–109. [Google Scholar] [CrossRef]
- Ayala-Silva, T.; Beyl, C.A. Changes in Spectral Reflectance of Wheat Leaves in Response to Specific Macronutrient Deficiency. Adv. Space Res. 2005, 35, 305–317. [Google Scholar] [CrossRef]
- Lu, J.; Yang, T.; Su, X.; Qi, H.; Yao, X.; Cheng, T.; Zhu, Y.; Cao, W.; Tian, Y. Monitoring Leaf Potassium Content Using Hyperspectral Vegetation Indices in Rice Leaves. Precis. Agric. 2020, 21, 324–348. [Google Scholar] [CrossRef]
- de Oliveira, L.F.R.; Santana, R.C. Estimation of Leaf Nutrient Concentration from Hyperspectral Reflectance in Eucalyptus Using Partial Least Squares Regression. Sci. Agric. 2020, 77, e20180409. [Google Scholar] [CrossRef]
- Kumar, L.; Schmidt, K.; Dury, S.; Skidmore, A. Imaging Spectrometry and Vegetation Science; Springer: Berlin/Heidelberg, Germany, 2002; pp. 111–155. [Google Scholar]
- Mutanga, O.; Skidmore, A.K.; Prins, H.H.T. Predicting in Situ Pasture Quality in the Kruger National Park, South Africa, Using Continuum-Removed Absorption Features. Remote Sens. Environ. 2004, 89, 393–408. [Google Scholar] [CrossRef]
- Tewari, R.K.; Kumar, P.; Sharma, P.N. Oxidative Stress and Antioxidant Responses in Young Leaves of Mulberry Plants Grown Under Nitrogen, Phosphorus or Potassium Deficiency. J. Integr. Plant Biol. 2007, 49, 313–322. [Google Scholar] [CrossRef]
- Wang, M.; Zheng, Q.; Shen, Q.; Guo, S. The Critical Role of Potassium in Plant Stress Response. Int. J. Mol. Sci. 2013, 14, 7370–7390. [Google Scholar] [CrossRef] [PubMed]
- Watson, M.B.; Malmberg, R.L. Regulation of Arabidopsis thaliana (L.) Heynh Arginine Decarboxylase by Potassium Deficiency Stress. Plant Physiol. 1996, 111, 1077–1083. [Google Scholar] [CrossRef] [PubMed]
- Globe, D. The Benefits of the 8 Spectral Bands of WorldView-2; Digital Globe: Online, 2009; Volume 12, Available online: https://www.yumpu.com/en/document/read/10428472/the-benefits-of-the-8-spectral-bands-of-worldview-2-digitalglobe (accessed on 22 March 2024).
- Maimaitiyiming, M.; Ghulam, A.; Bozzolo, A.; Wilkins, J.L.; Kwasniewski, M.T. Early Detection of Plant Physiological Responses to Different Levels of Water Stress Using Reflectance Spectroscopy. Remote Sens. 2017, 9, 745. [Google Scholar] [CrossRef]
- Furlanetto, R.H.; Nanni, M.R.; Mizuno, M.S.; Crusiol, L.G.T.; da Silva, C.R. Identification and Classification of Asian Soybean Rust Using Leaf-Based Hyperspectral Reflectance. Int. J. Remote Sens. 2021, 42, 4177–4198. [Google Scholar] [CrossRef]
- Wang, Y.; Jiang, F.; Gupta, B.B.; Rho, S.; Liu, Q.; Hou, H.; Jing, D.; Shen, W. Variable Selection and Optimization in Rapid Detection of Soybean Straw Biomass Based on CARS. IEEE Access 2018, 6, 5290–5299. [Google Scholar] [CrossRef]
- Tanguilig, V.C.; Yambao, E.B.; O’toole, J.C.; De Datta, S.K. Water Stress Effects on Leaf Elongation, Leaf Water Potential, Transpiration, and Nutrient Uptake of Rice, Maize, and Soybean. Plant Soil. 1987, 103, 155–168. [Google Scholar] [CrossRef]
- Samarah, N.; Mullen, R.; Cianzio, S. Size Distribution and Mineral Nutrients of Soybean Seeds in Response to Drought Stress. J. Plant Nutr. 2004, 27, 815–835. [Google Scholar] [CrossRef]














| Season | Plant Stage | CV (%) | Descriptive Statistical for Leaf K+ (g kg−1) | ||
|---|---|---|---|---|---|
| SPD 1 | MPD 1 | ASP 1 | |||
| 2017–2018 | V4–V5 * | 12.30 | 8.14 c ± 1.28 σ | 13.23 b ± 2.26 σ | 24.88 a ± 0.80 σ |
| R2 * | 10.51 | 14.77 c ± 2.64 σ | 18.10 b ± 1.93 σ | 27.09 a ± 1.60 σ | |
| R4 * | 14.77 | 3.78 c ± 0.39 σ | 6.40 b ± 2.17 σ | 15.65 a ± 0.77 σ | |
| R5.3 * | 13.76 | 6.89 c ± 2.22 σ | 10.39 b ± 2.04 σ | 19.27 a ± 0.70 σ | |
| 2018–2019 | V5 * | 9.36 | 8.15 c ± 1.06 σ | 11.13 b ± 1.65 σ | 23.61 a ± 0.74 σ |
| R1 * | 9.63 | 7.42 c ± 1.46 σ | 13.09 b ± 1.43 σ | 21.96 a ± 1.10 σ | |
| R3 * | 11.72 | 7.58 c ± 1.33 σ | 13.44 b ± 2.05 σ | 19.87 a ± 1.30 σ | |
| R5.1–R5.3 * | 10.61 | 5.18 c ± 0.30 σ | 8.50 b ± 1.51 σ | 17.63 a ± 1.12 σ | |
| 2019–2020 | V4–V5 * | 6.44 | 7.77 c ± 1.10 σ | 15.40 b ± 0.94 σ | 23.61 a ± 0.32 σ |
| R1 * | 8.96 | 5.07 c ± 0.54 σ | 15.05 b ± 1.72 σ | 21.86 a ± 1.06 σ | |
| R4 * | 10.67 | 7.62 c ± 1.80 σ | 11.79 b ± 1.74 σ | 20.50 a ± 0.23 σ | |
| R5.3 * | 8.49 | 3.71 c ± 0.74 σ | 7.99 b ± 0.82 σ | 17.53 a ± 0.93 σ | |
| 2017–2020 | V4–V5 * | 11.82 | 8.02 c ± 1.21 σ | 13.25 b ± 2.46 σ | 24.03 a ± 1.43 σ |
| R1–R2 * | 18.33 | 7.46 c ± 3.49 σ | 14.64 b ± 2.29 σ | 22.65 a ± 2.24 σ | |
| R3–R4 * | 24.70 | 5.97 c ± 2.27 σ | 9.72 b ± 3.47 σ | 18.33 a ± 2.52 σ | |
| R5.1–R5.3 * | 15.09 | 5.26 c ± 1.82 σ | 8.96 b ± 1.76 σ | 18.15 a ± 1.24 σ | |
| 2017–2020 | All stages * | 23.69 | 6.68 c ± 2.52 σ | 11.58 b ± 3.43 σ | 20.83 a ± 3.24 σ |
Disclaimer/Publisher’s Note: The statements, opinions and data contained in all publications are solely those of the individual author(s) and contributor(s) and not of MDPI and/or the editor(s). MDPI and/or the editor(s) disclaim responsibility for any injury to people or property resulting from any ideas, methods, instructions or products referred to in the content. |
© 2024 by the authors. Licensee MDPI, Basel, Switzerland. This article is an open access article distributed under the terms and conditions of the Creative Commons Attribution (CC BY) license (https://creativecommons.org/licenses/by/4.0/).
Share and Cite
Furlanetto, R.H.; Crusiol, L.G.T.; Nanni, M.R.; de Oliveira Junior, A.; Sibaldelli, R.N.R. Hyperspectral Data for Early Identification and Classification of Potassium Deficiency in Soybean Plants (Glycine max (L.) Merrill). Remote Sens. 2024, 16, 1900. https://doi.org/10.3390/rs16111900
Furlanetto RH, Crusiol LGT, Nanni MR, de Oliveira Junior A, Sibaldelli RNR. Hyperspectral Data for Early Identification and Classification of Potassium Deficiency in Soybean Plants (Glycine max (L.) Merrill). Remote Sensing. 2024; 16(11):1900. https://doi.org/10.3390/rs16111900
Chicago/Turabian StyleFurlanetto, Renato Herrig, Luís Guilherme Teixeira Crusiol, Marcos Rafael Nanni, Adilson de Oliveira Junior, and Rubson Natal Ribeiro Sibaldelli. 2024. "Hyperspectral Data for Early Identification and Classification of Potassium Deficiency in Soybean Plants (Glycine max (L.) Merrill)" Remote Sensing 16, no. 11: 1900. https://doi.org/10.3390/rs16111900
APA StyleFurlanetto, R. H., Crusiol, L. G. T., Nanni, M. R., de Oliveira Junior, A., & Sibaldelli, R. N. R. (2024). Hyperspectral Data for Early Identification and Classification of Potassium Deficiency in Soybean Plants (Glycine max (L.) Merrill). Remote Sensing, 16(11), 1900. https://doi.org/10.3390/rs16111900

