Abstract
The miniaturized and lightweight unmanned aerial vehicle synthetic aperture radar (UAV SAR) is gradually becoming a research hotspot. The motion errors of UAVs lead to a deviation from a straight flight path couple with an unknown elevation of the target area, which leads to a degradation in SAR image quality. To achieve high-precision SAR imaging results, external terrain elevation information should be utilized. However, such data are challenging to obtain and limited in accuracy. In response to this problem, a modified high-precision imaging algorithm based on imaging plane optimization with minimum entropy is proposed. The proposed algorithm makes good use of the nonlinear trajectory of the UAV, which is unfriendly to imaging. Then, the image entropy is taken into account as the evaluation metric to acquire an approximated optimization imaging plane. Finally, the BP imaging is performed on the optimization imaging plane. The proposed method does not rely on external terrain information. Instead, it makes full use of the non-linear trajectory of the UAV and autonomously generates the optimal imaging plane for different terrain areas. By doing so, it achieves high-precision imaging results. Simulations and actual measurements have validated the effectiveness and enhancement of the proposed method.
1. Introduction
Through developments over the past few decades, synthetic aperture radar (SAR) has been widely used in the field of remote sensing to generate two-dimensional (2D) high-resolution images under all-weather and all-day conditions [1,2,3]. SAR plays a significant role in target detection, localization, and deformation monitoring [4,5,6].
Currently, SAR imaging algorithms can be divided into two main categories. The first are frequency-domain algorithms, such as the Range-Doppler Algorithm (RDA) [7], Chirp Scaling Algorithm (CSA) [1], and Range Migration Algorithm (RMA) [8], among others. The second are time-domain algorithms, such as the Back-Projection (BP) algorithm [9,10]. Frequency-domain algorithms have high computational efficiency but make certain assumptions about the echo model, particularly when dealing with complex nonlinear trajectories of unmanned aerial vehicles (UAVs), making it difficult to achieve an accurate focusing of the targets. Conversely, time-domain algorithms, although they incur a heavy computational burden, do not impose any assumptions on the echo model and are theoretically considered accurate imaging algorithms. As a classic time-domain imaging algorithm, the BP algorithm calculates the distance delay between the antenna phase center (APC) and each pixel on the imaging plane. It then back-projects the radar echo data onto the image domain and accumulates it at each pixel, acquiring a 2D image. This algorithm can compensate for motion errors conveniently and is not limited by the trajectories, making it suitable for general imaging geometries.
In order to obtain high-resolution SAR images under complex trajectories, motion compensation (MOCO) [11,12] based on inertial navigation system (INS) measured data should be performed. However, the inaccuracy of INS limits the usability of measured trajectory data to coarse MOCO, leading to residual motion errors, which still results in poor image quality. Therefore, researchers utilize autofocus techniques to compensate for phase errors. In traditional autofocus methods, the phase error remains constant across the entire image, e.g., Map-Drift (MD) [13,14,15,16] and Phase Gradient Autofocus (PGA) [17,18], which limits their application in cases where there is a spatially varying phase error. Many methods are improved to mitigate this obstacle, such as those presented in [19]. Another type of autofocus is achieved by using metrics that measure the best image quality indicators, such as image entropy [20,21,22], contrast [23], and sharpness [24,25]. While conventional autofocus algorithms can enhance the clarity of interferometric images by determining the optimal focus position, they may introduce phase distortion during this process. Since the phase contains elevation information of the target scene, this can lead to an inaccurate reflection of the true elevation for the scene, thereby affecting the deformation measurement.
To accommodate complex trajectories, the BP algorithm can be used to obtain SAR images. However, due to the influence of airflow disturbance, the flight trajectories of UAVs deviate irregularly from the ideal straight path, which invalidates the assumption of translational invariance in the azimuth direction. Additionally, considering the limited flight altitude of the platform, it is essential to thoroughly assess the impact of elevation variations when conducting imaging processing for undulating terrains. In traditional imaging processing based on the flat surface assumption, the terrain of the observed scene is usually ignored, treating the imaging area as a flat plane [26,27]. In general, high-quality imaging results can be obtained by employing the flat earth assumption under the condition that the ground elevation is much smaller than the instantaneous slant range. However, due to the limited flying altitude of small UAVs, especially in scenarios with significant terrain variations, the target area is almost close to the UAVs’ flying altitude. Thus, the ground elevation no longer satisfies the condition of being much smaller than the instantaneous slant range, invalidating the flat earth assumption. As a result, the motion errors and variations in elevation values of the region of interest are coupled, resulting in a decrease in the focusing effect of SAR imagery [28], which is particularly evident for small UAV SAR systems under low-altitude flight conditions.
For the purpose of achieving high-precision SAR imaging results, it is necessary to acquire elevation information of the region of interest. Thus, researchers usually utilize the Digital Elevation Model (DEM) of the ground for auxiliary processing [29,30]. However, the DEM of the region of interest is difficult to obtain or the precision of the DEM is limited, which can make the acquisition of ideal DEM data challenging [31].
This manuscript aims to address the challenges faced in imaging for undulating regions, where motion errors and unknown elevation of the imaging region are coupled, which causes phase errors. In this work, a modified high-precision imaging algorithm based on imaging plane optimization with minimum entropy is proposed. The method for obtaining the optimal imaging plane mainly consists of three steps: coarse processing of the entire plane, fine processing of the sub-planes, and fusion processing of the optimal sub-planes. By performing imaging processing on the optimal imaging plane, high-precision SAR images can be obtained. Applying the proposed method to process both simulated and measured data, the final results strongly demonstrate the effectiveness and enhancement of this algorithm.
The structure of this paper is as follows. In Section 2, the imaging model for UAV SAR under non-linear motion error is presented, where the impact of motion errors and target elevation on imaging is analyzed. A detailed description of the imaging principle and the processing procedure for the proposed method are provided in Section 3. Experimental results are shown in Section 4. A discussion is given in Section 5. Finally, conclusions are drawn in Section 6.
2. UAV SAR Imaging Model and Analysis
The geometric structure of the UAV SAR system is shown in Figure 1. The dashed blue line (parallel to the y-axis) represents the ideal trajectory of the UAV flying along the y-axis, while the solid red line depicts the actual trajectory, which is perturbed around the ideal trajectory. In the ideal case, the platform moves along the ideal trajectory at a height of H. However, due to atmospheric turbulence, the APC deviates from its ideal position. Suppose the motion errors of the platform along the x-axis and z-axis components at time are and , respectively.
Figure 1.
UAV SAR imaging model.
is an arbitrary scattering point with coordinates in the region of interest. Its projection point under the flat ground assumption is , with coordinates . In practical situations, it is usually assumed that . After range compression, the signal for can be expressed as follows:
where denotes the instantaneous slant range from to the APC, denotes the speed of light, denotes the velocity of the platform, and are the fast time and slow time, respectively, and , , and are, respectively, the pulse width, synthetic aperture time, center frequency, and frequency modulation rate.
The echoes of the same target are superimposed with a Doppler phase caused by the motion of the platform at different azimuth moments. In order to achieve azimuth focusing, it is necessary to compensate for the Doppler phase that is determined by the instantaneous slant range between the projection point and the platform [32]. The imaging results obtained using the BP algorithm can be expressed as follows:
where is the wavelength, and is the imaging slant range of the scatter point , which represents the instantaneous slant range from to the APC.
For the scatter point in the target area, its actual slant range and imaging slant range are, respectively, represented as follows:
represents the slant range error. By combining Equations (3) and (4), it can be expressed in detail, as follows:
where represents the minimum slant range from the scattering point and its projection point to the ideal trajectory of the platform, satisfying the following relationship:
can be seen as the lateral displacement value between the imaging position of and its actual position. Assuming , under normal circumstances and based on the condition that at the beam center moment, we can calculate the relationship between and [33], where is the position of the APC at the beam center moment under the actual trajectory. Therefore, we have the following:
By substituting Equation (7) into Equation (5), the relationship between the slant range error, motion error, and target elevation can be written as follows:
According to Equation (8), it can be observed that motion error is coupled with the target’s elevation, jointly affecting the slant range error. When the platform moves along the ideal trajectory, with both and being zero, the slant range error always satisfies the relationship , regardless of the existence of the target’s elevation. Only if the Doppler phase is fully compensated can the precise azimuth focusing be obtained.
Unfortunately, motion errors are inevitable due to atmospheric turbulence and platform vibrations. When the elevation values of the target area are close to zero, that is, for any scattering point with , it can be observed that, from Equation (8), the slant range error remains zero, allowing the image to still be accurately focused after imaging processing. However, when , influenced by both motion errors and target elevation values, the actual slant range of differs from the real imaging slant range , leading to an inability to fully compensate for the Doppler phase and affecting the focusing performance.
In general, we consider the phase errors to be negligible when . When , it is impossible to achieve accurate focusing. Therefore, the most direct approach to improving imaging quality is to reduce the slant range error.
Assuming that the motion error of the radar platform deviating from the ideal trajectory at time is denoted by , and we have , , where , Equation (8) can be re-written as follows:
where .
According to Equation (9), it can be inferred that the slant range error varies randomly as the radar platform moves, which greatly increases the difficulty of compensating for the slant range error. Fortunately, it can be noticed that as is close to zero, the slant range error gradually becomes close to zero. This gives us a remarkable insight that we can reduce the slant range error and improve imaging quality by compensating for the target’s elevation value.
Based on Equation (9), satisfies the following relationship:
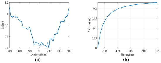
When and , the equation is satisfied, and achieves its maximum value . Figure 2a,b depicts the motion errors of the radar platform in the x-axis and z-axis directions under the actual trajectory of flying along the y-axis. For the scattering point in the target area, the motion error is set as in (10), and the relationship between the maximum slant range error and target elevation in the presence of motion errors is shown in Figure 2c.
Figure 2.
(a) Motion error along x-axis; (b) motion error along z-axis; (c) the relationship between and .
It is noteworthy that when the target elevation is close to 0, also gradually becomes close to 0. As increases, increases accordingly. Therefore, to overcome the difficulty of severe defocusing for SAR images in sloping areas under non-linear trajectories, in this work, the imaging plane is established to reduce the Doppler error, aiming to improve the image quality.
The closer the elevation of the imaging plane is to the true elevation of the target area, the smaller the slant range error and the better the imaging effect. Especially important, when the elevation of the imaging plane is equal to the true elevation of the target area, the slant range error no longer exists, and the imaging quality reaches its best. Therefore, the construction of the imaging plane is of the utmost importance.
3. Methodology
In the previous section, we analyzed the causes of defocusing in SAR images under undulated terrain and proposed a method to construct an optimal imaging plane to improve image focusing. In this section, we will provide a detailed explanation of the specific process involved in the proposed method, which mainly consists of three steps: coarse processing of the entire plane, fine processing of the sub-planes, and the optimal sub-planes’ fusion imaging.
3.1. Coarse Processing of the Entire Plane
For the entire scene, there are construct coarse imaging planes with different slope angles based on the starting value of the ground range in the imaging region as the axis, as shown in Figure 3.
Figure 3.
Diagram of coarse plane construction.
The slope angle of the imaging plane is given by , where represents the minimum values set for the tilt angle of the imaging plane, and is the angle increment.
On the constructed plane , the relationship between the ground range and the elevation on the corresponding imaging plane is given by the following equation:
where represents the started distance on the imaging plane.
The constructed planes are used sequentially as imaging planes for imaging processing by using the BP algorithm. Referring to Equation (2), the final imaging expression on the constructed plane for the scattering point in the imaging region is as follows:
where , and represents the instantaneous slant range between the projected point of the scattering point in the coarse plane and the APC.
The magnitude of depends on the proximity of the constructed plane to the elevation of the target region. Therefore, we need to select the imaging plane that is closest to the true elevation of the target area as the optimal rough plane.
For the purpose of selecting the optimal coarse plane, we can use image evaluation metrics [34,35] to assess the imaging quality of different imaging planes. The optimal coarse plane is determined by selecting the imaging plane corresponding to the best evaluation metric. Furthermore, adopting the image entropy IE [22,36] as the criterion for evaluating SAR image focusing performance, this is defined as follows:
where , denotes the pixel value of the SAR images, and and respectively, represent the total number of pixel units in the range and azimuth directions of the image.
The smaller the image entropy, the more information the image contains, and the better the image focusing performance. Therefore, one can calculate the image entropy of all SAR images and select the imaging plane corresponding to the image with the minimum entropy. Then, is regarded as the optimal coarse plane, which can be initially approximated as the DEM of the entire target area.
3.2. Fine Processing of the Sub-Planes
In practical scenarios, due to the diverse elevation changes within each subarea of the region of interest, the optimal coarse plane fits differently for each subarea. In order to accurately compensate for the effects of varying elevations, it is necessary to divide the area into sub-blocks for fine processing.
When the optimal coarse plane obtained in Section 3.1 is used as the DEM of the target region, the non-linear trajectory SAR time-domain imaging model is depicted in Figure 4. It can be observed that the actual trajectory is distributed within a cylindrical volume centered around an ideal trajectory, with a radius of .
Figure 4.
The imaging model using as the DEM of the target region.
For the scattering point in the target region, its position can be approximated as . And the shortest slant range from to the ideal trajectory can be expressed as follows:
The approximate height of can be expressed as follows:
where represents the inclination angle of the optimal coarse plane .
Referring to Equation (10), when the optimal rough plane is approximated as the target region, the maximum slant range error for the scattering point in the area during imaging processing is as follows:
Based on Equations (14)–(16), can be expressed as a function in terms of ground distance . When the phase error caused by is less than , its influence on imaging can be neglected, which means needs to satisfy . Therefore, is used as a threshold to partition the optimal rough plane into blocks. Starting from the position corresponding to the beginning ground range , the blocks are divided along the increasing direction of ground distance. The variation in slant range error in each sub-region is not greater than .
The subdivision of the optimal coarse plane is illustrated in Figure 5. For sub-block , its ground range satisfies the following relationship:
where represents the value of when , , where represents the largest integer not greater than , is the maximum ground distance value in the entire region, and is the total number of sub-block divisions.
Figure 5.
Schematic diagram of sub-region processing.
It is worth noting that, as the ground distance increases, the variation in slant range error gradually becomes less significant. Therefore, the ground range covered by each sub-region is increased progressively.
To obtain the optimal imaging plane for each sub-region, the sub-plane with different tilt angles is constructed, as shown in Figure 5.
When constructing a new sub-plane centered around , the initial distance corresponding to is taken as the axis. The sub-planes with different tilt angles are built. The tilt angle of each sub-plane is centered around and the range is , where is the maximum tilt angle of the constructed plane relative to the central sub-plane. Therefore, the tilt angle of the sub-plane constructed around is denoted as , where is the incremental angle step.
Afterwards, each sub-plane is imaged individually, and the imaging plane corresponding to the minimum entropy image is selected as the optimal sub-plane constructed around , given by .
3.3. The Optimal Sub-Planes’ Fusion Imaging
To obtain the optimal imaging plane, the optimal sub-planes corresponding to each sub-regions are fused based on their respective locations during the partitioning.
Assuming the obtained optimal sub-planes are , since their distances are continuous, they can be combined in the order of their distances to form a fused imaging plane, expressed as follows:
Using as a new imaging plane, we can perform imaging and obtain the final imaging results.
The optimal imaging plane , in which each sub-region closely approximates the real elevation of the region of interest, as indicated in Equation (12), achieves high-precision imaging results through the proposed method without the DEM of target region.
Based on the detailed description in the previous sections, we have summarized the overall process of the proposed method, as shown in Figure 6.
Figure 6.
Flowchart of the proposed approach.
3.4. Computational Complexity Analysis
The algorithm proposed in this paper is based on the BP algorithm. The overall computational complexity of the algorithm is as follows, with the steps that consume minimal time omitted. Assuming the size of the original data matrix is , represents the size of the range direction, and represents the size of the azimuth direction. The imaging grid size is . and , respectively, represent the number of coarse planes constructed and the number of sub-planes constructed in each sub-region. The computational workload in different processes is as shown in Table 1.
Table 1.
The main computational complexity of the algorithm.
The optimal imaging plane is obtained through coarse processing and fine processing. Performing imaging processing on the optimal imaging plane can effectively compensate for the phase errors. By doing so, it can greatly improve the imaging quality while ensuring high phase fidelity.
4. Experimental Result
In this section, the effectiveness of the proposed method is verified with both simulated and measured datasets. For the simulated processing part, in order to visually demonstrate the improvement in target focusing achieved using our proposed method, the simulated experiment with point targets and area scene is conducted. Furthermore, the measured data are adopted to verify the effectiveness of the proposed approach.
4.1. Simulation Processing Example
The parameters of the P-band UAV SAR system used in the simulation processing are shown in Table 2, and the trajectory used is shown in Figure 2a,b.
Table 2.
Simulation parameters.
4.1.1. Point Targets’ Simulation
In order to validate the effectiveness of the proposed method, simulated experiments were first conducted. A point target array is constructed, where the majority of the points are located on a slope with an inclination angle of 30°. There are three points that have been highlighted with red boxes, labeled as 1, 2 and 3. Specifically, point target 1 is located at 15 m below the slope, point target 2 is located on the slope and point target 3 is located at 15 m above the slope. The distribution of the point targets is shown in Figure 7.
Figure 7.
Spatial distribution of point targets. (a) 3D model; (b) side view.
Constructing imaging planes with different slope angles with the starting position of the range direction as the axis, the relationship between the entropy and slope angles of the imaging planes is shown in Figure 8. It can be clearly observed that the imaging plane corresponding to the minimum entropy image is the inclined plane at 30°, which serves as the optimal coarse imaging plane.
Figure 8.
The relationship between image entropy and the inclination angle of the imaging plane.
Thus, to more accurately observe the impact of the proposed method on the imaging quality of targets with elevation information, we specifically selected point 1, point 2, and point 3. Among them, point 2 is located on the inclined plane at 30°. The points were imaged under both the conventional assumption of flat terrain and the optimal coarse imaging plane. The results obtained are shown in Figure 9 with the normalized amplitude maps of the marked points shown on the right.
Figure 9.
Imaging results of different planes. (a) Flat-BP image; (b) optimal coarse plane BP image.
By observing Figure 9a, it can be seen that image defocusing occurs when imaging targets with elevation under a non-linear trajectory, and as the altitude of target increases, the defocusing becomes more pronounced. From Figure 9b, it is apparent that using the optimal coarse plane for imaging processing greatly improves the defocusing characteristics. Comparing the imaging results of targets 1, 2, and 3, it can be observed that target 2, located on the inclined plane, achieves precise focusing results. Targets 1 and 3, although showing noticeable defocusing in the imaging results of the optimal imaging plane, exhibit a significantly improved focusing effect compared to the assumption of flat terrain processing.
For better realization of high-precision imaging characteristics in local sub-regions, sub-plane refinement is performed next. Different imaging planes are used for imaging processing of the sub-regions, which includes the locations of target points 1, 2, and 3. Figure 10 depicts the imaging result of the optimal imaging plane for the entire region of interest. As observed, the SAR image, which initially had a poor focusing effect, can yield high-precision imaging results after being processed using the proposed method.
Figure 10.
Optimal imaging plane BP image.
It is worth noting that in BP imaging processing, the defocus of the targets mainly manifests in the azimuth direction. In order to perform quantitative analysis of the imaging quality, the point target imaging quality in the experiment is evaluated using PSLR and ISLR, and the evaluation results for the azimuth direction are shown in Table 3.
Table 3.
Focusing performance of different targets.
As we can see, the SAR image obtained using the conventional method suffers from severe defocusing due to the neglect of an unknown target elevation. The result obtained using proposed method has a high imaging quality with a well-focused image.
4.1.2. Region Simulation
To validate the significant improvement in imaging performance for rugged terrains achieved using the proposed method, we conducted imaging experiments on a simulated large undulating terrain.
The ground range of the target area is 200~1000 m, and the azimuth span is −800~800 m. The model of the simulation area is shown in Figure 11a, and as the distance increases, the elevation values of the target region gradually increase.
Figure 11.
(a) The simulation area; (b) the relationship between entropy and imaging plane.
Different coarse planes are constructed with the initial ground range m as the axis. The range of the slope angle is set as , with a step size of between adjacent planes. Then, image processing is sequentially performed using BP algorithm on the coarse planes. The entropy of each image and its corresponding slope angle of the imaging plane are shown in Figure 11b.
From Figure 11b, it can be observed that the entropy of the SAR image decreases initially and then increases as the slope angle of the imaging plane increases. This indicates a corresponding improvement in image quality with an increasing slope angle, reaching its optimum at a tilt angle of 13°. Subsequently, the image quality degrades as the slope angle further increases. The imaging plane corresponding to the minimum entropy image is selected as the optimal coarse plane and subsequently partitioned into sub-regions.
The maximum errors of UAVs deviating from the ideal trajectory are considered as . According to Formulas (14)–(16), the relationship between the maximum slant range error of the scattering points distributed on the optimal rough plane and the ground range is represented in Figure 12.
Figure 12.
Variation trend of maximum slant range error along the range direction.
The optimal coarse plane is partitioned into sub-regions by applying (17), and the ground ranges of each sub-region are shown in Table 4.
Table 4.
The results of sub-block division.
The optimal sub-planes obtained after applying fine processing to each sub-region are then fused together, resulting in the optimal imaging plane. Employing the optimal imaging plane for imaging processing, high-quality SAR images can be obtained without the DEM of the region of interest. To validate the effectiveness of the proposed method, the simulation data were imaging processed using the conventional assumption of a flat terrain and the optimal imaging plane, respectively. The results of different methods are shown in Figure 13.
Figure 13.
Imaging results of different methods. (a) Flat-BP image; (b) optimal imaging plane BP image.
From Figure 13a, it can be observed that as the elevation values of the target region gradually increase, if the actual terrain is ignored, defocusing becomes pronounced. The imaging result using the optimal imaging plane constructed using this method is shown in Figure 13b, and it can be seen that the imaging focusing effect is significantly improved.
For the purpose of validating the effectiveness and enhancement of the proposed method, in addition to using image entropy [22], we also adopt sharpness [25,34] and contrast as indicators to evaluate the quality of SAR images.
The definition of sharpness and contrast are, respectively, given by the following equations:
where represents variance, represents the mean, is the intensity of the pixel in the image, and is the pixel value of the SAR images. and represent the total number of distance units in the range and azimuth directions, respectively.
In addition, the point target imaging quality for the local enlargements is evaluated using PSLR and ISLR. The image quality evaluation parameters of SAR images obtained through different methods are shown in Table 5.
Table 5.
Comparison of evaluation metric results.
Through quantitative analysis of image quality, it can be seen the SAR images generated using the proposed method have smaller image entropy, higher sharpness, higher contrast, and better point target quality evaluation, resulting in significantly improved imaging quality.
4.2. Real Data-Processing Example
The experimental scene mainly consists of one side of a large mountain in Chongqing, China. The radar system operated in the P-band and was carried by an octocopter small UAV. The average altitude of the flight trajectory was 389.94 m, and the designated scene coordinates had a central altitude of 200 m. The SAR system and the region of interest are shown in Figure 14, and the experimental parameters are listed in Table 6.
Figure 14.
(a) P-band UAV SAR system; (b) optical image of experimental scene.
Table 6.
Experimental parameters.
The inertial navigation system used in the experiment has high accuracy, reaching the centimeter level. Therefore, for the P-band small UAV SAR system, when using the Back-Projection (BP) algorithm for image processing, the influence of trajectory accuracy errors can be disregarded.
Towards the entire imaging scene, different inclined rough planes are constructed with the initial ground range as the axis. The range of the inclination angle is set as , with a step size of between adjacent planes.
The constructed slopes are sequentially used as imaging planes, and the BP algorithm is utilized for imaging processing on these planes. The entropy of each image is then calculated, and the imaging plane corresponding to the minimum entropy image is considered the optimal rough plane. The entropy of each image and its corresponding inclination angle of the imaging plane are shown in Figure 15.
Figure 15.
The relationship between entropy and slope angle.
From Figure 15, we can observe that as the inclination angle of the imaging plane increases, the entropy of the resulting image initially decreases and then increases. Based on this change, we can easily determine the optimal inclination angle for the rough plane.
After obtaining the optimal rough plane, in order to further improve the agreement between the constructed imaging plane and the true elevation of the target area, our subsequent work focuses on the fine processing of the sub-regions.
Figure 16a illustrates the variation in motion errors in the radar platform during the actual trajectory. It can be observed that there is always a motion error for the small UAV SAR in the azimuth direction accumulation process, with values deviating from the ideal trajectory within the range of .
Figure 16.
(a) Motion errors of the radar platform during actual trajectory; (b) variation trend of maximum slant range error along the range direction.
To calculate the maximum slant range error, the maximum value of the motion error is considered. According to Formulas (14)–(16), the relationship between the maximum slant range error of the scattering points distributed on the optimal rough plane and the ground range is represented in Figure 16b.
As expected, gradually increases with the increase in range, and the rate of increase becomes slower. The reasons for this phenomenon can be analyzed as follows: (1) The optimal rough plane is inclined at an angle of 12°, and as the range increases, the elevation values of the scattering points on this plane gradually increase, resulting in an increase in the slant range error. (2) Although the elevation of the scattering points increases as the range increases, the increase becomes relatively smaller compared to the increasing instantaneous slant range, leading to a slower rate of increase in slant range error.
The phase error caused by the slant range error can be neglected only when it is less than . In other words, the condition needs to be met. For the P-band SAR system used in the experiment, it is necessary to satisfy the following relationship:
where represents the center frequency of the signal. Accordingly, the optimal rough plane is divided into sub-blocks based on the threshold of the maximum slant range error m. The ground ranges of each sub-region are shown in Table 7.
Table 7.
Results of sub-block division.
Using each sub-plane obtained from the division of the optimal rough plane as the center, different inclined sub-planes are constructed with a step size of between adjacent planes. Imaging is carried out individually on each sub-plane. And the imaging plane corresponding to the minimum entropy image is considered the optimal sub-plane. By merging these optimal sub-planes, the best imaging plane is obtained.
To further validate the effectiveness of the proposed method, the collected data were imaging processed using both the conventional assumption of a flat terrain and the optimal imaging plane. Figure 17 depicts a satellite’s aerial view of the experimental scene. The imaging results and their local enlargements marked with a red box of a different imaging plane are shown in Figure 18.
Figure 17.
Satellite view of the experimental scene.

Figure 18.
(a,b) Imaging results using flat-ground assumption; (c,d) imaging results using the constructed optimal coarse plane; (e,f) imaging results using the constructed optimal imaging plane.
The processing results are shown to verify the effectiveness of the proposed method. As we can see, the imaging result using flat-ground assumption defocuses seriously due to the neglect of the elevation of the image region. The imaging result using the constructed optimal coarse plane shows a visible improvement. Moreover, the imaging results using the constructed optimal imaging plane show the most pronounced improvement among all.
Image metrics can more accurately evaluate the focusing performance of images. The image entropy, sharpness and contrast are adopted as evaluation metrics to evaluate the image quality, and they are, respectively, shown in Table 8.
Table 8.
Comparison of imaging quality indicators.
Therefore, it can be concluded that the SAR images generated using the proposed method have smaller image entropy, higher sharpness and higher contrast, which confirms the effectiveness of the proposed method.
5. Discussion
UAVs are susceptible to airflow disturbances, deviating from their ideal trajectory. They cannot hold the assumption of azimuth translation invariance. Additionally, the limited flight altitude of UAVs renders the commonly used flat-ground assumption ineffective in the region of interest with undulating terrain. As a result, the motion errors deviating from a straight flight path couple with an unknown elevation of the target area, which lead to a degradation in SAR image quality. The method proposed in this paper aims to improve the focusing effect of SAR images, and it is beneficial in achieving this goal.
In practice, when the imaging plane does not match the actual elevation of the target, defocusing effects of varying degrees occur after the imaging process. We conducted defocusing analysis and expressed the relationship between slant range error, motion error, and target elevation in an equation, revealing that the motion error and target elevation are coupled together, jointly affecting the slant range error. By observing the impact of changing the elevation of target on the slant range error, as shown in Figure 2c, we concluded that reducing the relative height between the target and the imaging plane can decrease the slant range error.
Therefore, imaging processing is performed by constructing imaging planes at different heights to cover the target area. The optimal plane, corresponding to the highest quality metric of the image, is selected as the best imaging plane. The improvement in the SAR image focusing effect achieved using the proposed method can be visually observed in Figure 9 and Figure 10. For point targets with different elevation values, if the terrain variation is ignored during imaging, severe defocusing effects will occur. Fortunately, after applying the imaging processing using the constructed optimal imaging plane, the focusing effect is significantly enhanced.
The proposed method in this paper is mainly aimed at large undulating areas, with better effects particularly in slope regions. For larger practical areas, we can perform block processing on the identified optimal coarse plane and construct the best imaging plane for each sub-region. It is worth noting that this approach not only significantly improves the quality of the imagery but also provides a rough estimation of the actual elevation information within the constructed optimal imaging plane.
This new method has achieved excellent results while leaving room for further improvements. For example, as the distance increases, the size of the sub-regions also becomes larger. It would be beneficial to explore better methods for block processing and control the size of the sub-blocks within an optimal range. Additionally, considering suitable block processing methods in the azimuth direction can help to construct imaging planes that better match the real elevation of the target area.
6. Conclusions
The motion errors of UAVs with limited flight height deviate from the ideal trajectory and are coupled with an unknown terrain elevation of the region of interest, which degrades the quality of SAR images. Conventional processing leads to the severe defocusing of SAR images when facing high slope areas due to the neglect of the actual terrain. Although existing autofocus algorithms can achieve target focusing and obtain better image quality, they may introduce phase error, making the phase values unable to accurately reflect the true elevation of the scene.
Based on the above problems, this paper firstly establishes an accurate physical model for UAV SAR considering terrain variation. Then, the effects of motion errors and the elevation of the interested region on the focusing performance of SAR images is analyzed, revealing that constructing an imaging plane close to the target elevation can improve the imaging quality. Therefore, a modified high-precision imaging algorithm based on imaging plane optimization with minimum entropy is proposed.
The proposed algorithm makes good use of the nonlinear trajectory of the UAV, which is unfriendly to imaging. Firstly, for the entire scene, coarse imaging planes with different elevation are constructed and imaging processing is performed on them in sequence. Next, the image entropy is taken into account as the evaluation metric to select the optimal coarse plane, which is then divided into blocks according to Equation (17). Subsequently, the optimal imaging planes corresponding to each sub-region are merged to acquire an approximated optimization imaging plane. Finally, BP imaging is performed on the optimization imaging plane. The proposed method does not rely on external terrain information. Instead, it makes full use of the non-linear trajectory of the UAV and autonomously generates the optimal imaging plane for different terrain areas.
In subsequent experiments, both the simulation and processing results of actual measured data verified the effectiveness and operational ease of the proposed method. In the end, the proposed algorithm and conventional algorithms were applied to the imaging processing of real echoes. It can be clearly seen from the image quality indicators that the proposed algorithm can greatly improve the imaging quality while ensuring high phase fidelity.
Author Contributions
Conceptualization, X.D.; methodology, X.D. and X.X.; validation, X.D. and Z.Y.; investigation, Z.Y. and X.X.; resources, Z.Y. and W.T.; writing—original draft preparation, X.D.; writing—review and editing, X.X. and Z.Y.; supervision, W.T. and Z.Y. All authors have read and agreed to the published version of the manuscript.
Funding
This work was supported by the National Key Research and Development Program of China (2021YFC3001903), the Natural Science Foundation of Chongqing, China (CSTB2022NSCQ-BHX0713), and the National Natural Science Foundation of China (62101036).
Data Availability Statement
Not applicable.
Conflicts of Interest
The authors declare no conflict of interest.
References
- Cumming, I.G.; Wong, F.H. Digital Processing of Synthetic Aperture Radar Data: Algorithm and Implementation; Artech House: Norwood, MA, USA, 2005. [Google Scholar]
- Sun, H.; Shimada, M.; Xu, F.; Xu, F. Recent Advances in Synthetic Aperture Radar Remote Sensing—Systems, Data Processing, and Applications. IEEE Geosci. Remote Sens. Lett. 2017, 14, 2013–2016. [Google Scholar] [CrossRef]
- Gan, X.; Wang, Y.; Duan, D.; Yang, T. Dot and Segment Feature Analysis and Parameter Inversion of a Curved and Graded Bay Bridge from UAVSAR Imagery. IEEE J. Sel. Top. Appl. Earth Obs. Remote Sens. 2019, 12, 910–919. [Google Scholar] [CrossRef]
- Dudczyk, J.; Kawalec, A. Optimizing the Minimum Cost Flow Algorithm for the Phase Unwrapping Process in SAR Radar. Bull. Pol. Acad. Sci. Tech. Sci. 2014, 62, 511–516. [Google Scholar] [CrossRef]
- Matuszewski, J. The Analysis of Modern Radar Signals Parameters in Electronic Intelligence System. In Proceedings of the 13th International Conference on Modern Problems of Radio Engineering, Telecommunications and Computer Science (TCSET), Lviv, Ukraine, 23–26 February 2016; pp. 298–302. [Google Scholar]
- Feng, L.; Deng, Y.; Nie, X.; Yang, H. An Improved Phase Filtering Method for Ground-based Differential Interferometer Radar Based on Non-Local Means. J. Signal Process. 2022, 38, 100–108. (In Chinese) [Google Scholar]
- Park, J.; Jung, D.H.; Bae, K.B.; Park, S.O. Range-Doppler Map Improvement in FMCW Radar for Small Moving Drone Detection Using the Stationary Point Concentration Technique. IEEE Trans. Microw. Theory Tech. 2020, 68, 1858–1871. [Google Scholar] [CrossRef]
- Bamler, R. A comparison of range-Doppler and wavenumber domain SAR focusing algorithms. IEEE Trans. Geosci. Remote Sens. 1992, 30, 706–713. [Google Scholar] [CrossRef]
- Frey, O.; Magnard, C.; Rüegg, M.; Meier, E. Non-Linear SAR Data Processing by Time-Domain Back-Projection. In Proceedings of the 7th European Conference on Synthetic Aperture Radar, Friedrichshafen, Germany, 2–5 June 2008; pp. 1–4. [Google Scholar]
- Tian, W.; Liu, F.; Xie, X.; Wang, C.; Wang, J.; Deng, Y. Research on Parallel Acceleration Processing Technology of SAR Back Projection Algorithm Based on Two Granularities and Mixing Precision of GPU. J. Signal Process. 2023. (In Chinese) [Google Scholar]
- Prats, P.; de Macedo, K.A.C.; Reigber, A.; Scheiber, R.; Mallorqui, J.J. Comparison of Topography and Aperture Dependent Motion Compensation Algorithms for Airborne SAR. IEEE Geosci. Remote Sens. Lett. 2007, 4, 349–353. [Google Scholar] [CrossRef]
- de Macedo, K.A.; Scheiber, R. Precise topography- and aperture-dependent motion compensation for airborne SAR. IEEE Geosci. Remote Sens. Lett. 2005, 2, 172–176. [Google Scholar] [CrossRef]
- Xing, M.; Jiang, X.; Wu, R.; Zhou, F.; Bao, Z. Motion compensation for UAV SAR based on raw radar data. IEEE Trans. Geosci. Remote Sens. 2009, 47, 2870–2883. [Google Scholar] [CrossRef]
- Wang, W.; An, D.; Luo, Y.; Zhou, Z.; Huang, X. A Modified Map-Drift Algorithm for SAR Autofocusing. In Proceedings of the 2018 Asia-Pacific Microwave Conference (APMC), Kyoto, Japan, 6–9 November 2018; pp. 815–817. [Google Scholar]
- Huang, Y.; Liu, F.; Chen, Z.; Li, J.; Hong, W. An improved map-drift algorithm for unmanned aerial vehicle SAR imaging. IEEE Geosci. Remote Sensing. Lett. 2020; early access. [Google Scholar]
- Zhang, L.; Hu, M.; Wang, G.; Wang, H. Range-dependent map-drift algorithm for focusing UAV SAR imagery. IEEE Geosci. Remote Sens. Lett. 2016, 13, 1158–1162. [Google Scholar] [CrossRef]
- Zhu, D. SAR signal based motion compensation through combining PGA and 2-D map drift. In Proceedings of the 2009 2nd Asian-Pacific Conference on Synthetic Aperture Radar, Xi’an, China, 26–30 October 2009; pp. 435–438. [Google Scholar]
- Miao, Y.; Wu, J.; Yang, J. Azimuth migration-corrected phase gradient autofocus for bistatic SAR polar format imaging. IEEE Geosci. Remote Sens. Lett. 2021, 18, 697–701. [Google Scholar] [CrossRef]
- Marston, T.M.; Plotnick, D.S. Semiparametric Statistical Stripmap Synthetic Aperture Autofocusing. IEEE Trans. Geosci. Remote Sens. 2015, 53, 2086–2095. [Google Scholar] [CrossRef]
- Meng, Z.; Zhang, L.; Ma, Y.; Wang, G.; Jiang, H. Accelerating Minimum Entropy Autofocus with Stochastic Gradient for UAV SAR Imagery. IEEE Geosci. Remote Sens. Lett. 2022, 19, 4017805. [Google Scholar] [CrossRef]
- Zhang, S.; Liu, Y.; Li, X. Fast entropy minimization based autofocusing technique for ISAR imaging. IEEE Trans. Signal Process. 2015, 63, 3425–3434. [Google Scholar] [CrossRef]
- Yang, Z.; Li, D.; Tan, X.; Liu, H.; Xu, L.; Liao, G. An Efficient ISAR Imaging Approach for Highly Maneuvering Targets Based on Subarray Averaging and Image Entropy. IEEE Trans. Geosci. Remote Sens. 2022, 60, 5102113. [Google Scholar] [CrossRef]
- Huang, D.; Guo, X.; Zhang, Z.; Yu, W.; Truong, T.K. Full-Aperture Azimuth Spatial-Variant Autofocus Based on Contrast Maximization for Highly Squinted Synthetic Aperture Radar. IEEE Trans. Geosci. Remote Sens. 2020, 58, 330–347. [Google Scholar] [CrossRef]
- Ran, L.; Liu, Z.; Zhang, L.; Li, T.; Xie, R. An Autofocus Algorithm for Estimating Residual Trajectory Deviations in Synthetic Aperture Radar. IEEE Trans. Geosci. Remote Sens. 2017, 55, 3408–3425. [Google Scholar] [CrossRef]
- Gao, Y.; Yu, W.; Liu, Y.; Wang, R.; Shi, C. Sharpness-based autofocusing for strip map SAR using an adaptive-order polynomial model. IEEE Geosci. Remote Sens. Lett. 2014, 11, 1086–1090. [Google Scholar] [CrossRef]
- Wang, C.; Chen, L.; Liu, L. A New Analytical Model to Study the Ionospheric Effects on VHF/UHF Wideband SAR Imaging. IEEE Trans. Geosci. Remote Sens. 2017, 55, 4545–4557. [Google Scholar] [CrossRef]
- Moreira, A.; Krieger, G.; Hajnsek, I.; Papathanassiou, K.P.; Younis, M.; Lopez-Dekker, P.; Huber, S.; Villano, M.; Pardini, M.; Eineder, M.; et al. Tandem-L: A highly innovative bistatic SAR mission for global observation of dynamic processes on the Earth’s surface. IEEE Geosci. Remote Sens. Mag. 2015, 3, 8–23. [Google Scholar] [CrossRef]
- Lin, C.; Tang, S.; Zhang, L.; Guo, P. Focusing High-Resolution Airborne SAR with Topography Variations Using an Extended BPA Based on a Time/Frequency Rotation Principle. Remote Sens. 2018, 10, 1275. [Google Scholar] [CrossRef]
- Wang, Y.; Song, Y.; Lin, Y.; Li, Y.; Zhang, Q.; Liu, Y. The high precision imaging method for ArcSAR based on DEM-assist. In Proceedings of the 2019 6th Asia-Pacific Conference on Synthetic Aperture Radar (APSAR), Xiamen, China, 26–29 November 2019. [Google Scholar]
- Jones, C.; Hensley, S.; Michel, T. Topography-dependent motion compensation: Application to UAVSAR data. In Proceedings of the 2009 IEEE Radar Conference, Pasadena, CA, USA, 4–8 May 2009; pp. 1–6. [Google Scholar]
- Zhang, K.; Zhu, X.; Zou, J. Evaluating the global elevation data from multiple sources for digital Earth applications. ISPRS Int. J. Geo-Inf. 2021, 10, 466. [Google Scholar]
- Desai, M.D.; Jenkins, W.K. Convolution back-projection image reconstruction for spotlight mode synthetic aperture radar. IEEE Trans. Image Process. 1992, 1, 505–517. [Google Scholar] [CrossRef] [PubMed]
- Xue, L.; Fang-fang, L.; Dong-hui, H.; Chi-biao, D. Performance Analysis of Flat Surface Assumption and Residual Motion Errors on Airborne Repeat-pass InSAR. J. Radars 2013, 2, 334–347. (In Chinese) [Google Scholar]
- Ash, J.N. An autofocus method for back projection imagery in synthetic aperture radar. IEEE Geosci. Remote Sens. Lett. 2012, 9, 104–108. [Google Scholar] [CrossRef]
- Yang, Z.; Li, D.; Tan, X.; Liu, H.; Liao, G. A Fast Bistatic ISAR Imaging Approach for Rapidly Spinning Targets via Exploiting SAR Technique. Remote Sens. 2020, 12, 2077. [Google Scholar] [CrossRef]
- Kragh, T.J.; Kharbouch, A.A. Monotonic iterative algorithm for minimum-entropy autofocus. Adapt. Sens. Array Process. (ASAP) Workshop 2006, 40, 1147–1159. [Google Scholar]
Disclaimer/Publisher’s Note: The statements, opinions and data contained in all publications are solely those of the individual author(s) and contributor(s) and not of MDPI and/or the editor(s). MDPI and/or the editor(s) disclaim responsibility for any injury to people or property resulting from any ideas, methods, instructions or products referred to in the content. |
© 2023 by the authors. Licensee MDPI, Basel, Switzerland. This article is an open access article distributed under the terms and conditions of the Creative Commons Attribution (CC BY) license (https://creativecommons.org/licenses/by/4.0/).


















