Retrieval of Chlorophyll-a Concentrations of Class II Water Bodies of Inland Lakes and Reservoirs Based on ZY1-02D Satellite Hyperspectral Data
Abstract
:1. Introduction
2. Materials
2.1. Study Area
2.2. In Situ Survey Data
2.2.1. In Situ Chlorophyll-a Data
2.2.2. In Situ Remote Sensing Reflectance Data
2.3. ZY1-02D Image Data
3. Methods
3.1. Water Extraction
3.2. Chlorophyll-a Model Construction
3.2.1. Screening of Sensitive Bands
Single Band
Band Calculations
Three-Band Model
Four-Band Model
Normalized Difference Chlorophyll Index (NDCI)
Fluorescence Line Height
3.2.2. Model Construction
3.2.3. Accuracy Assessment
4. Results
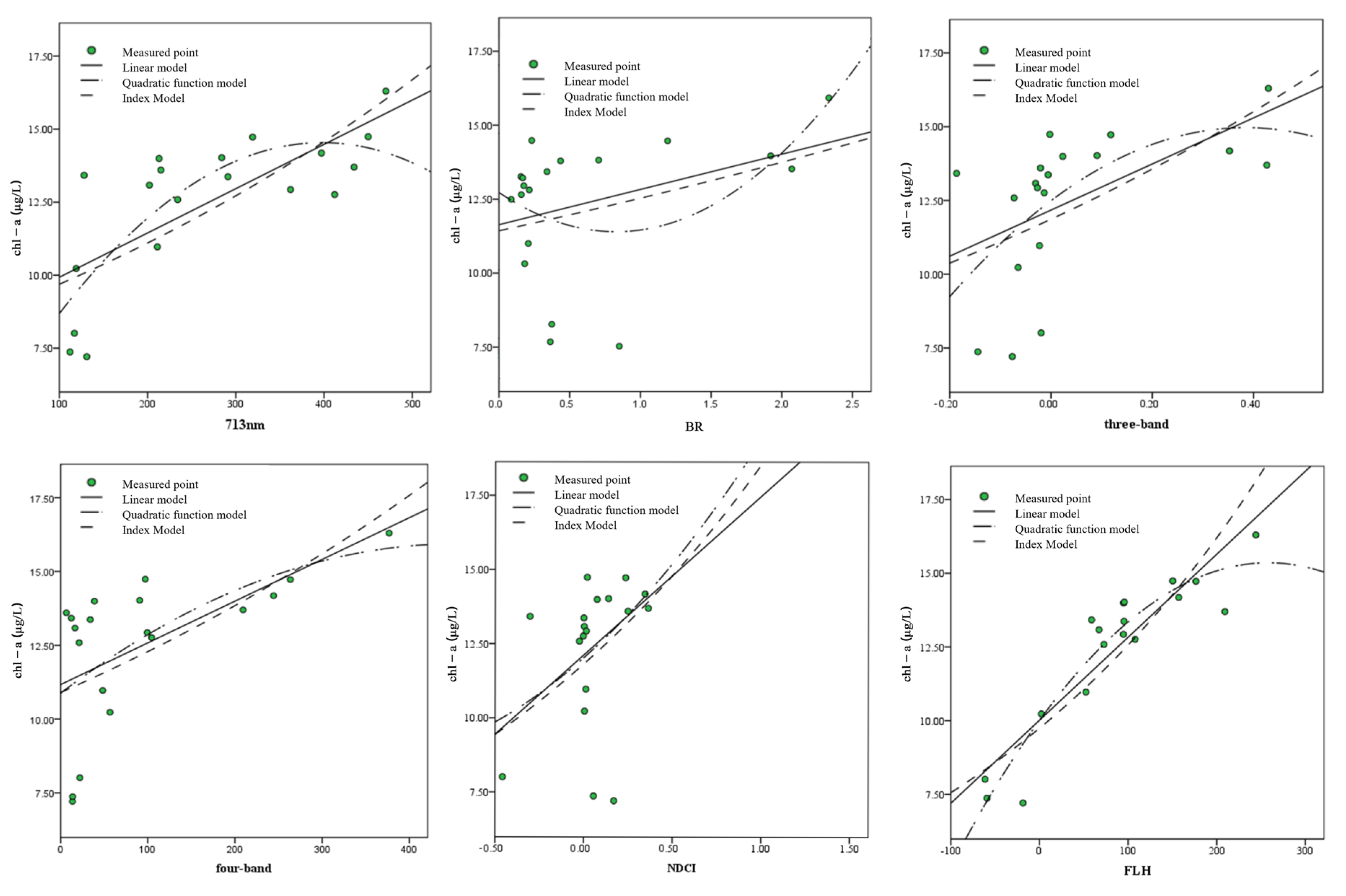
4.1. Model Validation
4.2. Inverted Chlorophyll-a Results
5. Discussion
5.1. ZY1-02 -Based and Sentinel-Based Chl-a Products
5.2. Uncertainties and Limitations
6. Conclusions
Author Contributions
Funding
Acknowledgments
Conflicts of Interest
References
- Neil, C.; Spyrakos, E.; Hunter, P.D.; Tyler, A.N. A global approach for chlorophyll-a retrieval across optically complex inland waters based on optical water types. Remote Sens. Environ. 2019, 229, 159–178. [Google Scholar] [CrossRef]
- Sagan, V.; Peterson, K.T.; Maimaitijiang, M.; Sidike, P.; Sloan, J.; Greeling, B.A.; Maalouf, S.; Adams, C. Monitoring inland water quality using remote sensing: Potential and limitations of spectral indices, bio-optical simulations, machine learning, and cloud computing. Earth-Sci. Rev. 2020, 205, 103187. [Google Scholar] [CrossRef]
- Guo, M.; Li, J.; Sheng, C.; Xu, J.; Wu, L. A Review of Wetland Remote Sensing. Sensors 2017, 17, 777. [Google Scholar] [CrossRef] [PubMed] [Green Version]
- Liu, X.; Steele, C.; Simis, S.; Warren, M.; Tyler, A.; Spyrakos, E.; Selmes, N.; Hunter, P. Retrieval of Chlorophyll-a concentration and associated product uncertainty in optically diverse lakes and reservoirs. Remote Sens. Environ. 2021, 267, 112710. [Google Scholar] [CrossRef]
- Smith, M.E.; Lain, L.R.; Bernard, S. An optimized Chlorophyll a switching algorithm for MERIS and OLCI in phytoplankton-dominated waters. Remote Sens. Environ. 2018, 215, 217–227. [Google Scholar] [CrossRef]
- Zhang, G.; Yao, T.; Chen, W.; Zheng, G.; Shum, C.K.; Yang, K.; Piao, S.; Sheng, Y.; Yi, S.; Li, J.; et al. Regional differences of lake evolution across China during 1960s–2015 and its natural and anthropogenic causes. Remote Sens. Environ. 2019, 221, 386–404. [Google Scholar] [CrossRef]
- Guan, Q.; Feng, L.; Hou, X.; Schurgers, G.; Zheng, Y.; Tang, J. Eutrophication changes in fifty large lakes on the Yangtze Plain of China derived from MERIS and OLCI observations. Remote Sens. Environ. 2020, 246, 111890. [Google Scholar] [CrossRef]
- Feng, L.; Hu, C.; Han, X.; Chen, X.; Qi, L. Long-Term Distribution Patterns of Chlorophyll-a Concentration in China’s Largest Freshwater Lake: MERISFull-Resolution Observations with a Practical Approach. Remote Sens. 2015, 7, 275–299. [Google Scholar] [CrossRef] [Green Version]
- Jiang, G.; Loiselle, S.A.; Yang, D.; Ma, R.; Gao, C. Remote estimation of chlorophyll a concentrations over a wide range of optical conditions based on water classification from VIIRS observations. Remote Sens. Environ. 2020, 241, 111735. [Google Scholar] [CrossRef]
- Bi, S.; Li, Y.; Liu, G.; Song, K.; Lyu, H. Assessment of Algorithms for Estimating Chlorophyll-a Concentration in Inland Waters: A Round-Robin Scoring Method Based on the Optically Fuzzy Clustering. IEEE Trans. Geosci. Remote 2021, 60, 1–17. [Google Scholar] [CrossRef]
- Du, C.; Wang, S.; Zhou, Y.; Yan, F. Retrieval of Chlorophyll a Concentration in Lake Taihu by Three-band Method Using Hyperion Hyperspectral Data. Environ. Sci. 2009, 30, 7. [Google Scholar]
- Yin, Z.; Li, J.; Fan, H.; Gao, M.; Xie, Y. Preliminary Study on Water Quality Parameter Inversion for the Yuqiao Reservoir Based on Zhuhai-1 Hyperspectral Satellite Data. Spectrosc. Spectr. Anal. 2021, 41, 5. [Google Scholar]
- Pahlevan, N.; Smith, B.; Schalles, J.; Binding, C.E.; Stumpf, R. Seamless retrievals of chlorophyll-a from Sentinel-2 (MSI) and Sentinel-3 (OLCI) in inland and coastal waters: A machine-learning approach. Remote Sens. Environ. 2020, 240, 111604. [Google Scholar] [CrossRef]
- Wang, X.; Gong, Z.; Pu, R. Estimation of chlorophyll-a content in inland turbidity waters using WorldView-2 imagery: A case study of the Guanting Reservoir, Beijing, China. Environ. Monit. Assess 2018, 190, 620. [Google Scholar] [CrossRef] [PubMed]
- Gai, Y.; Yu, D.; Zhou, Y.; Yang, L.; Chen, J. An Improved Model for Chlorophyll-a Concentration Retrieval in Coastal Waters Based on UAV-Borne Hyperspectral Imagery: A Case Study in Qingdao, China. Water 2020, 12, 2769. [Google Scholar] [CrossRef]
- Bramich, J.; Fischer, A.; Bolch, C. Improved red-edge chlorophyll-a detection for Sentinel 2. Ecol. Indic. 2021, 120, 106876. [Google Scholar] [CrossRef]
- Cao, Z.; Ma, R.; Duan, H.; Pahlevan, N.; Melack, J.; Shen, M.; Xue, K. A machine learning approach to estimate chlorophyll-a from Landsat-8 measurements in inland lakes. Remote Sens. Environ. 2020, 248, 111974. [Google Scholar] [CrossRef]
- Sun, W.; Yang, G.; Chen, C.; Chang, M.; Huang, K.; Meng, X.; Liu, L. Development status and literature analysis of China’s earth observation remote sensing satellites. J. Remote Sens. 2020, 24, 32. [Google Scholar]
- Zhu, J.; Zhou, Y.; Wang, S.; Wang, L.; Liu, W.; Li, H.; Mei, J. Ecological function evaluation and regionalization in Baiyangdian Wetland. Acta Ecol. Sin. 2020, 40, 14. [Google Scholar]
- Yi, Y.; Lin, C.; Tang, C. Hydrology, environment and ecological evolution of Lake Baiyangdian since 1960s. J. Lake Sci. 2020, 32, 1333–1347. [Google Scholar]
- Zhao, Y.; Wang, S.; Zhang, F.; Shen, Q.; Li, J.; Yang, F. Remote Sensing-Based Analysis of Spatial and Temporal Water Colour Variations in Baiyangdian Lake after the Establishment of the Xiong’an New Area. Remote Sens. 2021, 13, 1729. [Google Scholar] [CrossRef]
- Junwu, T.; Guoliang, T.; Xiaoyong, W.; Xiaomei, W.; Qingjun, S. The Methods of Water Spectra Measurement and Analysis I: Above-Water Method. J. Remote Sens. 2004, 8, 8. [Google Scholar]
- Vanhellemont, Q.; Ruddick, K. Advantages of high quality SWIR bands for ocean colour processing: Examples from Landsat-8. Remote Sens. Environ. 2015, 161, 89–106. [Google Scholar] [CrossRef] [Green Version]
- Wang, D.; Ma, R.; Xue, K.; Loiselle, S. The Assessment of Landsat-8 OLI Atmospheric Correction Algorithms for Inland Waters. Remote Sens. 2019, 11, 169. [Google Scholar] [CrossRef] [Green Version]
- Li, D.; Wu, B.; Chen, B.; Xue, Y.; Zhang, Y. Review of water body in formation extraction based on satellite remote sensing. J. Tsinghua Univ. 2020, 60, 15. [Google Scholar]
- Mcfeeters, S.K. The use of the Normalized Difference Water Index (NDWI) in the delineation of open water features. J. Remote Sens. 1996, 17, 1425–1432. [Google Scholar] [CrossRef]
- Matsushita, B.; Yang, W.; Yu, G.; Oyama, Y.; Yoshimura, K.; Fukushima, T. A hybrid algorithm for estimating the chlorophyll-a concentration across different trophic states in Asian inland waters. ISPRS J. Photogramm. Remote Sens. 2015, 102, 28–37. [Google Scholar] [CrossRef] [Green Version]
- Tian, H.; Cao, C.; Xu, M.; Zhu, Z.; Liu, D.; Wang, X.; Cui, S. Estimation of chlorophyll-a concentration in coastal waters with HJ-1A HSI data using a three-band bio-optical model and validation. Inter. J. Remote Sens. 2014, 35, 5984–6003. [Google Scholar] [CrossRef]
- Mishra, S.; Mishra, D.R. Normalized difference chlorophyll index: A novel model for remote estimation of chlorophyll-a concentration in turbid productive waters. Remote Sens. Environ. 2012, 117, 394–406. [Google Scholar] [CrossRef]
- Luo, J.; Qin, L.; Mao, P.; Xiong, Y.; Zhao, W.; Gao, H.; Qiu, G. Research Progress in the Retrieval Algorithms for Chlorophyll-a, a Key Element of Water Quality Monitoring by Remote Sensing. Remote Sens. Technol. Appl. 2021, 36, 473–488. [Google Scholar]











| Parameters | ZY1-02D AHSI | ZY1-02D VNIC |
|---|---|---|
| Waveband Range | VNIR: 440–1040 nm SWIR: 1005–2501 nm | B1: 452–521 nm |
| B2: 522–607 nm | ||
| B3: 635–694 nm | ||
| B4: 776–895 nm | ||
| B5: 416–452 nm | ||
| B6: 591–633 nm | ||
| B7: 708–752 nm | ||
| B8: 871–1047 nm | ||
| Spectral sampling interval | VNIR: 10 nm SWIR: 20 nm | 20–60 nm |
| Number of bands | 166 | 8 |
| Spatial resolution | 30 m | 10 m |
| Width | 60 km | 115 km |
| Model | Parameter | ||||
|---|---|---|---|---|---|
| Single | 713 | ||||
| BR | 645 | 713 | |||
| Three-band | 679 | 705 | 756 | ||
| Four-band | 679 | 696 | 705 | 739 | |
| NDCI | 705 | 662 | |||
| FLH | 679 | 705 | 748 |
| Name | Model | R2 | RMSE (μg/L) | MAPE |
|---|---|---|---|---|
| Single | y = 0.015x + 4.415 | 0.55 | 25.97 | 24.69% |
| BR | y = −1.667x2 + 7.412x + 3.8777 | 0.75 | 20.22 | 18.16% |
| Three-band | y = 7.814x + 2.023 | 0.66 | 17.89 | 17.78% |
| Four-band | y = | 0.52 | 24.66 | 29.27% |
| NDCI | y = 5.344x2 − 2.007x + 12.03 | 0.70 | 19.57 | 29.17% |
| FLH | y = 0.028x + 8.023 | 0.78 | 15.55 | 16.31% |
Publisher’s Note: MDPI stays neutral with regard to jurisdictional claims in published maps and institutional affiliations. |
© 2022 by the authors. Licensee MDPI, Basel, Switzerland. This article is an open access article distributed under the terms and conditions of the Creative Commons Attribution (CC BY) license (https://creativecommons.org/licenses/by/4.0/).
Share and Cite
Lu, L.; Gong, Z.; Liang, Y.; Liang, S. Retrieval of Chlorophyll-a Concentrations of Class II Water Bodies of Inland Lakes and Reservoirs Based on ZY1-02D Satellite Hyperspectral Data. Remote Sens. 2022, 14, 1842. https://doi.org/10.3390/rs14081842
Lu L, Gong Z, Liang Y, Liang S. Retrieval of Chlorophyll-a Concentrations of Class II Water Bodies of Inland Lakes and Reservoirs Based on ZY1-02D Satellite Hyperspectral Data. Remote Sensing. 2022; 14(8):1842. https://doi.org/10.3390/rs14081842
Chicago/Turabian StyleLu, Li, Zhaoning Gong, Yanan Liang, and Shuang Liang. 2022. "Retrieval of Chlorophyll-a Concentrations of Class II Water Bodies of Inland Lakes and Reservoirs Based on ZY1-02D Satellite Hyperspectral Data" Remote Sensing 14, no. 8: 1842. https://doi.org/10.3390/rs14081842
APA StyleLu, L., Gong, Z., Liang, Y., & Liang, S. (2022). Retrieval of Chlorophyll-a Concentrations of Class II Water Bodies of Inland Lakes and Reservoirs Based on ZY1-02D Satellite Hyperspectral Data. Remote Sensing, 14(8), 1842. https://doi.org/10.3390/rs14081842

