Coastal Acoustic Tomography of the Neko-Seto Channel with a Focus on the Generation of Nonlinear Tidal Currents—Revisiting the First Experiment
Abstract
1. Introduction
2. Model and Observation Data
2.1. Observation
2.2. Model
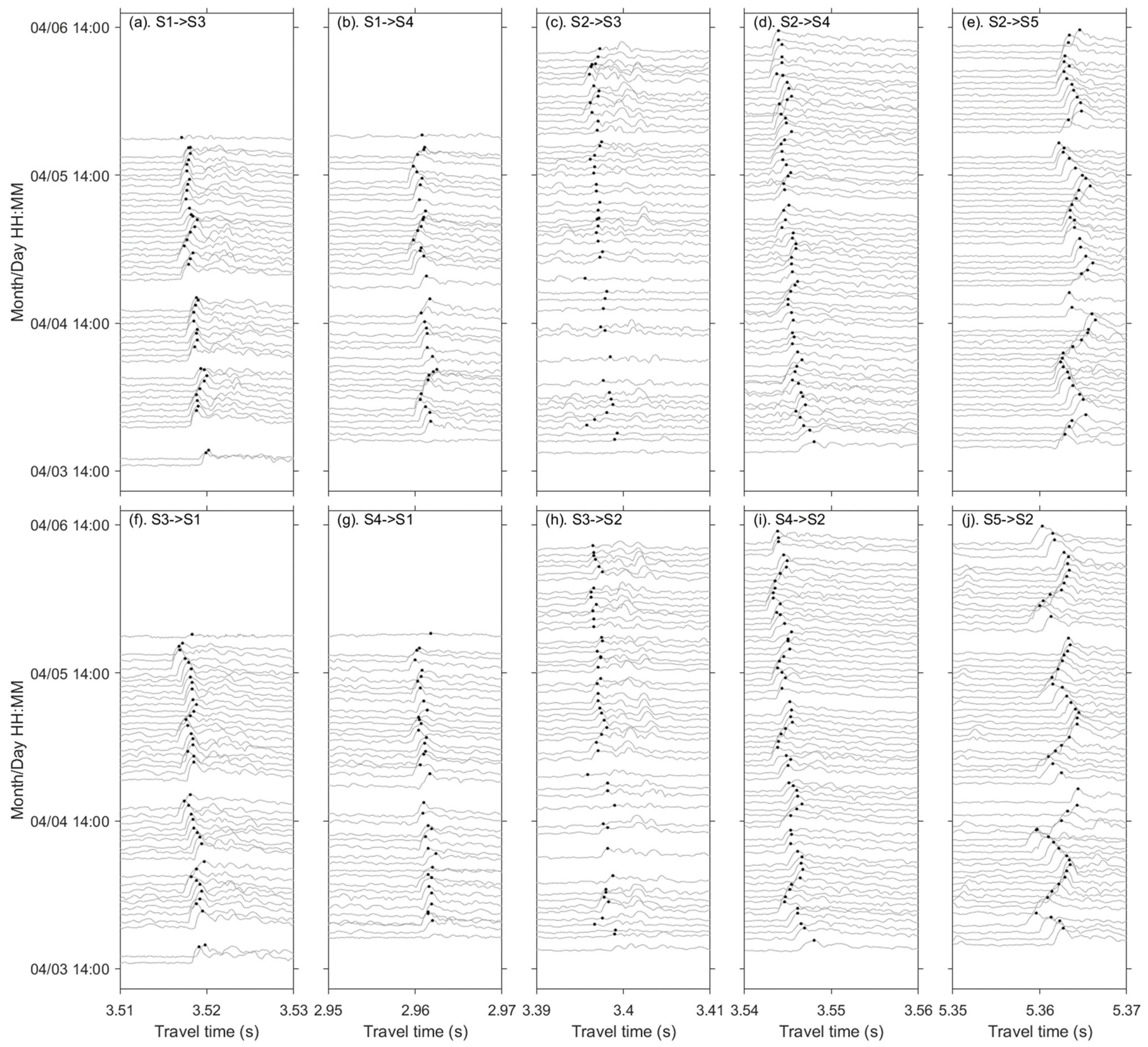
3. Results
4. Discussion
5. Conclusions
Author Contributions
Funding
Institutional Review Board Statement
Informed Consent Statement
Data Availability Statement
Acknowledgments
Conflicts of Interest
References
- Speer, P.; Aubrey, D. A study of non-linear tidal propagation in shallow inlet/estuarine systems Part II: Theory. Estuarine Coast. Shelf Sci. 1985, 21, 207–224. [Google Scholar] [CrossRef]
- Davies, A.M.; Jones, J.E. Sensitivity of Tidal Bed Stress Distributions, Near-Bed Currents, Overtides, and Tidal Residuals to Frictional Effects in the Eastern Irish Sea. J. Phys. Oceanogr. 1996, 26, 2553–2575. [Google Scholar] [CrossRef][Green Version]
- Blanton, J.O.; Lin, G.; A Elston, S. Tidal current asymmetry in shallow estuaries and tidal creeks. Cont. Shelf Res. 2002, 22, 1731–1743. [Google Scholar] [CrossRef]
- Dong, L.; Su, J. Tide response and wave distortion in Xiangshan Bay, I, observation and analysis. Acta Oceanol. Sin. 1991, 21, 1–10. [Google Scholar]
- Dong, L.; Su, J. Tide response and wave distortion in Xiangshan Bay, II, numerical modeling study in the Xiangshan Bay. Acta Oceanol. Sin. 1991, 21, 1–8. [Google Scholar]
- Nidzieko, N.J. Tidal asymmetry in estuaries with mixed semidiurnal/diurnal tides. J. Geophys. Res. Earth Surf. 2010, 115. [Google Scholar] [CrossRef]
- Sheng, J.; Wang, L. Numerical study of tidal circulation and nonlinear dynamics in Lunenburg Bay, Nova Scotia. J. Geophys. Res. Earth Surf. 2004, 109, C10018. [Google Scholar] [CrossRef]
- Kaneko, A.; Zhu, X.-H.; Lin, J. Coastal Acoustic Tomography; Elsevier: Amsterdam, The Netherlands, 2020. [Google Scholar] [CrossRef]
- Lin, J.; Kaneko, A.; Gohda, N.; Yamaguchi, K. Accurate imaging and prediction of Kanmon Strait tidal current structures by the coastal acoustic tomography data. Geophys. Res. Lett. 2005, 32. [Google Scholar] [CrossRef]
- Chen, M.; Kaneko, A.; Lin, J.; Zhang, C. Mapping of a Typhoon-Driven Coastal Upwelling by Assimilating Coastal Acoustic Tomography Data. J. Geophys. Res. Oceans 2017, 122, 7822–7837. [Google Scholar] [CrossRef]
- Taniguchi, N.; Takahashi, T.; Yoshiki, K.; Yamamoto, H.; Hanifa, A.D.; Sakuno, Y.; Mutsuda, H.; Huang, S.-W.; Huang, C.-F.; Guo, J.-H. A reciprocal acoustic transmission experiment for precise observations of tidal currents in a shallow sea. Ocean Eng. 2020, 219, 108292. [Google Scholar] [CrossRef]
- Chen, M.; Zhu, Z.-N.; Zhang, C.; Zhu, X.-H.; Zhang, Z.; Wang, M.; Zheng, H.; Zhang, X.; Chen, J.; He, Z.; et al. Mapping of tidal current and associated nonlinear currents in the Xiangshan Bay by coastal acoustic tomography. Ocean Dyn. 2021, 71, 811–821. [Google Scholar] [CrossRef]
- Huang, H.; Xu, S.; Xie, X.; Guo, Y.; Meng, L.; Li, G. Continuous Sensing of Water Temperature in a Reservoir with Grid Inversion Method Based on Acoustic Tomography System. Remote Sens. 2021, 13, 2633. [Google Scholar] [CrossRef]
- Zhu, Z.-N.; Zhu, X.-H.; Guo, X. Coastal tomographic mapping of nonlinear tidal currents and residual currents. Cont. Shelf Res. 2017, 143, 219–227. [Google Scholar] [CrossRef]
- Zhu, Z.; Zhu, X.; Zhang, C.; Chen, M.; Wang, M.; Dong, M.; Liu, W.; Zheng, H.; Kaneko, A. Dynamics of Tidal and Residual Currents Based on Coastal Acoustic Tomography Assimilated Data Obtained in Jiaozhou Bay, China. J. Geophys. Res. Oceans 2021, 126, e2020JC017003. [Google Scholar] [CrossRef]
- Hanifa, A.D.; Syamsudin, F.; Zhang, C.; Mutsuda, H.; Chen, M.; Zhu, X.-H.; Kaneko, A.; Taniguchi, N.; Li, G.; Zhu, Z.-N.; et al. Tomographic measurement of tidal current and associated 3-h oscillation in Bali Strait. Estuar. Coast. Shelf Sci. 2020, 236, 106655. [Google Scholar] [CrossRef]
- Zhu, X.-H.; Kaneko, A.; Wu, Q.; Zhang, C.; Taniguchi, N.; Gohda, N. Mapping Tidal Current Structures in Zhitouyang Bay, China, Using Coastal Acoustic Tomography. IEEE J. Ocean. Eng. 2012, 38, 285–296. [Google Scholar] [CrossRef]
- Zhu, X.-H.; Zhu, Z.-N.; Guo, X.; Ma, Y.-L.; Fan, X.; Dong, M.; Zhang, C. Measurement of tidal and residual currents and volume transport through the Qiongzhou Strait using coastal acoustic tomography. Cont. Shelf Res. 2015, 108, 65–75. [Google Scholar] [CrossRef]
- Takasugi, Y.; Fujiwara, T.; Sugimoto, T. Formation of sand banks due to tidal vortices around straits. J. Oceanogr. 1994, 50, 81–98. [Google Scholar] [CrossRef]
- Park, J.-H.; Kaneko, A. Assimilation of coastal acoustic tomography data into a barotropic ocean model. Geophys. Res. Lett. 2000, 27, 3373–3376. [Google Scholar] [CrossRef]
- Yamoaka, H.; Kaneko, A.; Park, J.-H.; Zheng, H.; Gohda, N.; Takano, T.; Zhu, X.-H.; Takasugi, Y. Coastal acoustic tomography system and its field application. IEEE J. Ocean. Eng. 2002, 27, 283–295. [Google Scholar] [CrossRef]
- Lekien, F.; Coulliette, C.; Bank, R.; Marsden, J. Open-boundary modal analysis: Interpolation, extrapolation, and filtering. J. Geophys. Res. Earth Surf. 2004, 109, C12004. [Google Scholar] [CrossRef]
- Kaplan, D.D.; Lekien, F. Spatial interpolation and filtering of surface current data based on open-boundary modal analysis. J. Geophys. Res. Earth Surf. 2007, 112, C12007. [Google Scholar] [CrossRef]
- Munk, W.; Worcestor, P.F.; Wunsch, C. Ocean Acoustic Tomography; Cambridge University Press: Cambridge, UK, 1995. [Google Scholar]
- Chen, M.; Zhu, Z.-N.; Zhang, C.; Zhu, X.-H.; Wang, M.; Fan, X.; Zhao, R.; Lin, J.; Kaneko, A. Mapping Current Fields in a Bay Using a Coast-Fitting Tomographic Inversion. Sensors 2020, 20, 558. [Google Scholar] [CrossRef] [PubMed]
- Uncles, R. A note on tidal asymmetry in the severn estuary. Estuar. Coast. Shelf Sci. 1981, 13, 419–432. [Google Scholar] [CrossRef]
- Friedrichs, C.T.; Aubrey, D.G. Non-linear tidal distortion in shallow well-mixed estuaries: A synthesis. Estuar. Coast. Shelf Sci. 1988, 27, 521–545. [Google Scholar] [CrossRef]
- Byun, D.-S.; Cho, Y.-K. Double peak-flood current asymmetry in a shallow-water-constituent dominated embayment with a macro-tidal flat. Geophys. Res. Lett. 2006, 33, L16613. [Google Scholar] [CrossRef]










Publisher’s Note: MDPI stays neutral with regard to jurisdictional claims in published maps and institutional affiliations. |
© 2022 by the authors. Licensee MDPI, Basel, Switzerland. This article is an open access article distributed under the terms and conditions of the Creative Commons Attribution (CC BY) license (https://creativecommons.org/licenses/by/4.0/).
Share and Cite
Chen, M.; Hanifa, A.D.; Taniguchi, N.; Mutsuda, H.; Zhu, X.; Zhu, Z.; Zhang, C.; Lin, J.; Kaneko, A. Coastal Acoustic Tomography of the Neko-Seto Channel with a Focus on the Generation of Nonlinear Tidal Currents—Revisiting the First Experiment. Remote Sens. 2022, 14, 1699. https://doi.org/10.3390/rs14071699
Chen M, Hanifa AD, Taniguchi N, Mutsuda H, Zhu X, Zhu Z, Zhang C, Lin J, Kaneko A. Coastal Acoustic Tomography of the Neko-Seto Channel with a Focus on the Generation of Nonlinear Tidal Currents—Revisiting the First Experiment. Remote Sensing. 2022; 14(7):1699. https://doi.org/10.3390/rs14071699
Chicago/Turabian StyleChen, Minmo, Aruni Dinan Hanifa, Naokazu Taniguchi, Hidemi Mutsuda, Xiaohua Zhu, Zenan Zhu, Chuanzheng Zhang, Ju Lin, and Arata Kaneko. 2022. "Coastal Acoustic Tomography of the Neko-Seto Channel with a Focus on the Generation of Nonlinear Tidal Currents—Revisiting the First Experiment" Remote Sensing 14, no. 7: 1699. https://doi.org/10.3390/rs14071699
APA StyleChen, M., Hanifa, A. D., Taniguchi, N., Mutsuda, H., Zhu, X., Zhu, Z., Zhang, C., Lin, J., & Kaneko, A. (2022). Coastal Acoustic Tomography of the Neko-Seto Channel with a Focus on the Generation of Nonlinear Tidal Currents—Revisiting the First Experiment. Remote Sensing, 14(7), 1699. https://doi.org/10.3390/rs14071699

