SHARAD Observations of Temporal Variations of CO2 Ice Deposits at the South Pole of Mars
Abstract
:1. Introduction
2. Background
2.1. Stratigraphy of Martian South Polar Ice Cap
2.2. Temporal Variations of South Polar Cap
3. Materials and Methods
3.1. Data
3.1.1. Study Regions
3.1.2. Shallow Radar Data
3.2. Methods
3.2.1. Measurement of CO2 Deposits’ Thickness
3.2.2. Surface Roughness
4. Results
4.1. Seasonal Variations
4.1.1. Case Studies of Seasonal Variations
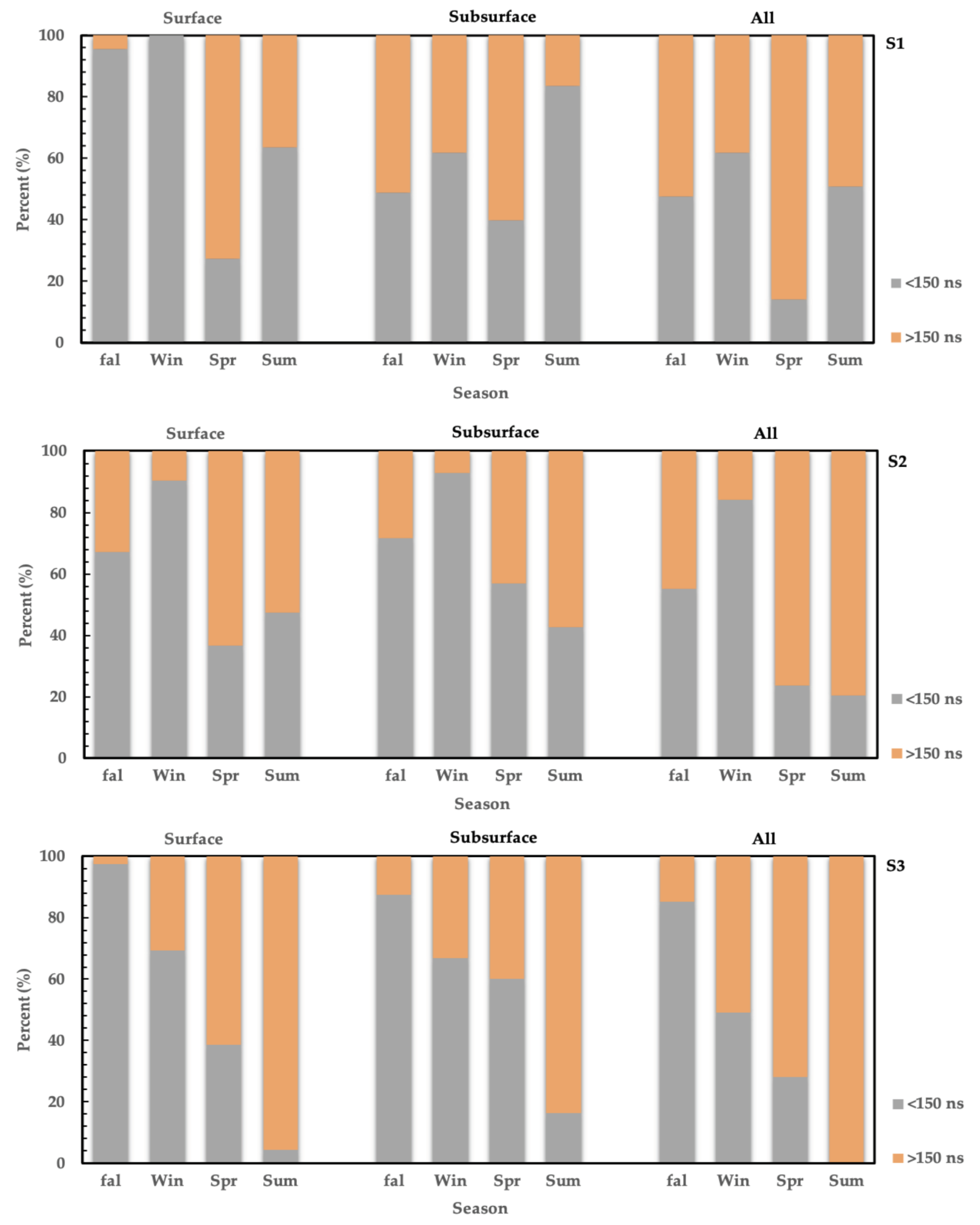
4.1.2. Statistical Study of Seasonal Variations
4.1.3. Seasonal Variations of Surface Roughness
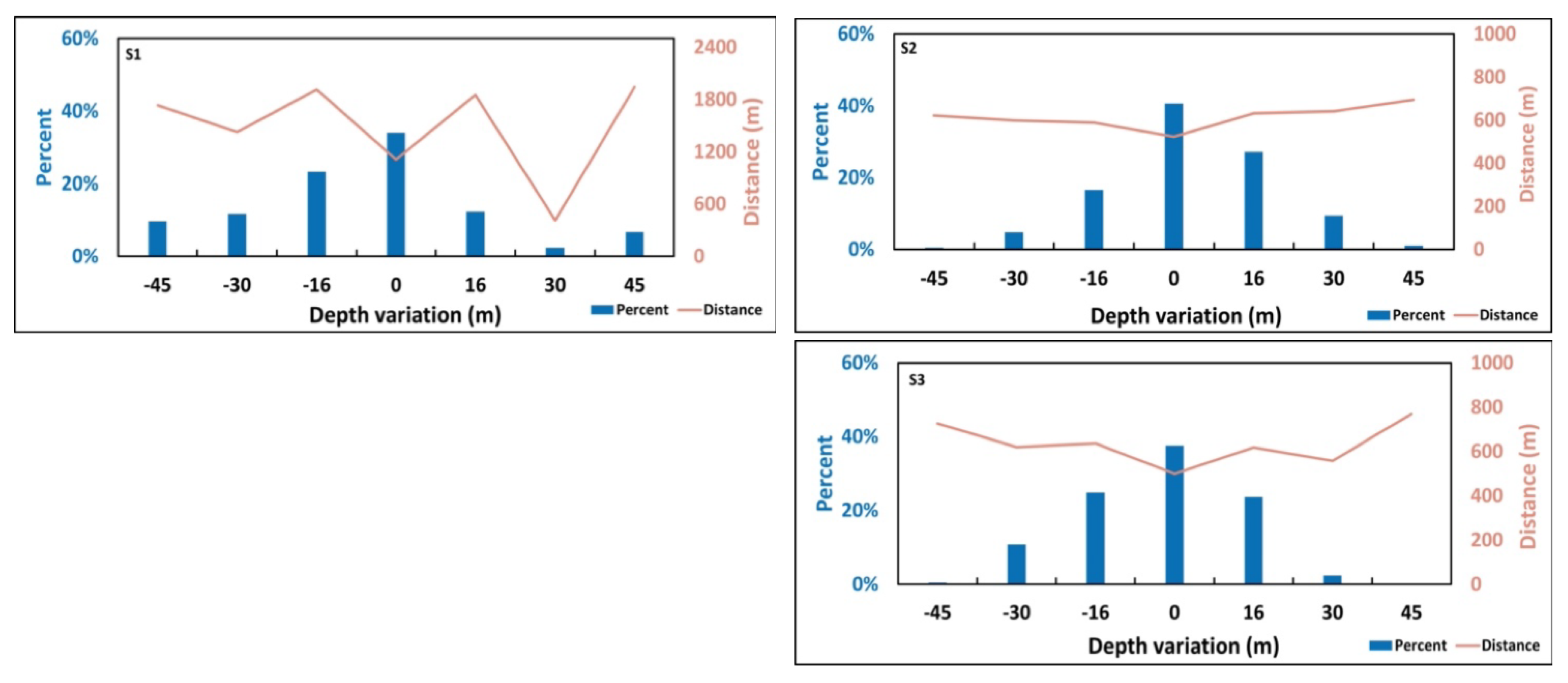
4.2. Variations of CO2 Layer Thickness in 11 Terrestrial Years
4.3. Simulation Results of Rough Surface
5. Discussion
6. Conclusions
Supplementary Materials
Author Contributions
Funding
Data Availability Statement
Acknowledgments
Conflicts of Interest
References
- Thomas, P.C.; Malin, M.C.; Edgett, K.; Carr, M.H.; Hartmann, W.K.; Ingersoll, A.P.; James, P.B.; Soderblom, L.A.; Veverka, J.; Sullivan, R. North-south geological differences between the residual polar caps on Mars. Nature 2000, 404, 161–164. [Google Scholar] [CrossRef] [PubMed]
- Tanaka, K.L.; Kolb, E.J.; Fortezzo, C. Recent advances in the stratigraphy of the polar regions of Mars. In Proceedings of the Seventh International Conference on Mars, Pasadena, CA, USA, 9–13 July 2007; Volume 1353, p. 3276. [Google Scholar]
- Seu, R.; Phillips, R.J.; Alberti, G.; Biccari, D.; Bonaventura, F.; Bortone, M.; Calabrese, D.; Campbell, B.A.; Cartacci, M.; Carter, L.M.; et al. Accumulation and erosion of Mars’ south polar layered deposits. Science 2007, 317, 1715–1718. [Google Scholar] [CrossRef] [PubMed] [Green Version]
- Milkovich, S.M.; Plaut, J.J. Martian South Polar Layered Deposit stratigraphy and implications for accumulation history. J. Geophys. Res. Planets 2008, 113, E6. [Google Scholar] [CrossRef] [Green Version]
- Laskar, J.; Levrard, B.; Mustard, J.F. Orbital forcing of the Martian polar layered deposits. Nature 2002, 419, 375–377. [Google Scholar] [CrossRef] [PubMed]
- Manning, C.V.; Bierson, C.; Putzig, N.E.; McKay, C.P. The formation and stability of buried polar CO2 deposits on Mars. Icarus 2019, 317, 509–517. [Google Scholar] [CrossRef]
- Zuber, M.T.; Smith, D.E.; Solomon, S.C.; Muhleman, D.O.; Head, J.W.; Garvin, J.B.; Abshire, J.B.; Bufton, J.L. The Mars Observer laser altimeter investigation. J. Geophys. Res. Planets 1992, 97, 7781–7797. [Google Scholar] [CrossRef]
- Bierson, C.; Phillips, R.J.; Smith, I.B.; Wood, S.E.; Putzig, N.; Nunes, D.; Byrne, S. Stratigraphy and evolution of the buried CO2 deposit in the Martian south polar cap. Geophys. Res. Lett. 2016, 43, 4172–4179. [Google Scholar] [CrossRef] [Green Version]
- Phillips, R.J.; Davis, B.J.; Tanaka, K.L.; Byrne, S.; Mellon, M.T.; Putzig, N.E.; Haberle, R.M.; Kahre, M.A.; Campbell, B.A.; Carter, L.M.; et al. Massive CO2 ice deposits sequestered in the south polar layered deposits of Mars. Science 2011, 332, 838–841. [Google Scholar] [CrossRef] [PubMed] [Green Version]
- Head, J.W.; Mustard, J.F.; Kreslavsky, M.; Milliken, R.E.; Marchant, D.R. Recent ice ages on Mars. Nature 2003, 426, 797–802. [Google Scholar] [CrossRef]
- Levrard, B.; Forget, F.; Montmessin, F.; Laskar, J. Recent formation and evolution of northern Martian polar layered deposits as inferred from a Global Climate Model. J. Geophys. Res. Planets 2007, 112, E6. [Google Scholar] [CrossRef] [Green Version]
- Leighton, R.B.; Murray, B.C. Behavior of carbon dioxide and other volatiles on Mars. Science 1966, 153, 136–144. [Google Scholar] [CrossRef] [PubMed]
- Kelly, N.J.; Boynton, W.V.; Kerry, K.; Hamara, D.; Janes, D.; Reedy, R.C.; Kim, K.J.; Haberle, R.M. Seasonal polar carbon dioxide frost on Mars: CO2 mass and columnar thickness distribution. J. Geophys. Res. Planets 2006, 111, E3. [Google Scholar] [CrossRef]
- Smith, D.E.; Zuber, M.T.; Frey, H.V.; Garvin, J.; Head, J.W.; Muhleman, D.O.; Pettengill, G.H.; Phillips, R.J.; Solomon, S.C.; Zwally, H.J.; et al. Mars Orbiter Laser Altimeter: Experiment summary after the first year of global mapping of Mars. J. Geophys. Res. Planets 2001, 106, 23689–23722. [Google Scholar] [CrossRef]
- Putri, A.R.D.; Sidiropoulos, P.; Muller, J.-P.; Walter, S.H.; Michael, G.G. A New South Polar Digital Terrain Model of Mars from the High-Resolution Stereo Camera (HRSC) onboard the ESA Mars Express. Planet. Space Sci. 2019, 174, 43–55. [Google Scholar] [CrossRef]
- Byrne, S. The polar deposits of Mars. Annu. Rev. Earth Planet. Sci. 2009, 37, 535–560. [Google Scholar] [CrossRef]
- Byrne, S.; Ingersoll, A.P. A sublimation model for Martian south polar ice features. Science 2003, 299, 1051–1053. [Google Scholar] [CrossRef] [PubMed] [Green Version]
- Thomas, P.; Malin, M.; James, P.; Cantor, B.; Williams, R.; Gierasch, P. South polar residual cap of Mars: Features, stratigraphy, and changes. Icarus 2005, 174, 535–559. [Google Scholar] [CrossRef]
- James, P.; Thomas, P.; Malin, M.C. Variability of the south polar cap of Mars in Mars years 28 and 29. Icarus 2010, 208, 82–85. [Google Scholar] [CrossRef]
- Thomas, P.; James, P.; Calvin, W.; Haberle, R.; Malin, M. Residual south polar cap of Mars: Stratigraphy, history, and implications of recent changes. Icarus 2009, 203, 352–375. [Google Scholar] [CrossRef]
- Thomas, P.; Calvin, W.; Cantor, B.; Haberle, R.; James, P.; Lee, S. Mass balance of Mars’ residual south polar cap from CTX images and other data. Icarus 2016, 268, 118–130. [Google Scholar] [CrossRef]
- Giannopoulos, A. Modelling ground penetrating radar by GprMax. Constr. Build. Mater. 2005, 19, 755–762. [Google Scholar] [CrossRef]
- Shoemaker, E.S.; Baker, D.M.H.; Carter, L.M. Radar sounding of open basin lakes on Mars. J. Geophys. Res. Planets 2018, 123, 1395–1406. [Google Scholar] [CrossRef]
- Shean, D.; Alexandrov, O.; Moratto, Z.M.; Smith, B.E.; Joughin, I.; Porter, C.; Morin, P. An automated, open-source pipeline for mass production of digital elevation models (DEMs) from very-high-resolution commercial stereo satellite imagery. ISPRS J. Photogramm. Remote Sens. 2016, 116, 101–117. [Google Scholar] [CrossRef] [Green Version]
- Broxton, M.J.; Edwards, L.J. The Ames Stereo Pipeline: Automated 3D surface reconstruction from orbital imagery. In Proceedings of the Lunar and Planetary Science Conference, League City, TX, USA, 10–14 March 2008; Volume 1391, p. 2419. [Google Scholar]
- Campbell, B.A.; Putzig, N.E.; Carter, L.M.; Morgan, G.A.; Phillips, R.J.; Plaut, J.J. Roughness and near-surface density of Mars from SHARAD radar echoes. J. Geophys. Res. Planets 2013, 118, 436–450. [Google Scholar] [CrossRef]
- Titus, T.N.; Williams, K.E.; Cushing, G.E. Conceptual model for the removal of cold-trapped H2O ice on the Mars northern seasonal springtime polar cap. Geophys. Res. Lett. 2020, 47, e2020GL087387. [Google Scholar] [CrossRef]














| Study Area | Ls (Degree) | Depth (m) | WS (ns) | Δd (m) | Δw (ns) |
|---|---|---|---|---|---|
| S1 | 309.4 | 348.8 | 138.6 | 30.4 | −23.3 |
| 92.0 | 379.2 | 115.3 |
| Study Area | Ls (Degree) | Depth (m) | WS (ns) | Δd (m) | Δw (ns) |
|---|---|---|---|---|---|
| S2 | 328.1 | 394.4 | 144.3 | 15.2 | −23.7 |
| 148.2 | 409.6 | 120.7 |
| Cases | Study Area | Ls (degree) | Depth (m) | Δd (m) | Distance (m) |
|---|---|---|---|---|---|
| 1 | s1 | 328 | 348.90 | 45.51 | 1026.29 |
| 102 | 394.41 | ||||
| 2 | s1 | 309 | 348.90 | 15.17 | 2526.43 |
| 102 | 364.06 | ||||
| 3 | s1 | 309 | 348.90 | 45.51 | 2053.82 |
| 92 | 394.41 | ||||
| 4 | s2 | 328 | 364.06 | 30.34 | 2296.63 |
| 148 | 394.41 | ||||
| 5 | s2 | 328 | 364.06 | 45.51 | 2542.52 |
| 148 | 409.57 | ||||
| 6 | s2 | 328 | 394.41 | 15.17 | 2807.44 |
| 148 | 409.57 |
| Region | Index | Ls (Degree) | MAX (%) |
|---|---|---|---|
| S1 | 1 | 228 | 0.8 |
| 2 | 318 | 2.8 | |
| 3 | 318 | 2.5 | |
| S2 | 1 | 204 | 0.8 |
| 2 | 228 | 0.5 | |
| 3 | 288 | 2.2 | |
| 4 | 286 | 1.0 | |
| 5 | 318 | 1.0 | |
| 6 | 310 | 0.8 | |
| 7 | 325 | 0.6 | |
| 8 | 326 | 0.5 | |
| 9 | 335 | 0.7 | |
| S3 | 1 | 204 | 0.3 |
| 2 | 286 | 0.5 | |
| 3 | 337 | 0.2 |
Publisher’s Note: MDPI stays neutral with regard to jurisdictional claims in published maps and institutional affiliations. |
© 2022 by the authors. Licensee MDPI, Basel, Switzerland. This article is an open access article distributed under the terms and conditions of the Creative Commons Attribution (CC BY) license (https://creativecommons.org/licenses/by/4.0/).
Share and Cite
Xu, X.; Xu, Y.; Meng, X. SHARAD Observations of Temporal Variations of CO2 Ice Deposits at the South Pole of Mars. Remote Sens. 2022, 14, 435. https://doi.org/10.3390/rs14030435
Xu X, Xu Y, Meng X. SHARAD Observations of Temporal Variations of CO2 Ice Deposits at the South Pole of Mars. Remote Sensing. 2022; 14(3):435. https://doi.org/10.3390/rs14030435
Chicago/Turabian StyleXu, Xiaoting, Yi Xu, and Xu Meng. 2022. "SHARAD Observations of Temporal Variations of CO2 Ice Deposits at the South Pole of Mars" Remote Sensing 14, no. 3: 435. https://doi.org/10.3390/rs14030435
APA StyleXu, X., Xu, Y., & Meng, X. (2022). SHARAD Observations of Temporal Variations of CO2 Ice Deposits at the South Pole of Mars. Remote Sensing, 14(3), 435. https://doi.org/10.3390/rs14030435

