A Comparison of Random Forest Algorithm-Based Forest Extraction with GF-1 WFV, Landsat 8 and Sentinel-2 Images
Abstract
1. Introduction
2. Materials and Methods
2.1. Study Area
2.2. Remote-Sensing Data
2.2.1. GF-1 WFV Imagery
2.2.2. Landsat 8 Imagery
2.2.3. Sentinel-2 Imagery
2.3. Vegetation Indices
2.4. Methods
- Classification methods
- Accuracy assessment
- Setting of the classifier
3. Results and Discussions
3.1. Forest Classification with Remotely Sensed Images at Different Processing Levels
3.2. Forest/Non-Forest Classification with Multispectral Data
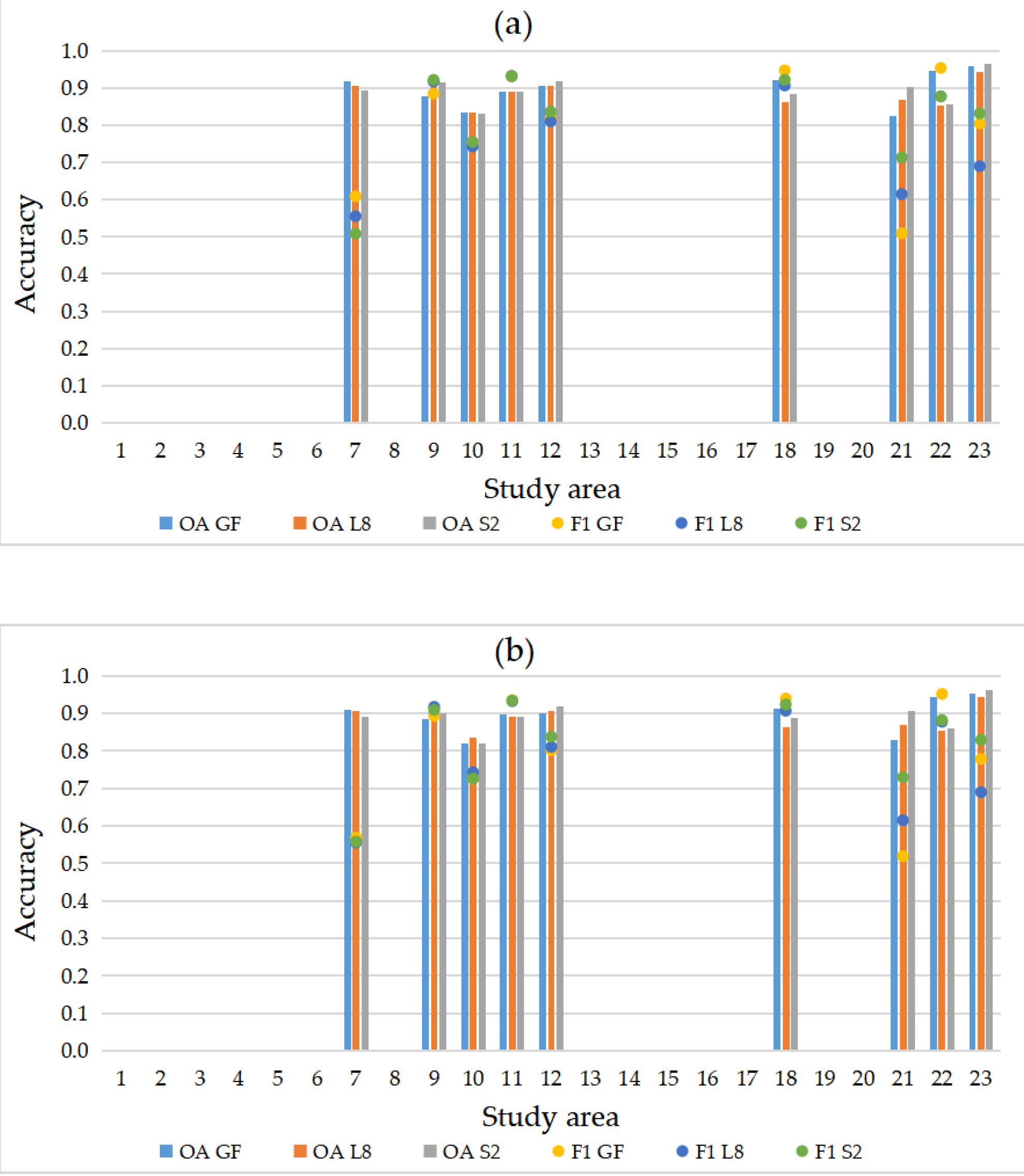
3.3. Assessment of Forest Classification Results with Different Sensors
4. Conclusions
- (1)
- The performance of the remote-sensing data of different processing levels in the FNF classification tasks did not differ significantly. However, concerning the stability of the classification accuracy at different processing levels, the classification accuracy of the TOA data is more stable and slightly better than that of the data at other processing levels.
- (2)
- The SWIR and the RE bands are positive for the improvement of forest classification accuracy. The lack of these bands may cause some negative results in classifications. Although VIs can indicate vegetation, they do not contribute significantly in the FNF classification task in this paper.
- (3)
- Of the three data sources compared, S2 yields the highest FNF differentiation ability at both the OSR and 30 m resolution, followed by GF-1 WFV and L8. Nevertheless, the three satellite images of GF-1 WFV, L8, and S2 show comparable abilities in distinguishing forest and non-forest areas. For example, the FNF OA of the GF-1 WFV, L8, and S2 data at the OSR did not differ significantly, yielding values of 89.72%, 88.61%, and 89.53%, respectively. Additionally, there is little difference with respect to the F1 scores, yielding values of 80.13%, 78.31%, and 81.12%.
Author Contributions
Funding
Data Availability Statement
Acknowledgments
Conflicts of Interest
References
- Global Forest Resources Assessment 2020. Available online: https://www.fao.org/forest-resources-assessment/2020/en/ (accessed on 9 October 2022).
- Hansen, M.C.; Potapov, P.V.; Moore, R.; Hancher, M.; Turubanova, S.A.; Tyukavina, A.; Thau, D.; Stehman, S.V.; Goetz, S.J.; Loveland, T.R.; et al. High-resolution global maps of 21st-century forest cover change. Science 2013, 342, 850–853. [Google Scholar] [CrossRef] [PubMed]
- White, J.C.; Wulder, M.A.; Hermosilla, T.; Coops, N.C. Satellite time series can guide forest restoration. Nature 2019, 569, 630. [Google Scholar] [CrossRef] [PubMed]
- De Keersmaecker, W.; Rodríguez-Sánchez, P.; Milencović, M.; Herold, M.; Reiche, J.; Verbesselt, J. Evaluating recovery metrics derived from optical time series over tropical forest ecosystems. Remote Sens. Environ. 2022, 274, 112991. [Google Scholar] [CrossRef]
- Cardille, J.A.; Perez, E.; Crowley, M.A.; Wulder, M.A.; White, J.C.; Hermosilla, T. Multi-sensor change detection for within-year capture and labelling of forest disturbance. Remote Sens. Environ. 2022, 268, 112741. [Google Scholar] [CrossRef]
- Bullock, E.L.; Healey, S.P.; Yang, Z.; Houborg, R.; Gorelick, N.; Tang, X.; Andrianirina, C. Timeliness in forest change monitoring: A new assessment framework demonstrated using Sentinel-1 and a continuous change detection algorithm. Remote Sens. Environ. 2022, 276, 113043. [Google Scholar] [CrossRef]
- Grabska, E.; Hostert, P.; Pflugmacher, D.; Ostapowicz, K. Forest Stand Species Mapping Using the Sentinel-2 Time Series. Remote Sens. 2019, 11, 1197. [Google Scholar] [CrossRef]
- Hościło, A.; Lewandowska, A. Mapping Forest Type and Tree Species on a Regional Scale Using Multi-Temporal Sentinel-2 Data. Remote Sens. 2019, 11, 929. [Google Scholar] [CrossRef]
- Uday, P.; Asamaporn, S.; Dario, S.; Sukan, P.; Kumron, L.; Amnat, C. Topographic Correction of Landsat TM-5 and Landsat OLI-8 Imagery to Improve the Performance of Forest Classification in the Mountainous Terrain of Northeast Thailand. Sustainability 2017, 9, 258. [Google Scholar] [CrossRef]
- Chen, S.; Woodcock, C.E.; Bullock, E.L.; Arévalo, P.; Torchinava, P.; Peng, S.; Olofsson, P. Monitoring temperate forest degradation on Google Earth Engine using Landsat time series analysis. Remote Sens. Environ. 2021, 265, 112648. [Google Scholar] [CrossRef]
- Turner, W.; Rondinini, C.; Pettorelli, N.; Mora, B.; Leidner, A.K.; Szantoi, Z.; Buchanan, G.; Dech, S.; Dwyer, J.; Herold, M.; et al. Free and open-access satellite data are key to biodiversity conservation. Biol. Conserv. 2015, 182, 173–176. [Google Scholar] [CrossRef]
- Woodcock, C.E.; Allen, R.; Anderson, M.; Belward, A.; Bindschadler, R.; Cohen, W.; Gao, F.; Goward, S.N.; Helder, D.; Helmer, E. Free Access to Landsat Imagery. Science 2008, 320, 1011. [Google Scholar] [CrossRef]
- Phiri, D.; Morgenroth, J. Developments in Landsat Land Cover Classification Methods: A Review. Remote Sens. 2017, 9, 967. [Google Scholar] [CrossRef]
- Dwyer, J.L.; Roy, D.P.; Sauer, B.; Jenkerson, C.B.; Zhang, H.K.; Lymburner, L. Analysis Ready Data: Enabling Analysis of the Landsat Archive. Remote Sens. 2018, 10, 1363. [Google Scholar] [CrossRef]
- Tamiminia, H.; Salehi, B.; Mahdianpari, M.; Quackenbush, L.; Adeli, S.; Brisco, B. Google Earth Engine for geo-big data applications: A meta-analysis and systematic review. ISPRS J. Photogramm. Remote Sens. 2020, 164, 152–170. [Google Scholar] [CrossRef]
- Gorelick, N.; Hancher, M.; Dixon, M.; Ilyushchenko, S.; Thau, D.; Moore, R. Google Earth Engine: Planetary-scale geospatial analysis for everyone. Remote Sens. Environ. 2017, 202, 18–27. [Google Scholar] [CrossRef]
- Zhang, X.; Long, T.; He, G.; Guo, Y.; Yin, R.; Zhang, Z.; Xiao, H.; Li, M.; Cheng, B. Rapid generation of global forest cover map using Landsat based on the forest ecological zones. J. Appl. Remote Sens. 2020, 14, 022211. [Google Scholar] [CrossRef]
- Hansen, M.C.; Egorov, A.; Roy, D.P.; Potapov, P.; Ju, J.; Turubanova, S.; Kommareddy, I.; Loveland, T.R. Continuous fields of land cover for the conterminous United States using Landsat data: First results from the Web-Enabled Landsat Data (WELD) project. Remote Sens. Lett. 2010, 2, 279–288. [Google Scholar] [CrossRef]
- Hansen, M.C.; Egorov, A.; Potapov, P.V.; Stehman, S.V.; Tyukavina, A.; Turubanova, S.A.; Roy, D.P.; Goetz, S.J.; Loveland, T.R.; Ju, J.; et al. Monitoring conterminous United States (CONUS) land cover change with Web-Enabled Landsat Data (WELD). Remote Sens. Environ. 2014, 140, 466–484. [Google Scholar] [CrossRef]
- Townshend, J.R.; Masek, J.G.; Huang, C.; Vermote, E.F.; Gao, F.; Channan, S.; Sexton, J.O.; Feng, M.; Narasimhan, R.; Kim, D.; et al. Global characterization and monitoring of forest cover using Landsat data: Opportunities and challenges. Int. J. Digit. Earth 2012, 5, 373–397. [Google Scholar] [CrossRef]
- Hansen, M.C.; DeFries, R.S.; Townshend, J.R.G.; Sohlberg, R.; Dimiceli, C.; Carroll, M. Towards an operational MODIS continuous field of percent tree cover algorithm: Examples using AVHRR and MODIS data. Remote Sens. Environ. 2002, 83, 303–319. [Google Scholar] [CrossRef]
- Xu, L.; Wu, Z.; Zhang, Z.; Wang, X. Forest classification using synthetic GF-1/WFV time series and phenological parameters. J. Appl. Remote Sens. 2021, 15, 042413. [Google Scholar] [CrossRef]
- Yin, L.; Qin, X.; Sun, G.; Liu, S.; Xiaofeng, Z.U.; Chen, X. The method for detecting forest cover change in GF-1images by using KPCA. Remote Sens. Land Resour. 2018, 30, 95–101. [Google Scholar] [CrossRef]
- Xu, K.; Tian, Q.; Zhang, Z.; Yue, J.; Chang, C.-T. Tree Species (Genera) Identification with GF-1 Time-Series in A Forested Landscape, Northeast China. Remote Sens. 2020, 12, 1554. [Google Scholar] [CrossRef]
- Wu, B.; Liu, M.; Jia, D.; Li, S.; Zhu, J. A Method of Automatically Extracting Forest Fire Burned Areas Using Gf-1 Remote Sensing Images. In Proceedings of the IGARSS 2019—2019 IEEE International Geoscience and Remote Sensing Symposium, Yokohama, Japan, 28 July–2 August 2019. [Google Scholar]
- Landsat 8 Data Users Handbook. Available online: https://www.usgs.gov/media/files/landsat-8-data-users-handbook (accessed on 15 May 2022).
- Chen, B.; Xiao, X.; Li, X.; Pan, L.; Doughty, R.; Ma, J.; Dong, J.; Qin, Y.; Zhao, B.; Wu, Z.; et al. A mangrove forest map of China in 2015: Analysis of time series Landsat 7/8 and Sentinel-1A imagery in Google Earth Engine cloud computing platform. ISPRS J. Photogramm. Remote Sens. 2017, 131, 104–120. [Google Scholar] [CrossRef]
- Zhu, Z.; Woodcock, C.E.; Holden, C.; Yang, Z. Generating synthetic Landsat images based on all available Landsat data: Predicting Landsat surface reflectance at any given time. Remote Sens. Environ. 2015, 162, 67–83. [Google Scholar] [CrossRef]
- Zhu, Z.; Woodcock, C.E. Continuous change detection and classification of land cover using all available Landsat data. Remote Sens. Environ. 2014, 144, 152–171. [Google Scholar] [CrossRef]
- Wu, Z. Chinese Vegetation; Science Press: Beijing, China, 1980. [Google Scholar]
- Zhang, X.; Liu, L.; Chen, X.; Gao, Y.; Xie, S.; Mi, J. GLC_FCS30: Global land-cover product with fine classification system at 30 m using time-series Landsat imagery. Earth Syst. Sci. Data 2021, 13, 2753–2776. [Google Scholar] [CrossRef]
- Gong, P.; Wang, J.; Yu, L.; Zhao, Y.; Zhao, Y.; Liang, L.; Niu, Z.; Huang, X.; Fu, H.; Liu, S.; et al. Finer resolution observation and monitoring of global land cover: First mapping results with Landsat TM and ETM+ data. Int. J. Remote Sens. 2012, 34, 2607–2654. [Google Scholar] [CrossRef]
- Li, C.; Gong, P.; Wang, J.; Zhu, Z.; Biging, G.S.; Yuan, C.; Hu, T.; Zhang, H.; Wang, Q.; Li, X.; et al. The first all-season sample set for mapping global land cover with Landsat-8 data. Sci. Bull. 2017, 62, 508–515. [Google Scholar] [CrossRef]
- Gong, P.; Liu, H.; Zhang, M.; Li, C.; Wang, J.; Huang, H.; Clinton, N.; Ji, L.; Li, W.; Bai, Y.; et al. Stable classification with limited sample: Transferring a 30-m resolution sample set collected in 2015 to mapping 10-m resolution global land cover in 2017. Sci. Bull. 2019, 64, 370–373. [Google Scholar] [CrossRef]
- Zanaga, D.; Van De Kerchove, R.; De Keersmaecker, W.; Souverijns, N.; Brockmann, C.; Quast, R.; Wevers, J.; Grosu, A.; Paccini, A.; Vergnaud, S.; et al. ESA WorldCover 10 m 2020 v100. 2021. Available online: https://zenodo.org/record/5571936#.Y0uZbnZBxaQ (accessed on 15 May 2022).
- Chen, J.; Chen, J.; Liao, A.; Cao, X.; Chen, L.; Chen, X.; He, C.; Han, G.; Peng, S.; Lu, M.; et al. Global land cover mapping at 30 m resolution: A POK-based operational approach. ISPRS J. Photogramm. Remote Sens. 2015, 103, 7–27. [Google Scholar] [CrossRef]
- Chen, J.; Chen, J. GlobeLand30: Operational global land cover mapping and big-data analysis. Sci. China Earth Sci. 2018, 61, 1533–1534. [Google Scholar] [CrossRef]
- Huang, H.; Chen, Y.; Clinton, N.; Wang, J.; Wang, X.; Liu, C.; Gong, P.; Yang, J.; Bai, Y.; Zheng, Y.; et al. Mapping major land cover dynamics in Beijing using all Landsat images in Google Earth Engine. Remote Sens. Environ. 2017, 202, 166–176. [Google Scholar] [CrossRef]
- Li, J.; Mao, X. Comparison of Canopy Closure Estimation of Plantations Using Parametric, Semi-Parametric, and Non-Parametric Models Based on GF-1 Remote Sensing Images. Forests 2020, 11, 597. [Google Scholar] [CrossRef]
- Rouse, J.W. Monitoring Vegetation System in the Great Plains with ERTS; NASA: Washington, DC, USA, 1974.
- Jordan, C.F. Derivation of Leaf-Area Index from Quality of Light on the Forest Floor. Ecology 1969, 50, 663–666. [Google Scholar] [CrossRef]
- Tucker, C. Red and photographic infrared linear combination for monitoring vegetation. Remote Sens. Environ. 1979, 8, 127–150. [Google Scholar] [CrossRef]
- Penuelas, J.; Baret, F.; Filella, I. Semi-empirical indices to assess carotenoids/chlorophyll A ratio from leaf spectral reflectances. Photosynthetica 1995, 31, 221–230. [Google Scholar]
- Kaufman, Y.J.; Tanre, D. Atmospherically resistant vegetation index (ARVI) for EOS-MODIS. IEEE Trans. Geosci Remote Sens 1992, 30, 261–270. [Google Scholar] [CrossRef]
- Gitelson, A.A.; Kaufman, Y.J.; Merzlyak, M.N. Use of a green channel in remote sensing of global vegetation from EOS-MODIS. Remote Sens. Environ. 1996, 58, 289–298. [Google Scholar] [CrossRef]
- Huete, A.; Didan, K.; Miura, T.; Rodriguez, E.P.; Gao, X.; Ferreira, L.G. Overview of the radiometric and biophysical performance of the MODIS vegetation indices. Remote Sens. Environ. 2002, 83, 195–213. [Google Scholar] [CrossRef]
- Belgiu, M.; Drăguţ, L. Random forest in remote sensing: A review of applications and future directions. ISPRS J. Photogramm. Remote Sens. 2016, 114, 24–31. [Google Scholar] [CrossRef]
- Collins, L.; McCarthy, G.; Mellor, A.; Newell, G.; Smith, L. Training data requirements for fire severity mapping using Landsat imagery and random forest. Remote Sens. Environ. 2020, 245, 111839. [Google Scholar] [CrossRef]
- Koskinen, J.; Leinonen, U.; Vollrath, A.; Ortmann, A.; Lindquist, E.; d’Annunzio, R.; Pekkarinen, A.; Käyhkö, N. Participatory mapping of forest plantations with Open Foris and Google Earth Engine. ISPRS J. Photogramm. Remote Sens. 2019, 148, 63–74. [Google Scholar] [CrossRef]











| Id | GF-1 WFV | L8 | S2 | Id | GF-1 WFV | L8 | S2 |
|---|---|---|---|---|---|---|---|
| 1 | 11 July 2020 | 13 July 2020 | 12 July 2020 | 13 | 27 August 2020 | - | 27 August 2020 |
| 2 | 30 May 2020 | 30 May 2020 | 7 May 2020 | 14 | 27 August 2020 | 11 August 2019 | 7 November 2020 |
| 3 | 11 June 2020 | 13 June 2020 | 9 July 2020 | 15 | 8 May 2020 | 22 November 2019 | 20 November 2020 |
| 4 | 30 September 2020 | 04 June 2020 | 30 September 2020 | 16 | 4 September 2020 | 13 August 2019 | 26 August 2020 |
| 5 | 19 September 2020 | 27 September 2019 | 8 June 2020 | 17 | 11 November 2020 | 21 January 2021 | 9 November 2020 |
| 6 | 19 September 2020 | 23 June 2019 | 16 September 2020 | 18 | 12 November 2020 | 12 November 2020 | 21 December 2020 |
| 7 | 19 September 2020 | 18 September 2020 | 19 September 2020 | 19 | 12 November 2020 | 30 November 2020 | 13 November 2020 |
| 8 | 26 October 2020 | - | 30 November 2020 | 20 | 12 September 2020 | 7 October 2019 | 13 September 2020 |
| 9 | 10 November 2020 | 9 November 2020 | 12 November 2020 | 21 | 23 July 2020 | 20 July 2020 | 8 July 2020 |
| 10 | 1 October 2020 | 22 October 2020 | 1 October 2020 | 22 | 21 August 2020 | 13 September 2020 | 11 September 2020 |
| 11 | 23 October 2020 | 12 November 2020 | 22 October 2020 | 23 | 12 September 2020 | 21 September 2020 | 11 September 2020 |
| 12 | 29 October 2020 | 28 October 2020 | 06 November 2020 |
| Vegetation Indices | Formula | Citation |
|---|---|---|
| Normalized Difference Vegetation Index (NDVI) | [40] | |
| Simple Ratio (sr) | [41,42] | |
| Structure Insensitive Pigment Index (SIPI) | [43] | |
| Atmospherically Resistant Vegetation Index (ARVI) | [44] | |
| Green Normalized Difference Vegetation Index (GNDVI) | [45] | |
| Enhanced Vegetation Index (EVI) | (C1 = 6, C2 = 7.5, L = 1) | [46] |
| Experiments | Bands |
|---|---|
| exp1 | B, G, R, NIR |
| exp2 | B, G, R, NIR, SWIR-1, SWIR-2 |
| exp3 | B, G, R, NIR, Red Edge-1, Red Edge-2, Red Edge-3, Red Edge-4 |
| exp4 | B, G, R, NIR, Red Edge-1, Red Edge-2, Red Edge-3, Red Edge-4, SWIR-1, SWIR-2 |
| GF-1 WFV | L8 | ||||||
|---|---|---|---|---|---|---|---|
| DN | Rad | TOA | SR | Rad | TOA | SR | |
| mOA (%) | 90.74 | 90.73 | 90.81 | 90.66 | 86.25 | 86.27 | 84.61 |
| VOA | 0.0397 | 0.0402 | 0.0403 | 0.0417 | 0.0740 | 0.0746 | 0.1096 |
| mF1 (%) | 82.45 | 82.59 | 82.78 | 81.76 | 74.66 | 74.84 | 73.20 |
| VF1 | 0.1425 | 0.1387 | 0.1362 | 0.1640 | 0.1933 | 0.1901 | 0.2116 |
| mOA (%) | mF1 (%) | ||||
|---|---|---|---|---|---|
| w/o | w/ | w/o | w/ | ||
| S2 | exp1 | 87.42 | 87.70 (↑ 0.28) | 77.13 | 77.55 (↑ 0.42) |
| exp2 | 88.22 | 88.22 (↑ 0.00) | 78.76 | 78.67 (↓ 0.09) | |
| exp3 | 88.26 | 88.28 (↑ 0.02) | 78.41 | 78.73 (↑ 0.32) | |
| exp4 | 88.62 | 88.46 (↓ 0.15) | 79.53 | 79.19 (↓ 0.34) | |
| L8 | exp1 | 86.27 | 86.23 (↓ 0.05) | 74.84 | 74.51 (↓ 0.33) |
| exp2 | 86.73 | 86.56 (↓ 0.17) | 75.68 | 75.16 (↓ 0.52) | |
| Sensor | OSR | 30 m | ||
|---|---|---|---|---|
| mOA (%) | mF1 (%) | mOA (%) | mF1 (%) | |
| GF | 89.72 | 80.13 | 89.39 | 79.04 |
| L8 | 88.61 | 78.31 | 88.61 | 78.31 |
| S2 | 89.53 | 81.12 | 89.33 | 81.44 |
Publisher’s Note: MDPI stays neutral with regard to jurisdictional claims in published maps and institutional affiliations. |
© 2022 by the authors. Licensee MDPI, Basel, Switzerland. This article is an open access article distributed under the terms and conditions of the Creative Commons Attribution (CC BY) license (https://creativecommons.org/licenses/by/4.0/).
Share and Cite
Peng, X.; He, G.; She, W.; Zhang, X.; Wang, G.; Yin, R.; Long, T. A Comparison of Random Forest Algorithm-Based Forest Extraction with GF-1 WFV, Landsat 8 and Sentinel-2 Images. Remote Sens. 2022, 14, 5296. https://doi.org/10.3390/rs14215296
Peng X, He G, She W, Zhang X, Wang G, Yin R, Long T. A Comparison of Random Forest Algorithm-Based Forest Extraction with GF-1 WFV, Landsat 8 and Sentinel-2 Images. Remote Sensing. 2022; 14(21):5296. https://doi.org/10.3390/rs14215296
Chicago/Turabian StylePeng, Xueli, Guojin He, Wenqing She, Xiaomei Zhang, Guizhou Wang, Ranyu Yin, and Tengfei Long. 2022. "A Comparison of Random Forest Algorithm-Based Forest Extraction with GF-1 WFV, Landsat 8 and Sentinel-2 Images" Remote Sensing 14, no. 21: 5296. https://doi.org/10.3390/rs14215296
APA StylePeng, X., He, G., She, W., Zhang, X., Wang, G., Yin, R., & Long, T. (2022). A Comparison of Random Forest Algorithm-Based Forest Extraction with GF-1 WFV, Landsat 8 and Sentinel-2 Images. Remote Sensing, 14(21), 5296. https://doi.org/10.3390/rs14215296

