Subpixel Multilevel Scale Feature Learning and Adaptive Attention Constraint Fusion for Hyperspectral Image Classification
Abstract
:1. Introduction
- (1)
- We propose a subpixel multilevel scale feature learning and adaptive attention constraint fusion method for HSI classification. The main advantages of our proposed method lie in its strong spectral–spatial feature learning ability, good discrimination of extracted features, and strong model generalization ability. Compared with the existing methods, the proposed method achieves good classification accuracy.
- (2)
- The proposed method further mines the scale information and explores the effectiveness of multiscale information in HSI classification tasks from three levels. Firstly, different spatial scale inputs provide more choices for spatial scale learning of model. Secondly, the subpixel operation can greatly reduce the influence of different categories of pixels and significantly improve the classification performance of boundary locations and small-scale scenes. Finally, multiscale convolution can make the model adapt to different categories of input samples in different scenes.
- (3)
- For the fusion of feature maps at different scales, we propose an adaptive attention constraint fusion method. This method solves problems such as feature loss and noise in the fusion process.
- (4)
- A high-dimensional feature semantic enhancement module is designed, which can be easily inserted into a network model. Through further multiscale feature extraction to improve the semantic representation of the existing feature map, and the proposed method can obtain better classification results.
2. Motivation and Approach
2.1. Overall Architecture
2.2. Subpixel Multilevel Scale Feature Learning
2.2.1. Multiscale Inputs
2.2.2. Subpixel Operation
2.2.3. Multiscale Feature Extraction
2.3. Adaptive Attention Constraint Fusion
2.4. High-Level Feature Semantic Enhancement Module
3. Experimental Results
3.1. Dataset Description
3.2. Experimental Setup
- (1)
- SVM: This is a method that relies only on spectral information and uses a SVM as a classifier.
- (2)
- CDCNN: In this method, a 2D CNN at different scales is used to extract multiscale features, and then, high-dimensional semantic features are obtained by combining a 1 × 1 convolution and residual connection. In addition, image cubes with a size of 5 × 5 × L are selected as the model input. L represents the number of spectral bands of the image cube [41].
- (3)
- SSRN: It is a classification network composed of spectral and spatial feature learning modules in parallel. Combined with residual connections, spectral features are extracted by a 1 × 1 convolution, and spatial features are extracted by a 3D convolution. Image cubes with a size of 7 × 7 × L are selected as the model input [32].
- (4)
- FDSSC: It is a densely connected spectral–spatial feature extraction classification network, where the spectral and spatial features are separately extracted by a 1 × 1 convolution and 3D convolution. In this method, image cubes with a spatial scale of 9 × 9 × L are selected as model inputs [30].
- (5)
- HybridSN: HybridSN is a single branch network that combines 3D convolution and 2D convolution, where 25 × 25 × L spatial scale image cubes are selected as model inputs [31].
- (6)
- DBMA: This is a two-branch network model that extracts spectral and spatial features from two branches. Then, the features extracted from the two branches are weighted by channel attention and spatial attention. In this method, image cubes with a spatial scale of 7 × 7 × L are selected as model inputs [45].
- (7)
- MCNN: This is an improved method of (5). Based on the backbone network of (5), the covariance pooling technique is used to extract the second-order feature information. In this method, 11 × 11 × L spatial scale image cubes are selected as model inputs [22].
3.3. Classification Results
3.3.1. Quantitative Analysis
3.3.2. Qualitative Analysis
3.3.3. Comparison Analysis of Using Different Percentages of Training Samples
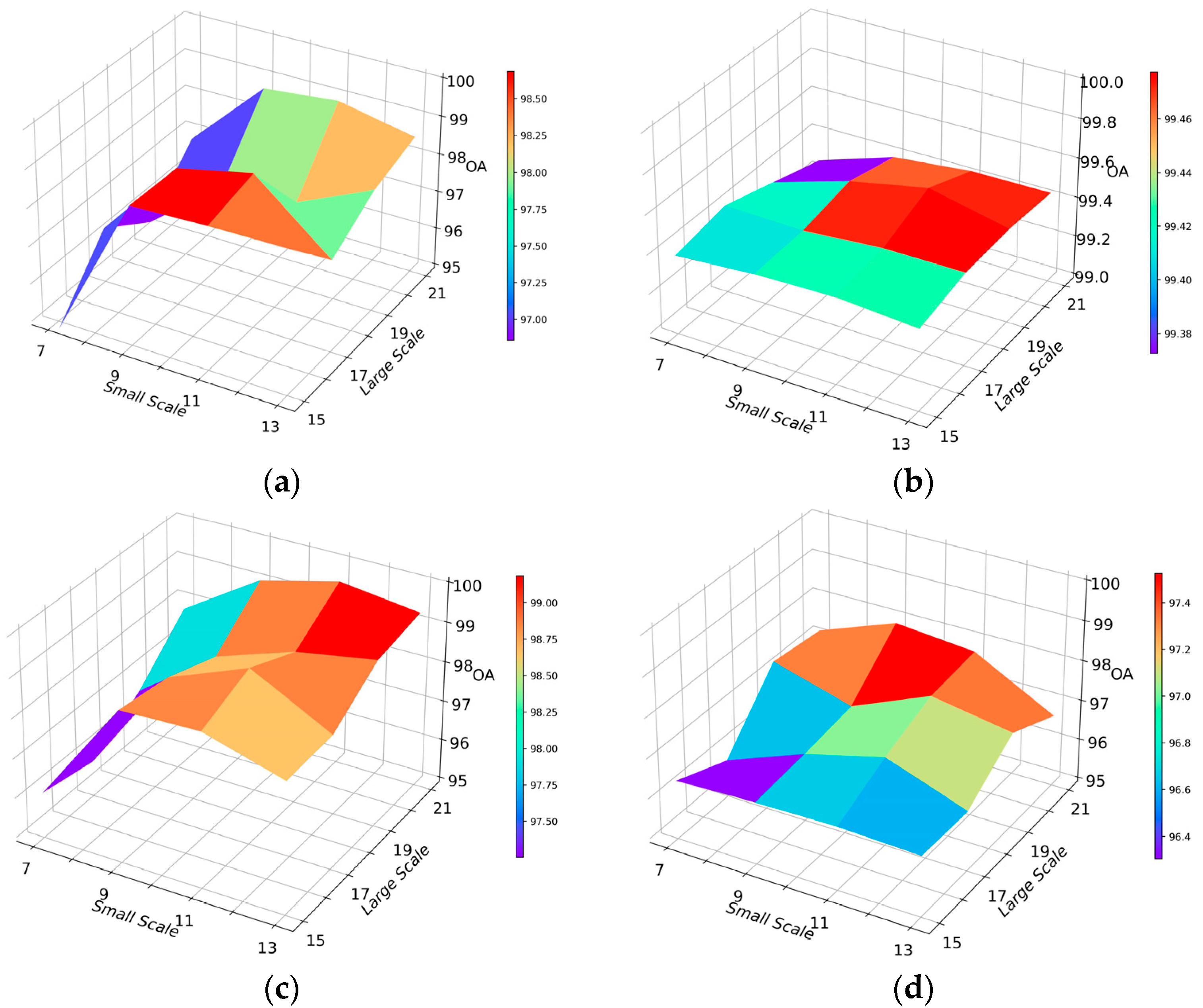
3.3.4. Classification Performance for Different Spatial Sizes
3.4. Ablation Study
3.4.1. Effectiveness Analysis of the Multiscale Input Strategy
3.4.2. Effectiveness Analysis of Subpixels
3.4.3. Effectiveness Analysis of the Adaptive Attention Constraint Fusion Mechanism
3.4.4. Analysis of the Effectiveness of the Semantic Feature Enhancement Mechanism
3.4.5. Training and Testing Times of Compared Methods Based on Attention Mechanism
4. Conclusions
Author Contributions
Funding
Data Availability Statement
Acknowledgments
Conflicts of Interest
References
- Ge, Z.; Cao, G.; Zhang, Y.; Li, X.; Shi, H.; Fu, P. Adaptive Hash Attention and Lower Triangular Network for Hyperspectral Image Classification. IEEE Trans. Geosci. Remote Sens. 2022, 60, 5509119. [Google Scholar] [CrossRef]
- Van der Meer, F.D.; Van der Werff, H.M.; Van Ruitenbeek, F.J.; Hecker, C.A.; Bakker, W.H.; Noomen, M.F.; Van der Meijde, M.; Carranza, E.J.; Boudewijn de Smeth, J.; Woldai, T. Multi-and hyperspectral geologic remote sensing: A review. Int. J. Appl. Earth Observ. Geoinf. 2022, 14, 112–128. [Google Scholar] [CrossRef]
- Acosta, I.C.; Khodadadzadeh, M.; Tusa, L.; Ghamisi, P.; Gloaguen, R. A machine learning framework for drill-core mineral mapping using hyperspectral and high-resolution mineralogical data fusion. IEEE J. Sel. Top. Appl. Earth Observ. Remote Sens. 2019, 12, 4829–4842. [Google Scholar] [CrossRef]
- Gerhards, M.; Schlerf, M.; Mallick, K.; Udelhoven, T. Challenges and future perspectives of multi-/Hyperspectral thermal infrared remote sensing for crop water-stress detection: A review. Remote Sens. 2019, 11, 1240. [Google Scholar] [CrossRef] [Green Version]
- Zhang, J.; Huang, Y.; Reddy, K.N. Assessing crop damage from dicamba on non-dicamba-tolerant soybean by hyperspectral imaging through machine learning. Pest Manag. Sci. 2019, 75, 3260–3272. [Google Scholar] [CrossRef]
- Bioucas-Dias, J.M.; Plaza, A.; Capms-valls, G.; Scheunders, P.; Nasrebidi, N.; Chanussot, G. Hyperspectral remote sensing data analysis and future challenges. IEEE Trans. Geosci. Remote Sens. Mag. 2013, 1, 6–36. [Google Scholar] [CrossRef] [Green Version]
- Cheng, G.; Han, J.; Lu, X. Remote sensing image scene classification: Benchmark and state of the art. Proc. IEEE 2017, 105, 1865–1883. [Google Scholar] [CrossRef] [Green Version]
- Kang, X.; Zhang, X.; Li, S.; Li, K.; Li, J.; Benediktsson, J.A. Hyperspectral anomaly detection with attribute and edge-preserving filters. IEEE Trans. Geosci. Remote Sens. 2017, 55, 5600–5611. [Google Scholar] [CrossRef]
- Tao, R.; Zhao, X.; Li, W.; Li, H.; Du, Q. Hyperspectral anomaly detection by fractional Fourier entropy. IEEE J. Sel. Top. Appl. Earth Observ. Remote Sens. 2019, 12, 4920–4929. [Google Scholar] [CrossRef]
- Yuan, X.; Shi, J.; Gu, L. A review of deep learning methods for semantic segmentation of remote sensing imagery. Expert Syst. Appl. 2021, 169, 114417. [Google Scholar] [CrossRef]
- Shao, Y.; Lan, J.; Niu, B. Dual-channel networks with optimal-band selection strategy for arbitrary cropped hyperspectral images classification. IEEE Geosci. Remote Sens. Lett. 2020, 19, 550805. [Google Scholar] [CrossRef]
- Lin, Y.; Guo, D.; Zhang, J.; Chen, Z.; Yang, B. A Unified Framework for Multilingual Speech Recognition in Air Traffic Control Systems. IEEE Trans. Neural Netw. Learn. Syst. 2020, 32, 3608–3620. [Google Scholar] [CrossRef] [PubMed]
- Liu, Z.; Wu, Z.; Li, T.; Shen, C. GMM and CNN hybrid method for short utterance speaker recognition. IEEE Trans. Ind. Inform. 2018, 14, 244–3252. [Google Scholar] [CrossRef]
- Lee, S.; Kim, H.; Lieu, Q.X.; Lee, J. CNN-based image recognition for topology optimization. Knowl.-Based Syst. 2020, 198, 105887. [Google Scholar] [CrossRef]
- Li, J.; Jin, K.; Zhou, D.; Kubota, N.; Ju, Z. Attention mechanism-based CNN for facial expression recognition. Neurocomputing 2020, 411, 340–350. [Google Scholar] [CrossRef]
- You, H.; Tian, S.; Yu, L.; Lv, Y. Pixel-level remote sensing image recognition based on bidirectional word vectors. IEEE Trans. Geosci. Remote Sens. 2019, 58, 1281–1293. [Google Scholar] [CrossRef]
- Kim, W.; Kanezaki, A.; Tanaka, M. Unsupervised learning of image segmentation based on differentiable feature clustering. IEEE Trans. Image Process. 2020, 29, 8055–8068. [Google Scholar] [CrossRef]
- Sultana, F.; Sufian, A.; Dutta, P. Evolution of image segmentation using deep convolutional neural network: A survey. Knowl.-Based Syst. 2020, 201, 106062. [Google Scholar] [CrossRef]
- Xu, H.; Yao, W.; Cheng, L.; Li, B. Multiple Spectral Resolution 3D Convolutional Neural Network for Hyperspectral Image Classification. Remote Sens. 2021, 13, 1248. [Google Scholar] [CrossRef]
- Yu, S.; Jia, S.; Xu, C. Convolutional neural networks for hyperspectral image classification. Neurocomputing 2017, 219, 88–98. [Google Scholar] [CrossRef]
- Zhao, G.; Liu, G.; Fang, L.; Tu, B.; Ghamisi, P. Multiple convolutional layers fusion framework for hyperspectral image classification. Neurocomputing 2019, 339, 149–160. [Google Scholar] [CrossRef]
- Zheng, J.; Feng, Y.; Bai, C.; Zhang, J. Hyperspectral image classification using mixed convolutions and covariance pooling. IEEE Trans. Geosci. Remote Sens. 2021, 59, 522–534. [Google Scholar] [CrossRef]
- Li, L.; Yin, J.; Jia, X.; Li, S.; Han, B. Joint Spatial–Spectral Attention Network for Hyperspectral Image Classification. IEEE Geosci. Remote Sens. Lett. 2021, 18, 1816–1820. [Google Scholar] [CrossRef]
- Huang, K.; Ren, C.; Liu, H. Hyperspectral image classification via discriminative convolutional neural network with an improved triplet loss. Pattern Recognit. 2021, 112, 107744. [Google Scholar] [CrossRef]
- Gao, F.; Guo, W. Deep hybrid dilated residual networks for hyperspectral image classification. Neurocomputing 2020, 384, 170–181. [Google Scholar] [CrossRef]
- Zhao, J.; Hu, L.; Dong, Y.; Huang, L.; Weng, S.; Zhang, D. A combination method of stacked autoencoder and 3D deep residual network for hyperspectral image classification. Int. J. Appl. Earth Observ. Geoinf. 2021, 102, 102459. [Google Scholar] [CrossRef]
- Huang, L.; Chen, Y. Dual-path siamese CNN for hyperspectral image classification with limited training samples. IEEE Geosci. Remote Sens. Lett. 2021, 18, 518–522. [Google Scholar] [CrossRef]
- Cai, Y.; Zhang, Z.; Yan, Q.; Zhang, D.; Banu, M. Densely connected convolutional extreme learning machine for hyperspectral image classification. Neurocomputing 2021, 434, 21–32. [Google Scholar] [CrossRef]
- Gao, H.; Chen, Z.; Xu, F. Adaptive spectral-spatial feature fusion network for hyperspectral image classification using limited training samples. Int. J. Appl. Earth Observ. Geoinf. 2022, 107, 102687. [Google Scholar] [CrossRef]
- Wang, W.; Dou, S.; Jiang, Z.; Sun, L. A fast dense spectral–spatial convolution network framework for hyperspectral images classification. Remote Sens. 2018, 10, 1068. [Google Scholar] [CrossRef] [Green Version]
- Roy, S.K.; Krishna, G.; Dubey, S.R.; Chauduri, B.B. HybridSN: Exploring 3-D–2-D CNN feature hierarchy for hyperspectral image classification. IEEE Geosci. Remote Sens. Lett. 2020, 17, 277–281. [Google Scholar] [CrossRef] [Green Version]
- Zhong, Z.; Li, J.; Luo, Z.; Chapman, M. Spectral–spatial residual network for hyperspectral image classification: A 3-D deep learning framework. IEEE Trans. Geosci. Remote Sens. 2018, 56, 847–858. [Google Scholar] [CrossRef]
- Yang, L.; Zhang, F.; Wang, P.; Li, X.; Meng, Z. Multi-scale spatial-spectral fusion based on multi-input fusion calculation and coordinate attention for hyperspectral image classification. Pattern Recognit. 2022, 122, 108348. [Google Scholar] [CrossRef]
- Pu, C.; Huang, H.; Yang, L. An attention-driven convolutional neural network-based multi-level spectral–spatial feature learning for hyperspectral image classification. Expert Syst. Appl. 2021, 185, 115663. [Google Scholar] [CrossRef]
- Zhang, T.; Wang, J.; Zhang, E.; Yu, K.; Zhang, Y.; Peng, J. RMCNet: Random Multiscale Convolutional Network for Hyperspectral Image Classification. IEEE Geosci. Remote Sens. Lett. 2021, 18, 1826–1830. [Google Scholar] [CrossRef]
- Gao, H.; Yang, Y.; Li, C.; Gao, L.; Zhang, B. Multiscale residual network with mixed depthwise convolution for hyperspectral image classification. IEEE Trans. Geosci. Remote Sens. 2021, 59, 3396–3408. [Google Scholar] [CrossRef]
- Roy, S.K.; Manna, S.; Song, T.; Bruzzone, L. Attention-based adaptive spectral-spatial kernel resnet for hyperspectral image classification. IEEE Trans. Geosci. Remote Sens. 2021, 59, 7831–7843. [Google Scholar] [CrossRef]
- Jia, S.; Lin, Z.; Xu, M.; Huang, Q.; Zhou, J.; Jia, X.; Li, Q. A lightweight convolutional neural network for hyperspectral image classification. IEEE Trans. Geosci. Remote Sens. 2021, 59, 4150–4163. [Google Scholar] [CrossRef]
- Xie, J.; He, N.; Fang, L.; Chamisi, P. Multiscale densely-connected fusion networks for hyperspectral images classification. IEEE Trans. Circuits Syst. Video Technol. 2020, 31, 246–259. [Google Scholar] [CrossRef]
- Zhang, M.; Li, W.; Du, Q. Diverse region-based CNN for hyperspectral image classification. IEEE Trans. Image Process. 2018, 27, 2623–2634. [Google Scholar] [CrossRef]
- Lee, H.; Kwon, H. Going Deeper With Contextual CNN for Hyperspectral Image Classification. IEEE Trans. Image Process. 2017, 26, 4843–4855. [Google Scholar] [CrossRef] [PubMed] [Green Version]
- Cheng, S.; Chi-Man, P. Multi-scale hierarchical recurrent neural networks for hyperspectral image classification. Neurocomputing 2018, 294, 82–93. [Google Scholar] [CrossRef]
- Sun, G.; Zhang, X.; Jia, X.; Ren, J.; Zhang, A.; Yao, Y.; Zhao, H. Deep Fusion of Localized Spectral Features and Multi-scale Spatial Features for Effective Classifification of Hyperspectral Images. Int. J. Appl. Earth Observ. Geoinf. 2020, 91, 102157. [Google Scholar] [CrossRef]
- Wang, D.; Du, B.; Zhang, L.; Xu, Y. Adaptive Spectral–Spatial Multiscale Contextual Feature Extraction for Hyperspectral Image Classification. IEEE Trans. Geosci. Remote Sens. 2021, 59, 2461–2477. [Google Scholar] [CrossRef]
- Ma, W.; Yang, Q.; Wu, Y.; Zhao, W.; Zhang, X. Double-branch multi-attention mechanism network for hyperspectral image classification. Remote Sens. 2019, 11, 1307. [Google Scholar] [CrossRef] [Green Version]
- Hu, J.; Shen, L.; Sun, G. Squeeze-and-excitation networks. In Proceedings of the 2018 IEEE Conference on Computer Vision and Pattern Recognition (CVPR), Salt Lake City, UT, USA, 18–23 June 2018; pp. 7132–7141. [Google Scholar] [CrossRef] [Green Version]
- Jaderberg, M.; Simonyan, K.; Zisserman, A. Spatial transformer networks. Adv. Neural Inform. Process. Syst. Netw. (NIPS) 2015, 28, 2017–2025. [Google Scholar]
- Wang, F.; Jiang, M.; Qian, C.; Yang, S.; Li, C.; Zhang, H.; Wang, X.; Tang, X. Residual attention network for image classification. In Proceedings of the 2017 IEEE Conference on Computer Vision and Pattern Recognition (CVPR), Honolulu, HI, USA, 21–26 July 2017; pp. 3156–3164. [Google Scholar] [CrossRef] [Green Version]
- Fu, J.; Liu, J.; Tian, H.; Li, Y.; Bao, Y.; Fang, Z.; Lu, H. Dual attention network for scene segmentation. In Proceedings of the 2019 IEEE Conference on Computer Vision and Pattern Recognition (CVPR), Long Beach, CA, USA, 15–20 June 2019; pp. 3146–3154. [Google Scholar] [CrossRef] [Green Version]
- Wang, X.; Girshick, R.; Gupta, A.; He, K. Non-local neural networks. In Proceedings of the 2018 IEEE Conference on Computer Vision and Pattern Recognition (CVPR), Salt Lake City, UT, USA, 18–23 June 2018; pp. 7794–7803. [Google Scholar] [CrossRef] [Green Version]
- Huang, Z.; Wang, X.; Huang, L.; Shi, H.; Liu, W.; Huang, T. Ccnet: Criss-cross attention for semantic segmentation. In Proceedings of the 2019 IEEE/CVF International Conference on Computer Vision (ICCV), Seoul, Korea, 27 October–2 November 2019; pp. 603–612. [Google Scholar] [CrossRef] [Green Version]
- Feng, J.; Wu, X.; Shang, R.; Sui, C.; Li, J.; Jiao, L. Zhang, X. Attention multibranch convolutional neural network for hyperspectral image classification based on adaptive region search. IEEE Trans. Geosci. Remote Sens. 2021, 59, 5054–5070. [Google Scholar] [CrossRef]
- Xue, Z.; Zhang, M.; Liu, Y.; Du, P. Attention-Based Second-Order Pooling Network for Hyperspectral Image Classification. IEEE Trans. Geosci. Remote Sens. 2021, 59, 9600–9615. [Google Scholar] [CrossRef]
- Gao, H.; Miao, Y.; Cao, X.; Li, C. Densely Connected Multiscale Attention Network for Hyperspectral Image Classification. IEEE J. Sel. Top. Appl. Earth Observ. Remote Sens. 2021, 14, 2563–2576. [Google Scholar] [CrossRef]
- Guo, W.; Ye, H.; Cao, F. Feature-Grouped Network With Spectral-Spatial Connected Attention for Hyperspectral Image Classification. IEEE Trans. Geosci. Remote Sens. 2021, 60, 5500413. [Google Scholar] [CrossRef]
- Yu, C.; Han, R.; Song, M.; Liu, C.; Chang, C.I. Feedback Attention-Based Dense CNN for Hyperspectral Image Classification. IEEE Trans. Geosci. Remote Sens. 2021, 60, 5501916. [Google Scholar] [CrossRef]
- Hang, R.; Li, Z.; Liu, Q.; Chamisi, P.; Bhattacharyya, S.S. Hyperspectral image classification with attention-aided CNNs. IEEE Trans. Geosci. Remote Sens. 2020, 59, 2281–2293. [Google Scholar] [CrossRef]
- Zhu, M.; Jiao, L.; Liu, F.; Yang, S.; Wang, J. Residual spectral–spatial attention network for hyperspectral image classification. IEEE Trans. Geosci. Remote Sens. 2020, 59, 449–462. [Google Scholar] [CrossRef]
- Grupo de Inteligencia Computacional (GIC). Available online: https://www.ehu.eus/ccwintco/index.php/Hyperspectral_Remote_Sensing_Scenes (accessed on 27 February 2022).
- 2013 IEEE GRSS Data Fusion Contest–Fusion of Hyperspectral and LiDAR Data. Available online: https://hyperspectral.ee.uh.edu/?page_id=459 (accessed on 27 February 2022).
















| No. | Class Name | Train | Val | Test | Total |
|---|---|---|---|---|---|
| 1 | Asphalt | 66 | 66 | 6499 | 6631 |
| 2 | Meadows | 186 | 186 | 18,277 | 18,649 |
| 3 | Gravel | 21 | 21 | 2057 | 2099 |
| 4 | Trees | 31 | 31 | 3002 | 3064 |
| 5 | Painted metal sheets | 13 | 13 | 1319 | 1345 |
| 6 | Bare Soil | 50 | 50 | 4929 | 5029 |
| 7 | Bitumen | 13 | 13 | 1304 | 1330 |
| 8 | Self-Blocking Bricks | 37 | 37 | 3608 | 3682 |
| 9 | Shadows | 9 | 9 | 929 | 947 |
| Total | 426 | 426 | 41,924 | 42,776 |
| No. | Class Name | Train | Val | Test | Total |
|---|---|---|---|---|---|
| 1 | Water | 659 | 659 | 64,653 | 65,971 |
| 2 | Trees | 76 | 76 | 7446 | 7598 |
| 3 | Asphalt | 31 | 31 | 3028 | 3090 |
| 4 | Self-Blocking Bricks | 27 | 27 | 2631 | 2685 |
| 5 | Bitumen | 66 | 66 | 6452 | 6584 |
| 6 | Tiles | 92 | 92 | 9064 | 9248 |
| 7 | Shadows | 73 | 73 | 7141 | 7287 |
| 8 | Meadows | 428 | 428 | 41,970 | 42,826 |
| 9 | Bare Soil | 29 | 29 | 2805 | 2863 |
| Total | 1481 | 1481 | 145,190 | 148,152 |
| No. | Class Name | Train | Val | Test | Total |
|---|---|---|---|---|---|
| 1 | Brocoli_green_weeds_1 | 20 | 20 | 1969 | 2009 |
| 2 | Brocoli_green_weeds_2 | 37 | 37 | 3652 | 3726 |
| 3 | Fallow | 20 | 20 | 1936 | 1976 |
| 4 | Fallow_rough_plow | 14 | 14 | 1366 | 1394 |
| 5 | Fallow_smooth | 27 | 27 | 2624 | 2678 |
| 6 | Stubble | 40 | 40 | 3879 | 3959 |
| 7 | Celery | 36 | 36 | 3507 | 3579 |
| 8 | Grapes_untrained | 113 | 113 | 11,045 | 11,271 |
| 9 | Soil_vinyard_develop | 62 | 62 | 6079 | 6203 |
| 10 | Corn_senesced_green_weeds | 33 | 33 | 3212 | 3278 |
| 11 | Lettuce_romaine_4wk | 11 | 11 | 1046 | 1068 |
| 12 | Lettuce_romaine_5wk | 19 | 19 | 1889 | 1927 |
| 13 | Lettuce_romaine_6wk | 9 | 9 | 898 | 916 |
| 14 | Lettuce_romaine_7wk | 11 | 11 | 1048 | 1070 |
| 15 | Vinyard_untrained | 73 | 73 | 7122 | 7268 |
| 16 | Vinyard_vertical_trellis | 18 | 18 | 1771 | 1807 |
| Total | 543 | 543 | 53,043 | 54,129 |
| No. | Class Name | Train | Val | Test | Total |
|---|---|---|---|---|---|
| 1 | Healthy grass | 38 | 38 | 1175 | 1251 |
| 2 | Stressed grass | 38 | 38 | 1178 | 1254 |
| 3 | Synthetic grass | 21 | 21 | 655 | 697 |
| 4 | Trees | 37 | 37 | 1170 | 1244 |
| 5 | Soil | 37 | 37 | 1168 | 1242 |
| 6 | Water | 10 | 10 | 305 | 325 |
| 7 | Residential | 38 | 38 | 1192 | 1268 |
| 8 | Commercial | 37 | 37 | 1170 | 1244 |
| 9 | Road | 38 | 38 | 1176 | 1252 |
| 10 | Highway | 37 | 37 | 1153 | 1227 |
| 11 | Railway | 37 | 37 | 1161 | 1235 |
| 12 | Parking Lot 1 | 37 | 37 | 1159 | 1233 |
| 13 | Parking Lot 2 | 14 | 14 | 441 | 469 |
| 14 | Tennis Court | 13 | 13 | 402 | 428 |
| 15 | Running Track | 20 | 20 | 620 | 660 |
| Total | 452 | 452 | 14,125 | 15,029 |
| Class Name | SVM | CDCNN [41] | SSRN [32] | FDSSC [30] | Hybrid SN [31] | DBMA [45] | MCNN [22] | Proposed |
|---|---|---|---|---|---|---|---|---|
| Asphalt | 84.65 | 90.21 | 98.90 | 99.44 | 95.76 | 96.50 | 97.75 | 98.46 |
| Meadows | 92.57 | 94.66 | 98.23 | 99.45 | 98.73 | 98.72 | 99.43 | 100 |
| Gravel | 74.94 | 64.95 | 98.93 | 99.52 | 85.03 | 100 | 93.83 | 97.55 |
| Trees | 70.53 | 97.24 | 99.64 | 97.61 | 97.83 | 97.85 | 88.84 | 90.80 |
| Painted metal sheets | 90.19 | 98.36 | 99.70 | 99.70 | 99.70 | 99.25 | 98.94 | 100 |
| Bare Soil | 66.41 | 93.11 | 98.62 | 98.50 | 99.82 | 99.15 | 95.50 | 99.42 |
| Bitumen | 78.87 | 96.88 | 94.25 | 100 | 89.09 | 96.97 | 93.33 | 99.85 |
| Self-Blocking Bricks | 83.84 | 88.98 | 84.91 | 80.08 | 88.47 | 83.23 | 90.94 | 97.20 |
| Shadows | 98.94 | 99.17 | 99.78 | 99.89 | 98.62 | 100 | 97.73 | 98.19 |
| OA(%) | 84.71 | 91.88 | 97.12 | 97.19 | 96.38 | 96.85 | 96.70 | 98.63 |
| AA(%) | 82.33 | 91.51 | 96.99 | 97.13 | 94.78 | 96.85 | 95.14 | 97.94 |
| KA(%) | 79.45 | 89.15 | 96.17 | 96.27 | 95.19 | 95.81 | 95.61 | 98.18 |
| Class Name | SVM | CDCNN [41] | SSRN [32] | FDSSC [30] | Hybrid SN [31] | DBMA [45] | MCNN [22] | Proposed |
|---|---|---|---|---|---|---|---|---|
| Water | 99.84 | 100 | 100 | 100 | 100 | 100 | 100 | 100 |
| Trees | 89.43 | 90.45 | 98.89 | 98.29 | 93.07 | 99.93 | 95.35 | 97.82 |
| Asphalt | 83.88 | 91.36 | 87.04 | 90.25 | 97.78 | 63.16 | 95.28 | 99.74 |
| Self-Blocking Bricks | 62.35 | 79.29 | 71.05 | 94.98 | 99.89 | 82.61 | 99.58 | 99.96 |
| Bitumen | 96.04 | 92.33 | 99.83 | 99.67 | 98.64 | 97.62 | 93.61 | 98.60 |
| Tiles | 92.41 | 96.47 | 99.33 | 98.40 | 99.32 | 98.16 | 97.02 | 99.41 |
| Shadows | 89.60 | 94.65 | 97.67 | 100 | 96.41 | 98.91 | 98.11 | 99.54 |
| Meadows | 99.44 | 99.81 | 99.97 | 99.99 | 99.75 | 99.94 | 99.64 | 99.72 |
| Bare Soil | 99.97 | 99.11 | 99.89 | 96.82 | 88.71 | 99.54 | 90.02 | 93.15 |
| OA(%) | 97.04 | 98.04 | 98.73 | 99.42 | 99.04 | 98.13 | 98.79 | 99.55 |
| AA(%) | 90.33 | 93.72 | 94.85 | 97.60 | 97.09 | 93.32 | 96.51 | 98.66 |
| KA(%) | 95.81 | 97.22 | 98.20 | 99.18 | 98.64 | 97.36 | 98.29 | 99.36 |
| Class Name | SVM | CDCNN [41] | SSRN [32] | FDSSC [30] | Hybrid SN [31] | DBMA [45] | MCNN [22] | Proposed |
|---|---|---|---|---|---|---|---|---|
| Brocoli_green_weeds_1 | 99.10 | 64.11 | 99.95 | 100 | 98.42 | 100 | 100 | 100 |
| Brocoli_green_weeds_2 | 97.61 | 99.92 | 99.97 | 100 | 99.97 | 99.92 | 100 | 100 |
| Fallow | 98.18 | 95.48 | 99.83 | 98.38 | 100 | 100 | 100 | 100 |
| Fallow_rough_plow | 97.20 | 94.00 | 96.37 | 94.45 | 95.50 | 97.47 | 99.78 | 100 |
| Fallow_smooth | 96.64 | 93.40 | 93.48 | 99.92 | 88.23 | 81.79 | 95.54 | 99.74 |
| Stubble | 98.41 | 99.01 | 100 | 99.97 | 100 | 100 | 99.97 | 99.97 |
| Celery | 99.16 | 99.07 | 100 | 99.91 | 99.69 | 100 | 100 | 100 |
| Grapes_untrained | 73.29 | 96.75 | 78.06 | 98.40 | 98.77 | 89.38 | 99.38 | 100 |
| Soil_vinyard_develop | 98.21 | 99.84 | 99.77 | 100 | 99.84 | 99.61 | 99.97 | 99.66 |
| Corn_senesced_green_weeds | 79.77 | 82.52 | 97.96 | 92.41 | 99.63 | 96.43 | 99.00 | 99.38 |
| Lettuce_romaine_4wk | 92.79 | 92.64 | 100 | 100 | 100 | 99.24 | 97.90 | 99.15 |
| Lettuce_romaine_5wk | 97.30 | 99.63 | 99.89 | 100 | 100 | 99.95 | 99.31 | 100 |
| Lettuce_romaine_6wk | 97.27 | 97.56 | 96.87 | 100 | 99.55 | 100 | 92.20 | 99.12 |
| Lettuce_romaine_7wk | 69.81 | 98.85 | 99.41 | 98.48 | 98.78 | 95.74 | 99.62 | 99.34 |
| Vinyard_untrained | 67.47 | 41.64 | 98.82 | 97.31 | 96.38 | 98.06 | 87.41 | 97.82 |
| Vinyard_vertical_trellis | 94.19 | 98.87 | 100 | 99.09 | 100 | 99.88 | 99.60 | 100 |
| OA(%) | 86.89 | 76.84 | 93.43 | 98.52 | 98.33 | 95.86 | 97.67 | 99.57 |
| AA(%) | 91.03 | 90.83 | 97.52 | 98.65 | 98.42 | 97.34 | 98.11 | 99.64 |
| KA(%) | 85.37 | 74.63 | 92.65 | 98.36 | 98.15 | 95.38 | 97.40 | 99.52 |
| Class Name | SVM | CDCNN [41] | SSRN [32] | FDSSC [30] | Hybrid SN [31] | DBMA [45] | MCNN [22] | Proposed |
|---|---|---|---|---|---|---|---|---|
| Healthy grass | 85.61 | 85.94 | 95.15 | 93.16 | 98.43 | 98.11 | 96.43 | 98.93 |
| Stressed grass | 93.30 | 93.43 | 98.43 | 98.72 | 98.03 | 98.98 | 97.28 | 100 |
| Synthetic grass | 97.70 | 97.95 | 99.54 | 100 | 99.41 | 100 | 99.85 | 99.85 |
| Trees | 98.79 | 96.65 | 95.94 | 100 | 90.72 | 97.88 | 92.65 | 98.76 |
| Soil | 98.15 | 93.55 | 92.07 | 99.83 | 100 | 93.20 | 100 | 100 |
| Water | 82.15 | 99.22 | 100 | 100 | 90.48 | 100 | 95.08 | 98.41 |
| Residential | 82.65 | 89.52 | 91.79 | 90.43 | 82.85 | 92.92 | 94.88 | 97.64 |
| Commercial | 52.65 | 96.73 | 93.38 | 96.95 | 72.91 | 95.35 | 92.39 | 91.63 |
| Road | 77.64 | 60.40 | 84.42 | 92.34 | 87.08 | 94.12 | 87.52 | 96.13 |
| Highway | 86.72 | 75.64 | 97.34 | 99.14 | 99.66 | 89.09 | 97.66 | 99.41 |
| Railway | 66.00 | 72.28 | 87.20 | 98.98 | 95.49 | 96.15 | 98.11 | 99.58 |
| Parking Lot 1 | 44.77 | 78.80 | 92.75 | 97.48 | 82.27 | 86.57 | 97.15 | 95.57 |
| Parking Lot 2 | 55.86 | 91.57 | 83.20 | 74.56 | 81.32 | 88.31 | 88.66 | 95.82 |
| Tennis Court | 98.60 | 86.88 | 99.25 | 100 | 100 | 92.68 | 100 | 100 |
| Running Track | 97.27 | 94.01 | 97.47 | 98.40 | 100 | 95.21 | 100 | 100 |
| OA(%) | 80.30 | 84.46 | 93.22 | 96.10 | 91.50 | 94.32 | 95.72 | 97.94 |
| AA(%) | 81.19 | 87.50 | 93.86 | 96.00 | 91.91 | 94.57 | 95.84 | 97.77 |
| KA(%) | 78.72 | 83.20 | 92.67 | 95.78 | 90.81 | 93.86 | 95.37 | 98.08 |
| PU | PC | SA | HU | ||
|---|---|---|---|---|---|
| DBMA | Train (s) | 104.93 | 66.29 | 260.34 | 77.98 |
| Test (s) | 36.99 | 43.88 | 55.85 | 5.88 | |
| MCNN | Train (s) | 12.97 | 26.60 | 13.25 | 10.26 |
| Test (s) | 2.56 | 8.55 | 3.25 | 1.32 | |
| Proposed | Train (s) | 92.81 | 72.23 | 161.27 | 66.49 |
| Test (s) | 36.84 | 31.71 | 40.06 | 6.33 |
Publisher’s Note: MDPI stays neutral with regard to jurisdictional claims in published maps and institutional affiliations. |
© 2022 by the authors. Licensee MDPI, Basel, Switzerland. This article is an open access article distributed under the terms and conditions of the Creative Commons Attribution (CC BY) license (https://creativecommons.org/licenses/by/4.0/).
Share and Cite
Ge, Z.; Cao, G.; Zhang, Y.; Shi, H.; Liu, Y.; Shafique, A.; Fu, P. Subpixel Multilevel Scale Feature Learning and Adaptive Attention Constraint Fusion for Hyperspectral Image Classification. Remote Sens. 2022, 14, 3670. https://doi.org/10.3390/rs14153670
Ge Z, Cao G, Zhang Y, Shi H, Liu Y, Shafique A, Fu P. Subpixel Multilevel Scale Feature Learning and Adaptive Attention Constraint Fusion for Hyperspectral Image Classification. Remote Sensing. 2022; 14(15):3670. https://doi.org/10.3390/rs14153670
Chicago/Turabian StyleGe, Zixian, Guo Cao, Youqiang Zhang, Hao Shi, Yanbo Liu, Ayesha Shafique, and Peng Fu. 2022. "Subpixel Multilevel Scale Feature Learning and Adaptive Attention Constraint Fusion for Hyperspectral Image Classification" Remote Sensing 14, no. 15: 3670. https://doi.org/10.3390/rs14153670
APA StyleGe, Z., Cao, G., Zhang, Y., Shi, H., Liu, Y., Shafique, A., & Fu, P. (2022). Subpixel Multilevel Scale Feature Learning and Adaptive Attention Constraint Fusion for Hyperspectral Image Classification. Remote Sensing, 14(15), 3670. https://doi.org/10.3390/rs14153670

