Classification of Street Tree Species Using UAV Tilt Photogrammetry
Abstract
1. Introduction
2. Study Area and Data
2.1. Study Area and Data Acquisition
2.2. Data Preprocessing
3. Methods
3.1. Extraction of Indivual Tree Attributes
3.1.1. Tree Height Extraction
3.1.2. Crown Width Extraction
3.1.3. Crown Height Extraction
3.1.4. Canopy Volume Extraction
3.2. Extracting a Combination of Tree Attributes
3.3. Verification of Tree Attribute Extraction Accuracy
3.4. Tree Species Classification
4. Results
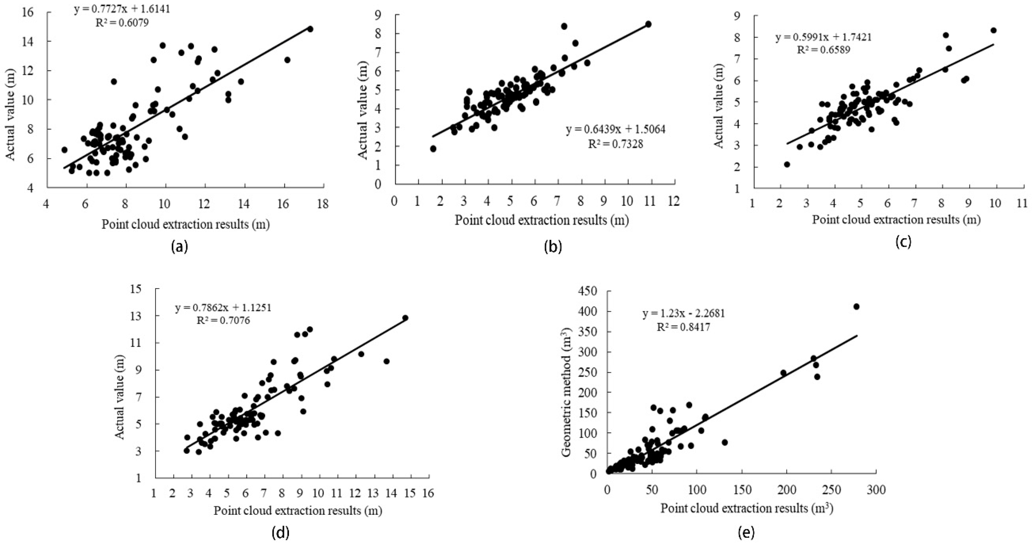
4.1. Accuracy of Tree Attribute Extraction
4.2. Accuracy of Tree Species Classification
4.3. Results of the Classifciation Using Combined Attributes
5. Discussion
5.1. Analysis of the Acuarcy of Tree Attributes Extraction
5.2. Analysis of the Accuracy of Tree Species Classification
5.3. Limitations of the Study
6. Conclusions
Author Contributions
Funding
Institutional Review Board Statement
Informed Consent Statement
Data Availability Statement
Acknowledgments
Conflicts of Interest
References
- Vennemo, H.; Aunan, K.; Lindhjem, H.; Seip, H.M. Environmental Pollution in China: Status and Trends; Oxford University Press: Oxford, UK, 2009. [Google Scholar]
- Gong, P.; Liang, S.; Carlton, E.J.; Jiang, Q.; Wu, J.; Wang, L.; Remais, J.V. Urbanisation and health in China. Lancet 2012, 379, 843–852. [Google Scholar] [CrossRef]
- Shrestha, R.; Flacke, J.; Martinez, J.; Van Maarseveen, M. Environmental health related socio-spatial inequalities: Identifying “hotspots” of environmental burdens and social vulnerability. Int. J. Environ. Res. Public Health 2016, 13, 691. [Google Scholar] [CrossRef]
- Wang, Y.; Akbari, H. The effects of street tree planting on Urban Heat Island mitigation in Montreal. Sustain. Cities Soc. 2016, 27, 122–128. [Google Scholar] [CrossRef]
- Sanders, R.A. Urban vegetation impacts on the hydrology of Dayton, Ohio. Urban Ecol. 1986, 9, 361–376. [Google Scholar] [CrossRef]
- Seamans, G.S. Mainstreaming the environmental benefits of street trees. Urban For. Urban Green. 2013, 12, 2–11. [Google Scholar] [CrossRef]
- Zhang, K.; Hu, B. Individual urban tree species classification using very high spatial resolution airborne multi-spectral imagery using longitudinal profiles. Remote Sens. 2012, 4, 1741–1757. [Google Scholar] [CrossRef]
- Thaiutsa, B.; Puangchit, L.; Kjelgren, R.; Arunpraparut, W. Urban green space, street tree and heritage large tree assessment in Bangkok, Thailand. Urban For. Urban Green. 2008, 7, 219–229. [Google Scholar] [CrossRef]
- Dinuls, R.; Erins, G.; Lorencs, A.; Mednieks, I.; Sinica-Sinavskis, J. Tree species identification in mixed Baltic forest using LiDAR and multispectral data. IEEE J. Sel. Top. Appl. Earth Obs. Remote Sens. 2012, 5, 594–603. [Google Scholar] [CrossRef]
- Yahiaoui, I.; Mzoughi, O.; Boujemaa, N. Leaf shape descriptor for tree species identification. In Proceedings of the 2012 IEEE International Conference on Multimedia and Expo, Melbourne, VIC, Australia, 9–13 July 2012; pp. 254–259. [Google Scholar]
- Meyera, P.; Staenzb, K.; Ittena, K. Semi-automated procedures for tree species identification in high spatial resolution data from digitized colour infrared-aerial photography. ISPRS J. Photogramm. Remote Sens. 1996, 51, 5–16. [Google Scholar] [CrossRef]
- Kim, S.; Schreuder, G.; McGaughey, R.J.; Andersen, H.-E. Individual tree species identification using LIDAR intensity data. In Proceedings of the ASPRS 2008 Annual Conference, Portland, OR, USA, 28 April–2 May 2008. [Google Scholar]
- Korpela, I.; Mehtätalo, L.; Markelin, L.; Seppänen, A.; Kangas, A. Tree species identification in aerial image data using directional reflectance signatures. Silva Fenn. 2014, 48, 1087. [Google Scholar] [CrossRef]
- Agarwal, S.; Vailshery, L.S.; Jaganmohan, M.; Nagendra, H. Mapping urban tree species using very high resolution satellite imagery: Comparing pixel-based and object-based approaches. ISPRS Int. J. Geo-Inf. 2013, 2, 220–236. [Google Scholar] [CrossRef]
- Effiom, A.E.; van Leeuwen, L.M.; Nyktas, P.; Okojie, J.A.; Erdbrügger, J. Combining unmanned aerial vehicle and multispectral Pleiades data for tree species identification, a prerequisite for accurate carbon estimation. J. Appl. Remote Sens. 2019, 13, 034530. [Google Scholar] [CrossRef]
- Maschler, J.; Atzberger, C.; Immitzer, M. Individual tree crown segmentation and classification of 13 tree species using airborne hyperspectral data. Remote Sens. 2018, 10, 1218. [Google Scholar] [CrossRef]
- Korpela, I.; Tokola, T.; Ørka, H.; Koskinen, M. Small-footprint discrete-return LiDAR in tree species recognition. In Proceedings of the ISPRS Hannover Workshop 2009, Hannover, Germany, 2–5 June 2009; pp. 1–6. [Google Scholar]
- Korpela, I.; Dahlin, B.; Schäfer, H.; Bruun, E.; Haapaniemi, F.; Honkasalo, J.; Ilvesniemi, S.; Kuutti, V.; Linkosalmi, M.; Mustonen, J. Single-tree forest inventory using lidar and aerial images for 3D treetop positioning, species recognition, height and crown width estimation. In Proceedings of the ISPRS Workshop on Laser Scanning, Espoo, Finland, 12–14 September 2007; pp. 227–233. [Google Scholar]
- Haala, N.; Reulke, R.; Thies, M.; Aschoff, T. Combination of terrestrial laser scanning with high resolution panoramic images for investigations in forest applications and tree species recognition. In Proceedings of the ISPRS Working Group V/1, Dresden, Germany, 19–22 February 2004. [Google Scholar]
- Zhang, C.; Qiu, F. Mapping individual tree species in an urban forest using airborne lidar data and hyperspectral imagery. Photogramm. Eng. Remote Sens. 2012, 78, 1079–1087. [Google Scholar] [CrossRef]
- Liu, L.; Coops, N.C.; Aven, N.W.; Pang, Y. Mapping urban tree species using integrated airborne hyperspectral and LiDAR remote sensing data. Remote Sens. Environ. 2017, 200, 170–182. [Google Scholar] [CrossRef]
- Shi, Y.; Skidmore, A.K.; Wang, T.; Holzwarth, S.; Heiden, U.; Pinnel, N.; Zhu, X.; Heurich, M. Tree species classification using plant functional traits from LiDAR and hyperspectral data. Int. J. Appl. Earth Obs. Geoinf. 2018, 73, 207–219. [Google Scholar] [CrossRef]
- Åkerblom, M.; Raumonen, P.; Mäkipää, R.; Kaasalainen, M. Automatic tree species recognition with quantitative structure models. Remote Sens. Environ. 2017, 191, 1–12. [Google Scholar] [CrossRef]
- Raczko, E.; Zagajewski, B. Comparison of support vector machine, random forest and neural network classifiers for tree species classification on airborne hyperspectral APEX images. Eur. J. Remote Sens. 2017, 50, 144–154. [Google Scholar] [CrossRef]
- Franklin, S.E.; Ahmed, O.S. Deciduous tree species classification using object-based analysis and machine learning with unmanned aerial vehicle multispectral data. Int. J. Remote Sens. 2018, 39, 5236–5245. [Google Scholar] [CrossRef]
- Vauhkonen, J.; Ørka, H.O.; Holmgren, J.; Dalponte, M.; Heinzel, J.; Koch, B. Tree species recognition based on airborne laser scanning and complementary data sources. In Forestry Applications of Airborne Laser Scanning; Springer: Berlin/Heidelberg, Germany, 2014; pp. 135–156. [Google Scholar]
- Othmani, A.; Voon, L.F.L.Y.; Stolz, C.; Piboule, A. Single tree species classification from terrestrial laser scanning data for forest inventory. Pattern Recognit. Lett. 2013, 34, 2144–2150. [Google Scholar] [CrossRef]
- Zhang, B.; Zhao, L.; Zhang, X. Three-dimensional convolutional neural network model for tree species classification using airborne hyperspectral images. Remote Sens. Environ. 2020, 247, 111938. [Google Scholar] [CrossRef]
- Zhang, H.; He, G.; Peng, J.; Kuang, Z.; Fan, J. Deep learning of path-based tree classifiers for large-scale plant species identification. In Proceedings of the 2018 IEEE Conference on Multimedia Information Processing and Retrieval (MIPR), Miami, FL, USA, 10–12 April 2018; pp. 25–30. [Google Scholar]
- Xi, Z.; Hopkinson, C.; Rood, S.B.; Peddle, D.R. See the forest and the trees: Effective machine and deep learning algorithms for wood filtering and tree species classification from terrestrial laser scanning. ISPRS J. Photogramm. Remote Sens. 2020, 168, 1–16. [Google Scholar] [CrossRef]
- Qi, C.R.; Yi, L.; Su, H.; Guibas, L.J. Pointnet++: Deep hierarchical feature learning on point sets in a metric space. In Proceedings of the Advances in Neural Information Processing Systems 30 Confernce(NIPS 2017), Long Beach, CA, USA, 4–6 December 2017; pp. 5099–5108. [Google Scholar]
- Berteška, T.; Gečyte, S.; Jakubauskienė, E.; Aksamitauskas, V.Č. The surface modelling based on UAV Photogrammetry and qualitative estimation. Measurement 2015, 73, 619–627. [Google Scholar]
- Huang, C.; Zhang, H.; Zhao, J. High-Efficiency Determination of Coastline by Combination of Tidal Level and Coastal Zone DEM from UAV Tilt Photogrammetry. Remote Sens. 2020, 12, 2189. [Google Scholar] [CrossRef]
- Ren, J.; Chen, X.; Zheng, Z. Future Prospects of UAV Tilt Photogrammetry Technology. IOP Conf. Ser. Mater. Sci. Eng. 2019, 612, 032023. [Google Scholar] [CrossRef]
- Olli, N.; Eija, H.; Sakari, T.; Niko, V.; Teemu, H.; Xiaowei, Y.; Juha, H.; Heikki, S.; Ilkka, P.L.N.; Nilton, I. Individual Tree Detection and Classification with UAV-Based Photogrammetric Point Clouds and Hyperspectral Imaging. Remote Sens. 2017, 9, 185. [Google Scholar]
- Berteška, T.; Ruzgien, B. Photogrammetric mapping based on UAV imagery. Geod. Cartogr. 2013, 39, 158–163. [Google Scholar] [CrossRef]
- Yang, B.; Luhe, W.; University, H.N. Model of Building 3D Model Based on UAV Incline Photogrammetry. Nat. Ence J. Harbin Norm. Univ. 2017, 33, 81–86. [Google Scholar]
- Torresan, C.; Berton, A.; Carotenuto, F.; Di Gennaro, S.F.; Gioli, B.; Matese, A.; Miglietta, F.; Vagnoli, C.; Zaldei, A.; Wallace, L. Forestry applications of UAVs in Europe: A review. Int. J. Remote Sens. 2017, 38, 2427–2447. [Google Scholar] [CrossRef]
- Park, S.; Yun, S.; Kim, H.; Kwon, R.; Ganser, J.; Anthony, S. Forestry monitoring system using lora and drone. In Proceedings of the 8th International Conference on Web Intelligence, Mining and Semantics, Novi Sad, Serbia, 25–27 June 2018; pp. 1–8. [Google Scholar]
- Tang, L.; Shao, G. Drone remote sensing for forestry research and practices. J. For. Res. 2015, 26, 791–797. [Google Scholar] [CrossRef]
- Cao, L.; Liu, H.; Fu, X.; Zhang, Z.; Shen, X.; Ruan, H. Comparison of UAV LiDAR and digital aerial photogrammetry point clouds for estimating forest structural attributes in subtropical planted forests. Forests 2019, 10, 145. [Google Scholar] [CrossRef]
- Qiu, Z.; Feng, Z.-K.; Wang, M.; Li, Z.; Lu, C. Application of UAV photogrammetric system for monitoring ancient tree communities in Beijing. Forests 2018, 9, 735. [Google Scholar] [CrossRef]
- Taddia, Y.; Stecchi, F.; Pellegrinelli, A. Coastal Mapping using DJI Phantom 4 RTK in Post-Processing Kinematic Mode. Drones 2020, 4, 9. [Google Scholar] [CrossRef]
- Rusu, R.B.; Marton, Z.C.; Blodow, N.; Dolha, M.; Beetz, M. Towards 3D point cloud based object maps for household environments. Robot. Auton. Syst. 2008, 56, 927–941. [Google Scholar] [CrossRef]
- Tao, S.; Guo, Q.; Xu, S.; Su, Y.; Li, Y.; Wu, F. A geometric method for wood-leaf separation using terrestrial and simulated lidar data. Photogramm. Eng. Remote Sens. 2015, 81, 767–776. [Google Scholar] [CrossRef]
- Moskal, L.M.; Zheng, G. Retrieving forest inventory variables with terrestrial laser scanning (TLS) in urban heterogeneous forest. Remote Sens. 2012, 4, 1–20. [Google Scholar] [CrossRef]
- Tian, J.; Dai, T.; Li, H.; Liao, C.; Teng, W.; Hu, Q.; Ma, W.; Xu, Y. A novel tree height extraction approach for individual trees by combining TLS and UAV image-based point cloud integration. Forests 2019, 10, 537. [Google Scholar] [CrossRef]
- Kükenbrink, D.; Schneider, F.D.; Leiterer, R.; Schaepman, M.E.; Morsdorf, F. Quantification of hidden canopy volume of airborne laser scanning data using a voxel traversal algorithm. Remote Sens. Environ. 2017, 194, 424–436. [Google Scholar] [CrossRef]
- Nelson, R. Modeling forest canopy heights: The effects of canopy shape. Remote Sens. Environ. 1997, 60, 327–334. [Google Scholar] [CrossRef]
- Andersen, H.-E.; Reutebuch, S.E.; McGaughey, R.J. A rigorous assessment of tree height measurements obtained using airborne lidar and conventional field methods. Can. J. Remote Sens. 2006, 32, 355–366. [Google Scholar] [CrossRef]
- Liu, H.; Wu, C. Tree Crown width estimation, using discrete airborne LiDAR data. Can. J. Remote Sens. 2016, 42, 610–618. [Google Scholar] [CrossRef]
- LaRue, E.A.; Atkins, J.W.; Dahlin, K.; Fahey, R.; Fei, S.; Gough, C.; Hardiman, B.S. Linking Landsat to terrestrial LiDAR: Vegetation metrics of forest greenness are correlated with canopy structural complexity. Int. J. Appl. Earth Obs. Geoinf. 2018, 73, 420–427. [Google Scholar] [CrossRef]
- Van Leeuwen, M.; Coops, N.C.; Wulder, M.A. Canopy surface reconstruction from a LiDAR point cloud using Hough transform. Remote Sens. Lett. 2010, 1, 125–132. [Google Scholar] [CrossRef]
- Thorne, M.S.; Skinner, Q.D.; Smith, M.A.; Rodgers, J.D.; Laycock, W.A.; Cerekci, S.A. Evaluation of a technique for measuring canopy volume of shrubs. Rangel. Ecol. Manag./J. Range Manag. Arch. 2002, 55, 235–241. [Google Scholar] [CrossRef]
- Ko, C.; Sohn, G.; Remmel, T.K. Tree genera classification with geometric features from high-density airborne LiDAR. Can. J. Remote Sens. 2013, 39, S73–S85. [Google Scholar] [CrossRef]
- Li, J.; Hu, B.; Noland, T.L. Classification of tree species based on structural features derived from high density LiDAR data. Agric. For. Meteorol. 2013, 171, 104–114. [Google Scholar] [CrossRef]
- Li, J.; Cheng, J.-H.; Shi, J.-Y.; Huang, F. Brief introduction of back propagation (BP) neural network algorithm and its improvement. In Advances in Computer Science and Information Engineering; Springer: Berlin/Heidelberg, Germany, 2012; pp. 553–558. [Google Scholar]
- Qi, Y. Random forest for bioinformatics. In Ensemble Machine Learning; Springer: Berlin/Heidelberg, Germany, 2012; pp. 307–323. [Google Scholar]
- Rodriguez-Galiano, V.F.; Ghimire, B.; Rogan, J.; Chica-Olmo, M.; Rigol-Sanchez, J.P. An assessment of the effectiveness of a random forest classifier for land-cover classification. ISPRS J. Photogramm. Remote Sens. 2012, 67, 93–104. [Google Scholar] [CrossRef]
- Hearst, M.A.; Dumais, S.T.; Osuna, E.; Platt, J.; Scholkopf, B. Support vector machines. IEEE Intell. Syst. Their Appl. 1998, 13, 18–28. [Google Scholar] [CrossRef]
- Zhang, H.; Berg, A.C.; Maire, M.; Malik, J. SVM-KNN: Discriminative nearest neighbor classification for visual category recognition. In Proceedings of the 2006 IEEE Computer Society Conference on Computer Vision and Pattern Recognition (CVPR’06), New York, NY, USA, 17–22 June 2006; pp. 2126–2136. [Google Scholar]
- Wang, B.; Gu, X.; Ma, L.; Yan, S. Temperature error correction based on BP neural network in meteorological wireless sensor network. Int. J. Sens. Netw. 2017, 23, 265–278. [Google Scholar] [CrossRef]
- Li, D.-J.; Li, Y.-Y.; Li, J.-X.; Fu, Y. Gesture recognition based on BP neural network improved by chaotic genetic algorithm. Int. J. Autom. Comput. 2018, 15, 267–276. [Google Scholar] [CrossRef]
- Ma, D.; Zhou, T.; Chen, J.; Qi, S.; Shahzad, M.A.; Xiao, Z. Supercritical water heat transfer coefficient prediction analysis based on BP neural network. Nucl. Eng. Des. 2017, 320, 400–408. [Google Scholar] [CrossRef]









| Parameter | Value |
|---|---|
| Maximum take-off weight | 1391 g |
| Flight duration | 30 min |
| Maximum tilt angle | Tilt −90° to +30° |
| Built-in camera pixels | 20 million |
| Maximum ascent speed | 5 m/s |
| Maximum descending speed | 3 m/s |
| Maximum horizontal flight speed | 50 km/h |
| Image sensor | 1 inch CMOS (Complementary Metal Oxide Semiconductor) |
| Induction system | Obstacle perception system |
| Types | Parameter | Formula |
|---|---|---|
| Tree attributes | Crown length tree height ratio | |
| Crown height tree height ratio | ||
| Canopy attributes | Crown length crown height ratio | |
| Crown to width ratio |
| Tree Species | Crown Type | Volume Formula |
|---|---|---|
| Fraxinus pennsylvanica | oval | |
| Ginkgo biloba | conical | |
| Robinia pseudoacacia | hemispherical | |
| Acer negundo | conical | |
| Populus tomentosa | conical | |
| Koelreuteria paniculate | hemispherical |
| Tree Attribute | Absolute Error (m) | Relative Error (%) | ||||
|---|---|---|---|---|---|---|
| Minimum | Maximum | Average | Minimum | Maximum | Average | |
| Tree height | 0.01 | 4.99 | 1.30 | 0.15 | 55.91 | 16.32 |
| X crown width | 0.02 | 2.35 | 0.65 | 0.45 | 40.98 | 13.70 |
| Y crown width | 0.01 | 2.79 | 0.65 | 0.15 | 55.35 | 13.48 |
| Crown height | 0.04 | 4.03 | 0.95 | 0.58 | 78.48 | 15.66 |
| Classification Method | Tree Species | Precision | Recall | F-Measure |
|---|---|---|---|---|
| RF | Fraxinus pennsylvanica | 80.8% | 84.0% | 0.824 |
| Ginkgo biloba | 91.7% | 78.6% | 0.846 | |
| Robinia pseudoacacia | 76.9% | 66.7% | 0.714 | |
| Acer negundo | 53.8% | 53.8% | 0.538 | |
| Populus tomentosa | 93.3% | 93.3% | 0.933 | |
| Koelreuteria paniculate | 60.0% | 75.0% | 0.667 | |
| overall | 77.4% | 76.6% | 0.768 | |
| BP neural network | Fraxinus pennsylvanica | 95.5% | 84.0% | 0.894 |
| Ginkgo biloba | 91.7% | 78.6% | 0.846 | |
| Robinia pseudoacacia | 73.3% | 73.3% | 0.733 | |
| Acer negundo | 68.4% | 100.0% | 0.813 | |
| Populus tomentosa | 100.0% | 93.3% | 0.966 | |
| Koelreuteria paniculate | 75.0% | 75.0% | 0.750 | |
| overall | 85.7% | 84.0% | 0.843 | |
| SVM | Fraxinus pennsylvanica | 44.6% | 100.0% | 0.617 |
| Ginkgo biloba | 90.9% | 71.4% | 0.800 | |
| Robinia pseudoacacia | 54.5% | 40.0% | 0.462 | |
| Acer negundo | 0.0% | 0.0% | 0.000 | |
| Populus tomentosa | 87.5% | 93.3% | 0.903 | |
| Koelreuteria paniculate | 0.0% | 0.0% | 0.000 | |
| overall | 46.3% | 58.5% | 0.464 | |
| KNN | Fraxinus pennsylvanica | 88.0% | 88.0% | 0.880 |
| Ginkgo biloba | 84.6% | 78.6% | 0.815 | |
| Robinia pseudoacacia | 71.4% | 66.7% | 0.690 | |
| Acer negundo | 64.3% | 69.2% | 0.667 | |
| Populus tomentosa | 92.9% | 86.7% | 0.897 | |
| Koelreuteria paniculate | 50.0% | 58.3% | 0.538 | |
| overall | 77.5% | 76.6% | 0.769 |
| Classification Method | Tree Species | Precision | Recall | F-Measure |
|---|---|---|---|---|
| RF | Fraxinus pennsylvanica | 84.6% | 88.0% | 0.863 |
| Ginkgo biloba | 92.9% | 92.9% | 0.929 | |
| Robinia pseudoacacia | 80.0% | 80.0% | 0.800 | |
| Acer negundo | 69.2% | 69.2% | 0.692 | |
| Populus tomentosa | 100.0% | 93.3% | 0.966 | |
| Koelreuteria paniculate | 75.0% | 75.0% | 0.750 | |
| overall | 84.2% | 84.0% | 0.841 | |
| BP neural network | Fraxinus pennsylvanica | 95.8% | 92.0% | 0.939 |
| Ginkgo biloba | 95.3% | 85.7% | 0.889 | |
| Robinia pseudoacacia | 83.3% | 66.7% | 0.741 | |
| Acer negundo | 78.5% | 100.0% | 0.867 | |
| Populus tomentosa | 100.0% | 93.3% | 0.966 | |
| Koelreuteria paniculate | 81.4% | 83.3% | 0.769 | |
| overall | 89.1% | 87.2% | 0.872 | |
| SVM | Fraxinus pennsylvanica | 50.0% | 100.0% | 0.667 |
| Ginkgo biloba | 92.9% | 92.9% | 0.929 | |
| Robinia pseudoacacia | 81.3% | 86.7% | 0.839 | |
| Acer negundo | 0.0% | 0.0% | 0.000 | |
| Populus tomentosa | 100.0% | 93.3% | 0.966 | |
| Koelreuteria paniculate | 0.0% | 0.0% | 0.000 | |
| overall | 54.0% | 69.1% | 0.567 | |
| KNN | Fraxinus pennsylvanica | 71.4% | 80.0% | 0.755 |
| Ginkgo biloba | 87.5% | 50.0% | 0.636 | |
| Robinia pseudoacacia | 78.6% | 73.3% | 0.759 | |
| Acer negundo | 20.0% | 23.1% | 0.214 | |
| Populus tomentosa | 73.7% | 93.3% | 0.824 | |
| Koelreuteria paniculate | 40.0% | 33.3% | 0.364 | |
| overall | 64.2% | 62.8% | 0.624 |
Publisher’s Note: MDPI stays neutral with regard to jurisdictional claims in published maps and institutional affiliations. |
© 2021 by the authors. Licensee MDPI, Basel, Switzerland. This article is an open access article distributed under the terms and conditions of the Creative Commons Attribution (CC BY) license (http://creativecommons.org/licenses/by/4.0/).
Share and Cite
Wang, Y.; Wang, J.; Chang, S.; Sun, L.; An, L.; Chen, Y.; Xu, J. Classification of Street Tree Species Using UAV Tilt Photogrammetry. Remote Sens. 2021, 13, 216. https://doi.org/10.3390/rs13020216
Wang Y, Wang J, Chang S, Sun L, An L, Chen Y, Xu J. Classification of Street Tree Species Using UAV Tilt Photogrammetry. Remote Sensing. 2021; 13(2):216. https://doi.org/10.3390/rs13020216
Chicago/Turabian StyleWang, Yutang, Jia Wang, Shuping Chang, Lu Sun, Likun An, Yuhan Chen, and Jiangqi Xu. 2021. "Classification of Street Tree Species Using UAV Tilt Photogrammetry" Remote Sensing 13, no. 2: 216. https://doi.org/10.3390/rs13020216
APA StyleWang, Y., Wang, J., Chang, S., Sun, L., An, L., Chen, Y., & Xu, J. (2021). Classification of Street Tree Species Using UAV Tilt Photogrammetry. Remote Sensing, 13(2), 216. https://doi.org/10.3390/rs13020216

