Retrieval of Stratospheric HNO3 and HCl Based on Ground-Based High-Resolution Fourier Transform Spectroscopy
Abstract
1. Introduction
2. Retrieval of Atmospheric HNO3 and HCl
2.1. Measurement Site and Instrument
2.2. Retrieval Method
2.3. Error Analysis
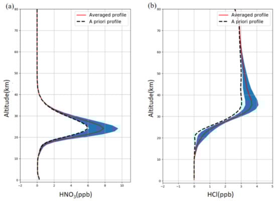
3. Results and Discussion
Vertical Distributions of HNO3 and HCl
4. Comparison with Satellite Data
5. Conclusions
Author Contributions
Funding
Institutional Review Board Statement
Informed Consent Statement
Data Availability Statement
Acknowledgments
Conflicts of Interest
Appendix A


References
- Wood, S.W.; Batchelor, R.L.; Goldman, A.; Rinsland, C.P.; Connor, B.J.; Murcray, F.J.; Stephen, T.M.; Heuff, D.N. Ground-based nitric acid measurements at Arrival Heights, Antarctica, using solar and lunar Fourier transform infrared observations. J. Geophys. Res. 2004, 109, D18307. [Google Scholar] [CrossRef]
- Solomon, S.; Ivy, D.J.; Kinnison, D.; Mills, M.J.; Neely, R.R.; Schmidt, A. Emergence of healing in the Antarctic ozone layer. Science 2016, 353, 269–274. [Google Scholar] [CrossRef] [PubMed]
- Zhu, Y.; Toon, O.B.; Kinnison, D.; Harvey, V.L.; Mills, M.J.; Bardeen, C.G.; Pitts, M.; Bègue, N.; Renard, J.-P.; Berthet, G.; et al. Stratospheric aerosols, polar stratospheric clouds, and polar ozone depletion after the Mount Calbuco eruption in 2015. J. Geophys. Res. Atmos. 2018, 123, 331. [Google Scholar] [CrossRef]
- Orsolini, Y.J.; Manney, G.L.; Santee, M.L.; Randall, C.E. An upper stratospheric layer of enhanced HNO3 following exceptional solar storms. Geophys. Res. Lett. 2005, 32. [Google Scholar] [CrossRef]
- Nassar, R.; Bernath, P.F.; Boone, C.D.; Clerbaux, C.; Coheur, P.F.; Dufour, G.; Froidevaux, L.; Mahieu, E.; McConnell, J.C.; McLeod, S.D.; et al. A global inventory of stratospheric chlorine in 2004. J. Geophys. Res. 2006, 111, D22312. [Google Scholar] [CrossRef]
- Faxon, C.B.; Allen, D.T. Chlorine chemistry in urban atmospheres: A review. Environ. Chem. 2013, 10, 221. [Google Scholar] [CrossRef]
- Faxon, C.; Bean, J.; Ruiz, L. Inland Concentrations of Cl2 and ClNO2 in Southeast Texas Suggest Chlorine Chemistry Significantly Contributes to Atmospheric Reactivity. Atmosphere 2015, 6, 1487–1506. [Google Scholar] [CrossRef]
- Wang, X.; Jacob, D.J.; Eastham, S.D.; Sulprizio, M.P.; Zhu, L.; Chen, Q.; Alexander, B.; Sherwen Ts Evans, M.J.; Lee, B.H.; Haskins, J.D.; et al. The role of chlorine in global tropospheric chemistry. Atmos. Chem. Phys. 2019, 19, 3981–4003. [Google Scholar] [CrossRef]
- Chipperfield, M.P.; Bekki, S.; Dhomse, S.; Harris, N.R.P.; Hassler, B.; Hossaini, R.; Steinbrecht, W.; Thiblemont, R.M.; Weber, M. Detecting recovery of the stratospheric ozone layer. Nature 2017, 549, 211–218. [Google Scholar] [CrossRef]
- Drdla, K.; Müller, R. Temperature thresholds for chlorine activation and ozone loss in the polar stratosphere. Ann. Geophys. 2012, 30, 1055–1073. [Google Scholar] [CrossRef]
- Wegner, T.; Grooß, J.-U.; von Hobe, M.; Stroh, F.; Suminska-Ebersoldt, O.; Volk, C.M.; Hösen, E.; Mitev, V.; Shur, G.; Müller, R. Heterogeneous chlorine activation on stratospheric aerosols and clouds in the Arctic polar vortex. Atmos. Chem. Phys. 2012, 12, 11095–11106. [Google Scholar] [CrossRef]
- Nakajima, H.; Wohltmann, I.; Wegner, T.; Takeda, M.; Pitts, M.C.; Poole, L.R.; Lehmann, R.; Santee, M.L.; Rex, M. Polar stratospheric cloud evolution and chlorine activation measured by CALIPSO and MLS, and modeled by ATLAS. Atmos. Chem. Phys. 2016, 16, 3311–3325. [Google Scholar] [CrossRef]
- Neuman, A.; Gao, S.; Fahey, W.; Holecek, C.; Ridley, A.; Walega, G.; Grahek, E.; Richard, C.; Mcelroy, T.; Thompson, L. In situ measurements of HNO3, NOy, NO, and O3 in the lower stratosphere and upper troposphere. Atmos. Environ. 2001, 35, 5789–5797. [Google Scholar] [CrossRef]
- Ungermann, J.; Ern, M.; Kaufmann, M.; Müller, R.; Spang, R.; Ploeger, F.; Vogel, B.; Riese, M. Observations of PAN and its confinement in the Asian summer monsoon anticyclone in high spatial resolution. Atmos. Chem. Phys. 2016, 16, 8389–8403. [Google Scholar] [CrossRef]
- Marcy, T.P.; Gao, R.S.; Northway, M.J.; Popp, P.J.; Stark, H.; Fahey, D.W. Using chemical ionization mass spectrometry for detection of HNO3, HCl, and ClONO2 in the atmosphere. Int. J. Mass Spectrom. 2005, 243, 63–70. [Google Scholar] [CrossRef]
- Jurkat, T.; Voigt, C.; Kaufmann, S.; Zahn, A.; Sprenger, M.; Hoor, P.; Bozem, H.; Müller, S.; Dörnbrack, A.; Schlager, H.; et al. A quantitative analysis of stratospheric HCl, HNO3, and O3 in the tropopause region near the subtropical jet. Geophys. Res. Lett. 2014, 41, 3315–3321. [Google Scholar] [CrossRef][Green Version]
- Johansson, S.; Woiwode, W.; Höpfner, M.; Friedl-Vallon, F.; Kleinert, A.; Kretschmer, E.; Latzko, T.; Orphal, J.; Preusse, P.; Ungermann, J.; et al. Airborne limb-imaging measurements of temperature, HNO3, O3, ClONO2, H2O and CFC-12 during the Arctic winter 2015/2016: Characterization, in situ validation and comparison to Aura/MLS. Atmos. Meas. Tech. 2018, 11, 4737–4756. [Google Scholar] [CrossRef]
- Vigouroux, C.; De Maziere, M.; Errera, Q.; Chabrillat, S.; Mahieu, E.; Duchatelet, P.; Wood, S.; Smale, D.; Barthlott, S.; Blumenstock, T.; et al. Comparisons between ground-based FTIR and MIPAS N2O and HNO3 profiles before and after assimilation in BASCOE. Atmos. Chem. Phys. 2007, 7, 377–396. [Google Scholar] [CrossRef]
- Froidevaux, L.; Jiang, Y.; Lambert, A.; Livesey, N.; Read, W.; Waters, J.; Fuller, R.; Marcy, T.; Popp, P.; Gao, R.; et al. Validation of Aura Microwave Limb Sounder HCl measurements. J. Geophys. Res. 2008, 113, 15–25. [Google Scholar] [CrossRef]
- Wespes, C.; Hurtmans, D.; Clerbaux, C.; Santee, M.L.; Martin, R.V.; Coheur, P.F. Global distributions of nitric acid from IASI/MetOP measurements. Atmos. Chem. Phys. 2009, 9, 7949–7962. [Google Scholar] [CrossRef]
- Jones, A.; Urban, J.; Murtagh, D.P.; Sanchez, C.; Walker, K.A.; Livesey, N.J.; Froidevaux, L.; Santee, M.L. Analysis of HCl and ClO time series in the upper stratosphere using satellite data sets. Atmos. Chem. Phys. 2011, 11, 5321–5333. [Google Scholar] [CrossRef]
- Ronsmans, G.; Langerock, B.; Wespes, C.; Hannigan, J.W.; Hase, F.; Kerzenmacher, T.; Mahieu, E.; Schneider, M.; Smale, D.; Hurtmans, D.; et al. First characterization and validation of FORLI-HNO3 vertical profiles retrieved from IASI/Metop. Atmos. Meas. Tech. 2016, 9, 4783–4801. [Google Scholar] [CrossRef]
- Ronsmans, G.; Wespes, C.; Hurtmans, D.; Clerbaux, C.; Coheur, P.F. Spatio-temporal variations of nitric acid total columns from 9 years of IASI measurements A driver study. Atmos. Chem. Phys. 2018, 18, 4403–4442. [Google Scholar] [CrossRef]
- Wunch, D.; Toon, G.C.; Blavier, J.F.; Washenfelder, R.A.; Notholt, J.; Connor, B.J.; Griffith, D.W.; Sherlock, V.; Wennberg, P.O. The total carbon column observing network. Philos. Trans. A Math Phys. Eng. Sci. 2011, 369, 2087–2112. [Google Scholar] [CrossRef]
- De Mazière, M.; Thompson, A.M.; Kurylo, M.J.; Wild, J.D.; Bernhard, G.; Blumenstock, T.; Braathen, G.O.; Hannigan, J.W.; Lambert, J.-C.; Leblanc, T.; et al. The Network for the Detection of Atmospheric Composition Change (NDACC): History, status and perspectives. Atmos. Chem. Phys. 2018, 18, 4935–4964. [Google Scholar] [CrossRef]
- Wunch, D.; Wennberg, P.O.; Osterman, G.; Fisher, B.; Eldering, A. Comparisons of the Orbiting Carbon Observatory-2 (OCO-2) XCO2 measurements with TCCON. Atmos. Meas. Tech. 2017, 10, 1–45. [Google Scholar] [CrossRef]
- Polyakov, A.V.; Timofeev, Y.M.; Poberovskii, A.V. Ground-based measurements of total column of hydrogen chloride in the atmosphere near St. Petersburg. Izv. Atmos. Ocean. Phys. 2013, 49, 411–419. [Google Scholar] [CrossRef]
- Mahieu, E.; Chipperfield, M.P.; Notholt, J.; Reddmann, T.; Anderson, J.; Bernath, P.F.; Blumenstock, T.; Coffey, M.T.; Dhomse, S.S.; Feng, W.; et al. Recent Northern Hemisphere stratospheric HCl increase due to atmospheric circulation changes. Nature 2014, 515, 104–107. [Google Scholar] [CrossRef]
- Virolainen, Y.; Timofeyev, Y.; Polyakov, A.; Ionov, D.; Kirner, O.; Poberovskiy, A.; Imhasin, H. Comparing Data Obtained from Ground-Based Measurements of the Total Contents of O3, HNO3, HCl, and NO2 and from Their Numerical Simulation. Izv. Atmos. Ocean. Phys. 2016, 52, 57–65. [Google Scholar] [CrossRef]
- Rinsland, C.P.; Zander, R.; Demoulin, P. Ground-based infrared measurements of HNO3 total column abundances: Long term trend and variability. J. Geophys. Res. Atmos. 1991, 96, 9379–9389. [Google Scholar] [CrossRef]
- Nakajima, H.; Murata, I.; Nagahama, Y.; Akiyoshi, H.; Saeki, K.; Kinase, T.; Takeda, M.; Tomikawa, Y.; Dupuy, E.; Jones, N.B. Chlorine partitioning near the polar vortex edge observed with ground-based FTIR and satellites at Syowa Station, Antarctica, in 2007 and 2011. Atmos. Chem. Phys. 2020, 20, 1043–1074. [Google Scholar] [CrossRef]
- Whaley, C.; Strong, K.; Adams, C.; Bourassa, A.E.; Daffer, W.H.; Degenstein, D.A.; Fast, H.; Fogal, P.F.; Manney, G.L.; Mittermeier, R.L.; et al. Using FTIR measurements of stratospheric composition to identify midlatitude polar vortex intrusions over Toronto. J. Geophys. Res. Atmos. 2013, 118, 712–783. [Google Scholar] [CrossRef]
- Shan, C.; Wang, W.; Liu, C.; Sun, Y.; Hu, Q.; Xu, X.; Tian, Y.; Zhang, H.; Morino, I.; Griffith, D.W.T.; et al. Regional CO emission estimated from ground-based remote sensing at Hefei site, China. Atmos. Res. 2019, 222, 25–35. [Google Scholar] [CrossRef]
- Wang, W.; Tian, Y.; Liu, C.; Sun, Y.; Liu, W.; Xie, P.; Liu, J.; Xu, J.; Morino, I.; Velazco, V.A.; et al. Investigating the performance of a greenhouse gas observatory in Hefei, China. Atmos. Meas. Tech. 2017, 10, 2627–2643. [Google Scholar] [CrossRef]
- Hase, F.; Drouin, B.J.; Roehl, C.M.; Toon, G.C.; Wennberg, P.O.; Wunch, D.; Blumenstock, T.; Desmet, F.; Feist, D.G.; Heikkinen, P.; et al. Calibration of sealed HCl cells used for TCCON instrumental line shape monitoring. Atmos. Meas. Tech. 2013, 6, 3527–3537. [Google Scholar] [CrossRef]
- Sun, Y.; Liu, C.; Chan, K.; Wang, W.; Shan, C.; Hu, Q.; Liu, J. The Influence of Instrumental Line Shape Degradation on the Partial Columns of O3, CO, CH4 and N2O Derived from High-Resolution FTIR Spectrometry. Remote Sens. 2018, 10, 2041. [Google Scholar] [CrossRef]
- Rodgers, C.D.; Connor, B.J. Intercomparison of remote sounding instruments. J. Geophys. Res. Atmosph. 2003, 108. [Google Scholar] [CrossRef]
- Schneider, M.; Sepulveda, E.; Garca, O.; Hase, F.; Blumenstock, T. Remote sensing of water vapour profiles in the framework of the Total Carbon Column Observing Network (TCCON). Atmos. Meas. Tech. 2010, 3, 1785–1795. [Google Scholar] [CrossRef]
- Kalnay, E.; Kanamitsu, M.; Kistler, R.; Collins, W.; Deaven, D.; Gandin, L.; Iredell, M.; Saha, S.; White, G.; Woollen, J.; et al. The NCEP/NCAR 40-Year Reanalysis Project. Bullet. Am. Meteorolog. Soc. 1996, 77, 437. [Google Scholar] [CrossRef]
- Rothman, L.S.; Gordon, I.E.; Barbe, A.; Benner, D.C.; Bernath, P.E.; Birk, M.; Boudon, V.; Brown, L.R.; Campargue, A.; Champion, J.P.; et al. The HITRAN 2008 molecular spectroscopic database. J. Quant. Spectrosc. Radiat. Transf. 2009, 110, 533–572. [Google Scholar] [CrossRef]
- Fu, D.; Walker, K.A.; Mittermeier, R.L.; Strong, K.; Sung, K.; Fast, H.; Bernath, P.F.; Boone, C.D.; Daffer, W.H.; Fogal, P.; et al. Simultaneous trace gas measurements using two Fourier transform spectrometers at Eureka, Canada during spring 2006, and comparisons with the ACE-FTS. Atmos. Chem. Phys. 2011, 11, 5383–5405. [Google Scholar] [CrossRef]
- Lindenmaier, R.; Strong, K.; Batchelor, R.L.; Chipperfield, M.P.; Daffer, W.H.; Drummond, J.R.; Duck, T.J.; Fast, H.; Feng, W.; Fogal, P.F.; et al. Unusually low ozone, HCl, and HNO3 column measurements at Eureka, Canada during winter/spring 2011. Atmos. Chem. Phys. 2012, 12, 3821–3835. [Google Scholar] [CrossRef]
- Thoning, K.W.; Tans, P.P.; Komhyr, W.D. Atmospheric carbon dioxide at Mauna Loa Observatory: 2. Analysis of the NOAA GMCC data. J. Geophys. Res. 1989, 94, 8549–8565. [Google Scholar] [CrossRef]
- Stolarski, R.S.; Douglass, A.R.; Strahan, S.E. Using satellite measurements of N2O to remove dynamical variability from HCl measurements. Atmos. Chem. Phys. 2018, 18, 5691–5697. [Google Scholar] [CrossRef]
- Kohlhepp, R.; Ruhnke, R.; Chipperfield, M.P.; De Mazière, M.; Notholt, J.; Barthlott, S.; Batchelor, R.L.; Blatherwick, R.D.; Blumenstock, T.; Coffey, M.T.; et al. Observed and simulated time evolution of HCl, ClONO2, and HF total column abundances. Atmos. Chem. Phys. 2012, 12, 3527–3556. [Google Scholar] [CrossRef]
- Yela, M.; Gil-Ojeda, M.; Navarro-Comas, M.; Gonzalez-Bartolomé, D.; Puentedura, O.; Funke, B.; Iglesias, J.; Rodríguez, S.; García, O.; Ochoa, H.; et al. Hemispheric asymmetry in stratospheric NO2 trends. Atmos. Chem. Phys. 2017, 17, 13373–13389. [Google Scholar] [CrossRef]
- Yin, H.; Sun, Y.; Liu, C.; Zhang, L.; Lu, X.; Wang, W.; Shan, C.; Hu, Q.; Tian, Y.; Zhang, C.; et al. FTIR time series of stratospheric NO2 over Hefei, China, and comparisons with OMI and GEOS-Chem model data. Opt. Express 2019, 27, A1225–A1240. [Google Scholar] [CrossRef]
- Montzka, S.A.; Dutton, G.S.; Yu, P.; Ray, E.; Portmann, R.W.; Daniel, J.S.; Kuijpers, L.; Hall, B.D.; Mondeel, D.; Siso, C.; et al. An unexpected and persistent increase in global emissions of ozone-depleting CFC-11. Nature 2018, 557, 413–417. [Google Scholar] [CrossRef]
- Polyakov, A.V.; Timofeyev, Y.M.; Virolainen, Y.A.; Makarova, M.V.; Poberovskii, A.V.; Imhasin, H.K. Ground-Based Measurements of the Total Column of Freons in the Atmosphere near St. Petersburg (2009–2017). Izv. Atmosp. Ocean. Phys. 2018, 54, 487–494. [Google Scholar] [CrossRef]
- Khosrawi, F.; Urban, J.; Lossow, S.; Stiller, G.; Weigel, K.; Braesicke, P.; Pitts, M.C.; Rozanov, A.; Burrows, J.P.; Murtagh, D. Sensitivity of polar stratospheric cloud formation to changes in water vapour and temperature. Atmos. Chem. Phys. 2016, 16, 101–121. [Google Scholar] [CrossRef]
- Yin, H.; Sun, Y.; Liu, C.; Lu, X.; Smale, D.; Blumenstock, T.; Nagahama, T.; Wang, W.; Tian, Y.; Hu, Q.; et al. Ground-based FTIR observation of hydrogen chloride (HCl) over Hefei, China, and comparisons with GEOS-Chem model data and other ground-based FTIR stations data. Opt. Express 2020, 28, 8041–8055. [Google Scholar] [CrossRef] [PubMed]
- Webster, C.R.; May, R.D.; Jaegle, L.; Hu, H.; Sander, S.P.; Gunson, M.R.; Toon, G.C.; Russell, J.M.; Stimpfle, R.M.; Koplow, J.P.; et al. Hydrochloric-Acid and the Chlorine Budget of the Lower Stratosphere. Geophys. Res. Lett. 1994, 21, 2575–2578. [Google Scholar] [CrossRef]
- Solomon, S. Stratospheric Ozone Depletion: A Review of Concepts and History. Rev. Geophys. 1999, 37, 275–316. [Google Scholar] [CrossRef]
- Waters, J.W.; Froidevaux, L.; Harwood, R.S.; Jarnot, R.F.; Pickett, H.M.; Read, W.G.; Siegel, P.H.; Cofield, R.E.; Filipiak, M.J.; Flower, D.A.; et al. The Earth Observing System Microwave Limb Sounder (EOS MLS) on the Aura satellite. IEEE Trans. Geosci. Remote Sens. 2006, 44, 1075–1092. [Google Scholar] [CrossRef]
- Froidevaux, L.; Livesey, N.J.; Read, W.G.; Salawitch, R.J.; Waters, J.W.; Drouin, B.; MacKenzie, I.A.; Pumphrey, H.C.; Bernath, P.; Boone, C.; et al. Temporal decrease in upper atmospheric chlorine. Geophys. Res. Lett. 2006, 33, L23813. [Google Scholar] [CrossRef]
- Santee, M.L.; Manney, G.L.; Livesey, N.J.; Froidevaux, L.; Schwartz, M.J.; Read, W.G. Trace gas evolution in the lowermost stratosphere from Aura Microwave Limb Sounder measurements. J. Geophys. Res. 2011, 116, D18306. [Google Scholar] [CrossRef]
- Livesey, N.J.; Read, W.G.; Wagner, P.A.; Froidevaux, L.; Lambert, A.; Manney, G.L.; Millán, L.F.; Pumphrey, H.C.; Santee, M.L.; Schwartz, M.J.; et al. Version 4.2x Level 2 Data Quality and Description Document. Earth Observing System (EOS) Aura Microwave Limb Sounder (MLS). Available online: https://mls.jpl.nasa.gov/data/v42_data_quality_document.pdf (accessed on 9 February 2017).
- Buschmann, M.; Deutscher, N.M.; Sherlock, V.; Palm, M.; Warneke, T.; Notholt, J. Retrieval of xCO2 from ground-based mid-infrared (NDACC) solar absorption spectra and comparison to TCCON. Atmosp. Measur. Tech. 2016, 9, 577–585. [Google Scholar] [CrossRef]










| Species | HNO3 | HCl | ||
|---|---|---|---|---|
| Retrieval algorithm | SFIT4 0.9.4.4 | SFIT4 0.9.4.4 | ||
| Atmospheric stratification | 48 layers | 48 layers | ||
| Simulated height | 0–120 km | 0–120 km | ||
| Spectra resolution | 0.005 cm−1 | 0.005 cm−1 | ||
| Spectroscopic line parameters | HITRAN 2012 | HITRAN 2012 | ||
| T, P and H2O profiles | NCEP | NCEP | ||
| A priori profiles of retrieved species | WACCAM | WACCAM | ||
| Spectral range (cm−1) | MW1 MW2 | 868.47–870.00 872.80–874.00 | MW1 MW2 MW3 | 2727.68–2727.82 2775.60–2775.90 2925.65–2926.10 |
| Interfering species | MW1 MW2 | H2O,OCS,NH3,CO2 H2O,OCS,NH3,CO2 | MW1 MW2 MW3 | O3, H2O, HDO O3, H2O, N2O CH4, NO2 |
| Parameter | Random Uncertainty | Systematic Uncertainty |
|---|---|---|
| Temperature | 2K troposphere | 2K troposphere |
| 5K stratosphere | 5K stratosphere | |
| Solar line shift | 0.005 cm−1 | 0.005 cm−1 |
| Solar zenith angle | 0.025° | 0.025° |
| Solar line strength | 0.1% | 0.1% |
| Phase | 0.001 rad | 0.001 rad |
| Zero level shift | 0.01 | 0.01 |
| Wavenumber shift | 0.001 cm−1 | 0.001 cm−1 |
| Background slope | 0.001 cm−1 | 0.001 cm−1 |
| Background curvature | 0.001 cm−1 | 0.001 cm−1 |
| Field of view | 0.001 | 0.001 |
| Line intensity | / | 10.0% |
| Line T broadening | / | 10.0% |
| Line P broadening | / | 10.0% |
| Interfering species | 2% (H2O profile) | 2% (H2O profile) |
| HNO3 | HCl | |||
|---|---|---|---|---|
| Random Error/% | Systematic Error/% | Random Error/% | Systematic Error/% | |
| Smoothing error | 5.08 | / | 2.09 | / |
| Measurement error | 3.26 | / | 0.67 | / |
| Retrieval error | 0.05 | / | 0.01 | / |
| Interfering species | 0.20 | / | 0.05 | / |
| Temperature | 1.61 | 2.22 | 0.74 | 1.73 |
| Solar zenith angle | 0.07 | 0.07 | 0.05 | 0.05 |
| Zero level shift | 0.82 | 0.82 | 1.04 | 1.04 |
| Background curvature | 0.50 | 0.50 | / | / |
| Phase | 0.01 | 0.01 | 0.15 | 0.12 |
| Line intensity | / | 8.76 | / | 7.52 |
| Subtotal error | 7.86 | 9.28 | 1.47 | 9.98 |
| Total error | 12.16 | 10.09 | ||
| Species | Year | Coincident Pairs | Mean Relative Difference | Correlation Coefficient |
|---|---|---|---|---|
| HNO3 | 2017 | 98 | (8.39 ± 13.45)% | 0.64 |
| 2018 | 91 | (7.99 ± 12.14)% | 0.87 | |
| 2019 | 83 | (9.44 ± 10.63)% | 0.67 | |
| Total | 272 | (8.58 ± 12.22)% | 0.78 | |
| HCl | 2017 | 70 | (−3.22 ± 11.31)% | 0.73 |
| 2018 | 94 | (−4.49 ± 14.62)% | 0.63 | |
| 2019 | 79 | (−5.9 ± 12.49)% | 0.65 | |
| Total | 243 | (−4.58 ± 13.09)% | 0.71 |
Publisher’s Note: MDPI stays neutral with regard to jurisdictional claims in published maps and institutional affiliations. |
© 2021 by the authors. Licensee MDPI, Basel, Switzerland. This article is an open access article distributed under the terms and conditions of the Creative Commons Attribution (CC BY) license (https://creativecommons.org/licenses/by/4.0/).
Share and Cite
Shan, C.; Zhang, H.; Wang, W.; Liu, C.; Xie, Y.; Hu, Q.; Jones, N. Retrieval of Stratospheric HNO3 and HCl Based on Ground-Based High-Resolution Fourier Transform Spectroscopy. Remote Sens. 2021, 13, 2159. https://doi.org/10.3390/rs13112159
Shan C, Zhang H, Wang W, Liu C, Xie Y, Hu Q, Jones N. Retrieval of Stratospheric HNO3 and HCl Based on Ground-Based High-Resolution Fourier Transform Spectroscopy. Remote Sensing. 2021; 13(11):2159. https://doi.org/10.3390/rs13112159
Chicago/Turabian StyleShan, Changgong, Huifang Zhang, Wei Wang, Cheng Liu, Yu Xie, Qihou Hu, and Nicholas Jones. 2021. "Retrieval of Stratospheric HNO3 and HCl Based on Ground-Based High-Resolution Fourier Transform Spectroscopy" Remote Sensing 13, no. 11: 2159. https://doi.org/10.3390/rs13112159
APA StyleShan, C., Zhang, H., Wang, W., Liu, C., Xie, Y., Hu, Q., & Jones, N. (2021). Retrieval of Stratospheric HNO3 and HCl Based on Ground-Based High-Resolution Fourier Transform Spectroscopy. Remote Sensing, 13(11), 2159. https://doi.org/10.3390/rs13112159

