Performance of the CMORPH and GPM IMERG Products over the United Arab Emirates
Abstract
1. Introduction
2. Study Area and Data
2.1. Study Area
2.2. Data
3. Methodology
3.1. Data Processing
3.2. Performance Measures
4. Results and Discussion
4.1. Evaluation of Spatially Averaged Rainfall
4.2. Station-Based Evaluation
4.2.1. Rainfall Detection Contingency Measures
4.2.2. Bias and Error Measures
4.2.3. Rainfall Correlation
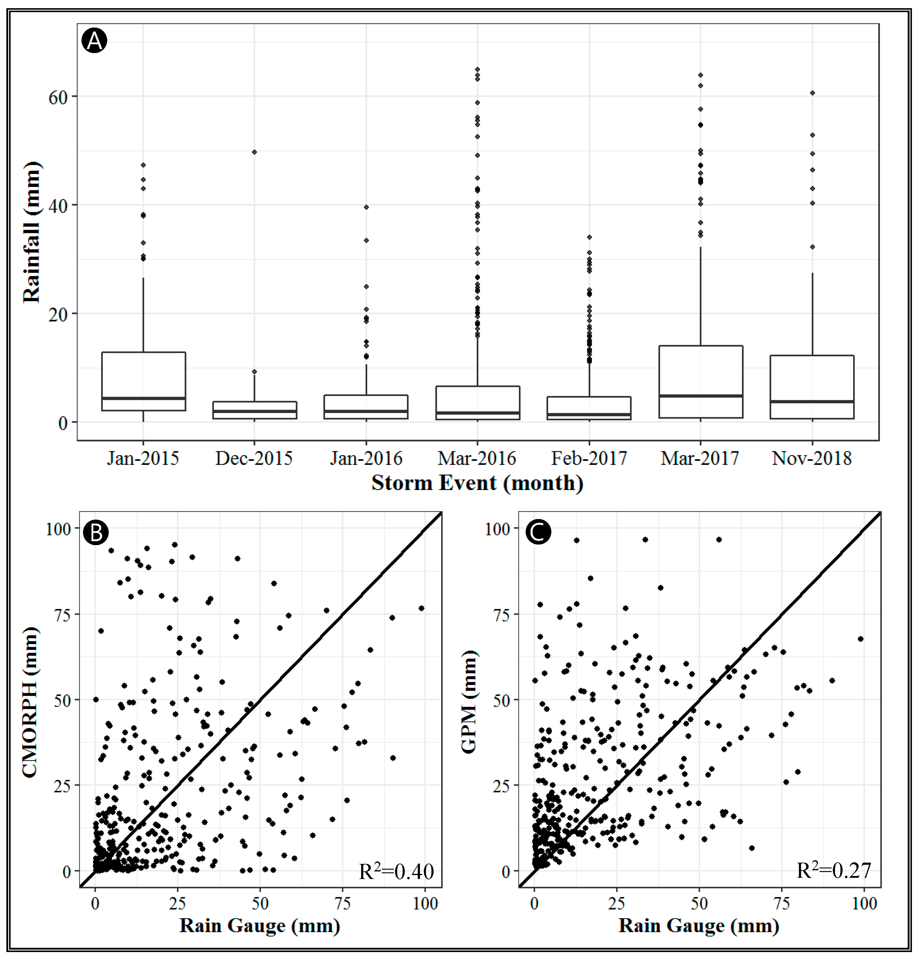
4.3. Event-Based Evaluation
4.3.1. Rainfall Detection Contingency Measures
4.3.2. Bias and Error Measures
4.3.3. Rainfall Correlation
5. Summary and Conclusions
Author Contributions
Funding
Acknowledgments
Conflicts of Interest
Appendix A
| Stations | POD | FAR | CSI | RMSE | MAE | ME | RBIAS | CC | Number of Observations (n) | Total Precipitation |
| Abu Al Abyad | 0.79 | 0.39 | 0.55 | 3.70 | 0.93 | −0.59 | −1.81 | 0.71 | 213 | 269.60 |
| Abu Al Bukhoosh | 0.54 | 0.76 | 0.23 | 8.98 | 2.91 | 2.78 | 29.52 | 0.66 | 213 | 89.80 |
| Abu Dhabi | 0.66 | 0.16 | 0.56 | 2.58 | 0.81 | 0.73 | 3.91 | 0.73 | 213 | 102.80 |
| Al Ain | 0.91 | 0.10 | 0.84 | 0.57 | 0.16 | 0.00 | −0.81 | 0.90 | 213 | 144.00 |
| Al Aryam | 0.70 | 0.52 | 0.44 | 2.66 | 0.82 | 0.53 | 4.14 | 0.65 | 213 | 116.60 |
| Al Dhaid | 0.84 | 0.35 | 0.60 | 1.61 | 0.47 | 0.14 | 6.77 | 0.89 | 213 | 107.40 |
| Al Ejeili Tuwa | 0.83 | 0.51 | 0.46 | 6.03 | 2.03 | 1.87 | 21.20 | 0.75 | 213 | 129.60 |
| Al FarFar | 1.00 | 0.00 | 1.00 | 2.35 | 0.43 | −0.43 | −3.11 | 1.00 | 30 | 13.80 |
| Al Heben | 0.61 | 0.25 | 0.49 | 1.97 | 0.67 | −0.06 | −1.13 | 0.84 | 89 | 72.20 |
| Al Jazeera | 0.59 | 0.34 | 0.44 | 0.98 | 0.31 | −0.16 | −1.28 | 0.53 | 213 | 81.20 |
| Al Malaiha | 0.57 | 0.51 | 0.35 | 4.06 | 1.01 | −0.30 | −0.68 | 0.81 | 213 | 198.20 |
| Al Qatara | 0.46 | 0.78 | 0.21 | 1.49 | 0.42 | −0.07 | −1.20 | 0.36 | 213 | 94.20 |
| Al Qor | 0.83 | 0.39 | 0.51 | 1.29 | 0.41 | 0.15 | 2.40 | 0.80 | 182 | 96.30 |
| Al Shiweb | 0.70 | 0.49 | 0.42 | 8.47 | 1.77 | −1.49 | 4.14 | 0.76 | 213 | 476.00 |
| Al Tawiyen | 0.42 | 0.29 | 0.35 | 1.87 | 0.62 | 0.20 | 0.86 | 0.68 | 213 | 111.00 |
| Alarad | 0.59 | 0.43 | 0.47 | 2.31 | 0.53 | −0.36 | 3.44 | 0.70 | 213 | 155.80 |
| Alfoah | 0.64 | 0.26 | 0.48 | 3.91 | 0.93 | −0.84 | −2.65 | 0.78 | 213 | 275.40 |
| Algheweifat | 0.71 | 0.77 | 0.23 | 1.90 | 0.72 | 0.32 | 4.64 | 0.36 | 213 | 102.80 |
| Alkhazna | 0.70 | 0.40 | 0.47 | 3.99 | 0.93 | −0.87 | −2.38 | 0.80 | 213 | 252.80 |
| Alqlaa | 0.86 | 0.57 | 0.43 | 2.01 | 0.68 | 0.57 | 9.35 | 0.62 | 213 | 89.40 |
| Alquaa | 0.67 | 0.52 | 0.34 | 0.80 | 0.25 | 0.14 | 0.40 | 0.76 | 213 | 50.90 |
| Alwathbah | 0.54 | 0.77 | 0.22 | 1.76 | 0.46 | −0.03 | 18.41 | 0.58 | 213 | 82.00 |
| Ajman | 0.67 | 0.53 | 0.40 | 4.63 | 1.48 | 1.18 | 9.89 | 0.62 | 213 | 90.10 |
| Bu Humrah | 0.74 | 0.41 | 0.52 | 2.67 | 0.59 | −0.44 | −2.61 | 0.74 | 213 | 127.60 |
| Burj Khalifah | 0.91 | 0.50 | 0.48 | 3.28 | 1.02 | 0.68 | 4.96 | 0.73 | 151 | 80.80 |
| Dalma | 0.90 | 0.60 | 0.37 | 4.56 | 1.39 | 1.30 | 15.99 | 0.54 | 212 | 106.40 |
| Damsa | 0.49 | 0.33 | 0.27 | 3.52 | 0.81 | −0.75 | −2.27 | 0.67 | 213 | 214.00 |
| DAS | 0.14 | 0.98 | 0.02 | 4.43 | 1.75 | 1.75 | 66.00 | 0.21 | 189 | 4.80 |
| Dibba Fujairah | 0.25 | 0.00 | 0.25 | 2.50 | 0.58 | −0.58 | −2.87 | 0.99 | 30 | 20.10 |
| Dhudna | 0.49 | 0.44 | 0.38 | 2.95 | 0.85 | 0.16 | −0.21 | 0.71 | 213 | 169.20 |
| Falaj Al Moalla | 0.76 | 0.33 | 0.53 | 3.34 | 1.01 | −0.50 | −0.57 | 0.76 | 213 | 260.20 |
| Fujairah Port | 0.81 | 0.32 | 0.52 | 2.13 | 0.66 | 0.31 | 2.04 | 0.79 | 182 | 113.40 |
| Gasyoura | 0.55 | 0.49 | 0.42 | 1.04 | 0.26 | 0.12 | 18.21 | 0.81 | 213 | 29.20 |
| Hamim | 0.76 | 0.31 | 0.47 | 0.77 | 0.22 | 0.07 | 1.84 | 0.45 | 213 | 23.00 |
| Hatta | 0.76 | 0.39 | 0.50 | 2.12 | 0.58 | −0.32 | −1.86 | 0.87 | 213 | 248.60 |
| Jabal Hafeet | 0.82 | 0.19 | 0.69 | 1.46 | 0.37 | −0.26 | −2.00 | 0.53 | 213 | 114.70 |
| Jabal Jais | 0.74 | 0.17 | 0.59 | 4.54 | 1.60 | −1.10 | −1.17 | 0.86 | 213 | 475.40 |
| Jabal Mebreh | 0.78 | 0.14 | 0.71 | 3.75 | 1.21 | −0.89 | 5.90 | 0.84 | 213 | 366.30 |
| Jabal Yanas | 0.86 | 0.22 | 0.67 | 2.37 | 0.72 | −0.13 | 0.01 | 0.84 | 182 | 208.00 |
| Jumeirah | 1.00 | 0.00 | 1.00 | 3.57 | 1.01 | −0.75 | −1.84 | 0.70 | 30 | 40.40 |
| Khatam Al Shaklah | 0.58 | 0.31 | 0.32 | 4.13 | 0.99 | −0.93 | −2.72 | 0.69 | 213 | 278.40 |
| Madinat Zayed | 0.71 | 0.60 | 0.34 | 2.66 | 0.63 | −0.52 | −1.81 | 0.76 | 213 | 143.80 |
| Makassib | 1.00 | 0.71 | 0.29 | 5.45 | 1.67 | 1.65 | 59.94 | 0.71 | 213 | 68.00 |
| Manama | 0.77 | 0.51 | 0.45 | 2.44 | 0.71 | 0.53 | 26.13 | 0.65 | 213 | 61.40 |
| Masafi | 0.74 | 0.41 | 0.53 | 2.75 | 0.83 | −0.32 | 0.20 | 0.86 | 213 | 212.20 |
| Mezaira | 0.79 | 0.42 | 0.47 | 1.04 | 0.23 | −0.05 | 1.79 | 0.75 | 213 | 34.40 |
| Mukhariz | 0.64 | 0.46 | 0.32 | 0.48 | 0.11 | −0.03 | 3.44 | 0.53 | 213 | 20.10 |
| Owtaid | 0.57 | 0.43 | 0.34 | 0.98 | 0.23 | −0.13 | −0.45 | 0.62 | 213 | 51.10 |
| Qarnen | 0.88 | 0.55 | 0.42 | 8.55 | 2.60 | 2.52 | 30.11 | 0.60 | 213 | 120.10 |
| Raknah | 0.72 | 0.19 | 0.62 | 2.20 | 0.49 | −0.34 | −1.61 | 0.83 | 213 | 161.20 |
| Ras Ganadah | 0.53 | 0.54 | 0.39 | 4.93 | 1.55 | 1.00 | 167.59 | 0.70 | 213 | 116.30 |
| Ras Musherib | 0.79 | 0.73 | 0.26 | 3.14 | 1.12 | 1.02 | 33.82 | 0.55 | 213 | 70.00 |
| Rezeen | 0.63 | 0.33 | 0.53 | 1.60 | 0.40 | −0.31 | −2.01 | 0.70 | 213 | 105.60 |
| Rowdah | 0.72 | 0.28 | 0.56 | 3.50 | 0.87 | −0.80 | −2.63 | 0.60 | 213 | 225.80 |
| Saih Al Salem | 0.73 | 0.69 | 0.29 | 3.15 | 0.86 | −0.09 | 30.10 | 0.68 | 213 | 172.60 |
| Shoukah | 0.76 | 0.46 | 0.40 | 2.57 | 0.67 | −0.08 | 0.00 | 0.84 | 213 | 156.80 |
| Sir Bani Yas | 0.76 | 0.57 | 0.41 | 4.38 | 1.57 | 1.45 | 10.82 | 0.67 | 213 | 111.80 |
| Sir Bu Nair | 0.79 | 0.59 | 0.39 | 7.02 | 2.20 | 2.07 | 10.81 | 0.73 | 213 | 142.20 |
| Swiehan | 0.55 | 0.54 | 0.36 | 5.54 | 1.19 | −1.15 | −2.75 | 0.65 | 213 | 323.40 |
| Um Azimul | 0.47 | 0.33 | 0.31 | 1.56 | 0.38 | −0.17 | 1.17 | 0.77 | 213 | 97.00 |
| Um Ghafa | 0.44 | 0.52 | 0.28 | 0.93 | 0.28 | 0.11 | 5.37 | 0.42 | 213 | 49.80 |
| Umm Al Quwain | 0.95 | 0.34 | 0.65 | 3.93 | 1.15 | 0.44 | 2.73 | 0.84 | 208 | 209.70 |
| Wadi shahah | 1.00 | 0.33 | 0.67 | 8.62 | 1.76 | −1.37 | −2.19 | 0.89 | 30 | 62.40 |
| Yasat | 0.67 | 0.75 | 0.24 | 2.88 | 1.09 | 0.91 | 17.70 | 0.50 | 213 | 120.20 |
| Al Faqa | 0.48 | 0.60 | 0.29 | 5.97 | 1.31 | −1.01 | −2.08 | 0.85 | 213 | 357.20 |
| Abu D. Intl Airport | 0.66 | 0.54 | 0.43 | 1.04 | 0.32 | 0.18 | 2.62 | 0.76 | 213 | 92.45 |
| Al Ain Int l Airport | 0.80 | 0.19 | 0.68 | 1.41 | 0.36 | −0.23 | −1.87 | 0.79 | 213 | 123.46 |
| Dubai Int l Airport | 0.66 | 0.15 | 0.52 | 3.53 | 1.03 | 0.75 | 14.78 | 0.89 | 213 | 124.01 |
| Fujairah Int l Airport | 0.58 | 0.32 | 0.40 | 1.91 | 0.58 | 0.39 | 3.45 | 0.71 | 213 | 110.16 |
| Ras Al K. Int l Airport | 0.83 | 0.21 | 0.63 | 2.52 | 0.75 | −0.18 | −0.08 | 0.86 | 213 | 221.15 |
| Sharjah Int l Airport | 0.72 | 0.30 | 0.51 | 3.62 | 1.10 | 0.09 | 6.13 | 0.73 | 213 | 196.46 |
Appendix B
| Stations | POD | FAR | CSI | RMSE | MAE | ME | RBIAS | CC | Number of Observations (n) | Total Precipitation |
| Abu Al Abyad | 0.83 | 0.83 | 0.17 | 5.38 | 2.00 | 0.88 | 3.53 | 0.65 | 213 | 269.60 |
| Abu Al Bukhoosh | 0.57 | 0.89 | 0.11 | 13.53 | 4.12 | 3.77 | 39.78 | 0.46 | 213 | 89.80 |
| Abu Dhabi | 0.88 | 0.20 | 0.72 | 1.75 | 0.63 | 0.34 | 1.39 | 0.90 | 213 | 102.80 |
| Al Ain | 0.87 | 0.15 | 0.79 | 0.62 | 0.23 | −0.03 | 1.76 | 0.92 | 213 | 144.00 |
| Al Aryam | 0.93 | 0.80 | 0.20 | 3.46 | 1.23 | 0.85 | 12.74 | 0.79 | 213 | 116.60 |
| Al Dhaid | 0.92 | 0.74 | 0.26 | 1.78 | 0.63 | 0.34 | 4.72 | 0.82 | 213 | 107.40 |
| AL Ejeili Tuwa | 0.88 | 0.76 | 0.24 | 8.40 | 2.74 | 2.46 | 34.66 | 0.57 | 213 | 129.60 |
| Al FarFar | 1.00 | 0.89 | 0.11 | 1.76 | 0.51 | −0.09 | −0.68 | 0.83 | 30 | 13.80 |
| Al Heben | 1.00 | 0.63 | 0.37 | 1.33 | 0.57 | 0.23 | 1.24 | 0.85 | 89 | 72.20 |
| Al Jazeera | 0.69 | 0.77 | 0.23 | 1.37 | 0.51 | 0.07 | 17.12 | 0.45 | 213 | 81.20 |
| Al Malaiha | 0.76 | 0.70 | 0.29 | 2.61 | 0.85 | −0.12 | 0.12 | 0.86 | 213 | 198.20 |
| Al Qatara | 0.57 | 0.80 | 0.20 | 1.94 | 0.61 | 0.15 | 5.03 | 0.52 | 213 | 94.20 |
| Al Qor | 0.97 | 0.70 | 0.30 | 1.87 | 0.59 | 0.14 | 7.39 | 0.70 | 182 | 96.30 |
| Al Shiweb | 0.86 | 0.73 | 0.27 | 9.32 | 2.08 | −1.44 | 17.51 | 0.72 | 213 | 476.00 |
| Al Tawiyen | 0.72 | 0.66 | 0.32 | 2.28 | 0.80 | 0.44 | 3.58 | 0.66 | 213 | 111.00 |
| Alarad | 0.71 | 0.72 | 0.28 | 2.31 | 0.57 | −0.23 | 44.09 | 0.74 | 213 | 155.80 |
| Alfoah | 0.86 | 0.70 | 0.30 | 3.97 | 1.11 | −0.65 | 5.66 | 0.67 | 213 | 275.40 |
| Algheweifat | 1.00 | 0.83 | 0.17 | 3.91 | 1.60 | 1.03 | 32.87 | 0.29 | 213 | 102.80 |
| Alkhazna | 0.81 | 0.78 | 0.21 | 3.52 | 1.01 | −0.47 | 0.79 | 0.78 | 213 | 252.80 |
| Alqlaa | 1.00 | 0.85 | 0.15 | 3.67 | 1.35 | 1.25 | 81.34 | 0.62 | 213 | 89.40 |
| Alquaa | 0.52 | 0.81 | 0.16 | 0.77 | 0.29 | 0.22 | 4.10 | 0.88 | 213 | 50.90 |
| Alwathbah | 0.57 | 0.88 | 0.11 | 2.66 | 0.85 | 0.42 | 52.39 | 0.58 | 213 | 82.00 |
| Ajman | 0.80 | 0.73 | 0.26 | 2.46 | 0.96 | 0.57 | 5.49 | 0.59 | 213 | 90.10 |
| Bu Humrah | 0.67 | 0.75 | 0.22 | 2.94 | 0.77 | −0.06 | −0.19 | 0.71 | 213 | 127.60 |
| Burj Khalifah | 1.00 | 0.74 | 0.26 | 2.70 | 1.01 | 0.71 | 6.41 | 0.75 | 151 | 80.80 |
| Dalma | 1.00 | 0.83 | 0.17 | 8.90 | 3.70 | 3.36 | 29.07 | 0.38 | 212 | 106.40 |
| Damsa | 0.81 | 0.76 | 0.23 | 2.99 | 0.82 | −0.37 | 6.17 | 0.74 | 213 | 214.00 |
| DAS | 0.14 | 0.99 | 0.01 | 7.04 | 2.64 | 2.64 | 83.98 | 0.02 | 189 | 4.80 |
| Dibba Fujairah | 1.00 | 0.69 | 0.31 | 1.92 | 0.60 | −0.18 | −0.88 | 0.84 | 30 | 20.10 |
| Dhudna | 0.61 | 0.75 | 0.24 | 2.93 | 0.92 | 0.16 | 0.59 | 0.60 | 213 | 169.20 |
| Falaj Al Moalla | 0.91 | 0.61 | 0.37 | 3.03 | 0.98 | −0.36 | −0.71 | 0.81 | 213 | 260.20 |
| Fujairah Port | 1.00 | 0.70 | 0.30 | 1.57 | 0.60 | 0.26 | 3.08 | 0.78 | 182 | 113.40 |
| Gasyoura | 0.57 | 0.70 | 0.30 | 1.14 | 0.33 | 0.26 | 16.19 | 0.90 | 213 | 29.20 |
| Hamim | 0.71 | 0.68 | 0.32 | 0.98 | 0.29 | 0.18 | 7.08 | 0.70 | 213 | 23.00 |
| Hatta | 1.00 | 0.69 | 0.31 | 3.28 | 0.88 | −0.40 | −0.68 | 0.74 | 213 | 248.60 |
| Jabal Hafeet | 0.68 | 0.73 | 0.27 | 1.67 | 0.49 | 0.02 | 0.43 | 0.67 | 213 | 114.70 |
| Jabal Jais | 0.91 | 0.73 | 0.26 | 4.97 | 1.80 | −1.08 | −0.91 | 0.80 | 213 | 475.40 |
| Jabal Mebreh | 0.99 | 0.67 | 0.33 | 4.34 | 1.53 | −0.72 | 14.18 | 0.78 | 213 | 366.30 |
| Jabal Yanas | 1.00 | 0.75 | 0.25 | 2.89 | 1.10 | 0.00 | 0.76 | 0.73 | 182 | 208.00 |
| Jumeirah | 1.00 | 0.63 | 0.38 | 3.72 | 1.00 | −0.92 | −2.27 | 0.88 | 30 | 40.40 |
| Khatam Al Shaklah | 0.86 | 0.69 | 0.31 | 3.94 | 1.06 | −0.70 | 0.78 | 0.86 | 213 | 278.40 |
| Madinat Zayed | 0.86 | 0.73 | 0.27 | 3.12 | 0.90 | −0.06 | 6.60 | 0.69 | 213 | 143.80 |
| Makassib | 1.00 | 0.85 | 0.15 | 9.04 | 3.29 | 3.15 | 109.51 | 0.51 | 213 | 68.00 |
| Manama | 0.82 | 0.71 | 0.26 | 2.39 | 0.76 | 0.56 | 11.96 | 0.66 | 213 | 61.40 |
| Masafi | 0.83 | 0.77 | 0.23 | 3.25 | 1.05 | −0.11 | −0.02 | 0.80 | 213 | 212.20 |
| Mezaira | 0.68 | 0.78 | 0.20 | 1.54 | 0.49 | 0.26 | 13.08 | 0.68 | 213 | 34.40 |
| Mukhariz | 0.79 | 0.77 | 0.23 | 0.97 | 0.27 | 0.23 | 22.68 | 0.57 | 213 | 20.10 |
| Owtaid | 0.83 | 0.71 | 0.29 | 2.02 | 0.62 | 0.40 | 18.77 | 0.69 | 213 | 51.10 |
| Qarnen | 0.96 | 0.77 | 0.22 | 13.31 | 4.18 | 3.93 | 37.54 | 0.55 | 213 | 120.10 |
| Raknah | 0.86 | 0.62 | 0.38 | 2.11 | 0.61 | −0.12 | 0.78 | 0.82 | 213 | 161.20 |
| Ras Ganadah | 0.78 | 0.82 | 0.18 | 4.07 | 1.19 | 0.59 | 180.59 | 0.73 | 213 | 116.30 |
| Ras Musherib | 0.97 | 0.83 | 0.17 | 8.20 | 3.08 | 2.89 | 70.55 | 0.32 | 213 | 70.00 |
| Rezeen | 0.81 | 0.71 | 0.27 | 1.53 | 0.45 | 0.02 | 5.71 | 0.75 | 213 | 105.60 |
| Rowdah | 0.86 | 0.69 | 0.31 | 2.79 | 0.79 | −0.44 | 1.14 | 0.68 | 213 | 225.80 |
| Saih Al Salem | 1.00 | 0.74 | 0.26 | 3.06 | 0.88 | 0.10 | 12.06 | 0.80 | 213 | 172.60 |
| Shoukah | 0.96 | 0.62 | 0.38 | 1.51 | 0.54 | 0.06 | −0.03 | 0.88 | 213 | 156.80 |
| Sir Bani Yas | 1.00 | 0.84 | 0.16 | 10.01 | 4.15 | 4.05 | 41.81 | 0.59 | 213 | 111.80 |
| Sir Bu Nair | 0.86 | 0.80 | 0.20 | 8.99 | 2.82 | 2.69 | 15.34 | 0.72 | 213 | 142.20 |
| Swiehan | 0.71 | 0.75 | 0.25 | 5.32 | 1.33 | −0.72 | −1.46 | 0.70 | 213 | 323.40 |
| Um Azimul | 0.71 | 0.63 | 0.37 | 1.40 | 0.41 | −0.09 | 1.56 | 0.88 | 213 | 97.00 |
| Um Ghafa | 0.71 | 0.69 | 0.31 | 1.54 | 0.46 | 0.36 | 90.92 | 0.55 | 213 | 49.80 |
| Umm Al Quwain | 1.00 | 0.80 | 0.20 | 2.78 | 0.96 | −0.09 | 0.87 | 0.80 | 208 | 209.70 |
| Wadi shahah | 1.00 | 0.88 | 0.12 | 9.68 | 1.93 | −1.60 | −2.57 | 0.94 | 30 | 62.40 |
| Yasat | 0.98 | 0.83 | 0.17 | 9.34 | 3.51 | 3.39 | 109.89 | 0.25 | 213 | 120.20 |
| Al Faqa | 0.69 | 0.72 | 0.28 | 6.16 | 1.49 | −0.86 | −1.37 | 0.76 | 213 | 357.20 |
| Abu D. Intl Airport | 0.81 | 0.71 | 0.28 | 1.95 | 0.72 | 0.53 | 7.97 | 0.80 | 213 | 92.45 |
| Al Ain Int l Airport | 0.82 | 0.68 | 0.31 | 1.05 | 0.35 | 0.04 | 2.07 | 0.83 | 213 | 123.46 |
| Dubai Int l Airport | 0.94 | 0.60 | 0.39 | 1.20 | 0.50 | 0.40 | 7.04 | 0.91 | 213 | 124.01 |
| Fujairah Int l Airport | 0.96 | 0.55 | 0.44 | 1.81 | 0.63 | 0.32 | 4.27 | 0.78 | 213 | 110.16 |
| Ras Al K. Int l Airport | 1.00 | 0.67 | 0.33 | 1.94 | 0.68 | −0.02 | 0.40 | 0.89 | 213 | 221.15 |
| Sharjah Int l Airport | 0.99 | 0.60 | 0.40 | 2.57 | 0.88 | 0.05 | 2.84 | 0.80 | 213 | 196.46 |
References
- Strangeways, I. Precipitation: Theory, Measurement and Distribution; Cambridge University Press: Cambridge, UK, 2006. [Google Scholar]
- Bartsotas, N.; Anagnostou, E.; Nikolopoulos, E.; Kallos, G. Investigating satellite precipitation uncertainty over complex terrain. J. Geophys. Res. Atmos. 2018, 123, 5346–5359. [Google Scholar] [CrossRef]
- Li, Z.; Yang, D.; Hong, Y. Multi-scale evaluation of high-resolution multi-sensor blended global precipitation products over the Yangtze River. J. Hydrol. 2013, 500, 157–169. [Google Scholar] [CrossRef]
- Raich, R.; Alpert, P.; Messer, H. Vertical precipitation estimation using microwave links in conjunction with weather radar. Environments 2018, 5, 74. [Google Scholar] [CrossRef]
- Furl, C.; Ghebreyesus, D.; Sharif, H. Assessment of the Performance of Satellite-Based Precipitation Products for Flood Events across Diverse Spatial Scales Using GSSHA Modeling System. Geosciences 2018, 8, 191. [Google Scholar] [CrossRef]
- Sharif, H.O.; Ogden, F.L.; Krajewski, W.F.; Xue, M. Statistical analysis of radar rainfall error propagation. J. Hydrometeorol. 2004, 5, 199–212. [Google Scholar] [CrossRef]
- Mahmoud, M.T.; Al-Zahrani, M.A.; Sharif, H.O. Assessment of global precipitation measurement satellite products over Saudi Arabia. J. Hydrol. 2018, 559, 1–12. [Google Scholar] [CrossRef]
- Deng, L.; McCabe, M.F.; Stenchikov, G.; Evans, J.P.; Kucera, P.A. Simulation of flash-flood-producing storm events in Saudi Arabia using the weather research and forecasting model. J. Hydrometeorol. 2015, 16, 615–630. [Google Scholar] [CrossRef]
- Gao, W.; Sui, C.H. A modeling analysis of rainfall and water cycle by the cloud-resolving WRF Model over the western North Pacific. Adv. Atmos. Sci. 2013, 30, 1695–1711. [Google Scholar] [CrossRef]
- Xie, B.; Zhang, F. Impacts of typhoon track and island topography on the heavy rainfalls in Taiwan associated with Morakot (2009). Mon. Weather Rev. 2012, 140, 3379–3394. [Google Scholar] [CrossRef]
- Sharif, H.O.; Al-Zahrani, M.; Hassan, A.E. Physically, Fully-Distributed Hydrologic Simulations Driven by GPM Satellite Rainfall over an Urbanizing Arid Catchment in Saudi Arabia. Water 2017, 9, 163. [Google Scholar] [CrossRef]
- Anquetin, S.; Yates, E.; Ducrocq, V.; Samouillan, S.; Chancibault, K.; Davolio, S.; Accadia, C.; Casaioli, M.; Mariani, S.; Ficca, G.; et al. The 8 and 9 September 2002 flash flood event in France: A model intercomparison. Nat. Hazards Earth Syst. Sci. 2005, 5, 741–754. [Google Scholar] [CrossRef]
- Germann, U.; Galli, G.; Boscacci, M.; Bolliger, M. Radar precipitation measurement in a mountainous region. Q. J. R. Meteorol. Soc. 2006, 132, 1669–1692. [Google Scholar] [CrossRef]
- Germann, U.; Zawadzki, I. Scale dependence of the predictability of precipitation from continental radar images. Part II: Probability forecasts. J. Appl. Meteorol. 2004, 43, 74–89. [Google Scholar] [CrossRef]
- Maddox, R.A.; Zhang, J.; Gourley, J.J.; Howard, K.W. Weather radar coverage over the contiguous United States. Weather Forecast. 2002, 17, 927–934. [Google Scholar] [CrossRef]
- Nicholson, S.E.; Some, B.; McCollum, J.; Nelkin, E.; Klotter, D.; Berte, Y.; Diallo, B.M.; Gaye, I.; Kpabeba, G.; Ndiaye, O.; et al. Validation of TRMM and other rainfall estimates with a high-density gauge dataset for West Africa. Part II: Validation of TRMM rainfall products. J. Appl. Meteorol. 2003, 42, 1355–1368. [Google Scholar] [CrossRef]
- McCollum, J.R.; Krajewski, W.F.; Ferraro, R.R.; Ba, M.B. Evaluation of biases of satellite rainfall estimation algorithms over the continental United States. J. Appl. Meteorol. 2002, 41, 1065–1080. [Google Scholar] [CrossRef]
- Ebert, E.E.; Janowiak, J.E.; Kidd, C. Comparison of near-real-time precipitation estimates from satellite observations and numerical models. Bull. Am. Meteorol. Soc. 2007, 88, 47–64. [Google Scholar] [CrossRef]
- Sapiano, M.; Arkin, P. An intercomparison and validation of high-resolution satellite precipitation estimates with 3-hourly gauge data. J. Hydrometeorol. 2009, 10, 149–166. [Google Scholar] [CrossRef]
- Hirpa, F.A.; Gebremichael, M.; Hopson, T. Evaluation of High-Resolution Satellite Precipitation Products over Very Complex Terrain in Ethiopia. J. Appl. Meteorol. Climatol. 2010, 49, 1044–1051. [Google Scholar] [CrossRef]
- Thiemig, V.; Rojas, R.; Zambrano-Bigiarini, M.; Levizzani, V.; de Roo, A. Validation of Satellite-Based Precipitation Products over Sparsely Gauged African River Basins. J. Hydrometeorol. 2012, 13, 1760–1783. [Google Scholar] [CrossRef]
- Mantas, V.M.; Liu, Z.; Caro, C.; Pereira, A.J.S.C. Validation of TRMM multi-satellite precipitation analysis (TMPA) products in the Peruvian Andes. Atmos. Res. 2015, 163, 132–145. [Google Scholar] [CrossRef]
- Wehbe, Y.; Ghebreyesus, D.; Temimi, M.; Milewski, A.; Al Mandous, A. Assessment of the consistency among global precipitation products over the United Arab Emirates. J. Hydrol. Reg. Stud. 2017, 12, 122–135. [Google Scholar] [CrossRef]
- Wehbe, Y.; Temimi, M.; Ghebreyesus, D.T.; Milewski, A.; Norouzi, H.; Ibrahim, E. Consistency of precipitation products over the Arabian Peninsula and interactions with soil moisture and water storage. Hydrol. Sci. J. 2018, 63, 408–425. [Google Scholar] [CrossRef]
- Michaelides, S.; Levizzani, V.; Anagnostou, E.; Bauer, P.; Kasparis, T.; Lane, J.E. Precipitation: Measurement, remote sensing, climatology and modeling. Atmos. Res. 2009, 94, 512–533. [Google Scholar] [CrossRef]
- Tang, G.; Ma, Y.; Long, D.; Zhong, L.; Hong, Y. Evaluation of GPM Day-1 IMERG and TMPA Version-7 legacy products over Mainland China at multiple spatiotemporal scales. J. Hydrol. 2016, 533, 152–167. [Google Scholar] [CrossRef]
- Tapiador, F.J.; Turk, F.J.; Petersen, W.; Hou, A.Y.; García-Ortega, E.; Machado, L.A.T.; Angelis, C.F.; Salio, P.; Kidd, C.; Huffman, G.J.; et al. Global precipitation measurement: Methods, datasets and applications. Atmos. Res. 2012, 104, 70–97. [Google Scholar] [CrossRef]
- Kubota, T.; Shige, S.; Hashizume, H.; Aonashi, K.; Takahashi, N.; Seto, S.; Hirose, M.; Takayabu, Y.N.; Ushio, T.; Nakagawa, K.; et al. Global precipitation map using satellite-borne microwave radiometers by the GSMaP project: Production and validation. IEEE Trans. Geosci. Remote Sens. 2007, 45, 2259–2275. [Google Scholar] [CrossRef]
- Joyce, R.J.; Janowiak, J.E.; Arkin, P.A.; Xie, P. CMORPH: A Method that Produces Global Precipitation Estimates from Passive Microwave and Infrared Data at High Spatial and Temporal Resolution. J. Hydrometeorol. 2004, 5, 487–503. [Google Scholar] [CrossRef]
- NASA. Global Precipitation Measurement (GPM) Mission Overview. Available online: https://pmm.nasa.gov/GPM (accessed on 6 June 2019).
- Huffman, G.J.; Bolvin, D.T.; Braithwaite, D.; Hsu, K.; Joyce, R.; Xie, P.; Yoo, S.H. NASA global precipitation measurement (GPM) integrated multi-satellite retrievals for GPM (IMERG). In Algorithm Theoretical Basis Document (ATBD), Version 4.5; 2015. Available online: https://gpm.nasa.gov/sites/default/files/document_files/IMERG_ATBD_V4.5.pdf (accessed on 8 December 2019).
- Barrett, E. Precipitation measurement by satellites: Towards community algorithms. Adv. Space Res. 1993, 13, 119–136. [Google Scholar] [CrossRef]
- Yilmaz, K.K.; Hogue, T.S.; Hsu, K.L.; Sorooshian, S.; Gupta, H.V.; Wagener, T. Intercomparison of rain gauge, radar, and satellite-based precipitation estimates with emphasis on hydrologic forecasting. J. Hydrometeorol. 2005, 6, 497–517. [Google Scholar] [CrossRef]
- Shen, Y.; Xiong, A.; Wang, Y.; Xie, P. Performance of high-resolution satellite precipitation products over China. J. Geophys. Res. Atmos. 2010, 115. [Google Scholar] [CrossRef]
- Vernimmen, R.; Hooijer, A.; Aldrian, E.; van Dijk, A. Evaluation and bias correction of satellite rainfall data for drought monitoring in Indonesia. Hydrol. Earth Syst. Sci. 2012, 16, 133. [Google Scholar] [CrossRef]
- Ghajarnia, N.; Liaghat, A.; Arasteh, P.D. Comparison and evaluation of high resolution precipitation estimation products in Urmia Basin-Iran. Atmos. Res. 2015, 158–159, 50–65. [Google Scholar] [CrossRef]
- Duan, Z.; Liu, J.; Tuo, Y.; Chiogna, G.; Disse, M. Evaluation of eight high spatial resolution gridded precipitation products in Adige Basin (Italy) at multiple temporal and spatial scales. Sci. Total Environ. 2016, 573, 1536–1553. [Google Scholar] [CrossRef] [PubMed]
- Tang, G.; Clark, M.P.; Papalexiou, S.M.; Ma, Z.; Hong, Y. Have satellite precipitation products improved over last two decades? A comprehensive comparison of GPM IMERG with nine satellite and reanalysis datasets. Remote Sens. Environ. 2020, 240, 111697. [Google Scholar] [CrossRef]
- Li, N.; Tang, G.; Zhao, P.; Hong, Y.; Gou, Y.; Yang, K. Statistical assessment and hydrological utility of the latest multi-satellite precipitation analysis IMERG in Ganjiang River basin. Atmos. Res. 2017, 183, 212–223. [Google Scholar] [CrossRef]
- Dezfuli, A.K.; Ichoku, C.M.; Huffman, G.J.; Mohr, K.I.; Selker, J.S.; van de Giesen, N.; Hochreutener, R.; Annor, F.O. Validation of IMERG precipitation in Africa. J. Hydrometeorol. 2017, 18, 2817–2825. [Google Scholar] [CrossRef]
- Tang, S.; Li, R.; He, J.; Wang, H.; Fan, X.; Yao, S. Comparative Evaluation of the GPM IMERG Early, Late, and Final Hourly Precipitation Products Using the CMPA Data over Sichuan Basin of China. Water 2020, 12, 554. [Google Scholar] [CrossRef]
- Anjum, M.N.; Ding, Y.; Shangguan, D.; Ahmad, I.; Ijaz, M.W.; Farid, H.U.; Yagoub, Y.E.; Zaman, M.; Adnan, M. Performance evaluation of latest integrated multi-satellite retrievals for Global Precipitation Measurement (IMERG) over the northern highlands of Pakistan. Atmos. Res. 2018, 205, 134–146. [Google Scholar] [CrossRef]
- Wang, X.; Ding, Y.; Zhao, C.; Wang, J. Similarities and improvements of GPM IMERG upon TRMM 3B42 precipitation product under complex topographic and climatic conditions over Hexi region, Northeastern Tibetan Plateau. Atmos. Res. 2019, 218, 347–363. [Google Scholar] [CrossRef]
- Asong, Z.; Razavi, S.; Wheater, H.; Wong, J. Evaluation of integrated multisatellite retrievals for GPM (IMERG) over southern Canada against ground precipitation observations: A preliminary assessment. J. Hydrometeorol. 2017, 18, 1033–1050. [Google Scholar] [CrossRef]
- Foelsche, U.; Kirchengast, G.; Fuchsberger, J.; Tan, J.; Petersen, W.A. Evaluation of GPM IMERG Early, Late, and Final rainfall estimates using WegenerNet gauge data in southeastern Austria. Hydrol. Earth Syst. Sci. 2017, 21, 6559–6572. [Google Scholar]
- Khodadoust Siuki, S.; Saghafian, B.; Moazami, S. Comprehensive evaluation of 3-hourly TRMM and half-hourly GPM-IMERG satellite precipitation products. Int. J. Remote Sens. 2017, 38, 558–571. [Google Scholar] [CrossRef]
- Wang, Z.; Zhong, R.; Lai, C.; Chen, J. Evaluation of the GPM IMERG satellite-based precipitation products and the hydrological utility. Atmos. Res. 2017, 196, 151–163. [Google Scholar] [CrossRef]
- Li, C.; Tang, G.; Hong, Y. Cross-evaluation of ground-based, multi-satellite and reanalysis precipitation products: Applicability of the Triple Collocation method across Mainland China. J. Hydrol. 2018, 562, 71–83. [Google Scholar] [CrossRef]
- Zhang, C.; Chen, X.; Shao, H.; Chen, S.; Liu, T.; Chen, C.; Ding, Q.; Du, H. Evaluation and intercomparison of high-resolution satellite precipitation estimates—GPM, TRMM, and CMORPH in the Tianshan Mountain Area. Remote Sens. 2018, 10, 1543. [Google Scholar] [CrossRef]
- Lee, J.; Lee, E.H.; Seol, K.H. Validation of Integrated MultisatellitE Retrievals for GPM (IMERG) by using gauge-based analysis products of daily precipitation over East Asia. Theor. Appl. Climatol. 2019, 137, 2497–2512. [Google Scholar] [CrossRef]
- Adeyewa, Z.D.; Nakamura, K. Validation of TRMM radar rainfall data over major climatic regions in Africa. J. Appl. Meteorol. 2003, 42, 331–347. [Google Scholar] [CrossRef]
- Dinku, T.; Ceccato, P.; Connor, S.J. Challenges of satellite rainfall estimation over mountainous and arid parts of east Africa. Int. J. Remote Sens. 2011, 32, 5965–5979. [Google Scholar] [CrossRef]
- Sultana, R.; Nasrollahi, N. Evaluation of remote sensing precipitation estimates over Saudi Arabia. J. Arid Environ. 2018, 151, 90–103. [Google Scholar] [CrossRef]
- Mahmoud, M.T.; Hamouda, M.A.; Mohamed, M.M. Spatiotemporal evaluation of the GPM satellite precipitation products over the United Arab Emirates. Atmos. Res. 2019, 219, 200–212. [Google Scholar] [CrossRef]
- Ouarda, T.B.; Charron, C.; Kumar, K.N.; Marpu, P.R.; Ghedira, H.; Molini, A.; Khayal, I. Evolution of the rainfall regime in the United Arab Emirates. J. Hydrol. 2014, 514, 258–270. [Google Scholar] [CrossRef]
- NCM. Climate Yearly Report 2003–2018. 2018. Available online: https://www.ncm.ae/climate-reports-yearly.html?id=26 (accessed on 5 June 2019).
- Frenken, K. Irrigation in the Middle East Region in Figures AQUASTAT Survey-2008; Water Reports 34; Food and Agriculture Organization (FAO): Rome, Italy, 2009. [Google Scholar]
- Tan, J.; Huffman, G.J.; Bolvin, D.T.; Nelkin, E.J. IMERG V06: Changes to the Morphing Algorithm. J. Atmos.Ocean. Technol. 2019, 36, 2471–2482. [Google Scholar] [CrossRef]
- Hou, A.Y.; Kakar, R.K.; Neeck, S.; Azarbarzin, A.A.; Kummerow, C.D.; Kojima, M.; Oki, R.; Nakamura, K.; Iguchi, T. The global precipitation measurement mission. Bull. Am. Meteorol. Soc. 2014, 95, 701–722. [Google Scholar] [CrossRef]
- Yong, B.; Ren, L.L.; Hong, Y.; Wang, J.H.; Gourley, J.J.; Jiang, S.H.; Chen, X.; Wang, W. Hydrologic evaluation of Multisatellite Precipitation Analysis standard precipitation products in basins beyond its inclined latitude band: A case study in Laohahe basin, China. Water Resour. Res. 2010, 46. [Google Scholar] [CrossRef]
- Huffman, G.J. Estimates of root-mean-square random error for finite samples of estimated precipitation. J. Appl. Meteorol. 1997, 36, 1191–1201. [Google Scholar] [CrossRef]
- Wilks, D.S. Statistical Methods in the Atmospheric Sciences; Academic Press: Cambridge, MA, USA, 2011; Volume 100. [Google Scholar]
- Chintalapudi, S.; Sharif, H.O.; Xie, H. Sensitivity of distributed hydrologic simulations to ground and satellite based rainfall products. Water 2014, 6, 1221–1245. [Google Scholar] [CrossRef]
- Kubota, T.; Ushio, T.; Shige, S.; Kida, S.; Kachi, M.; Okamoto, K.I. Verification of high-resolution satellite-based rainfall estimates around Japan using a gauge-calibrated ground-radar dataset. J. Meteorol. Soc. Jpn. Ser. II 2009, 87, 203–222. [Google Scholar] [CrossRef]












| Statistical Index | Units | Equation | Perfect Value |
|---|---|---|---|
| Relative mean error (RME) | Ratio | 0 | |
| Centralized root mean square error (CRMSE) | Ratio | 0 | |
| Probability of detection (POD) | Ratio | 1 | |
| False alarm rate (FAR) | Ratio | 0 | |
| Critical success index (CSI) | Ratio | 1 | |
| Pearson correlation coefficient (CC) | Ratio | 1 | |
| Mean absolute error (MAE) | mm | 0 | |
| Mean error (ME) | mm | 0 | |
| Root mean square error (RMSE) | mm | 0 | |
| Relative bias (RBIAS) | % | 0 |
| Group of Performance | Product | Variable | Quartile | Average | Number of Observations | ||||
|---|---|---|---|---|---|---|---|---|---|
| 0% | 25% | 50% | 75% | 100% | |||||
| Contingency | CMORPH | POD | 0.000 | 0.500 | 0.800 | 1.000 | 1.000 | 0.692 | 443 |
| FAR | 0.000 | 0.000 | 0.500 | 0.667 | 1.000 | 0.443 | 443 | ||
| CSI | 0.000 | 0.250 | 0.444 | 0.592 | 1.000 | 0.437 | 443 | ||
| IMERG-V06 | POD | 0.000 | 0.885 | 1.000 | 1.000 | 1.000 | 0.831 | 464 | |
| FAR | 0.000 | 0.641 | 0.778 | 0.875 | 1.000 | 0.723 | 464 | ||
| CSI | 0.000 | 0.125 | 0.222 | 0.357 | 1.000 | 0.270 | 464 | ||
| Error and Bias | CMORPH | RMSE (mm) | 0.000 | 0.507 | 1.884 | 4.235 | 42.334 | 3.106 | 464 |
| MAE (mm) | 0.000 | 0.121 | 0.490 | 1.297 | 8.432 | 0.883 | 457 | ||
| ME (mm) | −7.156 | −0.307 | 0.000 | 0.374 | 6.200 | 0.129 | 457 | ||
| RBIAS (%) | −3.412 | −2.227 | -0.250 | 5.732 | 887.054 | 8.836 | 405 | ||
| IMERG-V06 | RMSE (mm) | 0.002 | 0.824 | 2.055 | 4.339 | 47.689 | 3.759 | 457 | |
| MAE (mm) | 0.000 | 0.227 | 0.652 | 1.415 | 15.597 | 1.214 | 457 | ||
| ME (mm) | −7.900 | −0.068 | 0.121 | 0.634 | 15.05 | 0.498 | 457 | ||
| RBIAS (%) | −3.004 | −0.610 | 2.116 | 11.805 | 986.830 | 19.131 | 406 | ||
| Correlation | CMORPH | CC | −0.091 | 0.505 | 0.858 | 0.982 | 1.000 | 0.712 | 395 |
| IMERG-V06 | CC | −0.117 | 0.497 | 0.835 | 0.961 | 1.000 | 0.700 | 406 | |
| Event | Number of Rainy Records | Mean | Standard Error | Median | Standard Deviation | Range | Interquartile Range | Maximum | Skewness | Kurtosis |
|---|---|---|---|---|---|---|---|---|---|---|
| Jan-2015 | 100 | 9.38 | 1.13 | 4.30 | 11.29 | 47.39 | 10.65 | 47.40 | 1.66 | 2.06 |
| Dec-2015 | 53 | 3.34 | 0.95 | 2.00 | 6.89 | 49.80 | 3.20 | 49.80 | 6.14 | 41.56 |
| Jan-2016 | 140 | 4.18 | 0.52 | 1.90 | 6.09 | 39.59 | 4.25 | 39.60 | 3.08 | 12.03 |
| Mar-2016 | 324 | 9.87 | 1.35 | 1.90 | 24.24 | 287.59 | 6.85 | 287.60 | 6.44 | 59.92 |
| Feb-2017 | 336 | 3.93 | 0.33 | 1.40 | 6.09 | 33.99 | 4.20 | 34.00 | 2.56 | 6.95 |
| Mar-2017 | 312 | 10.03 | 0.75 | 4.80 | 13.33 | 84.19 | 13.30 | 84.20 | 2.17 | 5.54 |
| Nov-2018 | 88 | 9.04 | 1.39 | 3.70 | 13.04 | 60.59 | 11.65 | 60.60 | 2.21 | 4.73 |
© 2020 by the authors. Licensee MDPI, Basel, Switzerland. This article is an open access article distributed under the terms and conditions of the Creative Commons Attribution (CC BY) license (http://creativecommons.org/licenses/by/4.0/).
Share and Cite
Alsumaiti, T.S.; Hussein, K.; Ghebreyesus, D.T.; Sharif, H.O. Performance of the CMORPH and GPM IMERG Products over the United Arab Emirates. Remote Sens. 2020, 12, 1426. https://doi.org/10.3390/rs12091426
Alsumaiti TS, Hussein K, Ghebreyesus DT, Sharif HO. Performance of the CMORPH and GPM IMERG Products over the United Arab Emirates. Remote Sensing. 2020; 12(9):1426. https://doi.org/10.3390/rs12091426
Chicago/Turabian StyleAlsumaiti, Tareefa S., Khalid Hussein, Dawit T. Ghebreyesus, and Hatim O. Sharif. 2020. "Performance of the CMORPH and GPM IMERG Products over the United Arab Emirates" Remote Sensing 12, no. 9: 1426. https://doi.org/10.3390/rs12091426
APA StyleAlsumaiti, T. S., Hussein, K., Ghebreyesus, D. T., & Sharif, H. O. (2020). Performance of the CMORPH and GPM IMERG Products over the United Arab Emirates. Remote Sensing, 12(9), 1426. https://doi.org/10.3390/rs12091426

