Spatiotemporal Estimation of Bamboo Forest Aboveground Carbon Storage Based on Landsat Data in Zhejiang, China
Abstract
1. Introduction
2. Materials and Methods
2.1. Study Area
2.2. Dataset and Landsat TM Image Preprocessing
2.3. Mapping of Bamboo
2.4. AGC Estimation
2.5. Construction of Estimation Model for Carbon Storage of Bamboo Forest
2.5.1. Setting of Remote Sensing Variables
2.5.2. Method of Model Construction
2.5.3. Model Evaluation
3. Results
3.1. Spatiotemporal Distribution of Bamboo
3.2. AGC Model of Bamboo
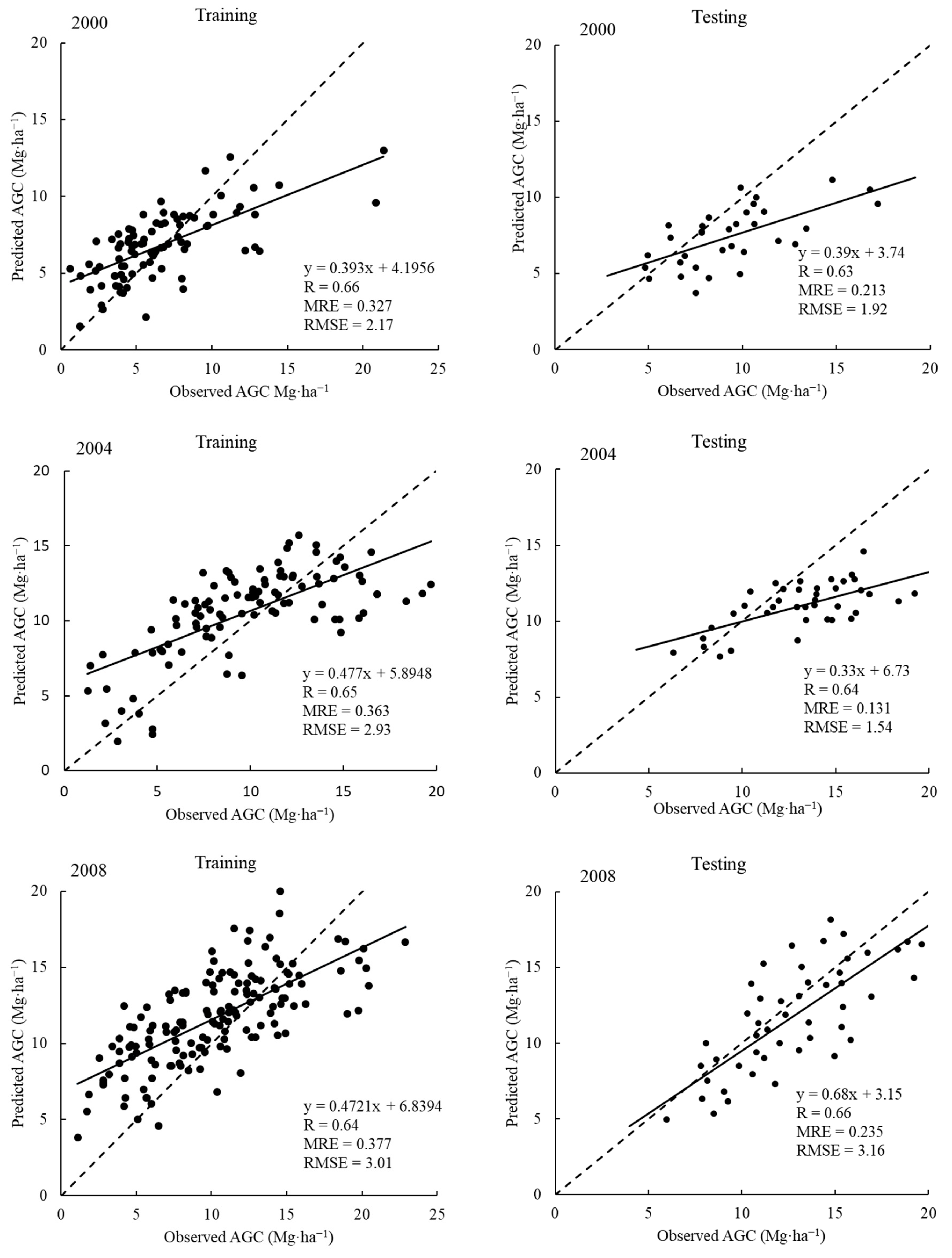
3.3. Accuracy Assessment of AGC Model
3.4. AGC Spatiotemporal Evolution of Bamboo Forest
4. Discussion
5. Conclusions
- (1)
- The spatiotemporal distribution of bamboo forests in Zhejiang Province at different periods had a higher accuracy of information extraction, of which the classification accuracy reached above 76.36%, the user’s accuracy was above 91.62% and the area accuracy was above 96.50%.
- (2)
- Bamboo forest AGC spatiotemporal estimation model built by the stepwise regression method in Zhejiang Province has good performance and robustness. RMSE and prediction error are small. The estimated carbon storage results have a good consistency with the previous research.
- (3)
- Bamboo forest AGC storage shows gradually increased tend in Zhejiang province from 2000 to 2014, and the average carbon stock density at different years was 6.75 Mg·ha−1, 10.95 Mg·ha−1, 15.25 Mg·ha−1 and 19.07 Mg·ha−1, and an average annual growth was 0.88 Mg·ha−1. Spatiotemporal evolution of bamboo forest carbon stocks has close relationships with the expansion of bamboo forest area and the differences in management level in various regions of Zhejiang province.
Author Contributions
Acknowledgments
Conflicts of Interest
References
- Thokchom, A. Comparing aboveground carbon sequestration between bamboo forest and dipterocarpus forests of manipur, north east india. Int. J. Ecol. Environ. Sci. 2015, 22, 651. [Google Scholar]
- Inoue, A.; Sakamoto, S.; Suga, H.; Kitazato, H.; Sakuta, K. Construction of one-way volume table for the three major useful bamboos in japan. J. For. Res. 2013, 18, 323–334. [Google Scholar] [CrossRef]
- Scurlock, J.M.O.; Dayton, D.C.; Hames, B. Bamboo: An overlooked biomass resource? Biomass Bioenergy 2000, 19, 229–244. [Google Scholar] [CrossRef]
- Shanmughavel, P.; Peddappaiah, R.S.; Muthukumar, T. Biomass production in an age series of bambusa bambos plantations. Biomass Bioenergy 2001, 20, 113–117. [Google Scholar] [CrossRef]
- Tianming, Y.; Ji, Y.J.; Jooushian, L. Estimating biomass production and carbon storage for a fast-growing makino bamboo (Phyllostachys makinoi) plant based on the diameter distribution model. For. Ecol. Manag. 2010, 260, 339–344. [Google Scholar]
- Yang, Y.; Wang, K.; Pei, S.; Hao, J. Bamboo diversity and traditional uses in Yunnan, China. Mt. Res. Dev. 2004, 24, 157–165. [Google Scholar]
- Yen, T.M.; Lee, J.S. Comparing aboveground carbon sequestration between moso bamboo (Phyllostachys heterocycla) and China fir (Cunninghamia lanceolata) forests based on the allometric model. For. Ecol. Manag. 2011, 261, 995–1002. [Google Scholar] [CrossRef]
- Zhou, G.; Jiang, P.; Du, H.; Shi, Y. Technology for the Measurement and Enhancement Carbon Sinks in Bamboo Forest Ecosystems; Science Press: Beijing, China, 2017; pp. 1–6. [Google Scholar]
- Zhou, G.; Jiang, P. Density, storage and spatial distribution of carbon in phyllostachy pubescens forest. Sci. Silvae Sin. 2004, 40, 20–24. [Google Scholar]
- Düking, R.; Gielis, J.; Liese, W. Carbon flux and carbon stock in a bamboo stand and their relevance for mitigating climate change. Bamboo Sci. Cult. 2011, 24, 1–16. [Google Scholar]
- Henley, G.; Lou, Y. The Climate Change Challenge and Bamboo: MITIGATION and Adaptation; International Network for Bamboo and Rattan: Beijing, China, 2009; pp. 1–5. [Google Scholar]
- Janssen, J.; Lou, Y. Capturing carbon with bamboo. In INBAR Environment Factsheet; INBAR: Shenzhen, China, 2010. [Google Scholar]
- Lobovikov, M.; Lou, Y.P.; Schoene, D.; Widenoja, R. The poor man’s carbon sink: Bamboo in climate change and poverty alleviation. In Non-Wood Forest Products; Working Document; FAO: Rome, Italy, 2009. [Google Scholar]
- Lou, Y.; Henley, G.; Li, Y. Capturing carbon with bamboo: fast and effective in managed stands. In INBAR Environment Factsheet; INBAR: Shenzhen, China, 2009. [Google Scholar]
- INBAR. Bamboo and Mitigating Climate Change: A Comparative Study of Carbon Fixation. In Proceedings of the 2010 United Nations Climate Change Conference, Cancun, Mexico, 10 December 2010. [Google Scholar]
- Widenoja, R. Sub-Optimal Equilibriums in the Carbon Forestry Game: Why Bamboo should Win but Will Not; The Fletcher School of Law and Diplomacy: Medford, MA, USA, 2007. [Google Scholar]
- Chen, X.; Zhang, Y.; Zhang, X.; Ying, G. Carbon stock changes in bamboo stands in China over the last 50 years. Acta Ecol. Sin. 2008, 28, 5218–5227. [Google Scholar]
- Chen, X.; Zhang, X.; Zhang, Y.; Trevor, B.; He, X. Changes of carbon stocks in bamboo stands in China during 100 years. For. Ecol. Manag. 2009, 258, 1489–1496. [Google Scholar] [CrossRef]
- Dong, D. Remote Sensing-Based Monitor Phyllostachys Praecox Forest and Its Dynamic of Carbon Stocks. Master’s Thesis, Zhejiang A&F Univetsity, Zhejiang, China, 2011. [Google Scholar]
- Feng, S.; Li, X.; Huang, C.; Lai, Y.; Zhang, B.; Yin, C. Biomass and carbon stock of dendrocalamus latiflorus munro established on the land converted from farmland at Hongya county, Sichuan province. J. Siehuan Agric. Univ. 2010, 28, 296–301. [Google Scholar]
- Gao, G. Object-Based Estimation Method of Multi-Scale Bamboo Forest Carbon Storage Using Remote Sensing Imagery with High Spatial Resolution. Master’s Thesis, Zhejiang A&F Univetsity, Zhejiang, China, 2016. [Google Scholar]
- Shang, Z.-Z. Moso Bamboo Forest Extraction Andagc Estimation Based on Multi—Source Remote Sensor Images. Master’s Thesis, Zhejiang A&F Univetsity, Zhejiang, China, 2012. [Google Scholar]
- Wang, B.; Wei, W.; Xing, Z.; Li, S.; Bai, X. Carbon storage of bamboo forest ecosystem in China. Ecol. Environ. 2008, 17, 1680–1684. [Google Scholar]
- Wang, B.; Wei, W.J.; Liu, C.J.; You, W.Z.; Niu, X.; Man, R.Z. Biomass and carbon stock in moso bamboo forests in subtropical China: Characteristics and implications. J. Trop. For. Sci. 2013, 25, 137–148. [Google Scholar]
- Ying, W.; Jin, J.; Jiang, H.; Zhang, X.; Lu, X.; Chen, X.; Zhang, J. Satellite-based detection of bamboo expansion over the past 30 years in mount Tianmushan, China. Int. J. Remote Sens. 2016, 37, 2908–2922. [Google Scholar] [CrossRef]
- Zhou, G.; Xu, X.; Du, H.; Ge, H.; Shi, Y.; Zhou, Y. Estimating aboveground carbon of moso bamboo forests using the k nearest neighbors technique and satellite imagery. Photogramm. Eng. Remote Sens. 2011, 77, 1123–1131. [Google Scholar] [CrossRef]
- Latifi, H.; Fassnacht, F.E.; Hartig, F.; Berger, C.; Hernández, J.; Corvalán, P.; Koch, B. Stratified aboveground forest biomass estimation by remote sensing data. Int. J. Appl. Earth Obs. Geoinform. 2015, 38, 229–241. [Google Scholar] [CrossRef]
- Timothy, D.; Onisimo, M.; Cletah, S.; Adelabu, S.; Tsitsi, B. Remote sensing of aboveground forest biomass: A review. Trop. Ecol. 2016, 57, 125–132. [Google Scholar]
- Chen, Q.; Mcroberts, R.E.; Wang, C.; Radtke, P.J. Forest aboveground biomass mapping and estimation across multiple spatial scales using model-based inference. Remote Sens. Environ. 2016, 184, 350–360. [Google Scholar] [CrossRef]
- Duan, Z.; Dan, Z.; Yuan, Z.; Zhao, Y.; Bingfang, W.U.; Zhu, J. Estimation of the forest aboveground biomass at regional scale based on remote sensing. Geomatics Inf. Sci. Wuhan Univ. 2015, 10. [Google Scholar] [CrossRef]
- Fayad, I.; Baghdadi, N.; Guitet, S.; Bailly, J.S.; Hérault, B.; Gond, V.; Hajj, M.E.; Minh, D.H.T. Aboveground biomass mapping in french guiana by combining remote sensing, forest inventories and environmental data. Int. J. Appl. Earth Obs. Geoinform. 2016, 52, 502–514. [Google Scholar] [CrossRef]
- Su, Y.; Guo, Q.; Xue, B.; Hu, T.; Alvarez, O.; Tao, S.; Fang, J. Spatial distribution of forest aboveground biomass in China: Estimation through combination of spaceborne lidar, optical imagery, and forest inventory data. Remote Sens. Environ. 2016, 173, 187–199. [Google Scholar] [CrossRef]
- Ningthoujam, R.; Balzter, H.; Tansey, K.; Feldpausch, T.; Mitchard, E.; Wani, A.; Joshi, P. Relationships of s-band radar backscatter and forest aboveground biomass in different forest types. Remote Sens. 2017, 9, 1116. [Google Scholar] [CrossRef]
- Sheridan, R.; Popescu, S.; Gatziolis, D.; Morgan, C.; Ku, N.W. Modeling forest aboveground biomass and volume using airborne lidar metrics and forest inventory and analysis data in the pacific northwest. Remote Sens. 2014, 7, 229–255. [Google Scholar] [CrossRef]
- Hu, T.; Su, Y.; Xue, B.; Liu, J.; Zhao, X.; Fang, J.; Guo, Q. Mapping global forest aboveground biomass with spaceborne lidar, optical imagery, and forest inventory data. Remote Sens. 2016, 8, 565. [Google Scholar] [CrossRef]
- Pargal, S.; Fararoda, R.; Rajashekar, G.; Balachandran, N.; Réjou-Méchain, M.; Barbier, N.; Jha, C.S.; Pélissier, R.; Dadhwal, V.K.; Couteron, P. Inverting aboveground biomass—Canopy texture relationships in a landscape of forest mosaic in the western ghats of India using very high resolution cartosat imagery. Remote Sens. 2017, 9, 228. [Google Scholar] [CrossRef]
- Eckert, S. Improved forest biomass and carbon estimations using texture measures from worldview-2 satellite data. Remote Sens. 2012, 4, 810–829. [Google Scholar] [CrossRef]
- Sarker, M.L.R.; Nichol, J.; Iz, H.B.; Ahmad, B.B.; Rahman, A.A. Forest biomass estimation using texture measurements of high-resolution dual-polarization c-band sar data. IEEE Trans. Geosci. Remote Sens. 2013, 51, 3371–3384. [Google Scholar] [CrossRef]
- Zhang, L.; Shao, Z.; Wang, Z. Estimation forest aboveground biomass using the integration spectral and textural features from gf-1 satellite image. In Proceedings of the International Workshop on Earth Observation and Remote Sensing Applications, Guangzhou, China, 4–6 July 2016; pp. 353–357. [Google Scholar]
- Mangla, R.; Kumar, S.; Nandy, S. Random forest regression modelling for forest aboveground biomass estimation using risat-1 polsar and terrestrial lidar data. In Lidar Remote Sensing for Environmental Monitoring XV; SPIE: Bellingham, WA, USA, 2016; p. 98790. [Google Scholar]
- Vafaei, S.; Soosani, J.; Adeli, K.; Fadaei, H.; Naghavi, H.; Pham, T.; Bui, D.T. Improving accuracy estimation of forest aboveground biomass based on incorporation of alos-2 palsar-2 and sentinel-2a imagery and machine learning: A case study of the hyrcanian forest area (Iran). Remote Sens. 2018, 10, 172. [Google Scholar] [CrossRef]
- Nichol, J.E.; Sarker, M.L.R. Improved biomass estimation using the texture parameters of two high-resolution optical sensors. IEEE Trans. Geosci. Remote Sens. 2011, 49, 930–948. [Google Scholar] [CrossRef]
- Qiu, S.; Xing, Y.; Weihua, X.U.; Ding, J.; Tian, J. Estimation of regional forest aboveground biomass combining spaceborne large footprint li dar and hj-1a hyperspectral images. Acta Ecol. Sin. 2016, 36. [Google Scholar] [CrossRef]
- Xing, Y.; Qiu, S.; Ding, J.; Tian, J. Estimation of regional forest aboveground biomass combining icesat-glas waveforms and hj-1a/hsi hyperspectral imageries. Int. Arch. Photogramm. Remote Sens. Spat. Inf. Sci. 2016, XLI-B7, 731–737. [Google Scholar]
- Urbazaev, M.; Thiel, C.; Cremer, F.; Dubayah, R.; Migliavacca, M.; Reichstein, M.; Schmullius, C. Estimation of forest aboveground biomass and uncertainties by integration of field measurements, airborne lidar, and sar and optical satellite data in mexico. Carbon Balance Manag. 2018, 13, 5. [Google Scholar] [CrossRef] [PubMed]
- Dube, T.; Mutanga, O. Investigating the robustness of the new landsat-8 operational land imager derived texture metrics in estimating plantation forest aboveground biomass in resource constrained areas. ISPRS J. Photogramm. Remote Sens. 2015, 108, 12–32. [Google Scholar] [CrossRef]
- Shang, Z.; Zhou, G.; Du, H.; Xu, X.; Shi, Y.; Zhou, Y.; Gu, C. Moso bamboo forest extraction and aboveground carbon storage estimation based on multi-source remotely sensed images. Int. J. Remote Sens. 2013, 34, 5351–5368. [Google Scholar] [CrossRef]
- Tang, J.; Li, X.; Lai, Y.; Feng, S.; Wang, P.; Huang, C. Spatial and temporal patterns of bamboo carbon storage in forest land converted from farmland in Hongya, Sichuan. Sci. Silvae Sin. 2011, 47, 1–7. [Google Scholar]
- Du, H.; Zhou, G.; Ge, H.; Fan, W.; Xu, X.; Fan, W.; Shi, Y. Satellite-based carbon stock estimation for bamboo forest with a non-linear partial least square regression technique. Int. J. Remote Sens. 2012, 33, 1917–1933. [Google Scholar] [CrossRef]
- Xu, X.; Zhou, G.; Du, H.; Partida, A. Bamboo forest change and its effect on biomass carbon stocks: A case study of Anji County, Zhejiang Province, China. J. Trop. For. Sci. 2012, 24, 426–435. [Google Scholar]
- Han, N.; Du, H.; Zhou, G.; Xu, X.; Cui, R.; Gu, C. Spatiotemporal heterogeneity of moso bamboo aboveground carbon storage with landsat thematic mapper images: A case study from Anji County, China. Int. J. Remote Sens. 2013, 34, 4917–4932. [Google Scholar] [CrossRef]
- Xu, X.; Du, H.; Zhou, G.; Ge, H.; Shi, Y.; Zhou, Y.; Fan, W.; Fan, W. Estimation of aboveground carbon stock ofmosobamboo (Phyllostachys heterocyclavar. Pubescens) forest with a landsat thematic mapper image. Int. J. Remote Sens. 2011, 32, 1431–1448. [Google Scholar] [CrossRef]
- Anaya, J.A.; Chuvieco, E.; Palacios-Orueta, A. Aboveground biomass assessment in colombia: A remote sensing approach. For. Ecol. Manag. 2009, 257, 1237–1246. [Google Scholar] [CrossRef]
- Xu, X.; Zhou, G.; Du, H.; Dong, D.; Cui, R.; Zhou, Y.; Shen, Z. Estimation of aboveground biomass of Phyllostachys praecox forest based on landsat thematic mapper image. Sci. Silvae Sin. 2011, 47, 1–6. [Google Scholar]
- Gao, Y.; Lu, D.; Li, G.; Wang, G.; Chen, Q.; Liu, L.; Li, D. Comparative analysis of modeling algorithms for forest aboveground biomass estimation in a subtropical region. Remote Sens. 2018, 10, 627. [Google Scholar] [CrossRef]
- Department of Forestry of Zhejiang Province. Announcement of Value of Forest Resources and Ecologicalfunctions of Zhejiang Province in 2014; Department of Forestry of Zhejiang Province: Zhejiang, China, 2015.
- Mao, F.; Li, X.; Du, H.; Zhou, G.; Han, N.; Xu, X.; Liu, Y.; Chen, L.; Cui, L. Comparison of two data assimilation methods for improving modis lai time series for bamboo forests. Remote Sens. 2017, 9, 401. [Google Scholar] [CrossRef]
- Cui, K. Monitoring of Crop Phenology with Remote Sensing and Dynamic Change Analysis. Master’s Thesis, Central South University, Changsha, China, 2012. [Google Scholar]
- Los, S.O.; Justice, C.O.; Tucker, C.J. A Global 1° by 1° ndvi data set for climate studies derived from the gimms continental ndvi data. Int. J. Remote Sens. 1994, 15, 3493–3518. [Google Scholar] [CrossRef]
- Wu, L.; Luo, X.; Zhang, Y.; Zhang, B.; Feng, Z. Geometric precision correction of medium-low resolution images. J. Beijing For. Univ. 2008, 30, 78–82. [Google Scholar]
- Shi, Y. Research on Technologies of Forest Classification by Remote Sensing—A Case Study of Northwest Mountainous Area in Zhejiang. Master’s Thesis, Zhejiang University, Zhejiang, China, 2003. [Google Scholar]
- Zhou, G. Carbon Storage, Fixation and Distribution in Mao Bamboo (Phyllostachys pubescens) Stands Ecosystem. Ph.D. Thesis, Zhejiang University, Zhejiang, China, 2006. [Google Scholar]
- Calvão, T.; Palmeirim, J.M. Mapping mediterranean scrub with satellite imagery: Biomass estimation and spectral behaviour. Int. J. Remote Sens. 2004, 25, 3113–3126. [Google Scholar] [CrossRef]
- Du, H.; Zhou, G.; Xu, X. Quantitative Methods Using Remote Sensing in Estimating Biomass and Carbon Storage Bamboo Forest; Science Press: Beijing, China, 2012; pp. 65–66. [Google Scholar]
- Jong, S.M.D.; Pebesma, E.J.; Lacaze, B. Above-ground biomass assessment of mediterranean forests using airborne imaging spectrometry: The dais peyne experiment. Int. J. Remote Sens. 2003, 24, 1505–1520. [Google Scholar] [CrossRef]
- Lu, D.; Batistella, M. Exploring tm image texture and its relationships with biomass estimation in rond? Nia, Brazilian Amazon. Acta Amaz. 2005, 35, 249–257. [Google Scholar] [CrossRef]
- Liu, K.; Wang, J.; Zeng, W.; Song, J. Comparison and evaluation of three methods for estimating forest above ground biomass using tm and glas data. Remote Sens. 2017, 9, 341. [Google Scholar] [CrossRef]
- Zhu, J.; Huang, Z.; Sun, H.; Wang, G. Remote sensing mapping forest ecosystem biomass density for xiangjiang river basin by combining plot and remote sensing data and comparing spatial extrapolation methods. Remote Sens. 2017, 9, 241. [Google Scholar] [CrossRef]
- Lu, D.; Chen, Q.; Wang, G.; Liu, L.; Li, G.; Moran, E. A survey of remote sensing-based aboveground biomass estimation methods in forest ecosystems. Int. J. Digit. Earth 2016, 9, 63–105. [Google Scholar] [CrossRef]
- Mao, F.; Li, P.; Zhou, G.; Du, H.; Xu, X.; Shi, Y.; Mo, L.; Zhou, Y.; Tu, G. Development of the biome-bgc model for the simulation of managed moso bamboo forest ecosystems. J. Environ. Manag. 2016, 172, 29–39. [Google Scholar] [CrossRef] [PubMed]
- Mao, F.; Zhou, G.; Li, P.; Du, H.; Xu, X.; Shi, Y.; Mo, L.; Zhou, Y.; Tu, G. Optimizing selective cutting strategies for maximum carbon stocks and yield of moso bamboo forest using biome-bgc model. J. Environ. Manag. 2017, 191, 126. [Google Scholar] [CrossRef] [PubMed]
- Mao, F. Model Development and Application to Simulate the Temporospatial Carbon Cycle of Moso Bamboo Forest Ecosystem. Ph.D. Thesis, Zhejiang A&F University, Zhejiang, China, 2016. [Google Scholar]
- Ma, A. Remote Sensing Information Model; The Peking University Publishing House: Beijing, China, 1997; pp. 266–271. [Google Scholar]
- Liu, E.; Shi, Y.; Li, Y.; Zhou, G. Carbon sequestration potential of moso bamboo forest in zhejiang province based on the non-spatial structure. Sci. Silvae Sin. 2012, 48, 9–14. [Google Scholar]
- Meng, H.; Liu, Q.; Wu, W. Study on the cost-benefit and carbon sequestration capacities of phyllostachys edulis plantation under different types of management. J. Zhejiang A F Univ. 2014, 31, 959–964. [Google Scholar]
- Wang, K.; Yang, J.; Shen, J.; Gu, Z.; Chen, B.; Chen, X.; Yu, Y. Innovation and practices of moso forest management technique in Huzhou city, Zhejiang. World Bamboo Rattan 2016, 14, 25–30. [Google Scholar]
- Zhu, W.; Wang, B.; Shen, Q.; Xhu, Z.; Wu, J.; Ji, W.; Yu, T.; Zhang, X. Practice and benefit of different management types in moso bamboo forest. Pract. For. Technol. 2015, 21–25. [Google Scholar] [CrossRef]
- Du, H.; Cui, R.; Zhou, G.; Shi, Y.; Xu, X.; Fan, W.; Lü, Y. The responses of moso bamboo (Phyllostachys heterocycla var. Pubescens) forest aboveground biomass to landsat tm spectral reflectance and ndvi. Acta Ecol. Sin. 2010, 30, 257–263. [Google Scholar] [CrossRef]
- Zhu, X.; Liu, D. Improving forest aboveground biomass estimation using seasonal landsat ndvi time-series. Isprs J. Photogramm. Remote Sens. 2015, 102, 222–231. [Google Scholar] [CrossRef]
- Li, W.; Chen, E.; Li, Z.; Zhang, W.; Jiang, C. Assessing performance of tomo-sar and backscattering coefficient for hemi-boreal forest aboveground biomass estimation. J. Indian Soc. Remote Sens. 2016, 44, 41–48. [Google Scholar] [CrossRef]
- Zhao, P.; Lu, D.; Wang, G.; Liu, L.; Li, D.; Zhu, J.; Yu, S. Forest aboveground biomass estimation in Zhejiang province using the integration of landsat tm and alos palsar data. Int. J. Appl. Earth Obs. Geoinform. 2016, 53, 1–15. [Google Scholar] [CrossRef]
- López-Serrano, P.; Corral-Rivas, J.; Díaz-Varela, R.; Álvarez-González, J.; López-Sánchez, C. Evaluation of radiometric and atmospheric correction algorithms for aboveground forest biomass estimation using landsat 5 tm data. Remote Sens. 2016, 8, 369. [Google Scholar] [CrossRef]













| Time Series | 2000 | 2004 | 2008 | 2014 | |
|---|---|---|---|---|---|
| Row-Column Number | Landsat5 TM | Landsat5 TM | Landsat5 TM | Landsat8 OLI | |
| 118,039 | 16/01/2001 | 10/12/2004 | 24/03/2008 | 13/06/2014 | |
| 118,040 | 16/01/2001 | 10/2/2004 | 24/03/2008 | 13/06/2014 | |
| 118,041 | 29/12/1999 | 10/2/2004 | 24/03/2008 | 13/06/2014 | |
| 119,039 | 17/09/2000 | 14/10/2004 | 05/07/2008 | 22/07/2014 | |
| 119,040 | 04/11/2000 | 14/10/2004 | 06/06/2009 | 22/07/2014 | |
| 119,041 | 29/06/2000 | 31/12/2003 | 28/02/2008 | 22/07/2014 | |
| 120,039 | 10/10/2000 | 21/10/2004 | 16/10/2008 | 11/06/2014 | |
| 120,040 | 10/10/2000 | 10/12/2004 | 16/10/2008 | 11/06/2014 | |
| Types | Barren Land | Water Bodies | Farmland | Broad | Coniferous | Bamboo | |
|---|---|---|---|---|---|---|---|
| Years | |||||||
| 2000 | 128 | 146 | 139 | 159 | 165 | 232 | |
| 2004 | 128 | 146 | 139 | 142 | 152 | 215 | |
| 2008 | 128 | 142 | 139 | 151 | 130 | 341 | |
| 2014 | 128 | 137 | 139 | 153 | 156 | 139 | |
| Type | Name | Calculate Model | Abbreviation | Remarks |
|---|---|---|---|---|
| Band combination | TM546 | band5 * band4/band6 | TM546 | Suitable Landsat5 TM data (2000, 2004, 2008) |
| TM543 | band5 * band4/band3 | TM543 | ||
| TM542 | band5 * band4/band2 | TM542 | ||
| TM432 | band4 * band3/band2 | TM432 | ||
| TM321 | band3 * band2/band1 | TM321 | ||
| TM754 | Band7 * band5/band4 | TM754 | Suitable Landsat8 OLI data (2014) | |
| TM563 | Band5 * band6/band3 | TM563 | ||
| TM547 | Band4 * band5/band7 | TM547 | ||
| TM432 | Band4 * band3/band2 | TM432 | ||
| TM543 | Band5 * band4/band3 | TM543 | ||
| Vegetation Index | Normalized Difference Vegetation Index | (NIR-R)/(NIR + R) | NDVI | NIR, R, and B represent Near-Infrared Reflectivity, Red reflectivity, Blue reflectivity, and L take value for 0.5 |
| Difference Vegetation Index | NIR-R | DVI | ||
| Simple Ratio Index | NIR/R | SR | ||
| Enhanced Vegetation Index | 2.5(NIR-R)/(NIR + 6R − 7.5B + 1) | EVI | ||
| Soil-Adjusted Vegetation Index | (NIR-R) * (1 + L)/(NIR + R + L) | SAVI | ||
| Texture | Mean | Mean | is the ith row of the jth column in the Nth moving window; | |
| Variance | Var | |||
| Homogeneity | Homo | |||
| Contrast | Con | |||
| Dissimilarity | Dissi | |||
| Entropy | En | |||
| Angular second moment | Sec | |||
| Correlation | Corr |
| Year | Overall Accuracy of Land Use Classification | Bamboo Forest Classification Accuracy | Bamboo Area Estimation Accuracy | ||
|---|---|---|---|---|---|
| Accuracy (%) | Kappa Coefficient | Producer’s Accuracy (%) | User’s Accuracy (%) | (%) | |
| 2000 | 85.04 | 0.82 | 75.86 | 94.12 | 96.50% |
| 2004 | 81.59 | 0.78 | 76.28 | 91.62 | 97.50% |
| 2008 | 76.26 | 0.75 | 79.18 | 95.07 | 97.50% |
| 2014 | 81.69 | 0.78 | 79.41 | 93.1 | 98.90% |
| Year | Index | Minimum Value | Maximum Value | Average Value | STD |
|---|---|---|---|---|---|
| 2000 | Predicted value | 3.611 | 12.950 | 6.933 | 2.253 |
| Residual | −3.395 | 3.600 | 0.369 | 1.888 | |
| 2004 | Predicted value | 5.106 | 15.546 | 10.679 | 2.486 |
| Residual | −3.715 | 3.504 | 0.317 | 1.910 | |
| 2008 | Predicted value | 5.493 | 18.035 | 11.493 | 2.813 |
| Residual | −4.570 | 5.009 | 0.059 | 2.421 | |
| 2014 | Predicted value | 6.556 | 16.758 | 12.966 | 2.220 |
| Residual | −3.573 | 3.113 | 0.122 | 1.824 |
| City | 2000 | 2004 | 2008 | 2014 | ||||||||
|---|---|---|---|---|---|---|---|---|---|---|---|---|
| Bamboo Area (ha) | Carbon Density (Mg·ha−1) | Total Carbon Stock (Tg C) | Bamboo Area (ha) | Carbon Density (Mg·ha−1) | Total Carbon Stock (Tg C) | Bamboo Area (ha) | Carbon Density (Mg·ha−1) | Total Carbon Stock (Tg C) | Bamboo Area (ha) | Carbon Density (Mg·ha−1) | Total Carbon Stock (Tg C) | |
| Hangzhou | 106,772.76 | 7.62 | 0.81 | 136,085.36 | 11.62 | 1.58 | 175,642.38 | 17.94 | 3.15 | 157,954.05 | 21.98 | 3.47 |
| Huzhou | 88,271.10 | 7.99 | 0.70 | 97,067.25 | 10.92 | 1.06 | 104,735.63 | 19.10 | 2.00 | 104,331.98 | 22.44 | 2.34 |
| Jiaxing | 3.87 | 4.69 | 0.00 | 15.66 | 8.77 | 0.00 | 634.41 | 5.90 | 0.00 | 107.73 | 5.29 | 0.00 |
| Taizhou | 84,108.87 | 6.12 | 0.51 | 55,287.18 | 8.72 | 0.48 | 21,360.78 | 13.49 | 0.29 | 36,291.87 | 16.95 | 0.62 |
| Shaoxing | 30,607.29 | 6.91 | 0.21 | 21,675.96 | 9.98 | 0.22 | 41,277.42 | 15.33 | 0.63 | 75,569.90 | 17.14 | 1.30 |
| Quzhou | 72,458.82 | 7.19 | 0.52 | 50,822.19 | 13.09 | 0.67 | 74,815.83 | 15.70 | 1.17 | 72,991.44 | 21.37 | 1.56 |
| Ningbo | 91,198.08 | 5.70 | 0.52 | 58,383.90 | 10.15 | 0.59 | 62,439.17 | 13.89 | 0.87 | 88,918.11 | 17.29 | 1.54 |
| Lishui | 103,576.95 | 6.15 | 0.64 | 173,737.13 | 11.95 | 2.08 | 163,593.90 | 15.61 | 2.55 | 166,664.07 | 18.77 | 3.13 |
| Jinhua | 75,212.46 | 6.62 | 0.50 | 68,752.17 | 12.23 | 0.84 | 86,205.24 | 13.57 | 1.17 | 75,075.39 | 16.18 | 1.21 |
| Zhoushan | 12,782.16 | 4.37 | 0.06 | 3560.67 | 8.99 | 0.03 | 5068.85 | 11.89 | 0.06 | 5327.37 | 9.83 | 0.05 |
| Wenzhou | 104,261.31 | 6.42 | 0.67 | 114,684.30 | 7.59 | 0.87 | 76,519.65 | 10.64 | 0.81 | 97,825.57 | 17.60 | 1.72 |
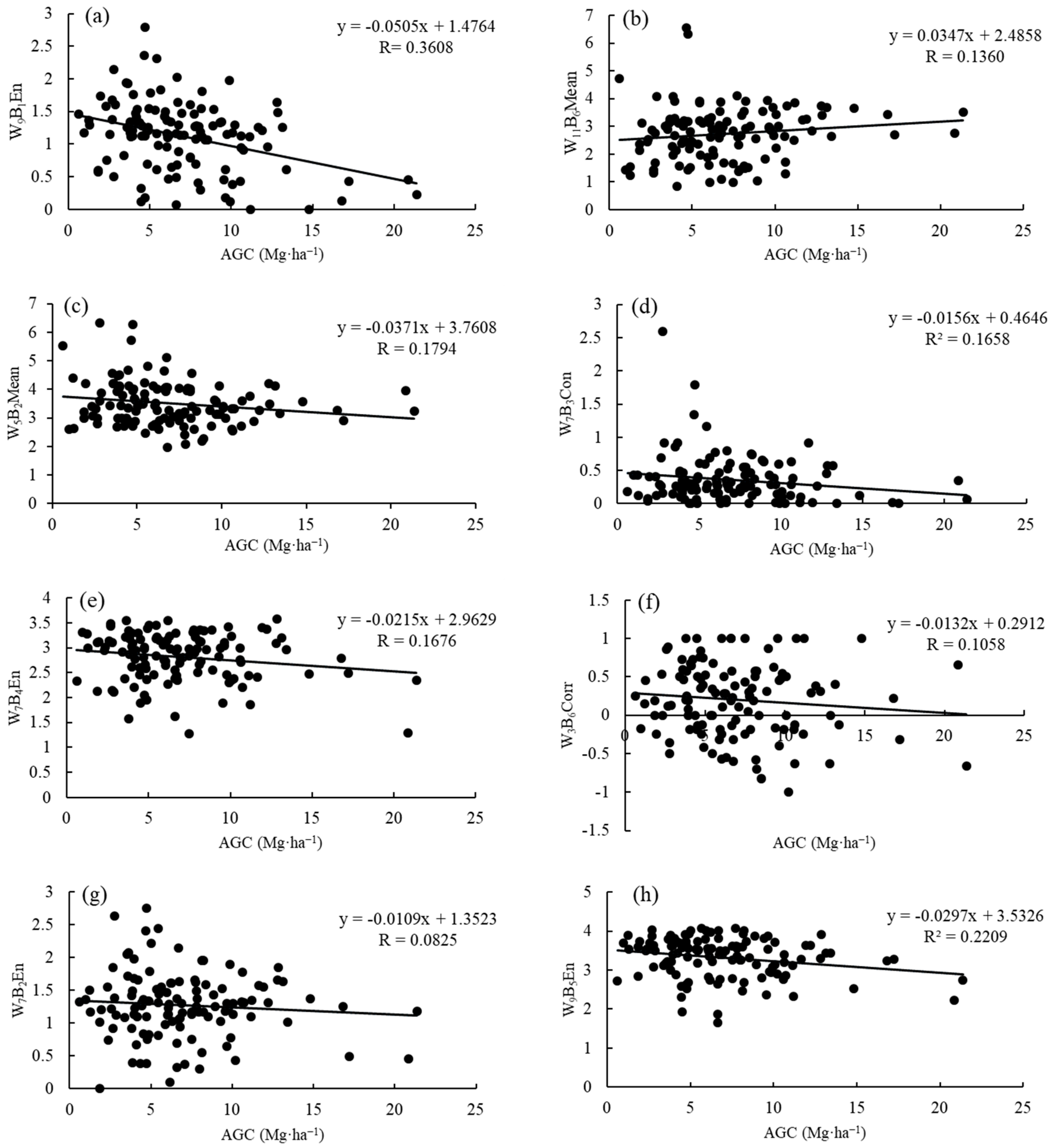
| Year | Merit Value | Variable | Ranking |
|---|---|---|---|
| 2000 | 0.825 | W7B3Con | 1 |
| 0.813 | W9B1En | 2 | |
| 0.81 | W7B2En | 3 | |
| 0.651 | W9B5En | 4 | |
| 0.468 | W5B2Mean | 5 | |
| 0.261 | W11B6Mean | 6 | |
| 0.532 | W7B4En | 7 | |
| 0.044 | W3B6Corr | 8 | |
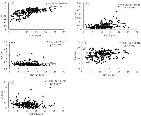
| 2004 | 0.869 | SAVI | 1 |
| 0.766 | W11b3Var | 2 | |
| 2008 | 0.823 | W7B2Con | 1 |
| 0.764 | W7B2Var | 2 | |
| 0.643 | SAVI | 3 | |
| 0.611 | W11B5Sec | 4 | |
| 0.096 | W3B5Mean | 5 | |
| 2014 | 0.663 | NDVI | 1 |
| 0.656 | W3b7Sec | 2 | |
| 0.231 | W11b2Corr | 3 | |
| 0.23 | TM547 | 4 | |
| 0.11 | W3b5En | 5 | |
| 0.016 | W9b7Corr | 6 |
| Study Area | Year | Carbon Density (Mg·ha−1) | Carbon Stock (Tg C) | ||
|---|---|---|---|---|---|
| The Study | References | The Study | References | ||
| Zhejiang province | 2004 | 10.95 | 12.17; [72] | 8.42 | 9.45; [72] |
| 13; [74] | |||||
| 2008 | 15.72 | 13.85; [72] | 12.72 | 11.33; [72] | |
| 2014 | 19.07 | 18.15; [72] | 16.84 | 16.41; [72] | |
© 2018 by the authors. Licensee MDPI, Basel, Switzerland. This article is an open access article distributed under the terms and conditions of the Creative Commons Attribution (CC BY) license (http://creativecommons.org/licenses/by/4.0/).
Share and Cite
Li, Y.; Han, N.; Li, X.; Du, H.; Mao, F.; Cui, L.; Liu, T.; Xing, L. Spatiotemporal Estimation of Bamboo Forest Aboveground Carbon Storage Based on Landsat Data in Zhejiang, China. Remote Sens. 2018, 10, 898. https://doi.org/10.3390/rs10060898
Li Y, Han N, Li X, Du H, Mao F, Cui L, Liu T, Xing L. Spatiotemporal Estimation of Bamboo Forest Aboveground Carbon Storage Based on Landsat Data in Zhejiang, China. Remote Sensing. 2018; 10(6):898. https://doi.org/10.3390/rs10060898
Chicago/Turabian StyleLi, Yangguang, Ning Han, Xuejian Li, Huaqiang Du, Fangjie Mao, Lu Cui, Tengyan Liu, and Luqi Xing. 2018. "Spatiotemporal Estimation of Bamboo Forest Aboveground Carbon Storage Based on Landsat Data in Zhejiang, China" Remote Sensing 10, no. 6: 898. https://doi.org/10.3390/rs10060898
APA StyleLi, Y., Han, N., Li, X., Du, H., Mao, F., Cui, L., Liu, T., & Xing, L. (2018). Spatiotemporal Estimation of Bamboo Forest Aboveground Carbon Storage Based on Landsat Data in Zhejiang, China. Remote Sensing, 10(6), 898. https://doi.org/10.3390/rs10060898
