Abstract
The stability of bank slopes in pumped storage power stations is crucial, particularly in regions where frequent water level fluctuations occur. This study aims to investigate the degradation mechanism of bank slope under such fluctuating conditions, focusing on granite residual soil from the pumped storage power stations in Fujian, China. To explore the effects of drying-wetting cycles and matric suction on soil shear strength, drying and wetting cycles were conducted with unsaturated triaxial shear tests. The results revealed that the shear parameter strengthening effect occurs when the matric suction increases from 50 kPa to 200 kPa. Moreover, during the first five drying-wetting cycles, soil shear strength decreased sharply, with cohesion and internal friction angle decreasing by approximately 15.4% and 11.2%, respectively. This degradation trend stabilized in the later cycles. Scanning Electron Microscopy (SEM) analysis of the soil microstructure showed an evolution from a dense structure to a penetrating cavity during the cycles. This change reflects that the strength degradation characteristics of granite residual soils are controlled by the synergistic effects of structural and frictional mechanisms, manifesting as initial degradation followed by stabilization. Additionally, by fitting the nonlinear characteristics of the experimental data, shear strength evolution functions for matric suction and drying-wetting cycles were established, revealing the effect of these factors on strength degradation. These findings provide a theoretical basis for the stability analysis of bank slopes in pumped storage power stations, offering insights into soil behavior under fluctuating water levels.
1. Introduction
Granitic residual soils are widely distributed in Fujian, China, covering approximately 30% to 40% of the province’s total land area. These soils primarily consist of debris generated by the physical and chemical weathering of granite [1]. The unique mountainous terrain and abundant water resources in Fujian provide favorable conditions for the development of pumped storage power stations [2,3]. Currently, more than ten storage power stations are being operated. These stations regulate grid stability by performing peak shaving and valley filling. However, as the stations continue to operate, the soils along the reservoir shorelines are subjected to periodic water level fluctuations, undergoing prolonged drying and wetting cycles. This process alters the bonding and arrangement of soil particles, affecting the pore structure of the soil [4]. Over time, the continuous wetting and drying cycles gradually degrade the water retention capacity and strength characteristics of the unsaturated shoreline soils, as shown in Figure 1. This deterioration may not only reduce soil stability but also potentially trigger slope instability, leading to landslides and other geological hazards, which can impact the safe operation of pumped storage stations. Addressing this issue has become a critical engineering challenge affecting the safe and stable operation of these stations.
Figure 1.
Slope instability at Zhouning pumped storage power station in Fujian, China.
The impact of drying and wetting cycles on soil properties has been extensively investigated. Early studies found that soil strength varied under drying and wetting cycles, even when the matric suction was the same [5,6]. Based on experimental research, drying and wetting cycles were regarded as influencing the saturation of soils, thereby altering their shear strength [7,8]. Furthermore, drying and wetting cycles affect expansive soils, causing fatigue behavior in the soil, which reduces its swelling capacity [9]. Experimental evaluations have shown that the fissure rate increases with cycles, with the most significant changes occurring during the initial cycles [10]. Repeated cycles modify the structure and shrinkage characteristics of unsaturated soils, leading to a decrease in suction and an increase in compressibility at the same moisture content [11]. This structural alteration also significantly affects the soil–water characteristic curve, resulting in different soil strengths under the same matric suction during drying and wetting cycles. The soil–water characteristic curve can be conducted on remolded soils subjected to varying numbers of cycles [12]. It found that the soil’s water retention properties deteriorated most significantly after the first cycle, stabilizing after three cycles. Although existing studies have explored the effects of drying and wetting cycles on soil properties, there is still a lack of research on the influence of cycles on the evolutionary characteristics of granitic residual soils and their relationship with the matric suction of the bank slopes in pumped storage reservoir areas.
Existing research has systematically explored the effects of drying and wetting cycles on soil microstructure, strength, water retention, permeability, and soil–water characteristic curves, confirming the adverse effects of cycles on unsaturated soils [13,14]. These effects are particularly evident in terms of shear strength, structural stability, and fissure evolution, with significant degradation trends observed [15,16,17]. Such degradation can compromise the integrity of soil, leading to issues like reduced load-bearing capacity and increased susceptibility to erosion or failure. Due to the rapid fluctuations in water levels of pumped storage power stations, previous studies have shown that such variations can trigger significant slope deformations, posing a threat to operational safety [18,19]. These findings highlight the need for a deeper understanding of the soil’s behavior under dynamic conditions. Therefore, investigating the strength characteristics of granite residual soil under long-term regulation of pumped storage power stations is particularly crucial. However, the strength evolution and underlying mechanisms of granitic residual soils, which are skeletal and non-expansive, under the combined influence of matric suction and repeated cycles, remain insufficiently explored.
Considering the topographical characteristics of Fujian and the regulation features of pumped storage power stations, this study focuses on the synergistic effect of matric suction and drying-wetting cycles on granite residual soil. The innovation lies in identifying the nonlinear degradation mechanism under coupled conditions and analyzing its correlation with the evolution of microstructural features. First, by conducting drying and wetting cycle experiments with triaxial tests while controlling matric suction, the research systematically investigates the effects of matric suction and the number of cycles on the shear strength parameters of the soil. Then, strength evolution functions are developed to reveal the strength degradation mechanisms of granitic residual soils under the influence of cycle effects and matric suction. The findings of this study provide experimental data and theoretical support for the long-term stability and protective design of pumped storage reservoir slopes.
2. Materials and Methods
2.1. Sample Preparation
Remolded soil samples were obtained via trenching from the shore slope of a pumped storage power station in Fujian. To investigate the effects of matric suction and drying-wetting cycles on the shear strength of the granite residual soil under controlled conditions, it was essential to minimize variability caused by natural soil heterogeneity. Although remolding disturbs the natural fabric and crack structure, it ensures uniform initial conditions for all samples. The basic physical properties of the soil samples were tested in the laboratory according to the standard for geotechnical testing method of China (GB/T 50123-2019) [20], and the results are presented in Figure 2 and Table 1.
Figure 2.
Grain size distribution of the soil sample.
Table 1.
The physical properties of the soil sample.
Based on the test results, the particle size distribution curve indicates a continuous gradation without significant gaps. The curvature coefficient (Cc) is 1.29, and the uniformity coefficient (Cu) is 14.00, classifying the soil as well-graded. The fine particle content (<0.075 mm) is relatively high at 19.05%, with no gravel (>2 mm) present. According to the local standard of Fujian, the soil sample is classified as residual cohesive soil. The specific gravity of the soil particles is 2.71, suggesting a composition dominated by minerals such as quartz and feldspar. The results of the compaction test show a maximum dry density of 1.57 g/cm3 and an optimum moisture content of 21%, demonstrating favorable compaction characteristics.
The granite residual soil was processed by crushing, drying, and grinding into a fine powder, which was passed through a 2 mm sieve to obtain the desired soil sample. The sample was then prepared by adjusting the moisture content to the predetermined level and placed in a sealed bag for 24 h to allow for uniform distribution of moisture throughout the soil. To achieve a target dry density of 1.41 g/cm3, samples were prepared using the layer-by-layer compaction method to ensure homogeneity in their physical properties. Equivalent in situ stresses of 50 kPa for shallow layers and 150 kPa for deeper layers were applied during compaction to maintain consistency between the sample structure and the in situ soil. The sample specifications were set as a sample with a diameter of 39.1 mm and a height of 80 mm, intended for non-saturated triaxial testing. This preparation aims to ensure that the sample is representative and the experimental results are reliable, while accurately reflecting the mechanical behavior of the soil during testing.
2.2. Experimental Process of Unsaturated Soil Samples
The experimental process is shown in Figure 3. It mainly includes field sampling, drying and wetting cycle, and triaxial test. According to relevant studies, the first drying and wetting cycle has the most significant impact on the sample, and after 5 to 7 cycles, the soil-water characteristics and mechanical properties of the sample tend to stabilize [21,22]. Therefore, 10 cycles were conducted to examine the effects of varying drying and wetting cycles on the sample’s properties in this experiment. The experimental procedure involves the following steps: First, the target moisture content was aimed at achieving full saturation in the wetting phase. According to the testing procedure outlined in the standard for soil testing methods (GB/T 50123-2019), the vacuum saturation method was used to saturate the samples. The degree of saturation was determined by comparing the sample weight before and after saturation, with a saturation greater than 95% considered fully saturated. Then, the sample is subjected to 8 h of drying at 20 °C and relative humidity 50% ± 5% to reduce moisture content and simulate soil exposure during a falling water level. The process of drying and wetting cycles is shown in Figure 3. This experimental approach simulates the impact of water level fluctuations on soil samples, providing a solid basis for studying the soil-water characteristics and mechanical properties of soils under drying and wetting cycles.
Figure 3.
Sample preparation and experimental process of unsaturated soil.
To investigate the strength characteristics of the soil samples, a stress–strain controlled triaxial apparatus for unsaturated soils was used in the experiments. The equipment consisted of four main components: a dual-chamber pressure chamber, a pressure control system, a total volume measurement system, and a data acquisition system. The dual-chamber pressure chamber features an internal and external chamber structure, connected by ducts to a confining pressure controller. This design allows for the simultaneous application of equal internal and external confining pressures, preventing deformation of the inner chamber under high confining pressure. The pore air pressure, pore water pressure, and confining pressure are controlled by the pressurization system, while the axial pressure is applied through an axial shear controller, ensuring precise control over the axial stress during the shearing [23].
The total volume measurement system is an independent system capable of continuously and accurately measuring the changes in volume over extended periods, providing reliable data for volume change analysis during the test. The data acquisition system consists of computer software, relevant sensors, and a data acquisition instrument. The software handles real-time data collection and processing, while the sensors measure various physical quantities (e.g., pressure, volume). The acquisition instrument is responsible for storing and transmitting data. This system ensures the efficient and accurate recording of experimental data and allows for real-time monitoring of changes during the test, providing support for subsequent data analysis.
The procedure of triaxial testing is divided into three main stages: suction equilibrium, isostatic consolidation, and constant-rate shear. Each stage is designed to precisely control the moisture state and stress conditions of the soil sample, ensuring reliable experimental results. In the suction equilibrium stage, the sample’s moisture state is adjusted until it reaches suction equilibrium. The criterion for achieving matric suction equilibrium is that the pore water drainage from the sample should not exceed 0.1 cm3 within 24 h. This process ensures that the moisture distribution and suction in the sample are stabilized, providing a solid foundation for the subsequent consolidation and shear testing.
In the isostatic consolidation stage, after achieving suction equilibrium, the suction is maintained constant while a net confining pressure is applied to the sample. This pressure causes the sample to drain and gradually consolidate. The consolidation is considered complete when the drainage of pore water is less than or equal to 0.1 cm3, similar to the criterion used in the suction equilibrium stage, ensuring that the sample has reached a stable, consolidated state. In the constant-rate shear stage, the suction and net confining pressure are kept constant while the sample is subjected to shear at a constant rate of 0.005 mm/min, allowing for simultaneous drainage and axial strain development. The shear rate of 0.005 mm/min is selected based on pre-experimental results. Under this rate, the soil sample drains sufficiently, the strength parameters are stable, and it conforms to the specification of soil test (GB/T 50123-2019). The shear test is terminated when the axial strain reaches 15%, simulating the stress–strain behavior of soil in engineering applications and providing essential data on the sample’s strength characteristics. Throughout the experiment, stress and moisture conditions are controlled to ensure the consistency of the test data.
2.3. Test Condition Setting of the Granite Residual Soil Strength Characteristics
To investigate the effects of cycle and matric suction on the strength characteristics of granite residual soil, two experimental groups were designed to explore the relationship between these factors and the shear strength of granite residual soil. The scheme and the specific parameters for the triaxial tests are provided in Table 2.
Table 2.
Test scheme and parameters.
Group 1 involves consolidated drained tests under different matric suction conditions (50, 100, 150, 200 kPa) without cycling. In this group, the pore air pressure is maintained at a fixed value (20 kPa), and matric suction is controlled by varying the pore water pressure. During the test, matric suction is measured using the tensiometer method, with an accuracy of ±2 kPa. Data is recorded during the suction equilibrium stage (24 h drainage ≤ 1 cm3). The confining pressure is adjusted according to the relationship between confining pressure and pore water pressure to ensure a consistent net confining pressure. Three samples are tested for each matric suction gradient, totaling 12 samples. This group aims to examine the impact of matric suction on the shear strength of granite residual soil.
Group 2 consists of consolidated drained tests under a fixed matric suction of 50 kPa and varying drying and wetting cycles. Since matric suction is fixed, both the pore air pressure and pore water pressure are kept constant at 20 kPa and 70 kPa, respectively. For each cycle gradient, three samples are tested, resulting in a total of 12 samples. The choice of 10 cycles is based on two factors: first, due to the low degree of weathering of the parent rock in Fujian, the shear strength parameters of granite residual soil continue to change after 5 cycles and stabilize only by the 10th cycle. Second, considering that pumped storage power station slopes experience long-term operational hydraulic fluctuations, 10 cycles provide a more reasonable simulation of the long-term environmental effects. This group investigates the influence of drying and wetting cycles on the mechanical properties of granite residual soil. The experimental design aims to investigate the effects of matric suction and drying and wetting cycles on the strength characteristics of granite residual soil, offering valuable insights for the disaster prevention of pumped storage power stations.
Moreover, a scanning electron microscope (Quanta 250, Thermo Fisher Scientific, Oakwood, OH, USA) was used to observe the microstructure of soil samples after drying and wetting cycles in this study, as shown in Figure 4. According to the instrument’s sample requirements, the original and cycled soil samples were first cut in half, and representative small specimens (with dimensions controlled at 10 mm × 10 mm × 5 mm) were taken. Next, the processed samples were fixed on the sample holder and introduced into the sample chamber. Finally, observations were conducted in high vacuum mode at an accelerating voltage of 25 kV. Scanning Electron Microscope (SEM) images of the soil samples were collected at different cycles, which reveal the degradation mechanisms of soil strength at the microscopic scale.
Figure 4.
Procedure for Scanning Electron Microscopy testing of soil samples. (Blue cuboid is SEM test sample cut from the soil sample. Yellow circle is the position of the test sample within the SEM equipment).
3. Results
3.1. Influence of Matric Suction on the Strength Characteristics of Granite Residual Soil
To investigate the influence of matric suction on the strength characteristics of granite residual soil, the stress–strain relationships under varying matric suctions and net confining pressures were analyzed. Figure 5 illustrates the stress–strain relationships of granite residual soil under varying matric suctions and net confining pressures. The samples exhibit typical strain-hardening behavior without distinct peak points. In the later stages of deformation, the shear strength stabilizes, indicating good plastic deformation capacity. This suggests that granite residual soil is able to maintain its load-bearing capacity while undergoing deformation [24].
Figure 5.
Stress–strain curves under different matric suctions: (a) Matric suction: 50 kPa; (b) Matric suction: 100 kPa; (c) Matric suction: 150 kPa; (d) Matric suction: 200 kPa.
Under low matric suction conditions, the initial stiffness of the samples is relatively low, and the deviatoric stress increases gradually, indicating that the soil structure is relatively loose with weak cementation between particles. The loose interparticle bonding leads to significant redistribution of stress during deformation, resulting in a slower increase in stress. As confining pressure increases, the slope of the stress–strain curve slightly rises, showing that the external confinement contributes to strengthening the shear resistance of the soil. This suggests that the external pressure helps maintain the soil’s structural stability and enhances its shear resistance.
Under high matric suction conditions, the overall stiffness of the samples significantly increases, and the rate of deviatoric stress growth accelerates. The slope of the stress–strain curve becomes steeper, indicating enhanced shear resistance. This is attributed to the increased matric suction, which enhances the adhesive forces between particles and improves the structural stability of the soil. As a result, the sample exhibits greater resilience in the initial stages, requiring more deformation to reach failure. The higher matric suction strengthens the interparticle bonds, improving the shear strength and making the soil more stable under stress and delaying failure.
Furthermore, the rate of axial strain development slightly slows down with increasing matric suction, indicating that higher matric suction delays failure onset. This indicates that under high matric suction conditions, the soil has a longer adaptation time, allowing it to better resist external disturbances and delay the point at which stress reaches failure. Thus, the stress–strain response of granite residual soil is more sensitive under low suction conditions, with more pronounced deformation and greater susceptibility to disturbance. In contrast, granite residual soil exhibits higher strength, greater resistance to disturbance, and enhanced stability. These findings provide valuable insights into the mechanical behavior of granite residual soil under different moisture conditions.
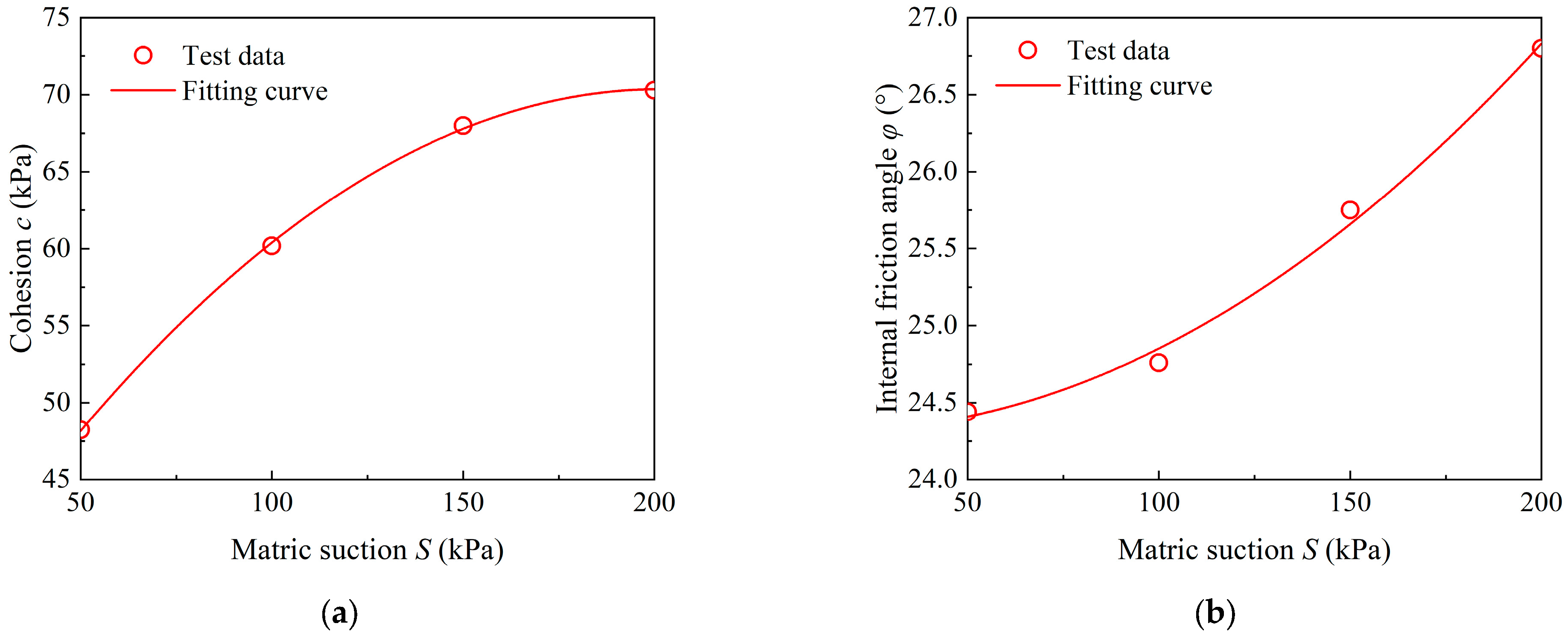
As shown in Figure 6, the Mohr circles for granite residual soil at varying matric suction clearly demonstrate the relationship between shear strength parameters and matric suction. Both cohesion and internal friction angle increase with the matric suction, but the rate of increase differs across suction ranges. Cohesion increases rapidly from 50 kPa to 100 kPa, while the growth rate slows significantly as matric suction rises from 150 kPa to 200 kPa. In contrast, the internal friction angle increases slowly from 50 kPa to 100 kPa range but accelerates significantly from 100 kPa to 150 kPa.
Figure 6.
Strength envelope under different matric suctions: (a) Matric suction: 50 kPa; (b) Matric suction: 100 kPa; (c) Matric suction: 150 kPa; (d) Matric suction: 200 kPa.
These observations indicate that matric suction has a considerable influence on the mechanical properties of granite residual soil, particularly on cohesion [25]. When the soil is relatively dry, higher matric suction enhances the molecular attraction between soil particles, which in turn increases cohesion. A similar study mentioned that matric suction can form a water film on the particle surfaces, strengthening the attraction between particles and further enhancing the cohesion of the soil [26]. This enhancement effect is particularly obvious when the suction is low, because the initial bond is weak at this time, and a small increase in suction can bring significant strength growth.
However, matric suction has a relatively limited effect on the internal friction angle of granite residual soil. While matric suction changes the contact state between soil particles, the size of the internal friction angle is primarily governed by the shape and roughness of the soil particles. Even though matric suction improves the bonding between particles through water film formation, these physical characteristics have a smaller influence on the internal friction angle. Thus, the internal friction angle is more influenced by the inherent properties of the soil particles, such as their shape, size, and surface roughness, while matric suction plays a secondary role.
Thus, matric suction significantly enhances the strength characteristics of granite residual soil, particularly its cohesion. At lower matric suction, the cohesion is relatively low, but as matric suction increases, cohesion improves gradually. However, the internal friction angle is influenced more by particle characteristics than by matric suction. Understanding these mechanisms is essential for evaluating the mechanical behavior of granite residual soil under varying environmental conditions.
To quantify the influence of the above mechanisms, experimental data were analyzed, revealing a clear quadratic curvilinear trend. The physical basis of this trend is that matric suction influences both cohesion and internal friction angle in a nonlinear manner, with their values changing as suction increases. To further investigate this relationship, a function fitting analysis was performed to examine the influence of matric suction on the shear strength parameters, as shown in Figure 7. The optimal fitting model was selected based on the root mean square error (RMSE) and the coefficient of determination (R2). The fitted polynomials are shown in Equations (1) and (2). The results indicate that cohesion follows an approximate quadratic polynomial relationship with matric suction, with a fitting goodness of R2 = 0.9999 and an RMSE of 0.018. Similarly, the internal friction angle also exhibits a quadratic polynomial relationship with matric suction, with R2 = 0.9876 and RMSE = 0.201.
where c is the cohesion, φ is the internal friction angle, S is the matric suction.
Figure 7.
Relationship between shear strength parameters and matric suction. (a) Cohesion and matric suction; (b) Internal friction angle and matric suction.
The fitting results reveal that both cohesion and internal friction angle of granite residual soil show a quadratic polynomial relationship with matric suction. This suggests that as matric suction increases, the shear strength parameters—cohesion and internal friction angle—initially increase rapidly and then gradually approach saturation. Specifically, at lower matric suction (<100 kPa), both cohesion and internal friction angle increase significantly with increasing matric suction, showing a pronounced strengthening effect. However, as matric suction further increases, the changes in cohesion and internal friction angle become less pronounced, eventually reaching saturation.
This trend is captured by the quadratic term in the model, which reflects the diminishing contribution of matric suction as it increases. Physically, this effect corresponds to the stabilization of the capillary water film thickness in the soil, beyond which the suction effect weakens. In the early stages of water uptake, the capillary water films between soil particles are thin, and the suction effect is significant as the matric suction increases. As the matric suction reaches a certain threshold, the thickness of the capillary water film stabilizes, and the suction effect diminishes.
Thus, the increase in matric suction significantly enhances the shear strength of the soil, particularly cohesion and internal friction angle, during the early stages of suction increase. However, as suction increases to a certain threshold, the strengthening effect approaches saturation. This phenomenon reveals the mechanical response characteristics of soil under the effects of capillary water films.
Based on experimental observations and theoretical analysis of the strength characteristics of granite residual soil, Fredlund and Xing highlighted that a single effective stress state variable cannot fully capture the mechanical behavior of unsaturated soils [27]. To address this, they proposed separately considering net confining pressure and matric suction, using to represent the influence of matric suction. As a result, they developed a shear strength equation for unsaturated soils, as shown in Equation (3).
where is the shear strength of the unsaturated soil, is the effective cohesion, is the confining pressure, is pore air pressure, is the pore water pressure, is the effective internal friction angle, is the angle with respect to matric suction.
By setting the matric suction to 0 kPa and substituting it into the equation, the effective cohesion c’ and effective internal friction angle φ′ of granite residual soil in a saturated state are obtained as 30.72 kPa and 24.69°, respectively. Substituting the values into Equation (3), the shear strength equation for unsaturated granite residual soil in the study area can be expressed as Equation (4).
where is the shear strength of the unsaturated soil, is the confining pressure, is pore air pressure, is the pore water pressure.
3.2. Strength Response of Granite Residual Soil Under Drying and Wetting Cycles
Figure 8 illustrates the stress–strain relationships of granite residual soil under three different net confining pressures, with varying numbers of drying and wetting cycles. The samples exhibit typical strain-hardening behavior, with no distinct peak points. The stress–strain curves flatten out in the later stages, demonstrating some plastic deformation capacity. This indicates that the soil sample can endure significant stress while undergoing deformation, with a certain degree of plastic flow before failure, showing its ability to deform without immediately breaking.
Figure 8.
Stress–strain curves under drying and wetting cycles: (a) Cycle 0; (b) Cycle 1; (c) Cycle 5; (d) Cycle 10.
The stress–strain response of the soil is significantly influenced by drying and wetting cycles. Untreated samples exhibit high initial stiffness and a steeply rising stress curve, reflecting well-preserved structural integrity, characterized by dense particle packing and strong interparticle cementation. After 1 cycle, the curve flattens slightly, accompanied by a reduction in both initial stiffness and maximum deviatoric stress. This indicates the onset of structural deterioration, marked by the development of microcracks and weakened cementation. Following 5 cycles, a pronounced downward shift in the curve is observed, with a slower stress increase, signifying substantial structural damage where shear resistance becomes governed mainly by frictional forces and particle rearrangement rather than cementation. By 10 cycles, the curve stabilizes, displaying a hardening trend with further reduced initial stiffness. This suggests the soil has reached a residual state, wherein its mechanical behavior becomes more stable but at a considerably lower strength level.
These changes are associated with the fluctuations in moisture content that occur during drying and wetting cycles. The absorption and loss of water affect the bonding strength and structural stability of the soil particles. As the cycles progress, the bonding force between particles weakens, leading to a gradual decrease in shear strength and rigidity. Additionally, the drying and wetting process damages the capillary water film, further impacting the soil’s mechanical properties. Previous studies have also recognized that moisture content plays a crucial role in the drying and wetting of soil [28,29].
The shear strength parameters of granite residual soil exhibit general degradation with successive drying-wetting cycles, characterized by a pronounced reduction in cohesion and a slight decrease in the internal friction angle (Figure 9). This trend unequivocally indicates that structural degradation is the dominant mechanism governing the soil’s response to these cycles. The pattern of strength reduction in granite residual soil is notably different from the typical behavior observed in cohesive soils such as loess and red clay. Unlike loess or red clay, which undergo reversible expansion and contraction due to interlayer water between mineral particles, the weathering products of the parent rock in granite residual soil are mainly composed of inert minerals, such as quartz and feldspar. These minerals are chemically stable and less prone to swelling or shrinkage due to changes in moisture. Therefore, the failure mode of granite residual soil is primarily driven by particle rearrangement and the loosening of the skeletal structure during the drying and wetting cycles, rather than by the reversible expansion and contraction of interlayer water between minerals.
Figure 9.
Strength envelope under drying and wetting cycles: (a) Cycle 0; (b) Cycle 1; (c) Cycle 5; (d) Cycle 10.
The skeletal framework of granite residual soil is primarily composed of coarse particles, and the cementation between particles is relatively weak. As a result, during the drying and wetting cycles, the particles are more prone to displacement and rearrangement, leading to a gradual reduction in the overall strength and stiffness of the soil. In contrast, typical cohesive soils like loess and red clay consist mainly of fine particles and clay minerals, which exhibit reversible swelling and shrinkage due to the absorption and release of water, affecting their mechanical properties.
The variation of shear strength parameters with the number of cycles is shown in Figure 10. After the first wetting-drying cycle, the cohesion decreases by 9.9%, while the internal friction angle decreases by 6.5%, accounting for 48.5% and 39.1% of the total reduction, respectively. This stage shows the largest rate of decrease, indicating that drying and wetting cycles cause significant disruption to the internal microstructure of the sample. As the number of cycles increases to 5, the cumulative reductions in cohesion and internal friction angle are 15.4% and 11.1%, respectively. After 10 cycles, the cumulative reductions in cohesion and internal friction angle reach 19.1% and 12.3%, respectively.
Figure 10.
The variation trend of shear strength parameters with the cycle.
Overall, the strength parameters exhibit a rapid decline followed by a slow stabilization, suggesting that the structural damage caused by drying and wetting cycles reaches a certain upper limit. Once the particles reach a new equilibrium, the strength parameters stabilize. This change can be explained by the initial destruction of the cemented structure in the soil, followed by particle redistribution driven by drying-wetting cycles, which leads to the formation of a newly developed frictional skeleton structure, gradually slowing down the degradation [30,31]. This reflects a strength degradation feature controlled by the synergistic effect of structural and frictional mechanisms. It can be concluded that the strength evolution of granite residual soil follows a dual-stage control mechanism of structural degradation and frictional stabilization.
Although the nonlinear strength evolution observed in this study is similar to the strength changes seen in other soils after drying-wetting cycles, the underlying mechanisms are fundamentally different. For example, strength fluctuations in expansive soils are caused by significant swelling and shrinkage of clay minerals due to water absorption and loss [32], which leads to the formation of cracks. In contrast, the strength evolution of the granite residual soil in this study results from the combined effects of enhanced matric suction and degradation induced by drying-wetting cycles.
To quantify the impact of drying and wetting cycles on the shear strength parameters, a functional fitting was performed on the data presented in Figure 11. The optimal model was selected based on the coefficient of determination (R2) and the root mean square error (RMSE). The variation of both cohesion and internal friction angle with the number of cycles was best captured by a two-term exponential function. The exponential form was selected to reflect the progressive, non-linear nature of damage accumulation in unsaturated granite residual soil under drying and wetting cycles, with rapid initial decay followed by gradual stabilization. The fitting for cohesion c yielded an excellent R2 of 0.9997 and an RMSE of 0.070. Similarly, the fitting for internal friction angle was also highly accurate, with an R2 of 0.9996 and an RMSE of 0.044. These results demonstrate the excellent performance of the two-term exponential function. The corresponding fitting equations are presented in Equations (5) and (6).
where c is the cohesion, φ is the internal friction angle, n is the number of cycles.
Figure 11.
Relationship between shear strength parameters and cycles: (a) cohesion and cycles; (b) internal friction angle and cycles.
3.3. Microstructure Evolution of Granite Residual Soil During Drying and Wetting Cycles
To investigate the effect of drying and wetting cycles on the microstructure, samples were collected from the central section of both the original state and those subjected to 1, 5, and 10 cycles. SEM was conducted at a magnification of 300×, and the results are presented in Figure 12. The evolution of pore structure with increasing cycle numbers can be clearly observed.
Figure 12.
Microstructural evolution of soil samples under drying and wetting cycles observed by 300× Scanning Electron Microscopy magnification.
In the original state, the soil matrix exhibits a densely packed configuration, with particles bonded through intergranular contacts, resulting in a structurally intact and homogeneous fabric. Following the first drying-wetting cycle, the swelling and shrinkage of clay minerals induce initial microcracks within the soil structure. These incipient cracks locally disrupt the interparticle connections, leading to a slight reduction in bond strength and the onset of fabric disturbance.
As the cycle reaches 5 times, the repeated hydraulic and mechanical stresses cause the microcracks to propagate and gradually interconnect. This process not only enlarges existing cracks but also promotes the coalescence of smaller pores into larger and more continuous pore spaces. Consequently, the soil fabric transitions from an initially dense network to a visibly loosened structure, with increased porosity and reduced contact area between particles.
After extended cycling (10 cycles), the accumulated damage becomes more severe. The cracks and pores further expand and merge, eventually forming penetrating cavities. These discontinuities substantially weaken the structural integrity of the soil sample, thereby diminishing its load-bearing capacity. Thus, the observed progression from a dense fabric to microcracks, then to pore enlargement, and finally to penetrating cavity formation, clearly demonstrates a progressive deterioration mechanism. These SEM-based microstructural observations provide direct evidence linking the cyclic drying-wetting to the progressive degradation of macroscopic mechanical properties, thereby elucidating the physical basis for the loss of strength in granite residual soil under drying and wetting cycles.
4. Discussion
Although previous studies have extensively investigated the influence of matric suction [33] and drying-wetting cycles [34] as isolated factors on granite residual soil, the present work focuses on their synergistic coupling effect, which reveals a more complex and engineering-relevant mechanism. A key innovation of this study is the identification of a nonlinear strengthening-degradation mechanism under these coupled conditions, along with an analysis of its correlation with the evolution of microstructural characteristics. In comparison to the strength increase with matric suction often reported in single-factor control tests, these experiments under coupled drying-wetting cycles demonstrate a nonlinear trajectory: initial suction increase provides significant enhanced cohesion and friction angle via capillary forces, and cycling drives a progressive degradation of the soil fabric as evidenced by SEM observations of crack and pore evolution. This degradation ultimately limits the strengthening effect and leads to a strength plateau after several cycles. This critical phenomenon is not captured by single-factor analyses.
Moreover, the evolution of matric suction in granite residual soil plays a crucial role in the soil’s shear strength and stability [35]. Compared to sandy soils or clayey sands, which typically show a shear strength increase with matric suction that stabilizes after relatively few drying-wetting cycles, granite residual soil exhibits a more prolonged and nonlinear evolution of shear strength [36,37]. It should be noted that the strength characteristics of granite residual soils are primarily controlled by the degree of weathering of the parent rock. For example, compared to the highly weathered granite residual soil in Guangdong, the soil samples from Fujian in this study, due to the relatively lower degree of weathering of their parent rock, exhibit higher initial cohesion and structural integrity [38,39].
In this state, the increased matric suction significantly enhances the cohesion and internal friction angle of the granite residual soil. Capillary forces improve the bonding between soil particles, thereby enhancing the structural stability of the soil. This effect is most pronounced at lower matric suction values (<100 kPa), where both cohesion and internal friction angle show significant increases. However, once the matric suction exceeds this threshold, the rate of increase in shear strength begins to slow, indicating that as the soil approaches saturation, the effect of suction diminishes, and the increase in soil strength starts to stabilize. Specifically, granite residual soil at higher matric suction demonstrates better elasticity, maintaining its load-bearing capacity more effectively while exhibiting slower strain rates during deformation [40]. This suggests that at higher matric suction, the soil can resist external disturbances for a longer period, delaying failure. Similarly, the influence of capillary force on shear strength in unsaturated granular soil was analyzed by three-dimensional discrete element simulation [41]. It was also found that apparent cohesion increases with matric suction, although its rate of increase declines at higher suction levels.
Therefore, it is crucial to analyze the impact of matric suction on granite residual soil in conjunction with the geological background of parent rock weathering, especially around pumped storage power stations, in order to accurately predict the soil’s mechanical behavior. Slope gradients at pumped storage power stations in Fujian are typically designed between 1:2 and 1:3. The variation pattern of matric suction during the instability process can be summarized in Figure 13.
Figure 13.
The evolution of matric suction in bank slope failure of a pumped storage power station in Fujian.
In the initial stage, the primary cementitious structure of the soil undergoes progressive damage. Subsequently, driven by drying-wetting cycles, particle redistribution occurs, leading to the formation of a new skeletal structure, which gradually moderates the degradation. The engineering contribution of this study lies in proposing a function to quantify the strength evolution of granite residual soil under the coupled conditions of drying-wetting cycles and matric suction. A high-precision exponential function can then be established. Moreover, a conceptual model for nonlinear evolution is developed, reflecting that the strength evolution of granite residual soil follows a dual-stage mechanism of structural degradation and frictional stabilization. Compared to previous empirical methods that simplified the impact of drying-wetting cycles as a strength reduction coefficient [32], this model provides an evolutionary pathway for the long-term behavior of bank slopes. In engineering practice, the number of drying-wetting cycles can be estimated based on local climate and reservoir operation patterns, allowing the model to predict strength parameters at corresponding stages.
Based on the analysis of the influence of matric suction and shear strength characteristics of granite residual soil, the following guidelines can be proposed for the bank slopes of the pumped storage power station in Fujian. (i) Control of matric suction. The findings suggest that higher matric suction improves the soil’s load-bearing capacity and stability. (ii) Consideration of drying and wetting cycles. Soil stabilization techniques should be applied to maintain the integrity of the soil during these cycles. (iii) Monitoring of soil mechanical behavior. Continuous monitoring of soil mechanical properties, especially cohesion and internal friction angle, allows for timely adjustment of slope management practices. Despite the valuable insights provided by this study, there are several limitations that should be addressed in future research. The experimental data offer important findings on the strength characteristics of granite residual soil under matric suction and drying-wetting cycles. However, the study only considers a limited range of suction levels and initial dry density. Future work could investigate the interaction of environmental factors, such as temperature fluctuations and rainfall, with matric suction and soil shear strength to provide a more comprehensive understanding of slope stability in pumped storage power stations.
5. Conclusions
This study analyzes the strength characteristics of granite residual soil under the influence of matric suction and drying-wetting cycles through experiments. The results provide fundamental data and theoretical support for the stability analysis and long-term safety assessment of the bank slopes in pumped storage power station reservoirs. The main conclusions are as follows. (i) Matric suction significantly enhances the shear strength of unsaturated granite residual soil. As matric suction increases from 50 kPa to 200 kPa, both cohesion and internal friction angle increase nonlinearly. (ii) By examining the evolution of the soil microstructure from a compact structure to penetrating cavities, it reveals a dual-stage deterioration pattern of shear strength parameters during drying and wetting cycles. In the first five cycles, rapid degradation occurs, with cohesion decreasing by approximately 15.4% and internal friction angle decreasing by about 11.2%. After five cycles, they enter a steady stage. (iii) The developed two-term exponential function considers shear strength and cycle number, enabling quantitative predictions of strength reduction under drying and wetting cycles.
Author Contributions
Conceptualization, X.X. and Z.X.; Methodology, Z.X. and C.W.; Writing—original draft, Z.X.; Resources, X.X. and Y.S.; Writing—review and editing, X.X. and Z.X.; Funding acquisition, X.X. and Y.S.; Visualization, Z.X. and C.W.; Supervision, X.X. and Y.S. All authors have read and agreed to the published version of the manuscript.
Funding
This research was funded by the Key Science and Technology Project of China’s Ministry of Water Resources, grant number: SKS-2022151.
Institutional Review Board Statement
Not applicable.
Informed Consent Statement
Not applicable.
Data Availability Statement
The original contributions presented in the study are included in the article, further inquiries can be directed to the corresponding author.
Conflicts of Interest
The authors declare no conflicts of interest.
References
- Liu, X.; Zhang, X.; Kong, L.; Wang, G.; Lu, J. Disintegration of Granite Residual Soils with Varying Degrees of Weathering. Eng. Geol. 2022, 305, 106723. [Google Scholar] [CrossRef]
- Kong, Y.; Kong, Z.; Liu, Z.; Wei, C.; Zhang, J.; An, G. Pumped Storage Power Stations in China: The Past, the Present, and the Future. Renew. Sustain. Energy Rev. 2017, 71, 720–731. [Google Scholar] [CrossRef]
- Bai, R.; Jin, L.; Fan, Y.; Zhang, X.; Yin, R.; Wei, Y. Analyzing Water Resources with Sector Characteristics in Fujian Province Utilizing S2-DR-BIMCCP Model Integrated with the Gini Coefficient. J. Clean. Prod. 2025, 490, 144737. [Google Scholar] [CrossRef]
- Yang, Y.; Li, Z.; Chen, Y.; Zhang, Y.; Lu, L. Periodic Flooding Alters Ecological Processes and Carbon Metabolism Efficiency of Riparian Soil Microbial Communities in the Three Gorges Reservoir Area, China. J. Environ. Manag. 2025, 376, 124534. [Google Scholar] [CrossRef] [PubMed]
- Tang, C.-S.; Wang, D.-Y.; Shi, B.; Li, J. Effect of Wetting–Drying Cycles on Profile Mechanical Behavior of Soils with Different Initial Conditions. Catena 2016, 139, 105–116. [Google Scholar] [CrossRef]
- Fan, Y.; Zheng, M.; Wu, J. A Study on the Shear Strength Characteristics and Microscopic Mechanism of Coal-Bearing Soil under Dry-Wet Cycles. Front. Earth Sci. 2023, 10, 1096980. [Google Scholar] [CrossRef]
- Yu, M.; Gui, Y.; Li, B. Modelling Soil-Water Retention Curves Subject to Multiple Wetting-Drying Cycles: An Approach for Expansive Soils. Comput. Geotech. 2024, 171, 106335. [Google Scholar] [CrossRef]
- Sun, Z.; Wu, C.; Qing, Y.; Li, S. Influence of Wetting-Drying Cycles on the Shear Strength Behavior of Electroosmotically Treated Soft Clay. Sci. Rep. 2025, 15, 5748. [Google Scholar] [CrossRef]
- Liu, S.; Huang, X.J.; Gan, L.; Zhang, Z.B.; Dong, Y.; Peng, X.H. Drying-Wetting Cycles Affect Soil Structure by Impacting Soil Aggregate Transformations and Soil Organic Carbon Fractions. Catena 2024, 243, 108188. [Google Scholar] [CrossRef]
- Gao, Z.; Kong, L.; Yan, J.; Wang, S. Effects of Drying-Wetting Cycles on Small-Strain Stiffness Characteristics of Fissured Clay. J. Rock Mech. Geotech. Eng. 2025, 17, 4618–4631. [Google Scholar] [CrossRef]
- Zhuo, Z.; Cai, W.; Zhu, C.; Tang, C.-S.; Roksana, K. Morphology Characterization of Unsaturated Soils under Drying-Wetting Cycles: Crack Opening and Closure. Acta Geotech. 2024, 19, 7287–7306. [Google Scholar] [CrossRef]
- Miao, L.; Jing, F.; Houston, S.L. Soil-Water Characteristic Curve of Remolded Expansive Soils. In Proceedings of the Fourth International Conference on Unsaturated Soils, Carefree, AZ, USA, 2–6 April 2006; pp. 997–1004. [Google Scholar] [CrossRef]
- Wen, T.; Shao, L.; Guo, X.; Zhao, Y. Experimental Investigations of the Soil Water Retention Curve under Multiple Drying-Wetting Cycles. Acta Geotech. 2020, 15, 3321–3326. [Google Scholar] [CrossRef]
- Xu, X.; Liu, D.; Xian, Z.; Yang, F.; Jian, W.; Xu, X.; Huang, J. Influence of Drying-Wetting Cycles on the Water Retention and Microstructure of Residual Soil. Geofluids 2022, 2022, 9948658. [Google Scholar] [CrossRef]
- Zhang, Q.; Zhang, H.; Wang, L.; Li, Q.; Yu, H. Effect of Structural Characteristics on the Stability of Multi-Weak Rock Slopes Considering the Spatial Variability of Geotechnical Parameters. Sci. Rep. 2024, 14, 30618. [Google Scholar] [CrossRef] [PubMed]
- Hu, B.W.; Hu, Q.Z.; Liu, Y.M.; Tao, G.L. Research on the Improvement of Granite Residual Soil Caused by Fly Ash and Its Slope Stability under Rainfall Conditions. Appl. Sci. 2024, 14, 3734. [Google Scholar] [CrossRef]
- Chen, C.; Yang, H.; Song, K.; Liang, D.; Zhang, Y.; Ni, J. Dissolution Feature Differences of Carbonate Rock within Hydro-Fluctuation Belt Located in the Three Gorges Reservoir Area. Eng. Geol. 2023, 327, 107362. [Google Scholar] [CrossRef]
- Lin, J.; Zhu, Y.; Hou, J.; Pan, B.; Chu, W.; Huang, W. Equivalent Continuum Coupling-Based Slope Stability Analysis of Zhouning Pumped Storage Power Station. Geofluids 2021, 2021, 9926751. [Google Scholar] [CrossRef]
- Wei, S.; Ji, F.; Ding, J.; Guan, M.; Lu, Y. Influence of Extremely Rapid Cyclic Reservoir Water Level Fluctuations on Bank Slope Stability: Insights from Model Testing and Numerical Simulation of a Pumped Storage Power Station Slope. Eng. Geol. 2025, 357, 108380. [Google Scholar] [CrossRef]
- GB/T50123-2019; Standard for Geotechnical Testing Method. China Architecture and Building Press: Beijing, China, 2019.
- Diel, J.; Vogel, H.-J.; Schlüter, S. Impact of Wetting and Drying Cycles on Soil Structure Dynamics. Geoderma 2019, 345, 63–71. [Google Scholar] [CrossRef]
- Shah, S.S.A.; Turrakheil, K.S.; Naveed, M. Impact of Wetting and Drying Cycles on the Hydromechanical Properties of Soil and Implications on Slope Stability. Atmosphere 2024, 15, 1368. [Google Scholar] [CrossRef]
- Wu, T.Y.; Xia, C.B.; Chen, H.; Xu, X.C.; Pan, D.M.; Chen, J. An Improved Double Chamber Triaxial Volume Change Measurement System for Unsaturated Soils. Front. Built Environ. 2025, 10, 1518953. [Google Scholar] [CrossRef]
- Radhey, S.S.; Longjie, H.; Sonal, S. Developments in Measurement of Volume Change in Triaxial Testing of Unsaturated Soils. Adv. Unsaturated Soil Seepage Environ. Geotech. 2006, 93–101. [Google Scholar] [CrossRef]
- Abd, I.A.; Fattah, M.Y.; Mekkiyah, H. Relationship between the Matric Suction and the Shear Strength in Unsaturated Soil. Case Stud. Constr. Mater. 2020, 13, e00441. [Google Scholar] [CrossRef]
- Shan, X.; Chen, H.; Ma, B.; Yu, Q.; Wang, Z.; Wang, Q. Analysis of Factors and Mechanisms Influencing the Matric Suction and Water-Holding Capacity of Carbonate Saline Soil. Water 2025, 17, 469. [Google Scholar] [CrossRef]
- Fredlund, D.G.; Xing, A. Equations for the Soil-Water Characteristic Curve. Can. Geotech. J. 1994, 31, 521–532. [Google Scholar] [CrossRef]
- Wang, S.; Liu, Y.; Wu, C.; Li, Y.; Zhang, R.; An, S.; Jiang, H.; Yao, Z. Investigation of Water Retention and Volumetric Deformation Characteristics of Soils Subjected to Wetting-Drying Cycles. Bull. Eng. Geol. Environ. 2025, 84, 155. [Google Scholar] [CrossRef]
- Li, B.; Dai, L.; Tan, Y.; Liu, C.; Tian, B.; Yang, J. Influence of Multiple Wetting-Drying Cycles on Water Retention and Pore Structure of Silt Loam from Reservoir Hydro-Fluctuation Belt: Experiments and Modeling. Bull. Eng. Geol. Environ. 2025, 84, 104. [Google Scholar] [CrossRef]
- Lu, Y.; Zhu, W.; Ye, G.; Zhang, F. A Unified Constitutive Model for Cemented/Non-Cemented Soils under Monotonic and Cyclic Loading. Acta Geotech. 2022, 17, 2173–2191. [Google Scholar] [CrossRef]
- Bai, B.; Zhou, R.; Cai, G.; Hu, W.; Yang, G. Coupled Thermo-Hydro-Mechanical Mechanism in View of the Soil Particle Rearrangement of Granular Thermodynamics. Comput. Geotech. 2021, 137, 104272. [Google Scholar] [CrossRef]
- Zhou, R.; Wang, B.; Han, S.; Wang, D.; Zhang, F. Mechanisms of Crack Development and Strength Deterioration in Compacted Expansive Soils under Controlled Wetting-Drying Conditions. Eng. Fail. Anal. 2024, 159, 108133. [Google Scholar] [CrossRef]
- Deng, X.; Zhu, Z.; Lin, X.Y.; Yang, X.Q. Effect of Matrix Suction on the Shear Strength Characteristics of Reinforced Granite Residual Soil. Front. Mater. 2023, 10, 1284722. [Google Scholar] [CrossRef]
- An, R.; Zhang, X.; Kong, L.; Liu, X.; Chen, C. Drying-Wetting Impacts on Granite Residual Soil: A Multi-Scale Study from Macroscopic to Microscopic Investigations. Bull. Eng. Geol. Environ. 2022, 81, 447. [Google Scholar] [CrossRef]
- Wu, D.; Liu, H.; Wang, C.; Xu, X.; Liu, X.; Wang, Q. The Interaction Effect of Particle Composition and Matric Suction on the Shear Strength Parameters of Unsaturated Granite Residual Soil. Arab. J. Sci. Eng. 2022, 47, 12453–12467. [Google Scholar] [CrossRef]
- Awad, M.; Sasanakul, I. Hysteresis Effects on Shear-Induced Suction and Strength of Unsaturated Clayey Sand and Silt. Geotech. Geol. Eng. 2025, 43, 523. [Google Scholar] [CrossRef]
- Bozyigit, I. Influence of Clay Mineralogy on Undrained Cyclic Strength of Sand with Fines. Eng. Sci. Technol. Int. J. 2024, 59, 101872. [Google Scholar] [CrossRef]
- Tan, D.; XU, X.; Wang, L.; Xu, J.; Shi, Q. Deformation Evolution and Failure Mechanism of Rainfall-Induced Granite Residual Soil Landsliding Event in Northern Guangdong, China. Landslides 2025, 22, 925–941. [Google Scholar] [CrossRef]
- Wang, R.; Li, H.; Chen, Z.; Liu, F.; Wei, M.; Liu, F.; Wang, Q.; Hu, C. Strength and Mechanism of Granite Residual Soil Strengthened by Microbial-Induced Calcite Precipitation Technology. Appl. Sci. 2023, 13, 8863. [Google Scholar] [CrossRef]
- Kholghifard, M.; Ahmad, K. Effect of Matric Suction and Density on Yield Stress, Compression Index and Collapse Potential of Unsaturated Granite Soil. KSCE J. Civ. Eng. 2021, 25, 2847–2854. [Google Scholar] [CrossRef]
- Shen, Z.; Jiang, M.; Thornton, C. Shear Strength of Unsaturated Granular Soils: Three-Dimensional Discrete Element Analyses. Granul. Matter 2016, 18, 37. [Google Scholar] [CrossRef]
Disclaimer/Publisher’s Note: The statements, opinions and data contained in all publications are solely those of the individual author(s) and contributor(s) and not of MDPI and/or the editor(s). MDPI and/or the editor(s) disclaim responsibility for any injury to people or property resulting from any ideas, methods, instructions or products referred to in the content. |
© 2026 by the authors. Licensee MDPI, Basel, Switzerland. This article is an open access article distributed under the terms and conditions of the Creative Commons Attribution (CC BY) license.












