Biodiversity Hotspots in Peri-Urban Areas: The Case of the Old-Growth Forest Kouri, Thessaloniki, Northern Greece
Abstract
1. Introduction
2. Materials and Methods
- Average annual precipitation 468 mm;
- Average annual air temperature: 15.5 °C;
- Warmest month: July;
- Coldest month: January.
2.1. Field Data Sampling
2.2. Statistical Analysis
3. Results
3.1. Ecosystem Composition
3.2. Ecosystem Structure
Stand Structure of the Different Forest Types
3.3. Forest Age and Tree Growth Pattern
4. Discussion
4.1. Biodiversity and Ecological Value: A Sanctuary Amid Urbanization
4.2. Stand Structure and Dynamics: Climax Forest Features in a Changing Environment
4.3. Growth Patterns and the Role of Human Pressure
4.4. Implications for Conservation and Urban Green Space Management
5. Conclusions
Author Contributions
Funding
Institutional Review Board Statement
Informed Consent Statement
Data Availability Statement
Conflicts of Interest
References
- Dobbs, C.; Eleuterio, A.A.; Amaya, J.D.; Montoya, J.; Kendal, D. The Benefits of Urban and Peri-Urban Forestry. Unasylva 2018, 69, 22–29. [Google Scholar]
- Alvey, A.A. Promoting and Preserving Biodiversity in the Urban Forest. Urban For. Urban Green. 2006, 5, 195–201. [Google Scholar] [CrossRef]
- Dobbs, C.; Escobedo, F.J.; Zipperer, W.C. A Framework for Developing Urban Forest Ecosystem Services and Goods Indicators. Landsc. Urban Plan. 2011, 99, 196–206. [Google Scholar] [CrossRef]
- Shackleton, S.; Chinyimba, A.; Hebinck, P.; Shackleton, C.; Kaoma, H. Multiple Benefits and Values of Trees in Urban Landscapes in Two Towns in Northern South Africa. Landsc. Urban Plan. 2015, 136, 76–86. [Google Scholar] [CrossRef]
- Colding, J.; Barthel, S. The Potential of ‘Urban Green Commons’ in the Resilience Building of Cities. Ecol. Econ. 2013, 86, 156–166. [Google Scholar] [CrossRef]
- Van Der Plas, F. Biodiversity and Ecosystem Functioning in Naturally Assembled Communities. Biol. Rev. 2019, 94, 1220–1245. [Google Scholar] [CrossRef]
- Nowak, D.J.; Hoehn, R.E.; Bodine, A.R.; Greenfield, E.J.; O’Neil-Dunne, J. Urban Forest Structure, Ecosystem Services and Change in Syracuse, NY. Urban Ecosyst. 2016, 19, 1455–1477. [Google Scholar] [CrossRef]
- Brockerhoff, E.G.; Barbaro, L.; Castagneyrol, B.; Forrester, D.I.; Gardiner, B.; González-Olabarria, J.R.; Lyver, P.O.; Meurisse, N.; Oxbrough, A.; Taki, H. Forest Biodiversity, Ecosystem Functioning and the Provision of Ecosystem Services. Biodivers. Conserv. 2017, 26, 3005–3035. [Google Scholar] [CrossRef]
- Palik, B.J.; D’Amato, A.W. Ecological Silviculture in an Era of Climate Change. J. For. 2025. Available online: https://link.springer.com/article/10.1007/s44392-025-00064-7 (accessed on 30 January 2025).
- Muntean, M.; Guizzardi, D.; Schaaf, E.; Crippa, M.; Solazzo, E.; Olivier, J.; Vignati, E. Fossil CO2 Emissions of All World Countries; Publications Office of the European Union: Luxembourg, 2018; p. 2. [Google Scholar]
- Krishnan, R.; Agarwal, R.; Bajada, C.; Arshinder, K. Redesigning a Food Supply Chain for Environmental Sustainability—An Analysis of Resource Use and Recovery. J. Clean. Prod. 2020, 242, 118374. [Google Scholar] [CrossRef]
- Wen, C.; Dong, W.; Zhang, Q.; He, N.; Li, T. A System Dynamics Model to Simulate the Water-Energy-Food Nexus of Resource-Based Regions: A Case Study in Daqing City, China. Sci. Total Environ. 2022, 806, 150497. [Google Scholar] [CrossRef]
- Petaloudi, L.M.; Ganatsas, P.; Tsakaldimi, M. Exploring Biodiversity and Disturbances in the of Peri-Urban Forests of Thessaloniki, Greece. Sustainability 2022, 14, 8497. [Google Scholar] [CrossRef]
- van Vliet, J. Direct and Indirect Loss of Natural Area from Urban Expansion. Nat. Sustain. 2019, 2, 755–763. [Google Scholar] [CrossRef]
- Chivulescu, S.; Cadar, N.; Hapa, M.; Capalb, F.; Radu, R.G.; Badea, O. The Necessity of Maintaining the Resilience of Peri-Urban Forests to Secure Environmental and Ecological Balance: A Case Study of Forest Stands Located on the Romanian Sector of the Pannonian Plain. Diversity 2023, 15, 380. [Google Scholar] [CrossRef]
- Nowak, D.J.; Walton, J.T.; Dwyer, J.F.; Kaya, L.G.; Myeong, S. The Increasing Influence of Urban Environments on US Forest Management. J. For. 2005, 103, 377–382. [Google Scholar] [CrossRef]
- Henwood, K.; Pidgeon, N. Talk about woods and trees: Threat of urbanization, stability, and biodiversity. J. Environ. Psychol. 2001, 21, 125–147. [Google Scholar] [CrossRef]
- Berger, F.; Rey, F. Mountain Protection Forests against Natural Hazards and Risks: New French Developments by Integrating Forests in Risk Zoning. Nat. Hazards 2004, 33, 395–404. [Google Scholar] [CrossRef]
- O’Hara, K.L. What Is Close-to-Nature Silviculture in a Changing World? For. Int. J. For. Res. 2016, 89, 1–6. [Google Scholar] [CrossRef]
- Qin, Y.; He, X.; Lei, X.; Feng, L.; Zhou, Z.; Lu, J. Tree Size Inequality and Competition Effects on Nonlinear Mixed Effects Crown Width Model for Natural Spruce-Fir-Broadleaf Mixed Forest in Northeast China. For. Ecol. Manag. 2022, 518, 120291. [Google Scholar] [CrossRef]
- Wonn, H.T.; O’Hara, K.L. Height:Diameter Ratios and Stability Relationships for Four Northern Rocky Mountain Tree Species. West. J. Appl. For. 2001, 16, 87–94. [Google Scholar] [CrossRef]
- Bosela, M.; Lukac, M.; Castagneri, D.; Sedmák, R.; Biber, P.; Carrer, M.; Konôpka, B.; Nola, P.; Nagel, T.A.; Popa, I.; et al. Contrasting Effects of Environmental Change on the Radial Growth of Co-Occurring Beech and Fir Trees across Europe. Sci. Total Environ. 2018, 615, 1460–1469. [Google Scholar] [CrossRef]
- Cukor, J.; Vacek, Z.; Vacek, S.; Linda, R.; Podrázský, V. Biomass Productivity, Forest Stability, Carbon Balance, and Soil Transformation of Agricultural Land Afforestation: A Case Study of Suitability of Native Tree Species in the Submontane Zone in Czechia. Catena 2022, 210, 105893. [Google Scholar] [CrossRef]
- Kastridis, A.; Margiorou, S.; Sapountzis, M. Check-Dams and Silt Fences: Cost-Effective Methods to Monitor Soil Erosion under Various Disturbances in Forest Ecosystems. Land 2022, 11, 2129. [Google Scholar] [CrossRef]
- Zervopoulou, A.; Pavlides, S. Geological Mapping in Urban Areas. A Case Study from the Inner City of Thessaloniki, Greece. Bull. Geol. Soc. Greece 2016, 50, 1023–1027. [Google Scholar] [CrossRef]
- Pietrzykowski, M.; Woś, B.; Pająk, M.; Likus-Cieślik, J. Assessment of Tree Vitality, Biomass and Morphology of Scots Pine (Pinus sylvestris L.) Root Systems Growing on Reclaimed Landfill Waste after Zinc and Lead Flotation. For. Res. Pap. 2018, 78, 323–331. [Google Scholar] [CrossRef]
- Zhou, Z.; Liu, H.; Yin, H.; Yang, Q.; Jiang, S.; Chen, R.; Qin, Y.; Yu, Q.; Wang, X. Dynamic Effects of Close-to-Nature Forest Management on the Growth Investment Strategies of Future Crop Trees. Forests 2025, 16, 523. [Google Scholar] [CrossRef]
- Ganatsas, P.; Thanasis, G. Pinus Halepensis Invasion in Pinus Pinea Habitat in Strofylia Forest (Site of NATURA 2000 Network), Southern Greece. J. Nat. Conserv. 2010, 18, 106–117. [Google Scholar] [CrossRef]
- Hogg, R.V.; Craig, A.T. Some Special Distributions. In Introduction to Mathematical Statistics; Pearson: Boston, MA, USA, 1978; pp. 156–168. [Google Scholar]
- Sharif, M.N.; Islam, M.N. The Weibull Distribution as a General Model for Forecasting Technological Change. Technol. Forecast. Soc. Change 1980, 18, 247–256. [Google Scholar] [CrossRef]
- Chivulescu, Ș.; Pitar, D.; Apostol, B.; Leca, Ș.; Badea, O. Importance of Dead Wood in Virgin Forest Ecosystem Functioning in Southern Carpathians. Forests 2022, 13, 409. [Google Scholar] [CrossRef]
- Stephens, M.A. Tests of Fit for the Logistic Distribution Based on the Empirical Distribution Function. Biometrika 1979, 66, 591–595. [Google Scholar] [CrossRef]
- Dafis, S. Classification of Forest Vegetation of Greece. In Scientific Annals of the Department of Forestry and Natural Environment; Aristotle University of Thessaloniki: Thessaloniki, Greece, 1973; Volume 15, pp. 57–91. [Google Scholar]
- Zerbe, S.; Maurer, U.; Schmitz, S.; Sukopp, H. Biodiversity in Berlin and Its Potential for Nature Conservation. Landsc. Urban Plan. 2003, 62, 139–148. [Google Scholar] [CrossRef]
- Chasapis, M. Flora and Vegetation of the Mountain Tzena. Ph.D. Thesis, Aristotle University of Thessaloniki, Thessaloniki, Greece, 2017; p. 203. [Google Scholar] [CrossRef]
- Schmidt, M.; Mölder, A.; Schönfelder, E.; Engel, F.; Schmiedel, I.; Culmsee, H. Determining Ancient Woodland Indicator Plants for Practical Use: A New Approach Developed in Northwest Germany. For. Ecol. Manag. 2014, 330, 228–239. [Google Scholar] [CrossRef]
- Scholz, T. Phytodiversity and Regulating Ecosystem Services of Urban Forests in the Ruhr Metropolitan Region (Northrine-Westphalia, Germany). Ph.D. Thesis, Ruhr-Universität Bochum, Bochum, Germany, 2022. [Google Scholar]
- Dupouey, J.-L.; Dambrine, É.; Laffite, J.-D.; Moares, C. Irreversible Impact of Past Land Use on Forest Soils and Biodiversity. Ecology 2002, 83, 2978–2984. [Google Scholar] [CrossRef]
- Härdtle, W.; von Oheimb, G.; Westphal, C. The Effects of Light and Soil Conditions on the Species Richness of the Ground Vegetation of Deciduous Forests in Northern Germany (Schleswig-Holstein). For. Ecol. Manag. 2003, 182, 327–338. [Google Scholar] [CrossRef]
- Mölder, A.; Streit, M.; Schmidt, W. When Beech Strikes Back: How Strict Nature Conservation Reduces Herb-Layer Diversity and Productivity in Central European Deciduous Forests. For. Ecol. Manag. 2014, 319, 51–61. [Google Scholar] [CrossRef]
- Meyer, K.M.; Wiegand, K.; Ward, D. Patch Dynamics Integrate Mechanisms for Savanna Tree–Grass Coexistence. Basic. Appl. Ecol. 2009, 10, 491–499. [Google Scholar] [CrossRef]
- Schmiedel, D.; Huth, F.; Wagner, S. Using Data from Seed-Dispersal Modelling to Manage Invasive Tree Species: The Example of Fraxinus Pennsylvanica Marshall in Europe. Environ. Manag. 2013, 52, 851–860. [Google Scholar] [CrossRef]
- Güler, B. Plant Species Diversity and Vegetation in Urban Grasslands Depending on Disturbance Levels. Biologia 2020, 75, 1231–1240. [Google Scholar] [CrossRef]
- Renaud, E.; Heraudet, V.; Deparis, M.; Basquin, H.; Bessa-Gomes, C.; Baudry, E. Non-Linear Effects of Landscape on Pollination Service and Plant Species Richness in a Peri-Urban Territory with Urban and Agricultural Land Use. Urban For. Urban Green. 2022, 68, 127454. [Google Scholar] [CrossRef]
- Uhl, B.; Schall, P.; Bässler, C. Achieving Structural Heterogeneity and High Multi-Taxon Biodiversity in Managed Forest Ecosystems: A European Review. Biodivers. Conserv. 2024, 34, 3327–3358. [Google Scholar] [CrossRef]
- Jactel, H.; Bauhus, J.; Boberg, J.; Bonal, D.; Castagneyrol, B.; Gardiner, B.; Gonzalez-Olabarria, J.R.; Koricheva, J.; Meurisse, N.; Brockerhoff, E.G. Tree Diversity Drives Forest Stand Resistance to Natural Disturbances. Curr. For. Rep. 2017, 3, 223–243. [Google Scholar] [CrossRef]
- Lafond, V.; Lagarrigues, G.; Cordonnier, T.; Courbaud, B. Uneven-Aged Management Options to Promote Forest Resilience for Climate Change Adaptation: Effects of Group Selection and Harvesting Intensity. Ann. For. Sci. 2014, 71, 173–186. [Google Scholar] [CrossRef]
- Müller, J.; Mitesser, O.; Cadotte, M.W.; van der Plas, F.; Mori, A.S.; Ammer, C.; Chao, A.; Scherer-Lorenzen, M.; Baldrian, P.; Bässler, C.; et al. Enhancing the Structural Diversity between Forest Patches—A Concept and Real-World Experiment to Study Biodiversity, Multifunctionality and Forest Resilience across Spatial Scales. Glob. Chang. Biol. 2023, 29, 1437–1450. [Google Scholar] [CrossRef] [PubMed]
- Polinko, A.D.; Willis, J.L.; Sharma, A.; Guldin, J.M. Stand-Level Structural Characteristics Dictate Hurricane Resistance and Resilience More than Silvicultural Regime in Longleaf Pine Woodlands. For. Ecol. Manag. 2022, 526, 120585. [Google Scholar] [CrossRef]
- Richnau, G.; Wiström, B.; Nielsen, A.B.; Löf, M. Creation of Multi-Layered Canopy Structures in Young Oak-Dominated Urban Woodlands—The ‘Ecological Approach’ Revisited. Urban For. Urban Green. 2012, 11, 147–158. [Google Scholar] [CrossRef]
- Donato, D.C.; Campbell, J.L.; Franklin, J.F. Multiple Successional Pathways and Precocity in Forest Development: Can Some Forests Be Born Complex? J. Veg. Sci. 2012, 23, 576–584. [Google Scholar] [CrossRef]
- Larondelle, N.; Haase, D. Back to Nature! Or Not? Urban Dwellers and Their Forest in Berlin. Urban. Ecosyst. 2017, 20, 1069–1079. [Google Scholar] [CrossRef]
- Thomas, R.C.; Kirby, K.J.; Reid, C.M. The Conservation of a Fragmented Ecosystem within a Cultural Landscape—The Case of Ancient Woodland in England. Biol. Conserv. 1997, 82, 243–252. [Google Scholar] [CrossRef]
- Moreau, G.; Chagnon, C.; Achim, A.; Caspersen, J.; D’Orangeville, L.; Sánchez-Pinillos, M.; Thiffault, N. Opportunities and Limitations of Thinning to Increase Resistance and Resilience of Trees and Forests to Global Change. Forestry 2022, 95, 595–615. [Google Scholar] [CrossRef]















| Woody Species | Herb Species | |
|---|---|---|
| Quercus frainetto Quercus pubescens Quercus cerris Quercus coccifera Acer monspessulanum Carpinus orientalis Cornus mas Ostria carpinifolia Phillyrea latifolia Fraxinus ornus Fraxinus angustifolia Juniperus communis Juniperus oxycedrus Paliurus spina-christi Pirus amygdalοformis Pyrus communis Pyrus spinosa Platanus orientalis Prunus domestica Prunus spinosa Ligustrum vulgare Punica granatum Ulmus minor | Achillea millefolium Agrostis alba Alopecurus pratensis Arimonia agrimonides Asparagus acutifolius Avena fatua Brachypodium sylvaticum Cardus pycnocephalus Clematis vitalba Convolvulus arvensis Dactylis glomerata Doronicum orientale Festuca heterophylla Filipendula vulgaris Fragaria vesca Hedera hélix Helleborus cyclophyllus Hieracium bauhini Hieracium murorum Hordeum murinum Galium aparine Galium verum subsp. Verum Geranium lucidum Jasminum fruticans Koeferia cristata Lamium maculatum Lapsana communis Lathyrus laxiflorus Lathyrus venetus Leontodon cichoraceus Leontodon cripus Lonicera etrusca Malva sylvestris Medicago mínima Mentha pulegium Moehringia trinervia Muscari comosum Muscari neglectum Mycelis muralis Myosotis ramossisima Phalaris tuberosa Plantago lanceolata Plantago major Poa nemoralis Poa pratensis | Primula veris Pteridium aquilinum Ranunculus neapolitanus Ranunculus repens Rosa arvensis Rubus canescens Rumex acetosella subsp. Acetoselloides Rumex pulcher subsp. pulcher Ruscus aculeatus Salvia sclarea Sanguisorba minor Satureja (clinopodium) suaveolens Sedum amplexicaule subsp. Tenuifolium Silene italica Silene latifolia Symphytum bulbosum Potentilla micrantha Tanacetum corymbosum Taraxacum officinale Teucrium chamaedrys Teucrium polium subsp. capitatum Thymus sibthorpii Thymus vulgaris Trifolium alpestre Trifolium campestre Trifolium pignantii Trifolium pratense Trifolium repens Trisetum flavescens Umbilicus ruprestris Verbascum nigrum Verbascum sinuatum Veronica chamaedrys Veronica serpylifolia subsp. serpylifolia Vicia villosa Vincetoxicum hirundinaria Viola alba Viola kitaibeliana Viola reichinbahiana Viola riviniana |
| Forest Type | Maximum Tree Age Years | Total stand Density N/ha | Mean Tree Diameter of Dominant Storey (cm) | Mean Tree Height of Dominant Storey (m) | Mean Tree Crown (m) |
|---|---|---|---|---|---|
| Q. frainetto stands | 180 | 1720 (300.4) a | 32.8 (4.1) a | 16.1 (2.6) a | 16.7 (2.8) ab |
| Q. pubescens stands | 131 | 1200 (152.2) b | 31.1 (3.2) b | 12.6 (2.0) b | 18.5 (2.5) a |
| Mixed oak stands with C. orientalis | 120 | 1380 (160.8) b | 27.2 (3.4) c | 12.4 (1.9) b | 14.8 (2.1) b |
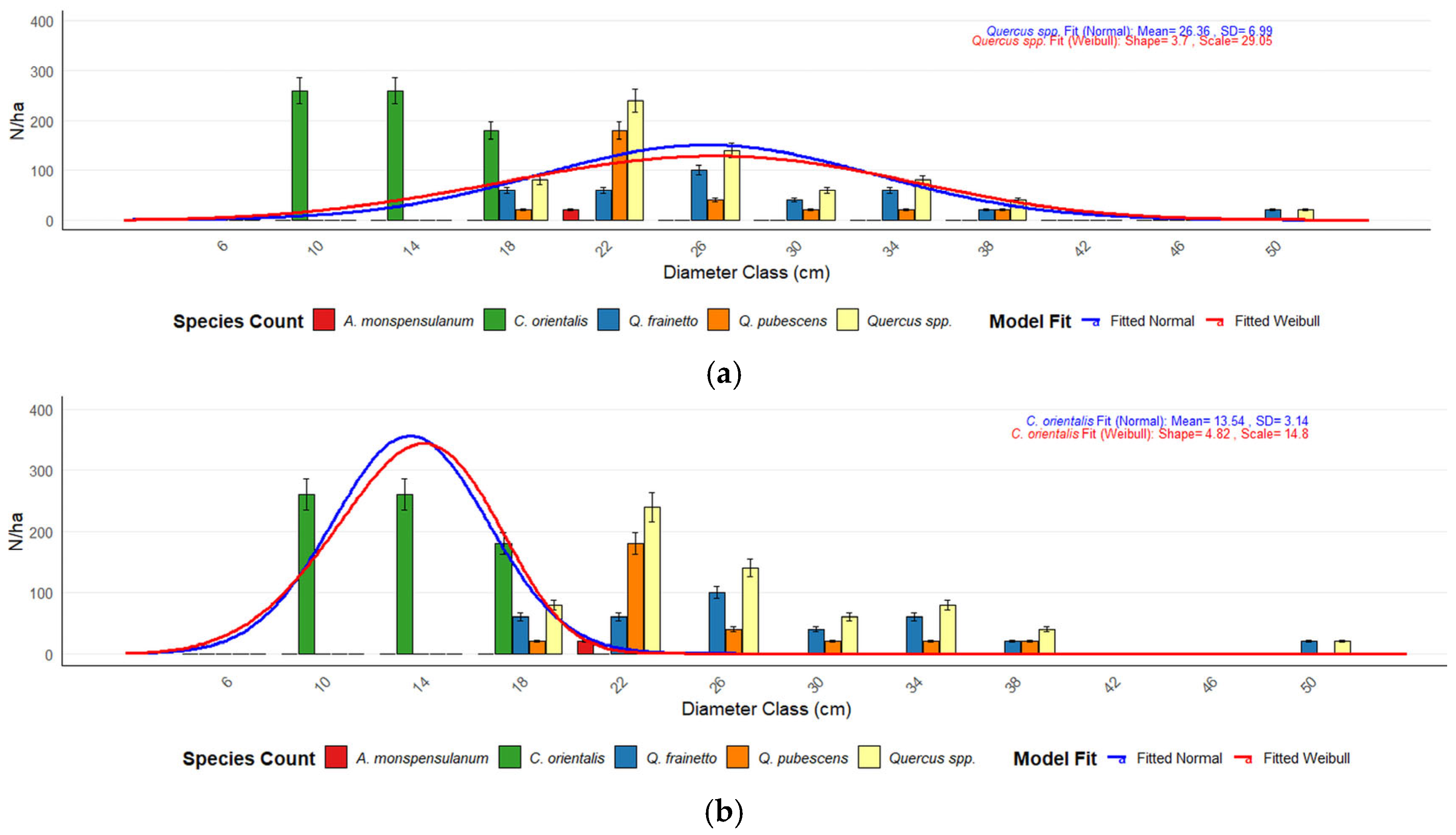
| Forest Type | Distribution | KS Test | AIC | Preferred Model | ||
|---|---|---|---|---|---|---|
| D-Statistic | p-Value | Normal | Weibull | |||
| Q. frainetto | Normal | 0.177 | 0.552 | 5015.3 | 5012.7 | Weibull |
| Weibull | 0.174 | 0.575 | ||||
| Q. pubescens | Normal | 0.184 | 0.490 | 4195.1 | 4193.0 | Weibull |
| Weibull | 0.179 | 0.536 | ||||
| Quercus spp. (mixed stands) | Normal | 0.290 | 0.076 | 2985.9 | 2970.4 | Weibull |
| Weibull | 0.252 | 0.176 | ||||
| C. orientalis | Normal | 0.444 | <0.001 | 4687.2 | 4683.2 | Weibull |
| Weibull | 0.399 | 0.004 | ||||
Disclaimer/Publisher’s Note: The statements, opinions and data contained in all publications are solely those of the individual author(s) and contributor(s) and not of MDPI and/or the editor(s). MDPI and/or the editor(s) disclaim responsibility for any injury to people or property resulting from any ideas, methods, instructions or products referred to in the content. |
© 2026 by the authors. Licensee MDPI, Basel, Switzerland. This article is an open access article distributed under the terms and conditions of the Creative Commons Attribution (CC BY) license.
Share and Cite
Petros, G.; Maria-Iiada, C.; Marianthi, T.; Nikolaos, O. Biodiversity Hotspots in Peri-Urban Areas: The Case of the Old-Growth Forest Kouri, Thessaloniki, Northern Greece. Sustainability 2026, 18, 749. https://doi.org/10.3390/su18020749
Petros G, Maria-Iiada C, Marianthi T, Nikolaos O. Biodiversity Hotspots in Peri-Urban Areas: The Case of the Old-Growth Forest Kouri, Thessaloniki, Northern Greece. Sustainability. 2026; 18(2):749. https://doi.org/10.3390/su18020749
Chicago/Turabian StylePetros, Ganatsas, Christidou Maria-Iiada, Tsakaldimi Marianthi, and Oikonomakis Nikolaos. 2026. "Biodiversity Hotspots in Peri-Urban Areas: The Case of the Old-Growth Forest Kouri, Thessaloniki, Northern Greece" Sustainability 18, no. 2: 749. https://doi.org/10.3390/su18020749
APA StylePetros, G., Maria-Iiada, C., Marianthi, T., & Nikolaos, O. (2026). Biodiversity Hotspots in Peri-Urban Areas: The Case of the Old-Growth Forest Kouri, Thessaloniki, Northern Greece. Sustainability, 18(2), 749. https://doi.org/10.3390/su18020749

