Managing Strategic Interactions for a Circular Economy: An Evolutionary Game Analysis of a Dynamic Deposit-Refund System in Electric Vehicle Battery Recycling
Abstract
1. Introduction
2. Literature Review
2.1. EPR for the Recycling of Power Batteries
2.2. The DRS
2.3. Evolutionary Game-Theoretic Method
2.4. Research Gap
3. Model Preliminaries
3.1. Problem Description
3.2. Model Assumptions
- (1)
- If enterprises Fulfill EPR, they incur a unit recovery cost (covering network construction, storage, transportation, etc.) and gain formal revenue (from cascade utilization or dismantling), an environmental preference benefit , and a reputational benefit . They also receive a refund of ().
- (2)
- If enterprises Do Not Fulfill EPR, they may gain revenue by outsourcing to informal recyclers but forfeit the deposit . This action imposes an environmental governance cost on the local government.
- (1)
- If local government Implement DRS, they incur human resource costs (for verification/admin) and a time cost (reflecting opportunity costs). They gain a social reputation benefit if enterprises fulfill EPR.
- (2)
- If enterprises Do Not Fulfill EPR and local government Has Not Implemented DRS, local government bears the environmental cost .
3.3. Model Construction
- (1)
- Replicator dynamics for responsible enterprises
- (2)
- Replicator dynamics for local government
- (3)
- The replicator dynamic system
4. Model Solution and Analysis
4.1. ESS Analysis of Responsible Enterprises
- ①
- if , , , making the ESS.
- ②
- if , , , making the ESS.
4.2. ESS Analysis of Local Government
- ①
- if , and , making the ESS.
- ②
- if , , making the ESS.
4.3. ESS Analysis Between Responsible Enterprises and Local Government
5. Evolutionary Game Analysis Under Dynamic DRS
5.1. ESS Analysis Under Dynamic DRS
5.2. Determinants of the Equilibrium Probability of an Ideal Scenario
5.3. System Dynamics (SD) Simulation
5.3.1. Data Source
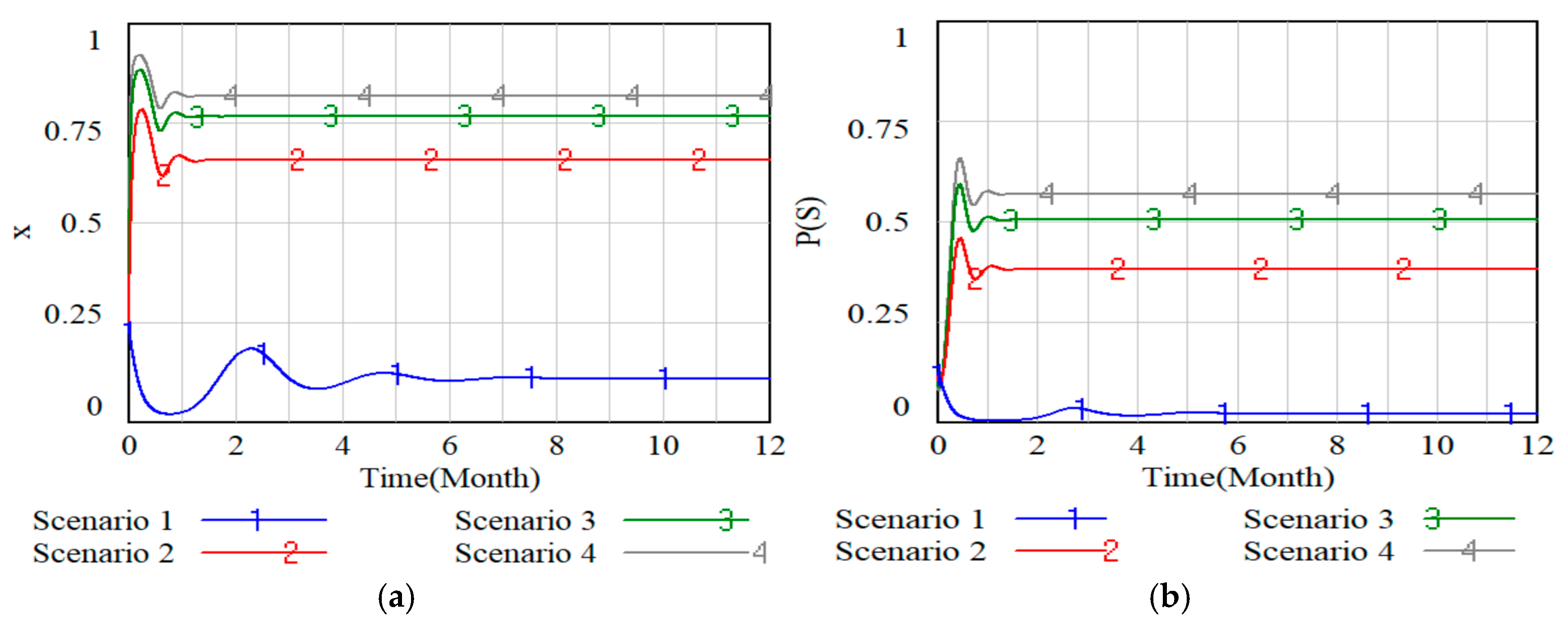
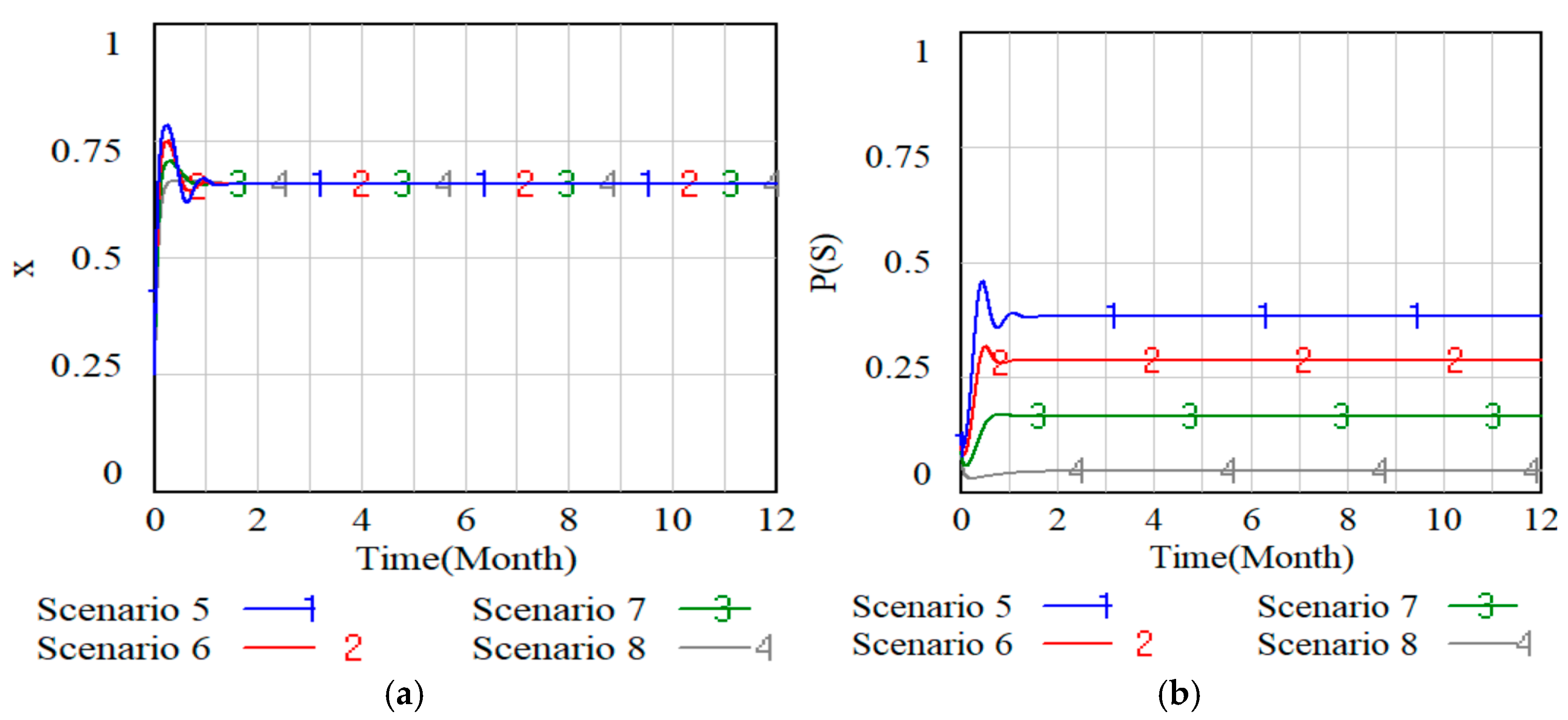
5.3.2. Simulation Analysis
6. Sensitivity Analysis and Discussion
6.1. The Impact of
6.2. The Impact of and
6.3. The Impact of , and
7. Conclusions and Management Implications
Author Contributions
Funding
Data Availability Statement
Acknowledgments
Conflicts of Interest
Abbreviations
| EPR | Extended Producer Responsibility |
| DRS | Deposit-Refund System |
| EV | Electric Vehicle |
| ESS | Evolutionarily Stable Strategy |
| SD | System Dynamics |
| MIIT | Ministry of Industry and Information Technology |
| PV | Photovoltaic |
| IoT | Internet of Things |
| RMB | Renminbi |
| GWh | Gigawatt-hour |
| TWh | Terawatt-hour |
| kWh | Kilowatt-hour |
Appendix A
Appendix B
Appendix C
References
- Jiao, N.; Evans, S. Secondary use of electric vehicle batteries and potential impacts on business models. J. Ind. Prod. Eng. 2016, 33, 348–354. [Google Scholar] [CrossRef]
- Zhang, J.; Huang, J. Vehicle product-line strategy under government subsidy programs for electric/hybrid vehicles. Transp. Res. Part E Logist. Transp. Rev. 2021, 146, 102221. [Google Scholar] [CrossRef]
- Stekelberg, J.; Vance, T. The effect of transferable tax benefits on consumer intent to purchase an electric vehicle. Energy Policy 2024, 186, 113936. [Google Scholar] [CrossRef]
- Gong, B.; Gao, Y.; Li, K.W.; Huang, J. Cooperate or compete? A strategic analysis of formal and informal electric vehicle battery recyclers under government intervention. Int. J. Logist. Res. Appl. 2024, 27, 149–169. [Google Scholar] [CrossRef]
- Luo, J.; Yang, Y.; Jiang, Y. Assessing the Antecedents, Processes, and Consequences of Sustainable Electric Vehicle Battery Recycling: A Systematic Literature Review. Int. J. Prod. Econ. 2025, 282, 109551. [Google Scholar] [CrossRef]
- Zhang, Q.; Huang, Z.; Liu, B.; Ma, T. Sustainable lithium supply for electric vehicle development in China towards carbon neutrality. Energy 2025, 320, 135243. [Google Scholar] [CrossRef]
- Azadnia, A.H.; Onofrei, G.; Ghadimi, P. Electric vehicles lithium-ion batteries reverse logistics implementation barriers analysis: A TISM-MICMAC approach. Resour. Conserv. Recycl. 2021, 174, 105751. [Google Scholar] [CrossRef]
- IEA. Global EV Outlook 2024; IEA: Paris, France, 2024; Available online: https://www.iea.org/reports/global-ev-outlook-2024 (accessed on 23 April 2024).
- Glock, C.H. Decision support models for managing returnable transport items in supply chains: A systematic literature review. Int. J. Prod. Econ. 2017, 183, 561–569. [Google Scholar] [CrossRef]
- Moawad, K.; Hummieda, A.; Musamih, A.; Salah, K. Blockchain and NFTs: Revolutionizing critical material recycling from end-of-life lithium-ion batterie. Resour. Conserv. Recycl. Adv. 2025, 27, 200258. [Google Scholar] [CrossRef]
- Christensen, P.A.; Anderson, P.A.; Harper, G.D.; Lambert, S.M.; Mrozik, W.; Rajaeifar, M.A.; Wise, M.S.; Heidrich, O. Risk management over the life cycle of lithium-ion batteries in electric vehicles. Renew. Sustain. Energy Rev. 2021, 148, 111240. [Google Scholar] [CrossRef]
- Ren, H. What Is the Progress of Power Battery Recycling When the ‘‘Retired Tide’’ is Arriving? 2019. Available online: https://www.d1ev.com/news/shichang/93529 (accessed on 30 June 2019).
- CarNewsChina.com. Analysis of China’s Power Battery Installed Capacity from January to October in 2024. 2025. Available online: https://electrification-solutions.com/analysis-of-chinas-power-battery-installed-capacity-from-january-to-october-in-2024/ (accessed on 15 November 2024).
- Zhu, H.; Hu, J.; Yang, Y. Towards a circular supply chain for retired electric vehicle batteries: A systematic literature review. Int. J. Prod. Econ. 2025, 282, 109556. [Google Scholar] [CrossRef]
- Zhang, C.; Chen, Y.-X.; Tian, Y.-X. Collection and recycling decisions for electric vehicle end-of-life power batteries in the context of carbon emissions reduction. Comput. Ind. Eng. 2024, 175, 108869. [Google Scholar] [CrossRef]
- Tang, Y.; Zhang, Q.; Li, Y.; Wang, Y.; Li, Y. Recycling mechanisms and policy suggestions for spent electric vehicles’ power battery-A case of Beijing. J. Clean. Prod. 2018, 186, 388–406. [Google Scholar] [CrossRef]
- Wang, Y.; Dong, B.; Ge, J. How can the recycling of power batteries for EVs be promoted in China? A multiparty cooperative game analysis. Waste Manag. 2024, 186, 64–76. [Google Scholar] [CrossRef]
- Gu, X.; Ieromonachou, P.; Zhou, L.; Tseng, M. Optimising quantity of manufacturing and remanufacturing in an electric vehicle battery closed-loop supply chain. Ind. Manag. Data Syst. 2018, 118, 283–302. [Google Scholar] [CrossRef]
- Wu, Y.; Yang, L.; Tian, X.; Li, Y.; Zuo, T. Temporal and spatial analysis for end-of-life power batteries from electric vehicles in China. Resour. Conserv. Recycl. 2020, 155, 104651. [Google Scholar] [CrossRef]
- Mrozik, W.; Rajaeifar, M.A.; Heidrich, O.; Christensen, P. Environmental impacts, pollution sources and pathways of spent lithium-ion batteries. Energy Environ. Sci. 2021, 14, 6099–6121. [Google Scholar] [CrossRef]
- Zhang, C.; Li, H.; Tian, Y. Manufacturer’s carbon abatement strategy and selection of spent power battery collecting mode based on echelon utilization and cap-and-trade policy. Comput. Ind. Eng. 2023, 177, 109079. [Google Scholar] [CrossRef]
- Li, Z.; Wei, J. Policy optimization and practical applications in blockchain-enabled electric vehicle battery recycling system. Comput. Ind. Eng. 2025, 204, 111119. [Google Scholar] [CrossRef]
- Zhu, M.; Liu, Z.; Li, J.; Zhu, S.X. Electric vehicle battery capacity allocation and recycling with downstream competition. Eur. J. Oper. Res. 2020, 283, 365–379. [Google Scholar] [CrossRef]
- Hoarau, Q.; Lorang, E. An assessment of the European regulation on battery recycling for electric vehicles. Energy Policy 2022, 162, 112770. [Google Scholar] [CrossRef]
- Khetriwal, D.S.; Kraeuchi, P.; Widmer, R. Producer responsibility for e-waste management: Key issues for consideration–learning from the Swiss experience. J. Environ. Manag. 2009, 90, 153–165. [Google Scholar] [CrossRef]
- Yu, R.; Cong, L.; Hui, Y.; Zhao, D.; Yu, B. Life cycle CO2 emissions for the new energy vehicles in China drawing on the reshaped survival pattern. Sci. Total Environ. 2022, 826, 154102. [Google Scholar] [CrossRef]
- Mallick, P.; Salling, K.; Pigosso, D.; McAloone, T. Designing and operationalising extended producer responsibility under the EU Green Deal. Environ. Chall. 2024, 16, 100977. [Google Scholar] [CrossRef]
- Turner, J.M.; Nugent, L.M. Charging up battery recycling policies: Extended producer responsibility for single-use batteries in the European union, Canada, and the United States. J. Ind. Ecol. 2016, 20, 1148–1158. [Google Scholar] [CrossRef]
- Leal, F.; Saari, U.; Fedoruk, M.; Iital, A.; Moora, H.; Klöga, M.; Voronova, V. An overview of the problems posed by plastic products and the role of extended producer responsibility in Europe. J. Clean. Prod. 2019, 214, 550–558. [Google Scholar] [CrossRef]
- Ministry of Industry and Information Technology of China. 2018. Available online: https://www.miit.gov.cn/jgsj/jns/zhlyh/art/2020/art_02610d5fcf774495afb4776cbb1e565b.html (accessed on 2 February 2018).
- Ministry of Industry and Information Technology of China. 2023. Available online: https://www.miit.gov.cn/jgsj/jns/gzdt/art/2023/art_43c4326b13974aa2b78045c85d7bc583.html (accessed on 15 December 2023).
- Wei, L. How to facilitate the recycling of retired electric vehicle batteries in China? A policy simulation based on system dynamics. J. Mater. Cycles Waste Manag. 2025, 27, 3749–3761. [Google Scholar] [CrossRef]
- Tang, Y.; Zhang, Q.; Liu, B.; Li, Y.; Ni, R.; Wang, Y. What influences residents’ intention to participate in the electric vehicle battery recycling? Evidence from China. Energy 2023, 276, 127563. [Google Scholar] [CrossRef]
- Liu, C.; Wang, H.; Tang, J.; Chang, C.; Liu, Z. Optimal recovery model in a used batteries closed-loop supply chain considering uncertain residual capacity. Transp. Res. Part E-Logist. Transp. Rev. 2021, 156, 102516. [Google Scholar] [CrossRef]
- Agnusdei, G.; Gnoni, M.; Sgarbossa, F. Are deposit-refund systems effective in managing glass packaging? State of the art and future directions in Europe. Sci. Total Environ. 2022, 851, 158256. [Google Scholar] [CrossRef]
- D’Adamo, I.; Gastaldi, M.; Rosa, P. Recycling of end-of-life vehicles: Assessing trends and performances in Europe. Technol. Forecast. Soc. Change 2020, 152, 119887. [Google Scholar] [CrossRef]
- Li, J.; Liu, Z.; Wang, X. Public charging station localization and route planning of electric vehicles considering the operational strategy: A bi-level optimizing approach. Sustain. Cities Soc. 2022, 87, 104153. [Google Scholar] [CrossRef]
- Zeng, X.; Li, J.; Liu, L. Solving spent lithium-ion battery problems in China: Opportunities and challenges. Renew. Sustain. Energy Rev. 2015, 52, 1759–1767. [Google Scholar] [CrossRef]
- Compagnoni, M.; Grazzi, M.; Pieri, F.; Tomasi, C. Extended producer responsibility and trade flows in waste: The case of batteries. Environ. Resour. Econ. 2025, 88, 43–76. [Google Scholar] [CrossRef]
- Yang, J.; Jiang, Q.; Zhang, J. Bridging the regulatory gap: A policy review of extended producer responsibility for power battery recycling in China. Energy Sustain. Dev. 2025, 86, 101697. [Google Scholar] [CrossRef]
- Chaudhary, S.; Jain, A. Organizational Sustainability: Extended Producer Responsibility Implementation in India. Int. J. Glob. Bus. Compet. 2023, 18, 19–27. [Google Scholar] [CrossRef]
- He, L.; Sun, B. Exploring the EPR system for power battery recycling from a supply-side perspective: An evolutionary game analysis. Waste Manag. 2022, 140, 204–212. [Google Scholar] [CrossRef]
- Yan, Y.; Cao, J.; Zhou, Y.; Zhou, G.; Chen, J. Decisions for power battery closed-loop supply chain: Cascade utilization and extended producer responsibility. Ann. Oper. Res. 2024. [Google Scholar] [CrossRef]
- Xu, F.; Tan, K. Optimal decisions of closed-loop electric vehicle batteries supply chains under extended producer responsibility policies. Int. J. Syst. Sci. Oper. Logist. 2025, 12, 2437153. [Google Scholar] [CrossRef]
- Qi, X.; Liu, Z.; Li, T. Design incentives of extended producer responsibility for electric vehicle producers with competition and cooperation. Omega-Int. J. Manag. Sci. 2025, 133, 103266. [Google Scholar] [CrossRef]
- Faibil, D.; Asante, R.; Agyemang, M.; Addanev, C.; Baah, C. Extended producer responsibility in developing economies: Assessment of promoting factors through retail electronic firms for sustainable e-waste management. Waste Manag. Res. 2023, 41, 117–142. [Google Scholar] [CrossRef]
- Leclerc, S.; Badami, M. Extended producer responsibility: An empirical investigation into municipalities’ contributions to and perspectives on e-waste management. Environ. Policy Gov. 2024, 34, 111–124. [Google Scholar] [CrossRef]
- Flygansvær, B.; Dahlstrom, R. Enhancing circular supply chains via ecological packaging: An empirical investigation of an extended producer responsibility network. J. Clean. Prod. 2024, 468, 142948. [Google Scholar] [CrossRef]
- Sui, Y.; Sun, Q.; Zhu, X. Optimising express packaging recycling: A tripartite evolutionary game modelling government strategies under extended producer responsibility. Environ. Technol. Innov. 2024, 33, 103510. [Google Scholar] [CrossRef]
- Pruess, J.; Garrett, R. Potential effectiveness of extended producer responsibility: An ex-ante policy impact analysis for plastic packaging waste in Belgium, France, and Germany. Resour. Conserv. Recycl. 2025, 219, 108297. [Google Scholar] [CrossRef]
- Tang, O.; Liu, Y.; Guo, Z.; Wei, S. Refund policies and core classification errors in the presence of customers’ choice behavior in remanufacturing. Int. J. Prod. Res. 2021, 59, 3553–3571. [Google Scholar] [CrossRef]
- Miao, S.; Zhang, Q.; Liu, C.; Wang, L. Can the deposit-return scheme promote recycling of waste PV modules in China? Analysis of an evolutionary game. Sol. Energy 2023, 265, 112136. [Google Scholar] [CrossRef]
- Wang, J.; Wang, Y.; Zhang, S.; Zhang, M. Effects of fund policy incorporating Extended Producer Responsibility for WEEE dismantling industry in China. Resour. Conserv. Recycl. 2018, 130, 44–50. [Google Scholar] [CrossRef]
- Berck, P.; Sears, M.; Taylor, R.; Trachtman, C.; Villas-Bass, S. Reduce, reuse, redeem: Deposit-refund recycling programs in the presence of alternatives. Ecol. Econ. 2024, 217, 108080. [Google Scholar] [CrossRef]
- Guo, X.; Li, X.; Bian, J.; Yang, C. Deposit or reward: Express packaging recycling for online retailing platforms. Omega-Int. J. Manag. Sci. 2023, 117, 102828. [Google Scholar] [CrossRef]
- Li, X.; Mu, D.; Du, J.; Cao, J.; Zhao, F. Game-based system dynamics simulation of deposit-refund scheme for electric vehicle battery recycling in China. Resour. Conserv. Recycl. 2020, 157, 104788. [Google Scholar] [CrossRef]
- Wang, J.; Li, W.; Nozomu, M.; Adachi, T. Closed-loop supply chain under different channel leaderships: Considering different deposit–refund systems practically applied in China. J. Mater. Cycles Waste 2021, 23, 1765–1776. [Google Scholar] [CrossRef]
- Li, X.; Du, J.; Liu, P.; Wang, C.; Hu, X.; Ghadimi, P. Optimal choice of power battery joint recycling strategy for electric vehicle manufacturers under a deposit-refund system. Int. J. Prod. Res. 2023, 61, 7281–7301. [Google Scholar] [CrossRef]
- Liu, Q.; Zhu, X. Incentive strategies for retired power battery closed-loop supply chain considering corporate social responsibility. Environ. Dev. Sustain. 2024, 26, 19013–19050. [Google Scholar] [CrossRef]
- Cui, M.; Wang, Y. Research on New Energy Vehicle Power Battery Recycling Deposit System Based on Evolutionary Game Perspective. Sustainability 2025, 17, 3928. [Google Scholar] [CrossRef]
- Wu, W.; Li, M.; Yang, Y.; Wang, S.; Huang, G. Optimal deposit-return strategies for the recycling of spent electric automobile battery: Manufacturer, retailer, or consumer. Transp. Policy 2025, 164, 92–103. [Google Scholar] [CrossRef]
- Wu, W.; Zhang, M.; Jin, D.; Ma, P.; Wu, W.; Zhang, X. Decision-making analysis of electric vehicle battery recycling under different recycling models and deposit-refund scheme. Comput. Ind. Eng. 2024, 191, 110109. [Google Scholar] [CrossRef]
- Wu, W.; Li, M.; Huang, G. Optimal Recovery Mode for New Energy Vehicle Battery Recycling Under Government Policies. Manag. Decis. Econ. 2025, 46, 2629–2642. [Google Scholar] [CrossRef]
- Li, J.; Wang, Z.; Li, H.; Jiao, J. Which policy can effectively promote the formal recycling of power batteries in China? Energy 2024, 299, 131445. [Google Scholar] [CrossRef]
- Zhang, M.; Wu, W.; Song, Y. Study on the impact of government policies on power battery recycling under different recycling models. J. Clean. Prod. 2023, 413, 137492. [Google Scholar] [CrossRef]
- Islam, M.; Ali, A.; Qadir, S.; Shahid, M. Policy and regulatory perspectives of waste battery management and recycling: A review and future research agendas. Waste Manag. Bull. 2025, 3, 301–331. [Google Scholar] [CrossRef]
- Wu, W.; Li, M.; Huang, G. Comparisons of government policies for electric automobile battery recycling using system dynamics. Waste Manag. 2025, 203, 114892. [Google Scholar] [CrossRef]
- Cao, G.; Zhao, X.; Gao, H.; Tang, M. A game theory analysis of intelligent transformation and sales mode choice of the logistics service provider. Adv. Prod. Eng. Manag. 2023, 18, 327–344. [Google Scholar] [CrossRef]
- Friedman, D. Evolutionary games in economics. Econometrica 1991, 59, 637–666. [Google Scholar] [CrossRef]
- Ji, S.; Zhao, D.; Luo, R. Evolutionary game analysis on local governments and manufacturers’ behavioral strategies: Impact of phasing out subsidies for new energy vehicles. Energy 2019, 189, 116064. [Google Scholar] [CrossRef]
- Deng, X.; Zhang, X.; Wang, Y.; Wang, L. Research on Decision of Echelon Utilization of Retired Power Batteries Under Government Regulation. World Electr. Veh. J. 2025, 16, 390. [Google Scholar] [CrossRef]
- Sun, Q.; Chen, H.; Long, R.; Yang, J. Who will pay for the “bicycle cemetery”? Evolutionary game analysis of recycling abandoned shared bicycles under dynamic reward and punishment. Eur. J. Oper. Res. 2023, 305, 917–929. [Google Scholar] [CrossRef]
- Gao, H.; Liu, S.; Gong, D.; Cao, G. Optimization decision on informal recycling channel of electric vechicle batteries and supervision strategy. Appl. Ecol. Environ. Res. 2019, 17, 1589–1623. [Google Scholar] [CrossRef]
- Lyu, X.; Xu, Y.; Sun, D. An evolutionary game research on cooperation mode of the NEV power battery recycling and gradient utilization alliance in the context of China’s NEV power battery retired tide. Sustainability 2021, 13, 4165. [Google Scholar] [CrossRef]
- Zhang, H.; Zhu, K.; Hang, Z.; Zhou, D.; Zhou, Y.; Xu, Z. Waste battery-to-reutilization decisions under government subsidies: An evolutionary game approach. Energy 2022, 259, 124835. [Google Scholar] [CrossRef]
- Tang, Y.; Tao, Y.; Li, Y. Collection policy analysis for retired electric vehicle batteries through agent-based simulation. J. Clean. Prod. 2023, 382, 135269. [Google Scholar] [CrossRef]
- Du, B.; Hou, H.; Xu, H.; Zhang, M. How to solve the problem of irregular recycling of spent lead-acid batteries in China?—An analysis based on evolutionary game theory. J. Clean. Prod. 2023, 421, 138514. [Google Scholar] [CrossRef]
- Wang, Z.; Wu, F.; Zhang, W.; Ke, S.; Wang, X. Multi-agent behavioral strategy game and synergy evolution path of the retired power battery recycling system. Manag. Decis. Econ. 2024, 45, 3993–4011. [Google Scholar] [CrossRef]
- Tian, X.; Tan, H.; Xie, J.; Xia, Z.; Liu, L. Design and simulation of a cross-regional collaborative recycling system for secondary resources: A case of lead-acid batteries. J. Environ. Manag. 2023, 348, 119181. [Google Scholar] [CrossRef] [PubMed]













| Research Paper | Battery Recycling | EPR Environmental | Deposit System | Dynamic Evolution | Policy Adjustment |
|---|---|---|---|---|---|
| Xu and Tang. (2025) [44] | ✓ | ✓ | |||
| Li et al. (2020) [56] | ✓ | ✓ | |||
| Miao et al. (2023) [52] | ✓ | ✓ | ✓ | ||
| Li et al. (2022) [37] | ✓ | ✓ | ✓ | ||
| Liu and Zhu (2024) [59] | ✓ | ✓ | ✓ | ||
| Wu et al. (2024) [62] | ✓ | ✓ | ✓ | ||
| Wu et al. (2025) [61] | ✓ | ✓ | ✓ | ||
| Ji et al. (2019) [70] | ✓ | ✓ | |||
| Gao et al. (2019) [73] | ✓ | ✓ | ✓ | ||
| Sun et al. (2023) [72] | ✓ | ✓ | |||
| Tang et al. (2023) [76] | ✓ | ✓ | |||
| Wang et al. (2024) [78] | ✓ | ✓ | |||
| Li et al. (2024) [64] | ✓ | ✓ | ✓ | ||
| Cui and Wang (2025) [60] | ✓ | ✓ | ✓ | ✓ | |
| Our paper | ✓ | ✓ | ✓ | ✓ | ✓ |
| Parameters | Definitions |
|---|---|
| Recycling deposit charged per unit capacity by local government. | |
| Recovery cost per unit capacity borne by the responsible enterprise. | |
| Revenue from formal recycling (e.g., cascade use, material recovery). | |
| Environmental preference benefit for the responsible enterprise. | |
| Proportion of the deposit refunded upon compliance, | |
| Reputational benefit for the responsible enterprise from compliance. | |
| Revenue from outsourcing recycling to informal enterprises. | |
| Environmental pollution control cost borne by local government. | |
| Local government’s human resource cost for implementing the DRS. | |
| Social reputation benefit for local government. | |
| Time cost (opportunity cost) for local government. |
| Responsible Enterprises | Local Government | |
|---|---|---|
| Implement DRS () | Not Implement DRS () | |
| Fulfill EPR () | ; | ; |
| Not fulfill EPR () | ; | ; |
| Point | Result | ||
|---|---|---|---|
| - | Uncertain | Saddle point | |
| - | Uncertain | Saddle point | |
| - | Uncertain | Saddle point | |
| - | Uncertain | Saddle point | |
| + | 0 | Central point |
Disclaimer/Publisher’s Note: The statements, opinions and data contained in all publications are solely those of the individual author(s) and contributor(s) and not of MDPI and/or the editor(s). MDPI and/or the editor(s) disclaim responsibility for any injury to people or property resulting from any ideas, methods, instructions or products referred to in the content. |
© 2025 by the authors. Licensee MDPI, Basel, Switzerland. This article is an open access article distributed under the terms and conditions of the Creative Commons Attribution (CC BY) license (https://creativecommons.org/licenses/by/4.0/).
Share and Cite
Gao, H.; Han, X.; Sun, L.; Cao, G. Managing Strategic Interactions for a Circular Economy: An Evolutionary Game Analysis of a Dynamic Deposit-Refund System in Electric Vehicle Battery Recycling. Sustainability 2025, 17, 11196. https://doi.org/10.3390/su172411196
Gao H, Han X, Sun L, Cao G. Managing Strategic Interactions for a Circular Economy: An Evolutionary Game Analysis of a Dynamic Deposit-Refund System in Electric Vehicle Battery Recycling. Sustainability. 2025; 17(24):11196. https://doi.org/10.3390/su172411196
Chicago/Turabian StyleGao, Honghu, Xu Han, Linjie Sun, and Guangmei Cao. 2025. "Managing Strategic Interactions for a Circular Economy: An Evolutionary Game Analysis of a Dynamic Deposit-Refund System in Electric Vehicle Battery Recycling" Sustainability 17, no. 24: 11196. https://doi.org/10.3390/su172411196
APA StyleGao, H., Han, X., Sun, L., & Cao, G. (2025). Managing Strategic Interactions for a Circular Economy: An Evolutionary Game Analysis of a Dynamic Deposit-Refund System in Electric Vehicle Battery Recycling. Sustainability, 17(24), 11196. https://doi.org/10.3390/su172411196

