Abstract
Land use optimization is essential for balancing the economic development, ecological protection, and sustainable management of regional landscapes. However, most existing frameworks focus primarily on land use area allocation while neglecting spatial pattern metrics, leading to fragmented landscapes and reduced ecological benefits. In this study, we propose a new multi-objective optimization framework that incorporates land use patch number as an explicit objective, providing a more direct way to make a trade-off between economic development, ecological protection, and landscape sustainability. Using Jinan’s Xiaoqing River Basin as a case study, we compare four scenarios, natural development, economic priority, ecological priority, and sustainable development, under both the traditional optimization framework (multi-objective allocation based on area and post-evaluation of spatial pattern based on land use simulation) and the proposed optimization framework. The results show that while the two frameworks yield similar levels of overall economic and ecological benefits, the traditional framework produces highly fragmented ecological land and overly aggregated construction land. In contrast, the new framework effectively reduces cropland and grassland fragmentation and enhances ecological land cohesion, generating more natural and sustainable landscape configurations. These findings highlight the importance of integrating spatial pattern objectives into land use optimization, providing a more comprehensive and spatially explicit approach to land use optimization, offering scientific support for rational land allocation and sustainable development within the urban river basin.
1. Introduction
Rapid urbanization and population growth have dramatically reshaped land use and land cover (LULC) worldwide [1,2], especially in river basins where urban development and ecological security intersect [3,4]. Land use change is now widely recognized as one of the most important drivers of ecosystem degradation, biodiversity loss, and alterations in ecosystem service values (ESV) [5,6]. In China, territorial spatial planning has been elevated to a national strategy to reconcile economic development with ecological security. Within this context, optimizing land use patterns has become a key approach to balance economic growth, ecological protection, and landscape sustainability.
Over the past two decades, scholars have proposed a variety of frameworks for land use optimization and scenario simulation. In terms of the spatial pattern, cellular automata (CA) and their machine learning extensions, such as FLUS (Future Land Use Simulation) and PLUS (Patch-generating Land Use Simulation) [7,8], have been widely applied to project future LULC and assess ecological impacts. In terms of land use structure, multi-objective optimization methods such as NSGA-II and its variants [9,10], as well as gray prediction multi-objective programming (GMOP) combined with simulation models (such as PLUS and FLUS), have been widely used to quantify the trade-off between economic, ecological, and environmental benefits [11,12,13], allowing for quantitative allocation of land use followed by spatial allocation. This “optimization–simulation” coupling has significantly advanced scenario-based land use planning.
Despite these advances, a critical gap remains: most optimization frameworks use land use area as the primary decision variable, neglecting explicit spatial configuration indicators such as patch number, patch size, or connectivity [14]. Consequently, optimization results are often difficult to interpret in terms of fragmentation, and spatial patterns remain strongly dependent on historical expansion inertia inherited by LULC simulation models [15,16]. This limitation constrains their ability to provide direct guidance for policies targeting landscape connectivity, ecological corridors, or farmland/forest patch consolidation. Moreover, while ecosystem service trade-offs have been incorporated into scenario design, few studies integrate landscape configuration objectives into the optimization itself [17,18], leaving a methodological gap between structural optimization and spatial ecological outcomes.
The root cause lies in the two-step workflow: first, optimization models (e.g., NSGA-II, GMOP) generate land use areas under multiple objectives, and then, simulation models (e.g., PLUS, FLUS) allocate these areas spatially [19,20]. While effective for assessing land use quantity trade-offs, this sequential approach relegates spatial pattern to a secondary, path-dependent process [21]. As a result, landscape fragmentation is an unintended by-product, not a controllable target of optimization. This mismatch reduces the applicability of results for ecological management [22,23], where patch-level structure (e.g., large contiguous forest patches, controlled urban sprawl) is critical for maintaining ecological security and ecosystem service supply.
To address this gap, we propose a novel multi-objective land use optimization framework that explicitly incorporates patch number and average patch area as optimization objectives alongside traditional economic and ecological benefits. To our knowledge, although some studies have begun to incorporate spatial configuration into land use optimization or to tightly couple optimization with simulation, few have directly included patch number (NP) and mean patch area (MPA) in the objective set as explicit (multi-criteria) decision variables; most treat them only as ex-post-evaluation metrics. By elevating patch density to a decision variable, this framework directly constrains fragmentation, enabling more ecologically coherent and spatially interpretable optimization outcomes. Unlike a traditional optimization framework, our approach emphasizes upgrading the number of patches from a post-evaluation indicator to an optimization objective, rather than relying solely on PLUS for secondary allocation. This allows us to benchmark how patch-based optimization alters trade-offs among economy, ecology, and landscape integrity. On the one hand, landscape ecology has long emphasized the role of patch size and connectivity in sustaining ecological processes [24,25]. Treating patch number and size as explicit objectives provides a direct link between optimization outputs and ecological functions. On the other hand, the robustness of GMOP and PLUS in land use optimization is well established [26,27]. Our framework builds on this proven toolchain but modifies the objective set to integrate configuration metrics, ensuring feasibility and comparability with existing approaches.
We demonstrate this framework in the Xiaoqing River Basin, Jinan, China. The key steps are as follows. Firstly, we construct objective functions for economic benefit, ecological benefit (ESV), and landscape fragmentation (patch number and average size). Secondly, we apply a multi-objective optimization algorithm to generate Pareto-optimal land use structures with explicit patch objectives under multi-scenario constraints (natural development, economic priority, ecological priority, and sustainable development). Finally, we compare the results with traditional “optimization–simulation” to evaluate differences in economic value, ESV, and landscape fragmentation outcomes between the two land use optimization frameworks. Although the Xiaoqing River Basin serves as a representative case of a rapidly urbanizing watershed in northern China, the proposed patch-integrated optimization framework is designed to be transferable across diverse regional and institutional contexts. Its structure, integrating area-based and spatial pattern objectives within a multi-objective programming environment, is adaptable to regions with different climatic conditions, land use pressures, and governance systems. The results directly support construction land boundary control, ecological redline management, farmland consolidation, and integrated basin planning, thus aligning with China’s territorial spatial planning hierarchy and broader global sustainability goals.
2. Materials and Methods
2.1. Basic Idea
In contrast to most previous land use optimization studies that focus solely on the area allocation of land use types [28,29], our approach introduces land use patch number as a key decision variable. This methodological innovation allows for direct control over spatial structure, enabling the generation of land use scenarios that are not only economically and ecologically efficient but also spatially cohesive.
Unlike conventional frameworks that first calculate the area for each land use type under different scenarios and then use these areas as constraints for the PLUS model (v6.5) to simulate patch-level configuration, the framework proposed here can directly obtain the number of land use patches, rather than relying on the spatial expansion strategy extracted by the PLUS model from multi-temporal land use data (Figure 1). The key advantage is that it avoids over-dependence on historical expansion matrices and enables explicit control of fragmentation, providing a more comprehensive decision support for spatial pattern planning under different scenarios.
Figure 1.
Comparison diagram between the traditional and the proposed process for land use optimization.
2.2. Research Methods
2.2.1. The PLUS Model
The Patch-generating Land Use Simulation (PLUS) model is a decision support tool widely used to simulate and predict land use and land cover changes [8]. Each patch in the PLUS model represents a land use type, and transitions between land use types are simulated using transition probabilities and spatial transition matrices, forecasting the spatial changes in land use. In this paper, DEM, population, and roads map were selected as driving factors when using PLUS, and land use data in 2010 and 2020 were used as two basic land use data periods to predict the land use status in 2030.
The probability of transition from land use type i to type j can be expressed as
where Pij is the probability of transferring from land use type i to type j. is a set of driving factors, and is the set of regression coefficients of the driving factors.
The spatial transition matrix describes the changes among land use types over time steps:
where T(t) is the land use type matrix at time t, and ΔT is the change in land use types.
2.2.2. Landscape Pattern Indices
In this study, Fragstats 4.2 [30,31] was employed to calculate landscape metrics from land use raster maps for multiple periods. These metrics quantitatively describe and analyze spatial structural characteristics of the landscape, reflecting key attributes such as composition, diversity, heterogeneity, fragmentation, and connectivity. The primary indicators used include the number of patches (NP) and the mean patch area (MPA), which serve as decision variables in the multi-objective optimization framework. In addition, the ratio of NP to area, defined as patch density, was adopted to further characterize the degree of land use fragmentation.
2.2.3. Generalized Multi-Objective Programming (GMOP) Model
GMOP (gray multi-objective programming) is an innovative approach that combines gray linear regression and multi-objective programming techniques. It is designed to handle the uncertainties inherent in goal functions and constraints related to real-world land use and land cover (LULC) optimization. By integrating these techniques, GMOP effectively addresses multi-objective challenges, such as balancing environmental protection, economic growth, and social needs, during the optimization of LULC structure [32]. The construction of GMOP involves four primary components: selection of decision variables, establishment of objective functions, identification of gray constraints, and the choice of solution methods.
- (1)
- Decision Variables
In previous studies, decision variables were primarily defined by the area of land use types, including cropland, forest, grassland, water, and built-up land [33,34]. While this setting captures overall quantity characteristics, it fails to account for spatial configuration and tends to overlook landscape fragmentation. To address this limitation, the present study extends the decision variable set by incorporating the number of patches (NP) alongside area. The number of patches not only reflects the degree of fragmentation but also directly relates to landscape connectivity, biodiversity, and ecosystem services. Therefore, incorporating both area and NP as decision variables ensures that land use optimization not only allocates land use areas but also enhances ecological connectivity and sustainability.
- (2)
- Objective Functions
The GMOP model uses the following three objectives:
Economic Benefit (EB): Maximizes the economic output of different land use types.
Ecosystem Service Value (ESV): Maximizes the ecological service value.
Patch Density (PD): Minimizes landscape fragmentation.
where and represent economic benefits and ecological benefits, respectively. ni and Xi are the decision variables, which are the number of patches (NP) and mean patch area (MPA) for each land use type. Ai represents the economic benefit coefficient of the ith land use type (10,000 CNY/hm2). Bi represents the ecological benefit coefficient of the ith land use type (10,000 CNY/hm2). PD represents land use patch density. Si represents the area of the ith land use type, and ni,ref is the number of patches of the ith land use type in the reference year (1985, near natural development, was selected as the reference year).
- (3)
- Constraints
The model constraints are determined according to the Jinan City master spatial plan (2021–2035), historical land use change trends from 2000 to 2020, and projected demand in 2030 under the natural (inertia) development scenario (using PLUS model), ensuring that the optimized results should not deviate too far from the current land use situation; otherwise, the results may not be applicable to actual planning.
Therefore, this study applied two constraints on area and patch quantity. Based on the development and change trend of land use in the study area, the range of change in area for each land use type should not exceed 5% compared to the 2020 level, and the range of change in patch quantity should not exceed 10% compared to the 2020 level [35]. The detailed information on the constraints is shown in Table S1.
- (4)
- Simulation Scenarios
We set up four simulation scenarios, namely, the scenario of natural (inertia) development (Scenario 1), the scenario of economic priority (Scenario 2), the scenario of ecological priority (Scenario 3), and the scenario of sustainable development (Scenario 4). Two optimization frameworks, the traditional one and the proposed one, are used to simulate these four scenarios; details are shown in Table 1.
Table 1.
Detailed information on four simulation scenarios under two optimization frameworks.
2.3. Study Area
The study area is the Xiaoqing River Basin upstream of Huangtai Bridge in Jinan, Shandong Province, China, covering approximately 340 km2 (shown in Figure 2). This basin overlaps extensively with the Jinan metropolitan area, undertaking both the main flood control tasks of the city and an important ecological region. In recent years, the proportion of urban built-up area in the research area has increased from 40% to 70%. Urbanization and industrial expansion have markedly altered the land use and land cover, as well as patch connectivity, with significant implications for ecological integrity and sustainable development.
Figure 2.
Location and topographic map of the study area.
2.4. Data Sources
- (1)
- Land use data for the period 2000–2020 were obtained from the CLCD dataset with a spatial resolution of 30 m [36].
- (2)
- Digital elevation model (DEM) data were derived from the Geospatial Data Cloud, also at a 30 m resolution.
- (3)
- Socioeconomic Data: Population and GDP (per capita), 1 km resolution raster data from the Resource and Environment Data Center, Chinese Academy of Sciences; vector data for distance to highways/railways from OpenStreetMap.
- (4)
- Statistical Data: Population, annual yield, and planting area of corn and wheat, industrial and agricultural outputs, obtained from the Jinan Statistical Yearbook (2022).
All data were rasterized and resampled to a 30 × 30 m resolution.
The economic benefit coefficients of agriculture, forestry, animal husbandry, and fishery from 2017 to 2023 were calculated using data from the Jinan Statistical Yearbook. The gray prediction model (GM (1, 1)) was used to predict the economic benefit coefficients for 2030. At the same time, the ecological benefits of land were expressed in terms of ecosystem service value. Based on the unit yield price of wheat and corn, the economic value of one ecosystem service value equivalent factor was determined to be 20,789 CNY/hm2. The ecosystem service value coefficients of each land type were determined based on relevant research [37]. Notedly, construction land was considered an artificial surface, and the ecosystem service value coefficient was set to zero. Coefficients of the economic benefits and ecological value of the study area are shown in Table 2.
Table 2.
Coefficients of economic benefits and ecological value.
3. Results
3.1. Dynamic Changes in Land Use and Spatial Patterns
Using land use data from 2000 to 2020, we calculated the total area, number of patches, and mean patch area for each land use type (as shown in Table 3). Table 3 shows that between 2000 and 2020, cropland declined from 8762 to 4654 ha, with patch numbers increasing from 1391 to 1421 and average patch size decreasing by ~48%. Built-up land expanded from 18,351 to 23,057 ha, while patch numbers decreased from 974 to 521, and average patch size increased by ~135%. Forest area expanded with increasingly aggregated patches, while grassland and water area shrank and became more fragmented. These changes mean that larger and more continuous building patches have reduced the number of vegetation spaces supporting biodiversity. The merger of built-up areas often damages or eliminates the suburban green corridors that many species rely on for dispersal and resource acquisition (Forman, 2014 [38]), increases ecological isolation, and damages the provision of ecosystem services such as flood regulation and temperature mitigation (Pauleit et al., 2019) [39].
Table 3.
The number, average area, and total area of patches for each land use type.
Land transition analysis showed cropland lost nearly 80% of its area, mainly to built-up land (4764 ha). Built-up land exhibited the highest persistence, with >83% retained. These dynamics indicate rapid urban expansion and intensified fragmentation of ecological land.
From 2000 to 2020, 83.95% of new construction land came from land conversion, and only 1.02% reverted to other uses. The largest loss of cropland was to construction land, accounting for 4763.97 ha. These trends highlight the substantial conversion from cropland to construction land and the severe reduction in agricultural land (Figure 3).
Figure 3.
Spatial distribution and Sankey diagram of land transformation in typical years. (The three vertical bars represent the land-use inventories for 2000, 2010, and 2020 (left to right). The width of each band is proportional to the area that persists or transitions between classes).
3.2. Land Use Optimization Under the Traditional Framework
Using the traditional framework—area-based land use optimization followed by PLUS simulation—we projected four 2030 scenarios: Natural Development, Economic Priority, Ecological Priority, and Sustainable Development (Table 1). The kappa coefficient of the PLUS is 0.86. Table 1 shows pronounced differences in both land use area and the number of patches. Under Economic Priority, the areas of cropland, forest, and grassland continue to decline (cropland decreases from 4660.32 ha in the 2020 baseline to 3402.20 ha; forest from 2742.60 to 2549.91 ha; grassland from 594.45 to 409.48 ha), whereas the number of patches increases (cropland from 1322 to 1575; forest from 159 to 163; grassland from 358 to 408). Built-up land continues to expand, reaching its maximum extent under Economic Priority (24,455 ha, a 7.3% increase relative to the baseline), with the number of built-up patches rising from 221 to 243. These results indicate that, under Economic Priority, patch numbers increase across all land use classes and fragmentation of ecological land (cropland, forest, and grassland) intensifies, underscoring a key limitation of the traditional framework—its failure to account for land use spatial configuration.
Under Ecological Priority, the areas of cropland, forest, and grassland reach their highest values—4388.66, 2744.23, and 425.82 ha, respectively—yet their patch densities still increase by 26.89%, 0.57%, and 60.66% relative to the baseline, indicating that the traditional framework does not prevent spatial fragmentation even under a conservation-oriented pathway. Under Sustainable Development, cropland rebounds to 4096 ha, and the expansion of built-up land is restrained (23,845 ha), but the patch density of ecological land remains high.
Under the traditional optimization framework, the number of patches (NP) for cropland and grassland rises sharply, while the mean patch area (MPA) declines, indicating the proliferation of smaller, more isolated ecological parcels (Figure 4). The contrast between Economic Priority and other scenarios highlights a critical trade-off: economic growth gains come at the expense of spatial integrity in the ecological landscape.
Figure 4.
Benefits, area, and patch numbers (based on PLUS) of each land use type under the traditional optimization framework. (a–e) are the results for the area (represented by bars) and patch numbers (represented by lines) of each land use type, and (f) shows the results for economic benefit (blue bar), ecological benefit (green bar), and total benefit (orange bar).
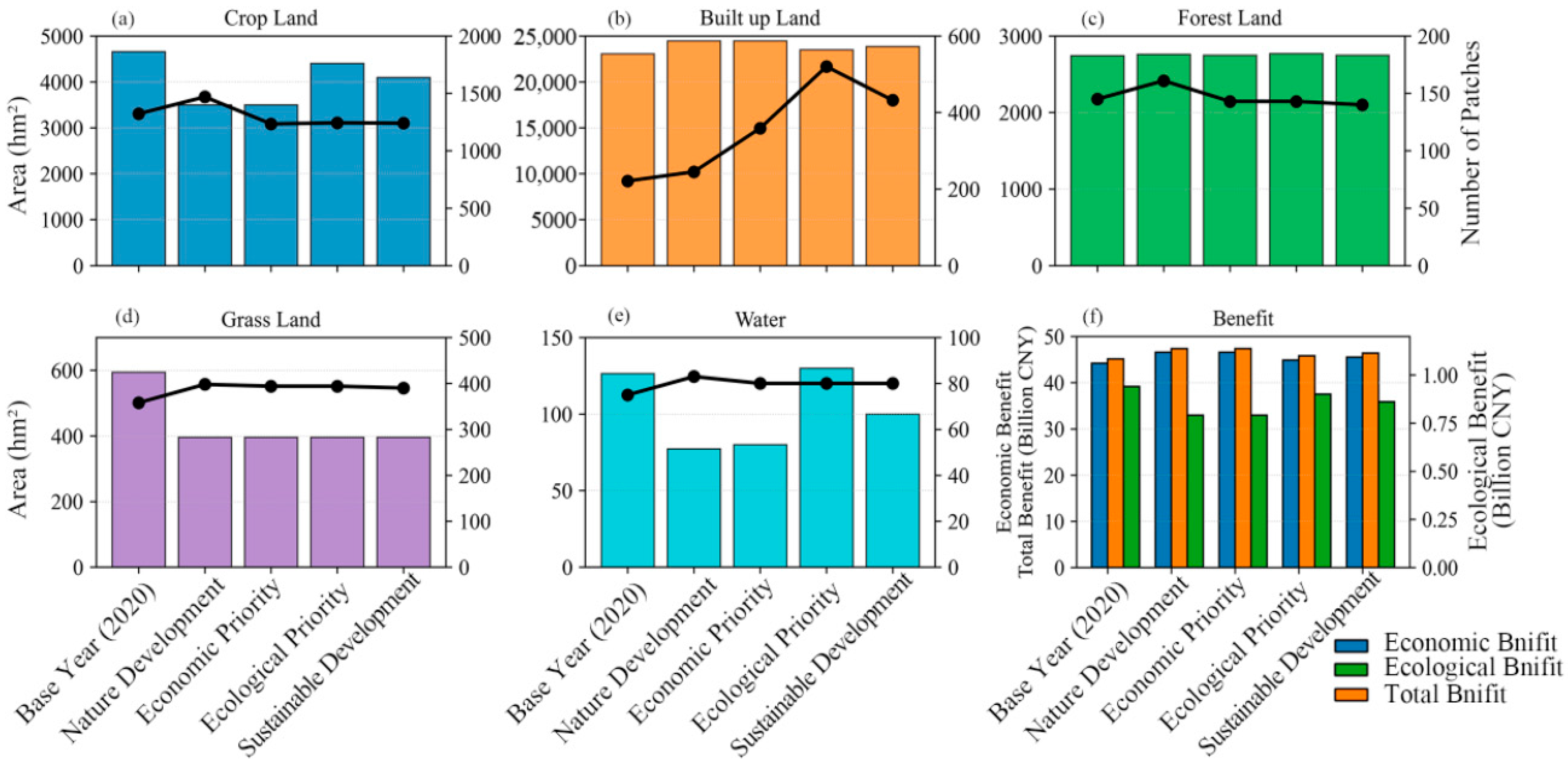
3.3. The Proposed Framework Achieves Similar Benefits with Lower Patch Fragmentation
Figure 5 summarizes each land use class, area, NP, EB, and ESV across the four scenarios under the proposed framework—Natural Development, Economic Priority, Ecological Priority, and Sustainable Development. Figure 5a–e show that land use areas are broadly consistent with those under the traditional framework (changes within −9.0% to +4.86%), whereas patch numbers change markedly (−26.80% to +47.74%), generally decreasing for ecological land and increasing for built-up land. In the Economic Priority scenario, built-up land still exhibits the largest extent (24,635.94 ha), and its number of patches increases to 359 (versus 243 under the traditional framework). By contrast, the numbers of cropland, forest, and grassland patches decline to 1243 (−21.1% relative to 1575), −12.3%, and −3.4%, respectively, indicating greater ecological aggregation. Under Ecological Priority and Sustainable Development, cropland and forest areas remain comparable to those in the traditional framework, but the number of ecological patches decreases substantially—by 26.8% and 10.0%, respectively. As shown in Figure 5f, aggregate benefits are nearly indistinguishable between the proposed and traditional frameworks.
Figure 5.
Benefits, area, and patch numbers of each land use type under the proposed land use optimization framework. (a–e) are the results for the area (represented by bars) and patch numbers (represented by lines) of each land use type, and (f) shows the results for economic benefit (blue bar), ecological benefit (green bar), and total benefit (orange bar).
To quantitatively compare the two frameworks, we further analyzed patch number (NP), mean patch area (MPA), and patch density (PD) across the four development scenarios (Figure 6). The boxplots indicate that, under the proposed framework, NP is consistently lower than under the traditional framework, while MPS is significantly higher—evidence of reduced fragmentation and stronger ecological clustering. Figure 7 (radar charts) corroborates these results and highlights a key tradeoff: although land use areas and benefits remain similar between frameworks, the proposed approach consistently improves landscape integrity. These findings confirm that the improvements observed under the proposed framework are statistically robust rather than merely descriptive trends.
Figure 6.
Boxplots of patch number (NP) (b), mean patch area (MPA) (a), and patch density (PD) (c) across scenarios under the traditional and proposed frameworks.
Figure 7.
Radar comparison of normalized landscape metrics under traditional and proposed frameworks. Panels (a–c) compare the traditional and proposed frameworks for three scenarios. Radial axes show min–max-normalized values of patch number (NP), mean patch area (MPA), and patch density (PD); normalization makes the axes unitless for visual comparison. Raw units are NP (count), MPS (hm2), and PD (100 per hm2). (a) is the scenario of Economic Priority, (b) is the scenario of Ecological Priority, and (c) is the scenario of Sustainability.
Compared with the traditional framework, the primary advantage of the proposed framework is its ability to markedly optimize spatial configuration while maintaining comparable benefits—promoting the aggregation of ecological land and dispersion of urban land, thereby alleviating ecological fragmentation.
4. Discussion
The findings highlight that under the traditional optimization framework, trade-offs between economic and ecological benefits often come at the cost of increased ecological fragmentation and excessive urban concentration. The boxplots and radar charts clearly demonstrate that the proposed framework consistently reduces NP while increasing MPA compared with the traditional framework, confirming its capacity to alleviate fragmentation. This is consistent with earlier studies that reported area-based optimization tends to ignore spatial structure, leading to habitat fragmentation and biodiversity loss [40,41]. Such evidence suggests that land management strategies relying solely on area-based targets may underestimate the importance of spatial configuration for sustaining ecosystem services and long-term sustainability.
By explicitly reducing cropland and grassland fragmentation and improving ecological land cohesion, the patch-based framework provides valuable insights for policy design. Some studies [42,43] have confirmed that considering spatial indicators such as patch quantity and landscape integrity can greatly improve the effectiveness of ecological services. Practically, the planning department should consider incorporating these spatial objectives into the allocation plan to achieve “balance of interests” and “structural optimization”. This is particularly important in rapidly urbanized areas where ecological degradation threatens multifunctional land use.
This study contributes by introducing patch number as an additional optimization objective, thereby extending the paradigm of land use optimization frameworks. Our findings reinforce the view [44,45] that broadening the range of optimization objectives can substantially enhance the ecological rationality of land use patterns. Even when total land use areas and aggregate benefits remain similar, optimizing spatial configuration yields substantial improvements.
Despite its advantages, the proposed framework has several limitations. First, while the number of patches captures broad spatial trends, it does not fully represent more complex landscape attributes, such as patch shape and connectivity (LPI or COHESION), which are key determinants of ecological flows and edge effects. Consequently, while fragmentation reduction is achieved, the framework may underestimate functional connectivity or shape-driven ecological processes. Second, the patch-based framework produces structural optimization outputs (areas and patch-level metrics) rather than pixel-level land use maps. This design prioritizes optimization of landscape structure and treats spatial allocation as a secondary step that, if needed, can be implemented with existing simulation models. Third, because the analysis is based on the Xiaoqing River Basin in Jinan, the generalizability of the findings may be limited under different regional contexts and land use institutions. The generalizability depends on the regional landscape pattern, policy background, and data availability. For example, in areas dominated by a highly dispersed agricultural mosaic, optimizing NP and MPS may lead to rapid structural improvement; However, in compact urban systems or mountainous areas, patch shapes and terrain limitations dominate, and the same goals may need to be reweighted or redefined.
Future work should integrate a wider range of landscape indicators, such as shape and connectivity based indicators; advance land use optimization from a “quantity–pattern” focus to a “quantity–pattern–function” paradigm; and extend this framework to functional landscape optimization under climate and hydrological scenarios, thereby enabling adaptive strategies that can be transferred across multiple scenarios and environments and obtain more comprehensive land use optimization indicators.
5. Conclusions
Existing land use optimization models mainly focus on the total area of each land use type, rarely interpreting the relationship between economic and ecological development from the perspective of spatial pattern indices. This study develops and applies a novel land use optimization framework that explicitly incorporates patch number as an optimization objective.
By comparing the traditional area-based framework with the proposed patch-based framework across four development scenarios, we demonstrate that although both approaches yield comparable levels of economic and ecological benefits, their spatial outcomes differ substantially. The traditional framework tends to produce fragmented ecological land and highly aggregated built-up land, whereas the new framework reduces cropland and grassland fragmentation and improves ecological land connectivity, resulting in landscapes that are more natural and sustainable.
These findings underscore the necessity of integrating spatial pattern metrics into land use optimization models. The proposed framework extends the scope of multi-objective land use planning, providing valuable insights for policymakers to coordinate urban expansion and ecological conservation in rapidly developing areas.
Supplementary Materials
The following supporting information can be downloaded at https://www.mdpi.com/article/10.3390/su17219810/s1, Table S1: The constraint conditions in the study area.
Author Contributions
Conceptualization, Y.L. and G.S.; Data curation, J.S. and D.W.; Formal analysis, Y.L. and J.S.; Funding acquisition, Y.L. and G.S.; Methodology, Y.L.; Software, D.W.; Supervision, S.C. and G.S.; Validation, S.C. and G.S.; Visualization, Y.L. and J.S.; Writing—original draft, D.W.; Writing—review and editing, Y.L. All authors have read and agreed to the published version of the manuscript.
Funding
This research was funded by the National Natural Science Foundation of China, grant number 42301046, and the University of Jinan Disciplinary Cross-Convergence Construction Project 2024, grant number XKJC-202407.
Institutional Review Board Statement
Not applicable.
Informed Consent Statement
Not applicable.
Data Availability Statement
The data will be made available upon request.
Conflicts of Interest
The authors declare no conflicts of interest.
References
- Costanza, R.; De Groot, R.; Sutton, P.; Van der Ploeg, S.; Anderson, S.J.; Kubiszewski, I.; Farber, S.; Turner, R.K. Changes in the global value of ecosystem services. Glob. Environ. Change 2014, 26, 152–158. [Google Scholar] [CrossRef]
- Brander, L.M.; De Groot, R.; Schägner, J.P.; Guisado-Goñi, V.; Van’t Hoff, V.; Solomonides, S.; Thomas, R. Economic values for ecosystem services: A global synthesis and way forward. Ecosyst. Serv. 2024, 66, 101606. [Google Scholar] [CrossRef]
- Wang, W.; Jiao, L.; Jia, Q.; Liu, J.; Mao, W.; Xu, Z.; Li, W. Land use optimization modelling with ecological priority perspective for large-scale spatial planning. Sustain. Cities Soc. 2021, 65, 102575. [Google Scholar] [CrossRef]
- Zhang, J.; Li, S.; Lin, N.; Lin, Y.; Yuan, S.; Zhang, L.; Zhu, C. Spatial identification and trade-off analysis of land use functions improve spatial zoning management in rapid urbanized areas, China. Land Use Policy 2022, 116, 106058. [Google Scholar] [CrossRef]
- Ruiz-Agudelo, C.A.; Suarez, A.; Gutiérrez-Bonilla, F.D.P.; Cortes-Gómez, A.M. The economic valuation of ecosystem services in Colombia. Challenges, gaps and future pathways. J. Environ. Econ. Policy 2023, 12, 285–304. [Google Scholar] [CrossRef]
- Xiao, J.; Zhang, Y.; Xu, H. Response of ecosystem service values to land use change, 2002–2021. Ecol. Indic. 2024, 160, 111947. [Google Scholar] [CrossRef]
- Liu, X.; Liang, X.; Li, X.; Xu, X.; Ou, J.; Chen, Y.; Pei, F. A future land use simulation model (FLUS) for simulating multiple land use scenarios by coupling human and natural effects. Landsc. Urban Plan. 2017, 168, 94–116. [Google Scholar] [CrossRef]
- Liang, X.; Guan, Q.; Clarke, K.C.; Liu, S.; Wang, B.; Yao, Y. Understanding the drivers of sustainable land expansion using a patch-generating land use simulation (PLUS) model: A case study in Wuhan, China. Comput. Environ. Urban. 2021, 85, 101569. [Google Scholar] [CrossRef]
- Shaygan, M.; Alimohammadi, A.; Mansourian, A.; Govara, Z.S.; Kalami, S.M. Spatial multi-objective optimization approach for land use allocation using NSGA-II. IEEE J. Sel. Top. Appl. Earth Obs. Remote Sens. 2013, 7, 906–916. [Google Scholar] [CrossRef]
- Gao, P.; Wang, H.; Cushman, S.A.; Cheng, C.; Song, C.; Ye, S. Sustainable land-use optimization using NSGA-II: Theoretical and experimental comparisons of improved algorithms. Landsc. Ecol. 2021, 36, 1877–1892. [Google Scholar] [CrossRef]
- Liu, H.; Yan, F.; Tian, H. Towards low-carbon cities: Patch-based multi-objective optimization of land use allocation using an improved non-dominated sorting genetic algorithm-II. Ecol. Indic. 2022, 134, 108455. [Google Scholar] [CrossRef]
- Fu, H.; Liang, Y.; Chen, J.; Zhu, L.; Fu, G. A new framework of land use simulation for land use benefit optimization based on GMOP-PLUS model—A case study of Haikou. Land 2024, 13, 1257. [Google Scholar] [CrossRef]
- Zhang, Y.; Zheng, M.; Qin, B. Optimization of spatial layout based on ESV-FLUS model from the perspective of “Production-Living-Ecological”: A case study of Wuhan City. Ecol. Model. 2023, 481, 110356. [Google Scholar] [CrossRef]
- McGarigal, K.; Cushman, S.A.; Neel, M.C.; Ene, E. FRAGSTATS: Spatial Pattern Analysis Program for Categorical Maps; University of Massachusetts: Amherst, MA, USA, 2002; Available online: https://www.researchgate.net/publication/259011515_FRAGSTATS_Spatial_pattern_analysis_program_for_categorical_maps (accessed on 12 August 2025).
- Meng, F.; Zhou, Z.; Zhang, P. Multi-objective optimization of land use in the Beijing–Tianjin–Hebei region of China based on the GMOP-PLUS coupling model. Sustainability 2023, 15, 3977. [Google Scholar] [CrossRef]
- Luan, C.; Liu, R.; Zhang, Q.; Sun, J.; Liu, J. Multi-objective land use optimization based on integrated NSGA–II–PLUS model: Comprehensive consideration of economic development and ecosystem services value enhancement. J. Clean. Prod. 2024, 434, 140306. [Google Scholar] [CrossRef]
- Li, C.; Wu, Y.; Gao, B.; Zheng, K.; Wu, Y.; Li, C. Multi-scenario simulation of ecosystem service value for optimization of land use in the Sichuan-Yunnan ecological barrier, China. Ecol. Indic. 2021, 132, 108328. [Google Scholar] [CrossRef]
- Li, K.; Elsayed, S.; Sarker, R.; Essam, D. Multiple landscape measure-based approach for dynamic optimization problems. Swarm Evol. Comput. 2024, 88, 101578. [Google Scholar] [CrossRef]
- Huo, J.; Shi, Z.; Zhu, W.; Xue, H.; Chen, X. A multi-scenario simulation and optimization of land use with a Markov–FLUS coupling model: A case study in Xiong’an New Area, China. Sustainability 2022, 14, 2425. [Google Scholar] [CrossRef]
- Zhang, Y.; Naerkezi, N.; Zhang, Y.; Wang, B. Multi-scenario land use/cover change and its impact on carbon storage based on the coupled GMOP-PLUS-InVEST model in the Hexi Corridor, China. Sustainability 2024, 16, 1402. [Google Scholar] [CrossRef]
- Moein, M.; Asgarian, A.; Sakieh, Y.; Soffianian, A. Scenario-based analysis of land-use competition in central Iran: Finding the trade-off between urban growth patterns and agricultural productivity. Sustain. Cities Soc. 2018, 39, 557–567. [Google Scholar] [CrossRef]
- Mitchell, M.G.; Suarez-Castro, A.F.; Martinez-Harms, M.; Maron, M.; McAlpine, C.; Gaston, K.J.; Rhodes, J.R. Reframing landscape fragmentation’s effects on ecosystem services. Trends Ecol. Evol. 2015, 30, 190–198. [Google Scholar] [CrossRef]
- Kerr, B.; Remmel, T.K. Activity-based measures of landscape fragmentation. Landsc. Ecol. 2024, 39, 198. [Google Scholar] [CrossRef] [PubMed]
- Peng, J.; Liu, Y.; Corstanje, R.; Meersmans, J. Promoting sustainable landscape pattern for landscape sustainability. Landsc. Ecol. 2021, 36, 1839–1844. [Google Scholar] [CrossRef]
- Salviano, I.R.; Gardon, F.R.; dos Santos, R.F. Ecological corridors and landscape planning: A model to select priority areas for connectivity maintenance. Landsc. Ecol. 2021, 36, 3311–3328. [Google Scholar] [CrossRef]
- Wang, Z.; Zhong, A.; Li, Q. Optimization of Land Use Structure Based on the Coupling of GMOP and PLUS Models: A Case Study of Lvliang City, China. Land 2024, 13, 1335. [Google Scholar] [CrossRef]
- Zhu, Y.; Zhou, M. Optimization of land use structure integrating ecosystem service function and economic development—A case study in Dongting Lake Ecological and Economic Zone, China. Environ. Sustain. Indic. 2025, 26, 100604. [Google Scholar] [CrossRef]
- Liu, P.; Hu, Y.; Jia, W. Land use optimization research based on FLUS model and ecosystem services–setting Jinan City as an example. Urban Clim. 2021, 40, 100984. [Google Scholar] [CrossRef]
- Li, X.; Xu, H.; Ma, X.; Huang, Y. A two-step spatially explicit optimization approach of integrating ecosystem services (ES) into land use planning (LUP) to generate the optimally sustainable schemes. Land Degrad. Dev. 2023, 34, 2508–2522. [Google Scholar] [CrossRef]
- McGarigal, K.; Tagil, S.; Cushman, S.A. Surface metrics: An alternative to patch metrics for the quantification of landscape structure. Landsc. Ecol. 2009, 24, 433–450. [Google Scholar] [CrossRef]
- McGarigal, K. FRAGSTATS Help; University of Massachusetts: Amherst, MA, USA, 2015; pp. 1–182. [Google Scholar]
- Rahman, M.M.; Szabó, G. Multi-objective urban land use optimization using spatial data: A systematic review. Sustain. Cities Soc. 2021, 74, 103214. [Google Scholar] [CrossRef]
- Liu, Y.; Jing, Y.; Han, S. Multi-scenario simulation of land use/land cover change and water yield evaluation coupled with the GMOP-PLUS-InVEST model: A case study of the Nansi Lake Basin in China. Ecol. Indic. 2023, 155, 110926. [Google Scholar] [CrossRef]
- Tang, H.; Halike, A.; Yao, K.; Wei, Q.; Yao, L.; Tuheti, B.; Duan, Y. Ecosystem service valuation and multi-scenario simulation in the Ebinur Lake Basin using a coupled GMOP-PLUS model. Sci. Rep. 2024, 14, 5071. [Google Scholar] [CrossRef]
- Liu, J.; Hou, X.; Wang, Z.; Shen, Y. Study the effect of industrial structure optimization on urban land-use efficiency in China. Land Use Policy 2021, 105, 105390. [Google Scholar] [CrossRef]
- Tu, Y.; Wu, S.; Chen, B.; Weng, Q.; Bai, Y.; Yang, J.; Xu, B. A 30 m annual cropland dataset of China from 1986 to 2021. Earth Syst. Sci. Data 2024, 16, 2297–2316. [Google Scholar] [CrossRef]
- Zhang, B.; Tang, X.; Cui, J.; Cai, L. Characteristics of Ecosystem Services in Megacities Within the Yellow River Basin, Analyzed Through a Resilience Perspective: A Case Study of Xi’an and Jinan. Sustainability 2025, 17, 3371. [Google Scholar] [CrossRef]
- Forman, R.T.T. Urban Ecology: Science of Cities; Cambridge University Press: Cambridge, UK, 2014. [Google Scholar] [CrossRef]
- Pauleit, S.; Zölch, T.; Hansen, R.; Randrup, T.B.; van den Bosch, C.K. Nature-based solutions and climate change—Four shades of green. Urban For. Urban Green. 2019, 38, 383–391. [Google Scholar] [CrossRef]
- Li, X.; Fu, J.; Jiang, D.; Lin, G.; Cao, C. Land use optimization in Ningbo City with a coupled GA and PLUS model. J. Clean. Prod. 2022, 375, 134004. [Google Scholar] [CrossRef]
- Haddad, N.M.; Brudvig, L.A.; Clobert, J.; Davies, K.F.; Gonzalez, A.; Holt, R.D.; Townshend, J.R. Habitat fragmentation and its lasting impact on Earth’s ecosystems. Sci. Adv. 2015, 1, e1500052. [Google Scholar] [CrossRef] [PubMed]
- Drechsler, M. Ecological and economic trade-offs between amount and spatial aggregation of conservation and the cost-effective design of coordination incentives. Ecol. Econ. 2023, 213, 107948. [Google Scholar] [CrossRef]
- Gu, T.; Tong, Y.; Wang, S.; You, Z.; Li, D.; Jiang, Y.; Zhang, Q. Identifying the priority areas for ecological protection considering ecological connectivity and ecosystem integrity: A case study of Xianyang City, China. Ecol. Indic. 2024, 163, 112102. [Google Scholar] [CrossRef]
- Qu, S.; Han, L.; Li, L. Regional responses of ecosystem service security to land use changes and driving mechanisms: Insights from nearly 40 years of observations in Shaanxi, China. J. Environ. Chem. Eng. 2025, 13, 116224. [Google Scholar] [CrossRef]
- Lin, Z.; Peng, S.; Ma, D.; Shi, S.; Zhu, Z.; Zhu, J.; Huang, B. Patterns of change, driving forces and future simulation of LULC in the Fuxian Lake Basin based on the IM-RF-Markov-PLUS framework. Sustain. Futures 2024, 8, 100289. [Google Scholar] [CrossRef]
Disclaimer/Publisher’s Note: The statements, opinions and data contained in all publications are solely those of the individual author(s) and contributor(s) and not of MDPI and/or the editor(s). MDPI and/or the editor(s) disclaim responsibility for any injury to people or property resulting from any ideas, methods, instructions or products referred to in the content. |
© 2025 by the authors. Licensee MDPI, Basel, Switzerland. This article is an open access article distributed under the terms and conditions of the Creative Commons Attribution (CC BY) license (https://creativecommons.org/licenses/by/4.0/).






