Modified Clinoptilolite for the Removal of Rhodamine B Dye from Wastewater
Abstract
1. Introduction
2. Materials and Methods
2.1. Materials
2.2. Instruments
2.3. Modification Procedure of CLN
2.3.1. Preparation of a 0.1 M NH4Cl Solution
2.3.2. Modification of CLN Using the IonExchange Method
2.4. Characterization Procedure for the CLN and Modified CLN
2.4.1. FT-IR and XRD Analyses
2.4.2. Determination of the Point of Zero Charge (pzc) of the Adsorbent
2.5. Spectral Analysis of the Rh B Dye in an Aqueous Medium
2.6. Adsorption Study
2.6.1. Preparation of the Working Solutions of Rh B
2.6.2. Optimization of Various Parameters for the Adsorption of the Rh B Dye on the Raw CLN and Modified CLN
2.7. Desorption Study
3. Results and Discussion
3.1. Characterization of CLN and Modified CLN
3.1.1. FT-IR Spectral Analysis
3.1.2. XRD Pattern
3.1.3. Point of Zero Charge (pzc) of the Raw and Modified CLN
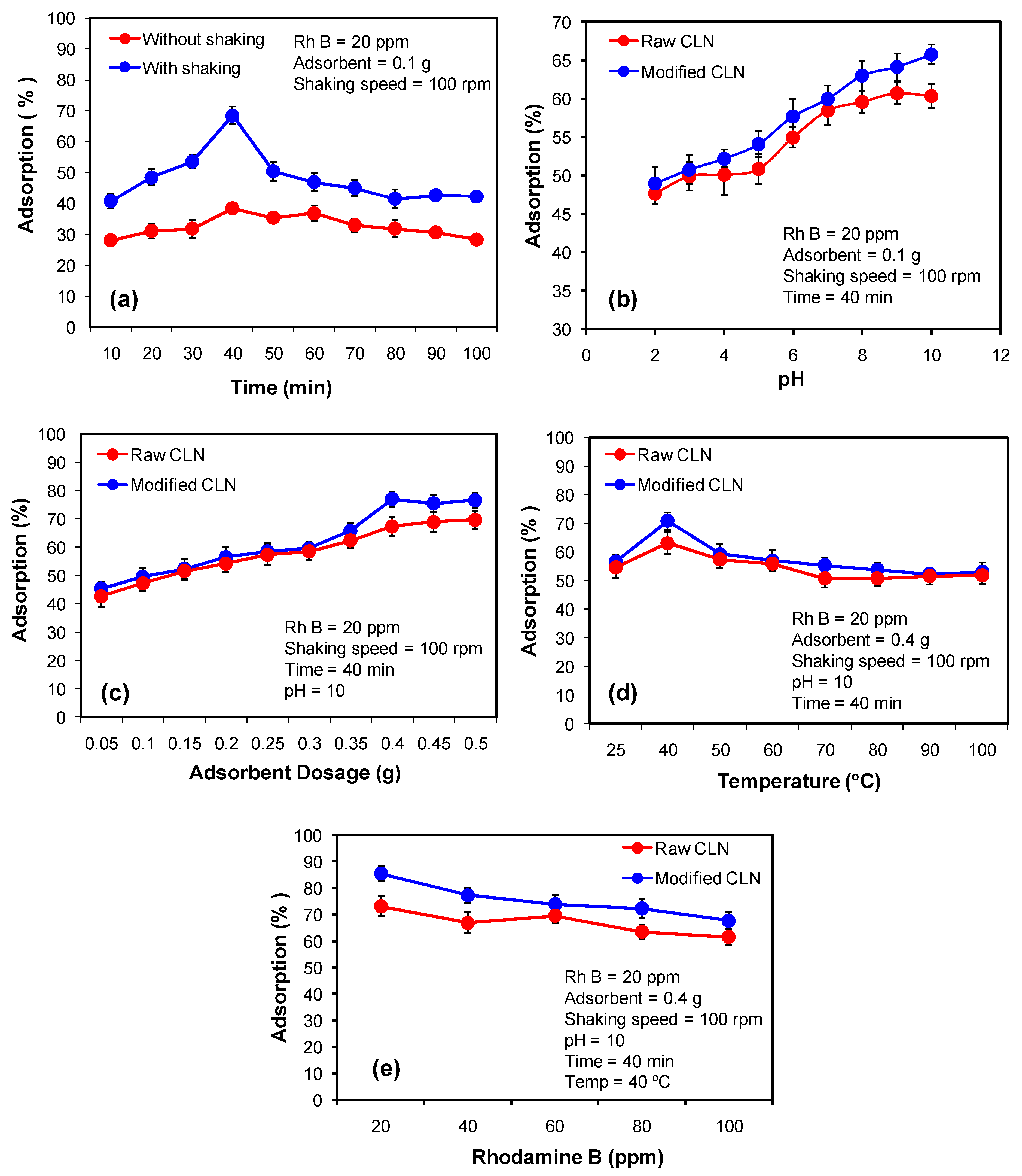
3.2. Optimization of Contact Time for Adsorption of the Rh B by the Modified CLN
3.3. Effect of pH on the Adsorption of the Rh B by the Natural and Modified CLN
3.4. Effect of the Adsorbent Dose on the Adsorption of Rh B by the Raw and Modified CLN
3.5. Effect of Temperature on the Adsorption Process of Rh B by the Raw and Modified CLN
3.6. Effect of Adsorbate (Rh B) Concentration on Its Adsorption by the Raw and Modified CLN
3.7. Desorption Study
3.8. Adsorption Kinetic Models
3.8.1. Pseudo-First-Order Kinetic Model
3.8.2. Pseudo-Second-Order Kinetic Model
3.9. Adsorption Isotherm Study
3.9.1. Freundlich Adsorption Isotherm
3.9.2. Langmuir Adsorption Isotherm
3.9.3. Temkin Adsorption Isotherm
3.9.4. Dubinin–Radushkevich Isotherm (D—R Model)
3.10. Adsorption Mechanism on the Surface of the Modified Clinoptilolite
4. Conclusions
Supplementary Materials
Author Contributions
Funding
Institutional Review Board Statement
Informed Consent Statement
Data Availability Statement
Conflicts of Interest
References
- Singh, N.B.; Nagpal, G.; Agrawal, S. Water purification by using Adsorbents: A Review. Environ. Technol. Innov. 2018, 11, 187–240. [Google Scholar] [CrossRef]
- Shah, J.; Jan, M.R. Tasmia Magnetic Chitosan Graphene Oxide Composite for Solid Phase Extraction of Phenylurea Herbicides. Carbohydr. Polym. 2018, 199, 461–472. [Google Scholar] [CrossRef]
- Tkaczyk, A.; Mitrowska, K.; Posyniak, A. Synthetic organic dyes as contaminants of the aquatic environment and their implications for ecosystems: A review. Sci. Total Environ. 2020, 717, 137222. [Google Scholar] [CrossRef]
- Bharagava, R.N.; Chowdhary, P. Textile Wastewater Dyes: Toxicity Profile and Treatment Approaches. In Emerging and Eco-Friendly Approaches for Waste Management; Springer: Singapore, 2018; pp. 219–244. ISBN 9789811086694. [Google Scholar]
- Al-gheethi, A.A.; Marsya, Q.; Senthil, P.; Abdirizak, A.; Al-buriahi, A.K.; Maya, R.; Radin, S.; Al-shaibani, M.M. Chemosphere Sustainable approaches for removing Rhodamine B dye using agricultural waste adsorbents: A review. Chemosphere 2022, 287, 132080. [Google Scholar] [CrossRef]
- Carmine, A.L.; Ancona, A.; Di Cesare, K.; Dumontel, B.; Garino, N.; Canavese, G. Sonophotocatalytic degradation mechanisms of Rhodamine B dye via radicals generation by micro- and nano-particles of ZnO. Appl. Catal. B Environ. 2018, 243, 629–640. [Google Scholar]
- Xiao, W.; Garba, Z.N.; Sun, S.; Lawan, I.; Wang, L.; Lin, M.; Yuan, Z. Preparation and evaluation of an effective activated carbon from white sugar for the adsorption of rhodamine B dye. J. Clean. Prod. 2020, 253, 119989. [Google Scholar] [CrossRef]
- Júnior, M.A.C.; dos Santos, A.G.; de Paulo Silva, E.; Maimoni, G.F.; Martins, H.N.; de Moura Assis, M.L.; Camargo, C.A.C.M.; Camargo, M.A.F. Advances in the Treatment of Textile Effluents: A Review. Open Access Libr. J. 2019, 6, e5549. [Google Scholar] [CrossRef]
- Piaskowski, K.; Świderska-Dąbrowska, R.; Zarzycki, P.K. Dye removal from water and wastewater using various physical, chemical, and biological processes. J. AOAC Int. 2018, 101, 1371–1384. [Google Scholar] [CrossRef]
- Zajda, M.; Aleksander-Kwaterczak, U. Wastewater treatment methods for effluents from the confectionery industry-An overview. J. Ecol. Eng. 2019, 20, 293–304. [Google Scholar] [CrossRef]
- Dickhout, J.M.; Moreno, J.; Biesheuvel, P.M.; Boels, L.; De Vos, W.M.; Lammertink, R.G.H. Produced water treatment by membranes: A review from a colloidal perspective. J. Colloid Interface Sci. 2017, 487, 523–534. [Google Scholar] [CrossRef]
- Abdel-Aziz, R.; Ahmed, M.A.; Messih, M.F.A. A novel UV and visible light driven photocatalyst AgIO4/ZnO nanoparticles with highly enhanced photocatalytic performance for removal of rhodamine B and indigo carmine dyes. J. Photochem. Photobiol. A Chem. 2020, 389, 112245. [Google Scholar] [CrossRef]
- Raghu, S.; Woo, C.; Chellammal, S.; Palanichamy, S.; Basha, C.A. Evaluation of electrochemical oxidation techniques for degradation of dye effluents—A comparative approach. J. Hazard. Mater. 2009, 171, 748–754. [Google Scholar] [CrossRef]
- Adekola, F.A.; Ayodele, S.B.; Inyinbor, A.A. Activated biochar prepared from plaintain peels: Characterization and Rhodamine B adsorption data set. Chem. Data Collect. 2019, 19, 100170. [Google Scholar] [CrossRef]
- Saleh, T.A.; Ali, I. Synthesis of polyamide grafted carbon microspheres for removal of rhodamine B dye and heavy metals. J. Environ. Chem. Eng. 2018, 6, 5361–5368. [Google Scholar] [CrossRef]
- Mehrali-afjani, M.; Nezamzadeh-ejhieh, A. Efficient solid amino acid—Clinoptilolite nanoparticles adsorbent for Mn (II) removal: A comprehensive study on designing the experiments, thermodynamic and kinetic aspects. Solid State Sci. 2020, 101, 106124. [Google Scholar] [CrossRef]
- Zanin, E.; Scapinello, J.; de Oliveira, M.; Rambo, C.L.; Franscescon, F.; Freitas, L.; de Mello, J.M.M.; Fiori, M.A.; Oliveira, J.V.; Dal Magro, J. Adsorption of heavy metals from wastewater graphic industry using clinoptilolite zeolite as adsorbent. Process Saf. Environ. Prot. 2016, 105, 194–200. [Google Scholar] [CrossRef]
- Kim, G.; Kim, S.; Choi, J. Development of an Agent Suited for Adsorbing Cs-137 from Ash and Soil Waste Solutions. Sep. Purif. Technol. 2017, 173, 193–199. [Google Scholar] [CrossRef]
- Elaiopoulos, K.; Perraki, T.; Grigoropoulou, E. Microporous and Mesoporous Materials Monitoring the Effect of Hydrothermal Treatments on the Structure of a Natural Zeolite through a Combined XRD, FTIR, XRF, SEM and N2-Porosimetry Analysis. Microporous Mesoporous Mater. 2010, 134, 29–43. [Google Scholar] [CrossRef]
- Shahwan, T.; Zünbül, B.; Tunusoǧlu, Ö.; Eroǧlu, A.E. AAS, XRPD, SEM/EDS, and FTIR Characterization of Zn2+ Retention by Calcite, Calcite-Kaolinite, and Calcite-Clinoptilolite Minerals. J. Colloid Interface Sci. 2005, 286, 471–478. [Google Scholar] [CrossRef]
- Ambrozova, P. Synthesis and Modification of Clinoptilolite. Molecules 2017, 22, 1107. [Google Scholar] [CrossRef]
- Akgu, M.; Acar, O.; Yu, Y. Removal of Silver (I) from Aqueous Solutions with Clinoptilolite. Microporous Mesoporous Mater. 2006, 94, 99–104. [Google Scholar] [CrossRef]
- Rodríguez, P.S.A.; Paramio, J.M.G.C.; Díez, C.F.E. H-Clinoptilolite as an Efficient and Low-Cost Adsorbent for Batch and Continuous Gallium Removal from Aqueous Solutions. J. Sustain. Metall. 2021, 7, 1699–1716. [Google Scholar] [CrossRef]
- Moradi, M.; Karimzadeh, R.; Sadat, E. Modi Fi Ed and Ion Exchanged Clinoptilolite for the Adsorptive Removal of Sulfur Compounds in a Model Fuel: New Adsorbents for Desulfurization. Fuel 2018, 217, 467–477. [Google Scholar] [CrossRef]
- Kurama, H.; Zimmer, A.; Reschetilowski, W. Chemical Modification Effect on the Sorption Capacities of Natural Clinoptilolite. Chem. Eng. Technol. 2002, 25, 301–305. [Google Scholar] [CrossRef]
- Król, M.; Rożek, P.; Chlebda, D.; Mozgawa, W. ATR/FT-IR Studies of Zeolite Formation during Alkali-Activation of Metakaolin. Solid State Sci. 2019, 94, 114–119. [Google Scholar] [CrossRef]
- Lin, H.; Liu, Q.; Dong, Y.; Chen, Y.; Huo, H.; Liu, S. Study on Channel Features and Mechanism of Clinoptilolite Modified by LaCl3. J. Mater. Sci. Res. 2013, 2, 37–44. [Google Scholar] [CrossRef]
- Altynbaeva, L.S.; Mashentseva, A.A.; Aimanova, N.A.; Zheltov, D.A. Eco-Friendly Electroless Template Synthesis of Cu-Based Composite Track-Etched Membranes for Sorption Removal of Lead (II) Ions. Membranes 2023, 13, 495. [Google Scholar] [CrossRef] [PubMed]
- Ngeno, E.C.; Shikuku, V.O.; Orata, F.; Baraza, L.D.; Kimosop, S.J. Caffeine and ciprofloxacin adsorption from water onto Clinoptilolite: Linear isotherms, kinetics, thermodynamic and mechanistic studies. S. Afr. J. Chem. 2019, 72, 136–142. [Google Scholar] [CrossRef]
- Tasmia; Shah, J.; Jan, M.R. Microextraction of Selected Endocrine Disrupting Phenolic Compounds Using Magnetic Chitosan Biopolymer Graphene Oxide Nanocomposite. J. Polym. Environ. 2020, 28, 1673–1683. [Google Scholar] [CrossRef]
- Cheng, Z.; Li, Y.; Liu, Z. Novel adsorption materials based on graphene oxide/Beta zeolite composite materials and their adsorption performance for rhodamine B. J. Alloys Compd. 2017, 708, 255–263. [Google Scholar] [CrossRef]
- Qiu, M.; Qian, C.; Xu, J.; Wu, J.; Wang, G. Studies on the adsorption of dyes into clinoptilolite. Desalination 2009, 243, 286–292. [Google Scholar] [CrossRef]
- Armagan, B.; Turan, M.; Mehrnet, S. Equilibrium studies on the adsorption of reactive azo dyes into zeolite. Desalination 2004, 170, 33–39. [Google Scholar] [CrossRef]
- Kılınc, S. The adsorption kinetics and removal of cationic dye, Toluidine Blue O, from aqueous solution with Turkish zeolite. J. Hazard. Mater. 2008, 151, 213–220. [Google Scholar]
- Kadirvelu, K. Activated carbon from industrial solid waste as an adsorbent for the removal of Rhodamine-B from aqueous solution: Kinetic and equilibrium studies. Chemosphere 2005, 60, 1009–1017. [Google Scholar] [CrossRef] [PubMed]
- Vijayakumar, G.; Tamilarasan, R.; Dharmendirakumar, M. Adsorption, Kinetic, Equilibrium and Thermodynamic studies on the removal of basic dye Rhodamine-B from aqueous solution by the use of natural adsorbent perlite. J. Mater. Environ. Sci. 2012, 3, 157–170. [Google Scholar]
- Ding, L.; Zou, B.; Gao, W.; Liu, Q.; Wang, Z.; Guo, Y.; Wang, X.; Liu, Y. Adsorption of Rhodamine-B from aqueous solution using treated rice husk-based activated carbon. Colloids Surf. A Physicochem. Eng. Asp. 2014, 446, 1–7. [Google Scholar] [CrossRef]
- Selvam, P.P.; Preethi, S.; Basakaralingam, P.; Thinakaran, N.; Sivasamy, A.; Sivanesan, S. Removal of rhodamine B from aqueous solution by adsorption onto sodium montmorillonite. J. Hazard. Mater. 2008, 155, 39–44. [Google Scholar] [CrossRef]
- Hayeeye, F.; Sattar, M.; Chinpa, W.; Sirichote, O. Kinetics and thermodynamics of Rhodamine B adsorption by gelatin/activated carbon composite beads. Colloids Surf. A Physicochem. Eng. Asp. 2017, 513, 259–266. [Google Scholar] [CrossRef]
- Shrestha, D. Efficiency of Wood-Dust of Dalbergia Sisoo as Low-Cost Adsorbent for Rhodamine-B Dye Removal. Nanomaterials 2021, 11, 2217. [Google Scholar] [CrossRef] [PubMed]
- Thakur, A.; Kaur, H. Response Surface Optimization of Rhodamine B Dye Removal Using Paper Industry Waste as Adsorbent. Int. J. Ind. Chem. 2017, 8, 175–186. [Google Scholar] [CrossRef]
- Ai, H.; Pham, L.; Vo, T.K.; Nguyen, D.T.; Huynh, H.K. Facile Synthesis of Bismuth Terephthalate Metal—Organic Frameworks and Their Visible-Light- Driven Photocatalytic Activities toward Rhodamine B Dye. Green Chem. Lett. Rev. 2022, 15, 572–581. [Google Scholar] [CrossRef]








| Desorbent | μg Adsorbed (Ci) | Abs | μg mL−1 (from Graph) | μg Desorbed | % Desorbed | Average % Desorbed |
|---|---|---|---|---|---|---|
| 0.1 M HCl | 388.60 | 0.51 | 8.62 | 86.23 | 17.19 | 17.44 |
| 400.17 | 0.48 | 7.93 | 79.28 | 15.81 | ||
| 411.75 | 0.46 | 7.47 | 74.65 | 19.13 | ||
| 0.1 M NaOH | 382.81 | 0.44 | 7.00 | 70.02 | 14.29 | 15.54 |
| 394.39 | 0.42 | 6.54 | 65.39 | 16.58 | ||
| 411.75 | 0.4 | 6.08 | 60.76 | 15.76 | ||
| Ethanol | 382.81 | 0.38 | 9.55 | 95.49 | 24.94 | 27.12 |
| 394.39 | 0.37 | 8.62 | 86.23 | 26.86 | ||
| 411.75 | 0.33 | 9.09 | 90.86 | 27.87 | ||
| Methanol | 382.81 | 0.31 | 7.23 | 72.34 | 27.73 | 29.51 |
| 394.39 | 0.37 | 6.77 | 67.71 | 29.34 | ||
| 411.75 | 0.39 | 7.70 | 76.97 | 30.44 |
| Kinetic Model | Parameters | Value |
|---|---|---|
| Experimental | qe (mg g−1) | 2.81 |
| Pseudo-first-order kinetics | k1 (min−1) | 0.111 |
| qe (mg g−1) | 2.328 | |
| R2 | 0.997 | |
| Pseudo–second-order kinetics | qe (mg g−1) | 3.195 |
| k2 (g mg−1 min−1) | 0.059 | |
| R2 | 0.999 |
| Isotherms | Parameters | Value |
|---|---|---|
| Freundlich | KF (mg g−1) | 2.228 |
| n | 1.706 | |
| 1/n | 0.586 | |
| R2 | 0.995 | |
| Langmuir | KL (L mg−1) | 0.054 |
| qm (mg g−1) | 26.316 | |
| R2 | 0.945 | |
| Temkin | B | 5.334 |
| AT | 0.617 | |
| R2 | 0.948 | |
| D—R | β (mol2 kJ−2) | −7.31 × 10−4 |
| qm (mg g−1) | 0.036 | |
| R2 | 0.935 |
| S.No. | Adsorbent | Initial Conc of Rh B Dye (mg L−1) | Adsorption Capacity (mg g−1) | Adsorbent Amount (g) | Time (min) | pH | References |
|---|---|---|---|---|---|---|---|
| 1 | Rice Husk-based Activated Carbon | 100 | 100.10 | 0.02 | 300 | No remarkable effect | [37] |
| 2 | Sodium Montmorillonite | 200 | 42.19 | 0.3 | 1440 | 7 | [38] |
| 3 | Gelatin–Activated Carbon composite | 100 | 256.41 | 0.15 | 1800 | 4 | [39] |
| 4 | Activated Carbon (AC) Derived from the WoodDust of Dalbergia sisoo (Sisau) | 20 | 3.444 | 0.03 | 5 | 8.5 | [40] |
| 5 | Paper Industry Waste Sludge | 50 | 6.711 | 2 | 60 | 4.4 | [41] |
| 6 | Bismuth terephthalate Metal–Organic Frameworks | 15 | --- | 0.03 | 90 | ˂7 | [42] |
| 7 | Activated Carbon from White Sugar | 50 | 123.46 | 0.08 | 12 | …….. | [7] |
| 8 | -Modified Chlinoptilolite | 20 | 3.195 | 0.1 | 40 | 10 | Present work |
Disclaimer/Publisher’s Note: The statements, opinions and data contained in all publications are solely those of the individual author(s) and contributor(s) and not of MDPI and/or the editor(s). MDPI and/or the editor(s) disclaim responsibility for any injury to people or property resulting from any ideas, methods, instructions or products referred to in the content. |
© 2024 by the authors. Licensee MDPI, Basel, Switzerland. This article is an open access article distributed under the terms and conditions of the Creative Commons Attribution (CC BY) license (https://creativecommons.org/licenses/by/4.0/).
Share and Cite
Shah, S.F.A.; Khitab, F.; Rasool, S.; Khattak, R.; Tasmia; Gul, H.; Muhammad, R.; Khan, M.S.; Naseem, M.; Vincevica-Gaile, Z. Modified Clinoptilolite for the Removal of Rhodamine B Dye from Wastewater. Sustainability 2024, 16, 2267. https://doi.org/10.3390/su16062267
Shah SFA, Khitab F, Rasool S, Khattak R, Tasmia, Gul H, Muhammad R, Khan MS, Naseem M, Vincevica-Gaile Z. Modified Clinoptilolite for the Removal of Rhodamine B Dye from Wastewater. Sustainability. 2024; 16(6):2267. https://doi.org/10.3390/su16062267
Chicago/Turabian StyleShah, Syed Fawad Ali, Fatima Khitab, Shagufta Rasool, Rozina Khattak, Tasmia, Hajera Gul, Riaz Muhammad, Muhammad Sufaid Khan, Munaza Naseem, and Zane Vincevica-Gaile. 2024. "Modified Clinoptilolite for the Removal of Rhodamine B Dye from Wastewater" Sustainability 16, no. 6: 2267. https://doi.org/10.3390/su16062267
APA StyleShah, S. F. A., Khitab, F., Rasool, S., Khattak, R., Tasmia, Gul, H., Muhammad, R., Khan, M. S., Naseem, M., & Vincevica-Gaile, Z. (2024). Modified Clinoptilolite for the Removal of Rhodamine B Dye from Wastewater. Sustainability, 16(6), 2267. https://doi.org/10.3390/su16062267

