Research on Digital Technology to Promote Low-Carbon Transformation of Manufacturing Industries Under the Perspective of Green Credit: An Evolutionary Game Theory Approach
Abstract
1. Introduction
- (1)
- Considering the important roles of commercial banks (CBs) and digital businesses (DBs) in the low-carbon development process, CBs and DBs are included in the evolutionary game model of the low-carbon transformation in the MIs, which provides a new theoretical framework for understanding how digitalization and greening can work together to drive the MIs to achieve low-carbon goals.
- (2)
- Adopting evolutionary game theory, this study reveals the strategic choice mechanisms of various stakeholders and their key influencing factors in the low-carbon transition process under the condition of finite rationality, providing valuable insights for policy makers and industry practitioners.
- (3)
- Using numerical simulation methods, this study compares and analyzes the dynamic evolution paths of non-polluting MIs and polluting MIs under different combinations of strategies and external influences, with the aim of providing a scientific basis and decision support for the formulation of effective sustainable development strategies.
2. Literature Review
2.1. Green Credit and Its Impact on MIs
2.2. Application of GDT in Low-Carbon Transition of MIs
2.3. Application of Evolutionary Game Theory to the Low-Carbon Transition in MIs
3. Three-Party Evolutionary Game Modeling
3.1. Stakeholders
3.2. Basic Hypothesis
3.3. Model Building
4. Model Analysis
4.1. Stability Analysis of CBs’ Strategies
- (1)
- When , and . This suggests that when the strategy choices of the CBs do not change over time, the value of x does not affect the game system’s stable state.
- (2)
- When , both and are possible equilibria. When , , and , is the only equilibrium point for the evolution of the CBs strategy, and the evolutionarily stable strategy is the traditional credit model. When , , and , is the only equilibrium point for the evolution of the CBs strategy and the evolutionary stabilization strategy is the green credit model.
4.2. Stability Analysis of DBs’ Strategies
- (1)
- When , and . This indicates that the value of y does not affect the steady state of the gaming system when the strategy choices of the DBs do not change over time.
- (2)
- When , both and are possible equilibria. When , , and , is the unique equilibrium point for the evolution of the DBs’ strategies, and the evolutionarily stable strategy is no innovation. When , , and , is the unique equilibrium point for the evolution of the DBs’ strategies, and the evolutionarily stable strategy is innovation.
4.3. Stability Analysis of MIs’ Strategies
- (1)
- When , and . At this point, it is shown that the value of z does not affect the steady state of the gaming system when the strategy choices of the MIs do not change over time.
- (2)
- When , both and are possible equilibria. When , , and , is the only equilibrium point for the evolution of the Mis’ strategy, and the evolutionarily stable strategy is self-innovation. When , , and , is the only equilibrium for the evolution of the Mis’ strategies, and the evolutionarily stable strategy is seeking cooperation.
4.4. Stability Analysis of System Equilibrium Points
5. Numerical Analysis
5.1. Initial Parameter Setting
5.2. Simulation Analysis of Initial Strategy Changes
5.2.1. Simulation Analysis of Initial Strategy Changes for Non-Polluting MIs
5.2.2. Simulation Analysis of Changes in Initial Strategies for Polluting MIs
5.3. Impacts of Parameter Changes on Evolutionary Outcomes
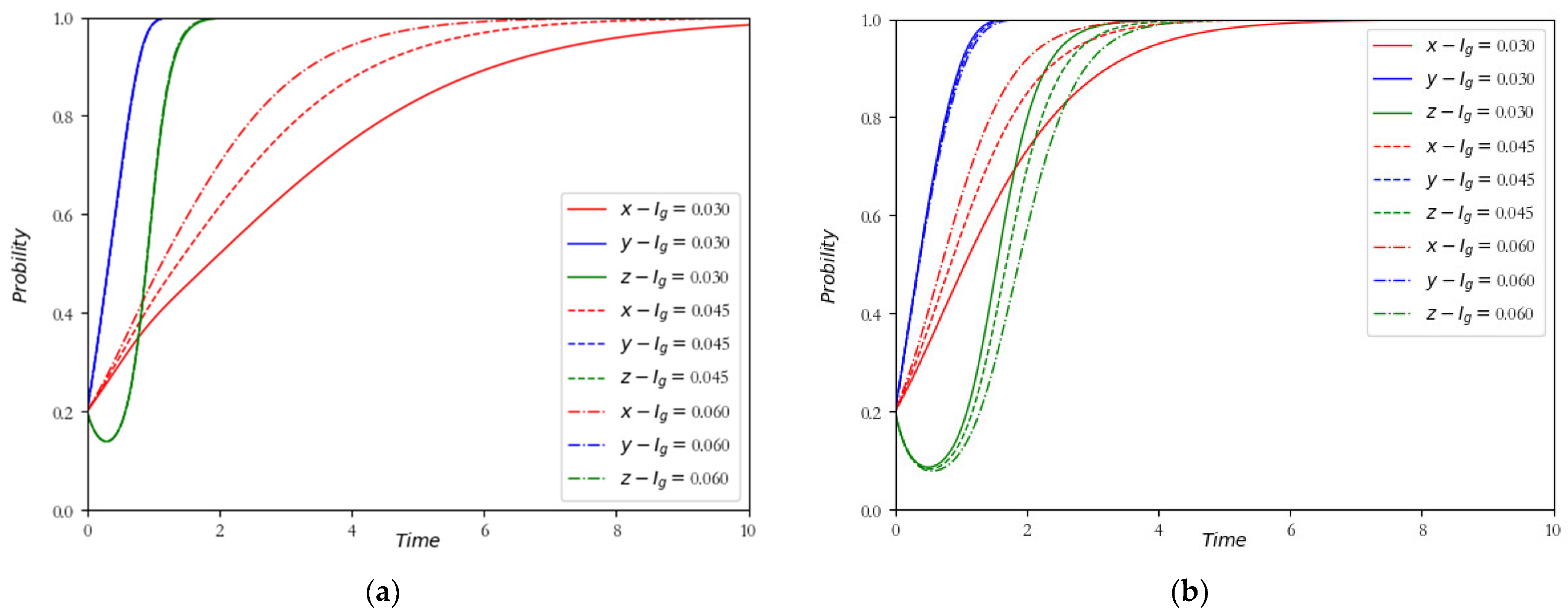
5.3.1. Impact of Ig on Evolutionary Results
5.3.2. Impacts of CM on Evolutionary Results
5.3.3. Impacts of I on Evolutionary Results
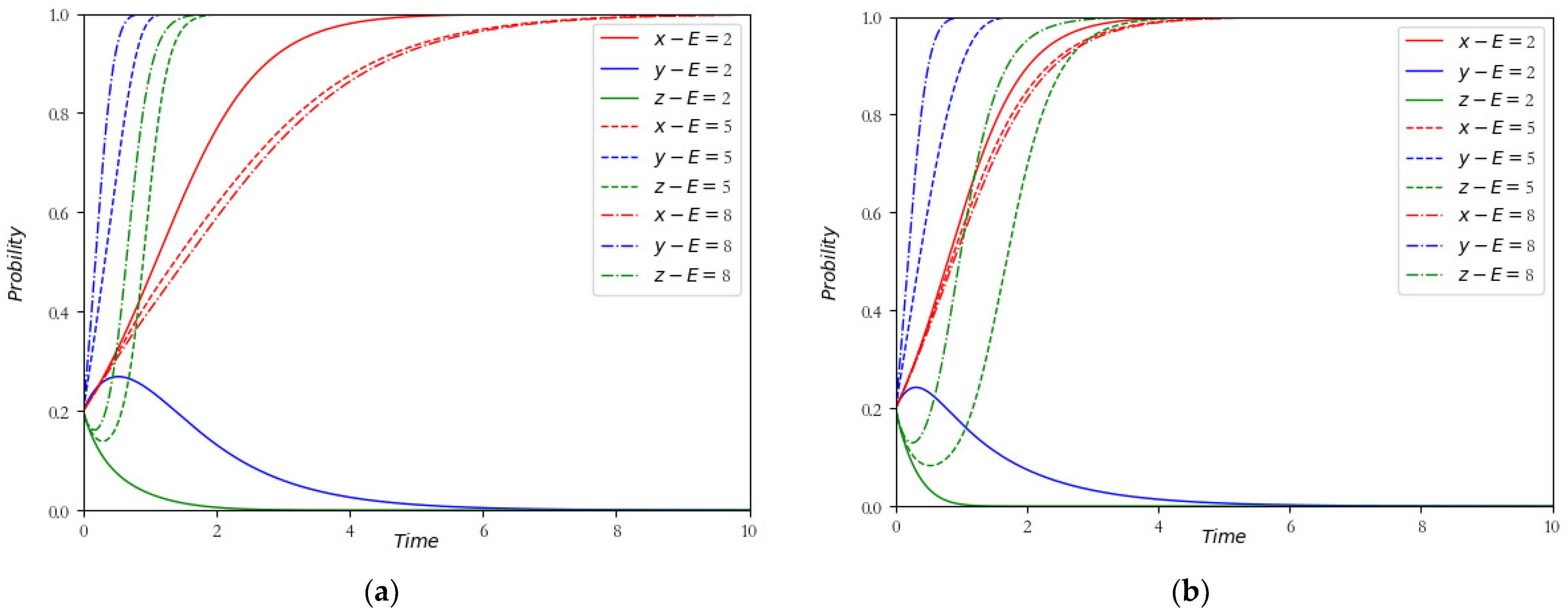
5.3.4. Impacts of E on Evolutionary Results
5.3.5. Impacts of Rb on Evolutionary Results
6. Discussion
6.1. Conclusions
- (1)
- While most existing studies focus on the impact of green credit on a single type of manufacturing industry [75,76,77], this study delves into the specific impacts of green credit on manufacturing industries with different levels of pollution. The increase in the interest rate of the green credit model has no significant effect on the introduction of green digital technologies for low-carbon transformation in the non-polluting manufacturing industries sector but it reduces the willingness of the polluting manufacturing industries to introduce these technologies due to the increase in financing costs. If the change in additional benefits brought about by commercial banks choosing the green credit model is too small, it will prompt banks to be reluctant to develop green credit products, thereby reducing the willingness of non-polluting manufacturing industries to introduce green digital technologies for the low-carbon transformation. However, in this case, the polluting manufacturing industries may accelerate the process of introducing green digital technologies for the low-carbon transformation.
- (2)
- Many studies have confirmed that green digital technologies can accelerate the low-carbon transition in manufacturing industries [34,78]. However, these studies tend to ignore the investment cost pressures that manufacturing industries face in adopting these technologies. In the process of the low-carbon transformation, the polluting manufacturing industries face higher cost pressures and stricter financial constraints. Therefore, compared with non-polluting manufacturing industries, polluting manufacturing industries are more sensitive to the investment costs of adopting green digital technologies. If the economic benefits of these technologies are not evident or fall short of expectations, polluting manufacturing industries may deem the financial returns insufficient to justify their high initial investments. Consequently, they might prefer to pursue economically viable low-carbon transition paths through independent innovation.
- (3)
- A moderate subsidy policy can effectively incentivize digital businesses to actively engage in the innovation of green digital technologies [65,79,80]. In addition, this study also finds that government subsidies for the innovation activities of digital business not only help to stimulate their enthusiasm for R&D but also significantly accelerate the cooperation process between digital businesses and the manufacturing industries, thereby more strongly promoting the manufacturing industries to move towards the goal of low-carbon transformation. Government subsidies not only provide digital business with the necessary financial support and reduce the risk of developing and applying new technologies but also stimulate the enthusiasm of manufacturing enterprises to adopt green digital technologies. Through cooperation, both sides can jointly explore more efficient and environmentally friendly production modes and achieve the goals of optimal resource allocation and sustainable development.
6.2. Management Insights
- (1)
- Businesses should balance the pricing of green credit products with returns. The interest rate should be reasonably set, not only to avoid it being so high as to reduce the non-polluting manufacturing industries’ willingness to introduce green digital technology but also to ensure that it can produce enough additional revenue to promote product development. At the same time, we should improve the risk assessment system and take into account a variety of factors, including the potential of manufacturing industries to undergo the low-carbon transformation, in order to reduce the credit risks. In this way, enterprises can be better incentivized to carry out the low-carbon transformation and ensure that green credit business can effectively promote the low-carbon sustainable development of the manufacturing industry.
- (2)
- Digital businesses should actively seek government subsidies for innovative green digital technologies, so as to reduce the risks of research and development and the application of new technologies and accelerate the processes of research and development and promotion. They should take the initiative to strengthen their cooperation with manufacturing industries and gain a deeper understanding of their needs for the low-carbon transformation. In particular, more attention should be paid to the special needs of polluting manufacturing industries. By working together to develop efficient green digital solutions, an optimal allocation of resources can be achieved, thereby promoting the realization of the goal of the low-carbon transformation of the manufacturing industries.
- (3)
- Non-polluting manufacturing industries need to maintain the enthusiasm for introducing green digital technologies for low-carbon transformation, communicate closely with commercial banks, pay attention to changes in credit policies and interest rates, and ensure stable financial support. They should broaden their cooperation with digital business, not only to introduce technology but also to jointly carry out research and development projects to enhance their own green low-carbon technology application capabilities. Polluting manufacturing industries should finely assess the cost-effectiveness before introducing green digital technologies. If the cost is high or the benefit is not obvious, they can explore the transformation path via self-innovation first, while paying attention to the technology development trend. They should actively seek relevant government policy support to reduce the cost of the transformation, and in due course, they should receive help from government subsidies for digital businesses to strengthen cooperation with digital business to introduce technology.
6.3. Limitations
Author Contributions
Funding
Institutional Review Board Statement
Informed Consent Statement
Data Availability Statement
Conflicts of Interest
References
- Wang, Y.; Liu, J.; Zhao, Z.; Ren, J.; Chen, X. Research on carbon emission reduction effect of China’s regional digital trade under the “double carbon” target—Combination of the regulatory role of industrial agglomeration and carbon emissions trading mechanism. J. Clean. Prod. 2023, 405, 137049. [Google Scholar] [CrossRef]
- Liu, Y.; Zhao, X.; Kong, F. The dynamic impact of digital economy on the green development of traditional manufacturing industries: Evidence from China. Econ. Anal. Policy 2023, 80, 143–160. [Google Scholar] [CrossRef]
- Yin, S.; Zhang, N.; Ullah, K.; Gao, S. Enhancing digital innovation for the sustainable transformation of manufacturing industries: A pressure-state-response system framework to perceptions of digital green innovation and its performance for green and intelligent manufacturing. Systems 2022, 10, 72. [Google Scholar] [CrossRef]
- Liu, Y.; Zhang, X.; Shen, Y. Technology-driven carbon reduction: Analyzing the impact of digital technology on China’s carbon emission and its mechanism. Technol. Forecast. Soc. Chang. 2024, 200, 123124. [Google Scholar] [CrossRef]
- Chang, J. The impact of digitalization on low-carbon transition in China: The moderating role of dual development targets. Environ. Dev. Sustain. 2024, 1–26. [Google Scholar] [CrossRef]
- Huang, J.; Chen, X.; Zhao, X. How Digital Technology Reduces Carbon Emissions: From the Perspective of Green Innovation, Industry Upgrading, and Energy Transition. J. Knowl. Econ. 2024, 1–33. [Google Scholar] [CrossRef]
- Hoosain, M.S.; Paul, B.S.; Ramakrishna, S. The impact of 4IR digital technologies and circular thinking on the United Nations sustainable development goals. Sustainability 2020, 12, 10143. [Google Scholar] [CrossRef]
- Liu, H.; Liu, Z.; Zhang, C.; Li, T. Transformational insurance and green credit incentive policies as financial mechanisms for green energy transitions and low-carbon economic development. Energy Econ. 2023, 126, 107016. [Google Scholar] [CrossRef]
- Sartzetakis, E.S. Green bonds as an instrument to finance low carbon transition. Econ. Chang. Restruct. 2021, 54, 755–779. [Google Scholar] [CrossRef]
- Zhu, Q.; Zheng, K.; Wei, Y. Three-Party Stochastic Evolutionary Game Analysis of Reward and Punishment Mechanism for Green Credit. Discret. Dyn. Nat. Soc. 2021, 2021, 5596015. [Google Scholar] [CrossRef]
- Liu, B.; Li, Y.; Tian, X.; Sun, L.; Xiu, P. Can digital economy development contribute to the low-carbon transition? Evidence from the city level in China. Int. J. Environ. Res. Public Health 2023, 20, 2733. [Google Scholar] [CrossRef] [PubMed]
- Xu, P.; Ye, P.; Zhao, F.; Jahanger, A. Technology spillover and market competitiveness in green credit induced corporate green innovation: An evolutionary game theory and empirical study. Technol. Forecast. Soc. Chang. 2024, 207, 123622. [Google Scholar] [CrossRef]
- Zhang, L.; Xue, L.; Zhou, Y. How do low-carbon policies promote green diffusion among alliance-based firms in China? An evolutionary-game model of complex networks. J. Clean. Prod. 2019, 210, 518–529. [Google Scholar] [CrossRef]
- Feng, N.; Ge, J. How does fiscal policy affect the green low-carbon transition from the perspective of the evolutionary game? Energy Econ. 2024, 134, 107578. [Google Scholar] [CrossRef]
- Xue, J.; He, Y.; Gao, P.; Tang, Y.; Xu, H. Multi-agent evolutionary game model: Corporate low-carbon manufacturing, Chinese government supervision, and public media investigation. Sustainability 2022, 14, 5587. [Google Scholar] [CrossRef]
- Zhou, K.; Ren, T. Low-carbon technology collaborative innovation in industrial cluster with social exclusion: An evolutionary game theory perspective. Chaos Interdiscip. J. Nonlinear Sci. 2021, 31, 033124. [Google Scholar] [CrossRef]
- Shi, Y.; Han, B.; Zeng, Y. Simulating policy interventions in the interfirm diffusion of low-carbon technologies: An agent-based evolutionary game model. J. Clean. Prod. 2020, 250, 119449. [Google Scholar] [CrossRef]
- Wang, J.; He, Y.-Q.; Wang, H.-G.; Wu, R.-F. Low-carbon promotion of new energy vehicles: A quadrilateral evolutionary game. Renew. Sustain. Energy Rev. 2023, 188, 113795. [Google Scholar] [CrossRef]
- Tian, T.; Sun, S. Low-carbon transition pathways in the context of carbon-neutral: A quadrilateral evolutionary game analysis. J. Environ. Manag. 2022, 322, 116105. [Google Scholar] [CrossRef]
- Yuan, X.M.; Zheng, C.C. Evolutionary game and simulation analysis of low-carbon technology innovation with multi-agent participation. IEEE Access 2022, 10, 11284–11295. [Google Scholar] [CrossRef]
- Shi, Y.; Wei, Z.; Shahbaz, M.; Zeng, Y. Exploring the dynamics of low-carbon technology diffusion among enterprises: An evolutionary game model on a two-level heterogeneous social network. Energy Econ. 2021, 101, 105399. [Google Scholar] [CrossRef]
- Lagoarde-Segot, T.; Martínez, E.A. Ecological finance theory: New foundations. Int. Rev. Financ. Anal. 2021, 75, 101741. [Google Scholar] [CrossRef]
- Nayve Jr, R.M.; Sistoso, R.; Timbang, F. Resilience and Diversity in Financial Economics: A Paradigm Shift towards Ecological Finance Theory. JMM17 J. Ilmu Ekon. Dan Manaj. 2024, 11, 69–78. [Google Scholar]
- Su, C.W.; Umar, M.; Gao, R. Save the environment, get financing! How China is protecting the environment with green credit policies? J. Environ. Manag. 2022, 323, 116178. [Google Scholar] [CrossRef]
- Zheng, W.; Zhang, L.; Hu, J. Green credit, carbon emission and high quality development of green economy in China. Energy Rep. 2022, 8, 12215–12226. [Google Scholar] [CrossRef]
- Lee, C.C.; Chang, Y.F.; Wang, E.Z. Crossing the rivers by feeling the stones: The effect of China’s green credit policy on manufacturing firms’ carbon emission intensity. Energy Econ. 2022, 116, 106413. [Google Scholar] [CrossRef]
- Hu, Y.; Jiang, H.; Zhong, Z. Impact of green credit on industrial structure in China: Theoretical mechanism and empirical analysis. Environ. Sci. Pollut. Res. 2020, 27, 10506–10519. [Google Scholar] [CrossRef]
- Shao, C.; Wei, J.; Liu, C. Empirical analysis of the influence of green credit on the industrial structure: A case study of China. Sustainability 2021, 13, 5997. [Google Scholar] [CrossRef]
- Van Den Bergh, J.; Botzen, W. Low-carbon transition is improbable without carbon pricing. Proc. Natl. Acad. Sci. USA 2020, 117, 23219–23220. [Google Scholar] [CrossRef]
- Semieniuk, G.; Campiglio, E.; Mercure, J.F.; Volz, U.; Edwards, N.R. Low-carbon transition risks for finance. Wiley Interdiscip. Rev. Clim. Change 2021, 12, e678. [Google Scholar] [CrossRef]
- Xu, B.; Chen, J. How to achieve a low-carbon transition in the heavy industry? A nonlinear perspective. Renew. Sustain. Energy Rev. 2021, 140, 110708. [Google Scholar] [CrossRef]
- Zhang, M.M.; Wang, Q.; Zhou, D.; Ding, H. Evaluating uncertain investment decisions in low-carbon transition toward renewable energy. Appl. Energy 2019, 240, 1049–1060. [Google Scholar] [CrossRef]
- Green, F.; Gambhir, A. Transitional assistance policies for just, equitable and smooth low-carbon transitions: Who, what and how? Clim. Policy 2020, 20, 902–921. [Google Scholar] [CrossRef]
- Yang, G.; Nie, Y.; Li, H.; Wang, H. Digital transformation and low-carbon technology innovation in manufacturing firms: The mediating role of dynamic capabilities. Int. J. Prod. Econ. 2023, 263, 108969. [Google Scholar] [CrossRef]
- Song, J.; He, G.; Wang, J.; Zhang, P. Shaping future low-carbon energy and transportation systems: Digital technologies and applications. IEnergy 2022, 1, 285–305. [Google Scholar] [CrossRef]
- Wang, X.; Jia, X. Mechanism and policy of multimedia communications model and green low-carbon development mechanism in coal industry with cloud Internet of Things. Int. J. Commun. Syst. 2021, 34, e4523. [Google Scholar] [CrossRef]
- Zhang, Y.; Wang, Z.; Hu, J.; Pu, C. Intelligent management of carbon emissions of urban domestic sewage based on the Internet of Things. Environ. Res. 2024, 251, 118594. [Google Scholar] [CrossRef]
- Liu, X.H.; Shan, M.Y.; Zhang, L.H. Low-carbon supply chain resources allocation based on quantum chaos neural network algorithm and learning effect. Nat. Hazards 2016, 83, 389–409. [Google Scholar] [CrossRef]
- Kaleemullah Khan, M.; Javaid, N.; Murtaza, S.; Murtaza, S. Efficient energy management using fog computing. In Advances in Network-Based Information Systems: The 21st International Conference on Network-Based Information Systems (NBiS-2018); Springer: Berlin/Heidelberg, Germany, 2019; pp. 286–299. [Google Scholar]
- Hua, W.; Jiang, J.; Sun, H.; Wu, J. A blockchain based peer-to-peer trading framework integrating energy and carbon markets. Appl. Energy 2020, 279, 115539. [Google Scholar] [CrossRef]
- Ma, C. Sustainable manufacturing production synergy and circular economy model under low carbon energy based on thermal energy cycle and blockchain technology. Therm. Sci. Eng. Prog. 2024, 55, 102944. [Google Scholar] [CrossRef]
- Von Neumann, J.; Morgenstern, O. Theory of games and economic behavior: 60th anniversary commemorative edition. In Theory of Games and Economic Behavior; Princeton University Press: Princeton, NJ, USA, 2007. [Google Scholar]
- Alexander, J.M.K. Evolutionary Game Theory; Cambridge University Press: Cambridge, UK, 2023. [Google Scholar]
- Aumann, R.J. Rationality and bounded rationality. Games Econ. Behav. 1997, 21, 2–14. [Google Scholar] [CrossRef]
- Chen, L.; Bai, X.; Chen, B.; Wang, J. Incentives for green and low-carbon technological innovation of enterprises under environmental regulation: From the perspective of evolutionary game. Front. Energy Res. 2022, 9, 793667. [Google Scholar] [CrossRef]
- Shi, Z.; Cheng, J. How do government subsidies and consumers’ low-carbon preference promote new energy vehicle diffusion? A tripartite evolutionary game based on energy vehicle manufacturers, the government and consumers. Heliyon 2023, 9, e14327. [Google Scholar] [CrossRef] [PubMed]
- Hofbauer, J.; Sigmund, K. Evolutionary game dynamics. Bull. Am. Math. Soc. 2003, 40, 479–519. [Google Scholar] [CrossRef]
- Wang, G.; Chao, Y.; Cao, Y.; Jiang, T.; Han, W.; Chen, Z. A comprehensive review of research works based on evolutionary game theory for sustainable energy development. Energy Rep. 2022, 8, 114–136. [Google Scholar] [CrossRef]
- Xiong, F.; Su, Y.; Wu, J. Research on the Performance Management of Carbon Reduction by Local Governments from a Game Perspective—The Case of the Zhejiang Power Restriction Incident. Sustainability 2024, 16, 2318. [Google Scholar] [CrossRef]
- Wang, H.; Qi, S.; Zhou, C.; Zhou, J.; Huang, X. Green credit policy, government behavior and green innovation quality of enterprises. J. Clean. Prod. 2022, 331, 129834. [Google Scholar] [CrossRef]
- An, S.; Li, B.; Song, D.; Chen, X. Green credit financing versus trade credit financing in a supply chain with carbon emission limits. Eur. J. Oper. Res. 2021, 292, 125–142. [Google Scholar] [CrossRef]
- Deng, L.; Yang, L.; Li, W. Impact of green credit financing and carbon emission limits on the supply chain based on POF. Sustainability 2021, 13, 5814. [Google Scholar] [CrossRef]
- Zhang, H. Pathways to carbon neutrality in major exporting countries: The threshold effect of digital transition. Environ. Sci. Pollut. Res. 2023, 30, 7522–7542. [Google Scholar] [CrossRef]
- Wang, Y.; Yang, Y.; Qin, Z.; Yang, Y.; Li, J. A literature review on the application of digital technology in achieving green supply chain management. Sustainability 2023, 15, 8564. [Google Scholar] [CrossRef]
- Zhang, P.; Jin, L.; Wang, Y. Optimizing mechanisms for promoting low-carbon manufacturing industries towards carbon neutrality. Renew. Sustain. Energy Rev. 2023, 183, 113516. [Google Scholar] [CrossRef]
- Jia, C.; Zhang, R.; Wang, D. Evolutionary game analysis of low-carbon technology innovation diffusion under PPP mode in China. PLoS ONE 2022, 17, e0279493. [Google Scholar] [CrossRef] [PubMed]
- Liu, Z.; Qian, Q.; Hu, B.; Shang, W.-L.; Li, L.; Zhao, Y.; Zhao, Z.; Han, C. Government regulation to promote coordinated emission reduction among enterprises in the green supply chain based on evolutionary game analysis. Resour. Conserv. Recycl. 2022, 182, 106290. [Google Scholar] [CrossRef]
- Kang, K.; Zhao, Y.; Zhang, J.; Qiang, C. Evolutionary game theoretic analysis on low-carbon strategy for supply chain enterprises. J. Clean. Prod. 2019, 230, 981–994. [Google Scholar] [CrossRef]
- Zhou, Z.; Li, Y.; Zhang, Y. Carbon Offsetting-Driven Multi-Actor Low-Carbon Collaborative Evolutionary Game Analysis. Sustainability 2023, 15, 9167. [Google Scholar] [CrossRef]
- Zhu, Y.; Jin, S. COVID-19, digital transformation of banks, and operational capabilities of commercial banks. Sustainability 2023, 15, 8783. [Google Scholar] [CrossRef]
- Chen, G.; Lim, M.K.; Tseng, M.L. Green credit and transformation to enhance the plastic supply chain in China: A three-player evolutionary game perspective approach under dynamic green awareness. J. Clean. Prod. 2024, 448, 141416. [Google Scholar] [CrossRef]
- Wang, J.; Liu, X. Research on the development strategy selection of the new energy vehicle industry from the perspective of green credit—Based on the foursquare evolutionary game analysis. PLoS ONE 2024, 19, e0297813. [Google Scholar] [CrossRef]
- Tou, Y.; Watanabe, C.; Neittaanmäki, P. Fusion of technology management and financing management-Amazon’s transformative endeavor by orchestrating techno-financing systems. Technol. Soc. 2020, 60, 101219. [Google Scholar] [CrossRef]
- Bican, P.M.; Brem, A. Digital business model, digital transformation, digital entrepreneurship: Is there a sustainable “digital”? Sustainability 2020, 12, 5239. [Google Scholar] [CrossRef]
- Bai, Y.; Zhang, X.; Wang, D. Maximizing Green Innovation: The Impact of Government Subsidies and R&D in Digital Supply Chains. Kybernetes 2024. Available online: https://www.emerald.com/insight/content/doi/10.1108/k-01-2024-0101/full/html (accessed on 29 October 2024).
- Mithas, S.; Tafti, A.; Mitchell, W. How a firm’s competitive environment and digital strategic posture influence digital business strategy. MIS Q. 2013, 37, 511–536. [Google Scholar] [CrossRef]
- Yao, Y.; Li, M.; Lian, H. How Eco-Participating Firms Can Increase Their Willingness to Cooperate Sustainability: A Perceived Contractual Equity Perspective. Sustainability 2024, 16, 10541. [Google Scholar] [CrossRef]
- Semieniuk, G. Industrial policies and the competition for low-carbon manufacturing. Joule 2022, 6, 713–715. [Google Scholar] [CrossRef]
- Tang, D.; Li, J.; Qu, S.; Boamah, V. Tripartite collaboration among government, digital technology platform, and manufacturing enterprises: Evolutionary game model. Sustainability 2023, 15, 7946. [Google Scholar] [CrossRef]
- Guo, L.; Tan, W. Analyzing the synergistic influence of green credit and green technology innovation in driving the Low-Carbon transition of the energy consumption structure. Sustain. Energy Technol. Assess. 2024, 63, 103633. [Google Scholar] [CrossRef]
- Wu, L.; Zhu, C.; Wang, G. The impact of green innovation resilience on energy efficiency: A perspective based on the development of the digital economy. J. Environ. Manag. 2024, 355, 120424. [Google Scholar] [CrossRef]
- Jamali, M.-B.; Rasti-Barzoki, M.; Khosroshahi, H.; Altmann, J. An evolutionary game-theoretic approach to study the technological transformation of the industrial sector toward renewable electricity procurement: A case study of Iran. Appl. Energy 2022, 318, 119083. [Google Scholar] [CrossRef]
- Eghbali, M.A.; Rasti-Barzoki, M.; Safarzadeh, S. A hybrid evolutionary game-theoretic and system dynamics approach for analysis of implementation strategies of green technological innovation under government intervention. Technol. Soc. 2022, 70, 102039. [Google Scholar] [CrossRef]
- He, Z.; Liu, Q. The crossover cooperation mode and mechanism of green innovation between manufacturing and internet Enterprises in Digital Economy. Sustainability 2023, 15, 4156. [Google Scholar] [CrossRef]
- Tian, C.; Li, X.; Xiao, L.; Zhu, B. Exploring the impact of green credit policy on green transformation of heavy polluting industries. J. Clean. Prod. 2022, 335, 130257. [Google Scholar] [CrossRef]
- Chai, S.; Zhang, K.; Wei, W.; Ma, W.; Abedin, M.Z. The impact of green credit policy on enterprises’ financing behavior: Evidence from Chinese heavily-polluting listed companies. J. Clean. Prod. 2022, 363, 132458. [Google Scholar] [CrossRef]
- Guo, L.; Tan, W.; Xu, Y. Impact of green credit on green economy efficiency in China. Environ. Sci. Pollut. Res. 2022, 29, 35124–35137. [Google Scholar] [CrossRef]
- Lyu, Y.; Bai, Y.; Zhang, J. Digital transformation and enterprise low-carbon innovation: A new perspective from innovation motivation. J. Environ. Manag. 2024, 365, 121663. [Google Scholar] [CrossRef]
- Yang, G.; Deng, F.; Du, M. Research on the Asymmetric Influence of Non-R&D Subsidy and R&D Subsidy on Digital Enterprises Performance: Empirical Evidence from China’s Digital Industry. J. Knowl. Econ. 2023, 15, 14749–14786. [Google Scholar]
- Zheng, S.; Zhang, Y. Analyzing the evolutionary game of subsidies’ strategy in the digitization of marine ranch: A theoretical framework. Front. Mar. Sci. 2024, 11, 1376256. [Google Scholar] [CrossRef]








| Subject | Parameters | Descriptive |
|---|---|---|
| Commercial Banks | x | Probability of CBs choosing the strategy of the green credit model |
| ig | Credit rates of CBs choosing the strategy of the green credit model | |
| it | Credit rates of CBs choosing the strategy of the traditional credit model | |
| Rb | Additional benefits for CBs choosing the green credit model | |
| Cb | Costs of CBs choosing the green credit model | |
| V | Risks of CBs choosing the green credit model | |
| Digital Businesses | y | Probability of DBs innovating GDT |
| Cd | R&D costs required when DBs innovate GDT | |
| A | Brand benefits gained when DBs innovate GDT | |
| E | Government subsidies when DBs innovate GDT | |
| Rd | Gains when DBs do not innovate GDT | |
| M | Competitive market pressures faced by DBs when they do not innovate GDT | |
| Manufacturing Industries | z | Probability that MIs will seek cooperation for a low-carbon transition |
| CM | Base investment costs for MIs seeking to partner | |
| Cm | Costs of basic investment in MIs for autonomous innovation | |
| Rm | Benefits of low-carbon transition by MIs | |
| I | GDT support benefits when MIs seek to collaborate on low-carbon transitions | |
| G | Environmental preference coefficients for MIs |
| Commercial Banks | ||||
|---|---|---|---|---|
| Digital Businesses | Green Credit Model (x) | Traditional Credit Models (1 − x) | ||
| Manufacturing Industries | Manufacturing Industries | |||
| Seeking Cooperation (z) | Self-Innovation (1 − z) | Seeking Cooperation (z) | Self-Innovation (1 − z) | |
| Innovation (y) | ||||
| No innovation (1 − y) | ||||
| Equilibrium Point | λ | Symbol | Stability | Equilibrium Point | λ | Symbol | Stability |
|---|---|---|---|---|---|---|---|
| E1(1,1,1) | / | ESS when conditions 1, 2, and 3 are satisfied | E5(0,1,1) | / | ESS when conditions 9, 10, and 11 are satisfied | ||
| / | / | ||||||
| / | / | ||||||
| E2(1,1,0) | / | ESS when conditions 4, 5, and 6 are satisfied | E6(0,1,0) | / | ESS when conditions 12, 13, and 14 are satisfied | ||
| / | / | ||||||
| / | / | ||||||
| E3(1,0,1) | / | Instability | E7(0,0,1) | / | Instability | ||
| / | / | ||||||
| + | + | ||||||
| E4(1,0,0) | / | ESS when conditions 7 and 8 are satisfied | E8(0,0,0) | / | ESS when conditions 15 and 16 are satisfied | ||
| / | + A | / | |||||
| − | − |
| Environmental Preference | ig | it | Rb | Cb | V | Cd | A | E | Rd | M | CM | Cm | Rm | I | G |
|---|---|---|---|---|---|---|---|---|---|---|---|---|---|---|---|
| Non-polluting MIs | 0.045 | 0.085 | 5 | 2 | 1 | 8 | 5 | 5 | 9 | 9.5 | 15 | 10 | 15 | 10 | 0.5 |
| Polluting MIs | 0.045 | 0.085 | 5 | 2 | 1 | 8 | 5 | 5 | 9 | 9.5 | 15 | 10 | 15 | 10 | 1.5 |
Disclaimer/Publisher’s Note: The statements, opinions and data contained in all publications are solely those of the individual author(s) and contributor(s) and not of MDPI and/or the editor(s). MDPI and/or the editor(s) disclaim responsibility for any injury to people or property resulting from any ideas, methods, instructions or products referred to in the content. |
© 2024 by the authors. Licensee MDPI, Basel, Switzerland. This article is an open access article distributed under the terms and conditions of the Creative Commons Attribution (CC BY) license (https://creativecommons.org/licenses/by/4.0/).
Share and Cite
Qiu, Z.; Chen, Y.; Han, H.; Wang, T. Research on Digital Technology to Promote Low-Carbon Transformation of Manufacturing Industries Under the Perspective of Green Credit: An Evolutionary Game Theory Approach. Sustainability 2024, 16, 11203. https://doi.org/10.3390/su162411203
Qiu Z, Chen Y, Han H, Wang T. Research on Digital Technology to Promote Low-Carbon Transformation of Manufacturing Industries Under the Perspective of Green Credit: An Evolutionary Game Theory Approach. Sustainability. 2024; 16(24):11203. https://doi.org/10.3390/su162411203
Chicago/Turabian StyleQiu, Zeguo, Yunhao Chen, Hao Han, and Tianyu Wang. 2024. "Research on Digital Technology to Promote Low-Carbon Transformation of Manufacturing Industries Under the Perspective of Green Credit: An Evolutionary Game Theory Approach" Sustainability 16, no. 24: 11203. https://doi.org/10.3390/su162411203
APA StyleQiu, Z., Chen, Y., Han, H., & Wang, T. (2024). Research on Digital Technology to Promote Low-Carbon Transformation of Manufacturing Industries Under the Perspective of Green Credit: An Evolutionary Game Theory Approach. Sustainability, 16(24), 11203. https://doi.org/10.3390/su162411203

