Chronosequence Changes of Soil Organic Carbon in Salt Marshes under Artificial Intervention: A Case Study of Hengsha Island in the Yangtze Estuary
Abstract
1. Introduction
2. Materials and Methods
2.1. Study Area
2.2. Study Design and Sample Collection
2.3. Plant Biomass, Soil Characteristics, and Soil Respiration Measurements
2.4. Statistical Analysis
3. Results
3.1. Changes in Plant Community Distribution and Aboveground Biomass
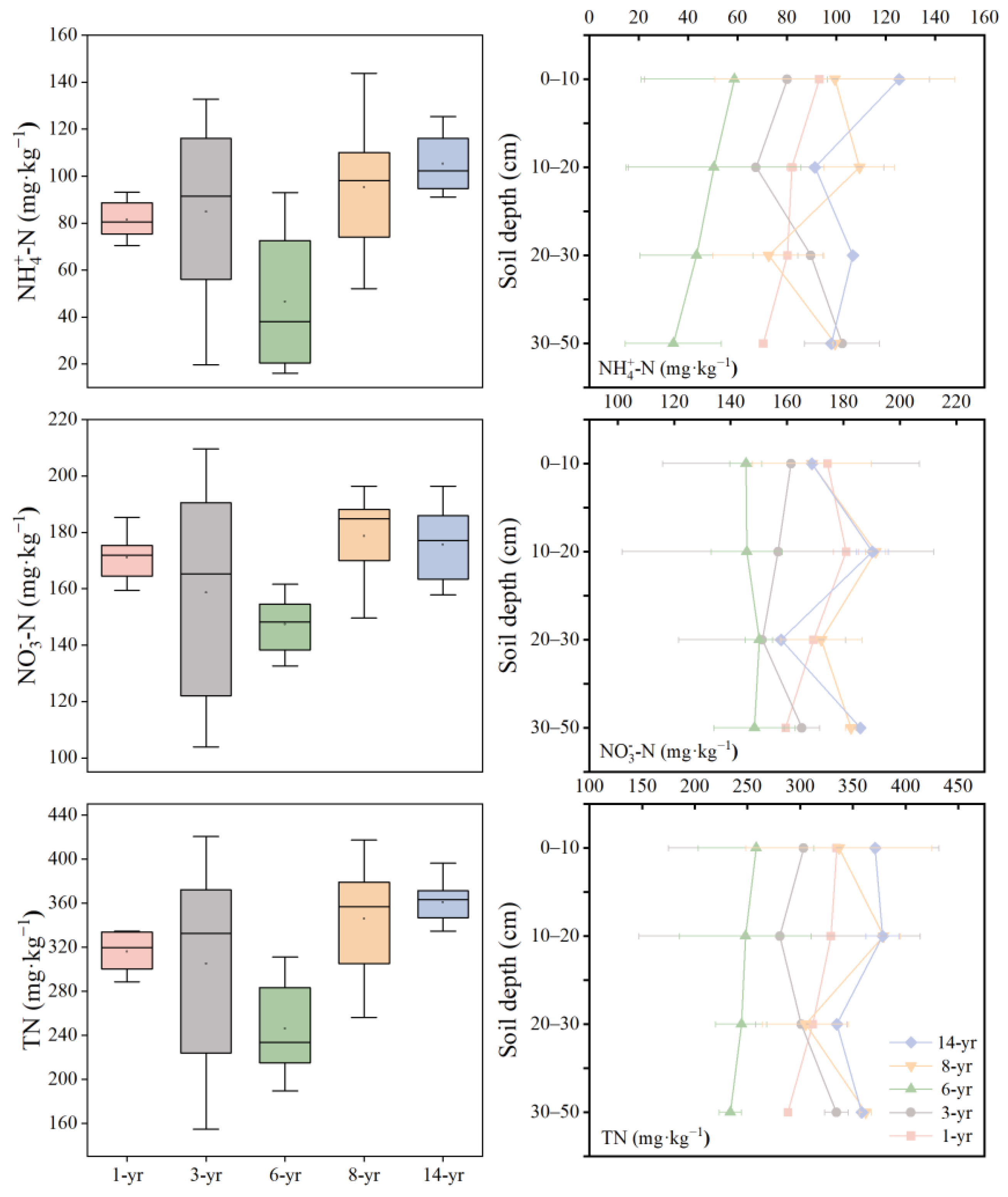
3.2. Variations in Soil Physicochemical Properties of Soil Formation Time and Depth
3.3. Variations in Soil Respiration in Relation to Land Formation Time
3.4. Spatial Variations in SOC with Soil Formation Time and Depth
3.5. Effects of Plant Growth and Soil Characteristics on SOC
4. Discussion
5. Conclusions
Author Contributions
Funding
Institutional Review Board Statement
Informed Consent Statement
Data Availability Statement
Acknowledgments
Conflicts of Interest
References
- Ciais, P.; Wang, Y.; Andrew, R.; Bréon, F.M.; Chevallier, F.; Broquet, G.; Nabuurs, G.J.; Peters, G.; McGrath, M.; Meng, W.; et al. Biofuel burning and human respiration bias on satellite estimates of fossil fuel CO2 emissions. Environ. Res. Lett. 2020, 15, 074036. [Google Scholar] [CrossRef]
- Hu, H.; Chen, J.; Zhou, F.; Nie, M.; Hou, D.; Liu, H.; Delgado-Baquerizo, M.; Ni, H.; Huang, W.; Zhou, J.; et al. Relative increases in CH4 and CO2 emissions from wetlands under global warming dependent on soil carbon substrates. Nat. Geosci. 2024, 17, 26–31. [Google Scholar] [CrossRef]
- Macreadie, P.I.; Nielsen, D.A.; Kelleway, J.J.; Atwood, T.B.; Seymour, J.R.; Petrou, K.; Connolly, R.M.; Thomson, A.C.; Trevathan-Tackett, S.M.; Ralph, P.J. Can we manage coastal ecosystems to sequester more blue carbon? Front. Ecol. Environ. 2017, 15, 206–213. [Google Scholar] [CrossRef]
- Ji, H.; Han, J.; Xue, J.; Hatten, J.A.; Wang, M.; Guo, Y.; Li, P. Soil organic carbon pool and chemical composition under different types of land use in wetland: Implication for carbon sequestration in wetlands. Sci. Total Environ. 2020, 716, 136996. [Google Scholar] [CrossRef]
- Bradford, M.A.; Wieder, W.R.; Bonan, G.B.; Fierer, N.; Raymond, P.A.; Crowther, T.W. Managing uncertainty in soil carbon feedbacks to climate change. Nat. Clim. Chang. 2016, 6, 751–758. [Google Scholar] [CrossRef]
- Sun, H.; Jiang, J.; Cui, L.; Feng, W.; Wang, Y.; Zhang, J. Soil organic carbon stabilization mechanisms in a subtropical mangrove and salt marsh ecosystems. Sci. Total Environ. 2019, 673, 502–510. [Google Scholar] [CrossRef]
- Reithmaier, G.M.; Cabral, A.; Akhand, A.; Bogard, M.J.; Borges, A.V.; Bouillon, S.; Burdige, D.J.; Call, M.; Chen, N.; Chen, X.; et al. Carbonate chemistry and carbon sequestration driven by inorganic carbon outwelling from mangroves and saltmarshes. Nat. Commun. 2023, 14, 8196. [Google Scholar] [CrossRef] [PubMed]
- Moritsch, M.M.; Young, M.; Carnell, P.; Macreadie, P.I.; Lovelock, C.; Nicholson, E.; Raimondi, P.T.; Wedding, L.M.; Ierodiaconou, D. Estimating Blue Carbon Sequestration under Coastal Management Scenarios. Sci. Total Environ. 2021, 777, 145962. [Google Scholar] [CrossRef] [PubMed]
- Perera, N.; Lokupitiya, E.; Halwatura, D.; Udagedara, S. Quantification of Blue Carbon in Tropical Salt Marshes and Their Role in Climate Change Mitigation. Sci. Total Environ. 2022, 820, 153313. [Google Scholar] [CrossRef] [PubMed]
- Craft, C. Co-development of wetland soils and benthic invertebrate communities following salt marsh creation. Wetl. Ecol. Manag. 2000, 8, 197–207. [Google Scholar] [CrossRef]
- Meyer, C.K.; Baer, S.G.; Whiles, M.R. Ecosystem Recovery across a Chronosequence of Restored Wetlands in the Platte River Valley. Ecosystems 2008, 11, 193–208. [Google Scholar] [CrossRef]
- Zhang, Q.; Jiang, J.Y.; Li, X.Z.; Zhang, Y.Q. Impacts of vegetation establishment duration on soil organic carbon accumulation in Chongming-Dongtan, China. Chin. J. Ecol. 2017, 36, 1173–1179. [Google Scholar] [CrossRef]
- Schäfer, K.V.R.; Duman, T.; Tomasicchio, K.; Tripathee, R.; Sturtevant, C. Carbon Dioxide Fluxes of Temperate Urban Wetlands with Different Restoration History. Agric. For. Meteorol. 2019, 275, 223–232. [Google Scholar] [CrossRef]
- Craft, C.; Megonigal, P.; Broome, S.; Stevenson, J.; Freese, R.; Cornell, J.; Zheng, L.; Sacco, J. The pace of ecosystem development of constructed Spartina alterniflora marshes. Ecol. Appl. 2003, 13, 1417–1432. [Google Scholar] [CrossRef]
- Ladd, C.J.T.; Smeaton, C.; Skov, M.W.; Austin, W.E.N. Best Practice for Upscaling Soil Organic Carbon Stocks in Salt Marshes. Geoderma 2022, 428, 116188. [Google Scholar] [CrossRef]
- Zhang, X.; Zhang, Z.; Zhe, L.; Min, L.; Wu, H.; Min, L.; Ming, J. Impacts of Spartina alterniflora Invasion on Soil Carbon Contents and Stability in the Yellow River Delta, China. Sci. Total Environ. 2021, 775, 145188. [Google Scholar] [CrossRef] [PubMed]
- Eagle, M.J.; Kroeger, K.D.; Spivak, A.C.; Wang, F.; Tang, J.; Abdul-Aziz, O.I.; Ishtiaq, K.S.; O’Keefe Suttles, J.; Mann, A.G. Soil Carbon Consequences of Historic Hydrologic Impairment and Recent Restoration in Coastal Wetlands. Sci. Total Environ. 2022, 848, 157682. [Google Scholar] [CrossRef] [PubMed]
- Xu, S.; Liu, X.; Li, X.; Tian, C. Soil Organic Carbon Changes Following Wetland Restoration: A Global Meta-Analysis. Geoderma 2019, 353, 89–96. [Google Scholar] [CrossRef]
- Brian, A.T. Soil organic carbon stocks and sequestration rates of inland, freshwater wetlands: Sources of variability and uncertainty. Sci. Total Environ. 2020, 749, 141444. [Google Scholar] [CrossRef]
- Qian, W.; Chen, J.; Zhang, Q.; Wu, C.; Ma, Q.; Silliman, B.R.; Wu, J.; Li, B.; He, Q. Top-down Control of Foundation Species Recovery during Coastal Wetland Restoration. Sci. Total Environ. 2021, 769, 144854. [Google Scholar] [CrossRef]
- Zou, J.; Ziegler, A.D.; Chen, D.; McNicol, G.; Ciais, P.; Jiang, X.; Zheng, C.; Wu, J.; Wu, J.; Lin, Z.; et al. Rewetting Global Wetlands Effectively Reduces Major Greenhouse Gas Emissions. Nat. Geosci. 2022, 15, 627–632. [Google Scholar] [CrossRef]
- Ba, Q.; Wang, B.; Zhu, L.; Fu, Z.; Wu, X.; Wang, H.; Bi, N. Rapid Change of Vegetation Cover in the Huanghe (Yellow River) Mouth Wetland and Its Biogeomorphological Feedbacks. Catena 2024, 238, 107875. [Google Scholar] [CrossRef]
- Wei, C.; Guo, B.; Lu, M.; Zang, W.; Yang, F.; Liu, C.; Wang, B.; Huang, X.; Liu, Y.; Yu, Y.; et al. The Changes in Dominant Driving Factors in the Evolution Process of Wetland in the Yellow River Delta during 2015–2022. Remote Sens. 2023, 15, 2858. [Google Scholar] [CrossRef]
- Chen, X.; Lin, C.; Hou, X.; Wu, Z.; Yan, G.; Zhu, C. The Impact of Land Consolidation on Arable Land Productivity: A Differentiated View of Soil and Vegetation Productivity. Agric. Ecosyst. Environ. 2022, 326, 107781. [Google Scholar] [CrossRef]
- Kang, X.; Yan, L.; Zhang, X.; Li, Y.; Tian, D.; Peng, C.; Wu, H.; Wang, J.; Zhong, L. Modeling Gross Primary Production of a Typical Coastal Wetland in China Using MODIS Time Series and CO2 Eddy Flux Tower Data. Remote Sens. 2018, 10, 708. [Google Scholar] [CrossRef]
- Zhao, Q.; Bai, J.; Zhang, G.; Jia, J.; Wang, W.; Wang, X. Effects of Water and Salinity Regulation Measures on Soil Carbon Sequestration in Coastal Wetlands of the Yellow River Delta. Geoderma 2018, 319, 219–229. [Google Scholar] [CrossRef]
- Lu, X.; Hou, E.; Guo, J.; Gilliam, F.S.; Li, J.; Tang, S.; Kuang, Y. Nitrogen Addition Stimulates Soil Aggregation and Enhances Carbon Storage in Terrestrial Ecosystems of China: A Meta-Analysis. Glob. Chang. Biol. 2021, 27, 2780–2792. [Google Scholar] [CrossRef] [PubMed]
- Dong, J.; Zhao, D.; Zhang, C.; Cao, Q.; Fang, J.; Yang, R.; Ji, S.; Li, C.; Zhao, R.; Liu, J. Factors Controlling Organic Carbon Distributions in a Riverine Wetland. Environ. Sci. Pollut. Res. 2020, 27, 34529–34540. [Google Scholar] [CrossRef] [PubMed]
- Pan, J.L.; Yuan, L.; Yuan, X.; Bo, S.Q.; Zhao, Z.Y.; Zhu, X.J.; Chen, Y.H.; Li, Y.; Zhang, J.L. Effects of coastal reclamation on the population and habitat of Anatidae birds: A case study of East Hengsha Shoal, Shanghai. Mar. Sci. 2019, 43, 45–56. [Google Scholar] [CrossRef]
- Lou, Y.Y. Morphodynamic processes of the unsheltered tidal flats in the Changjiang Estuary. East China Norm. Univ. 2023, 26–36. [Google Scholar] [CrossRef]
- Cheng, H.F.; Liu, J.; Chen, F.K.; Fu, G.; Wang, Z.Z.; Xie, Y.F. Study on Comprehensive Utilization of Dredged Soil in Yangtze Estuary Channel During the 14th Five-year Period. Resour. Environ. Yangtze Basin 2023, 32, 331–338. [Google Scholar] [CrossRef]
- Tian, B.; Zhou, Y.X.; Yuan, L.; Zhao, Y.L.; Chen, Y.Q.; Yuan, X.; Cao, Y. Investigation and analysis on the biodiversity and ecological environment in the Hengsha East Shoal of the Yangtze Estuary. J. East China Norm. Univ. 2013, 4, 120–127. [Google Scholar] [CrossRef]
- Zhang, X.H.; Tian, H.M.; Chen, X.C.; Yang, H.L.; Ding, R.; Zhao, M.M.; You, W.H. Vegetation growth characteristics and the blue carbon effect of restored salt marshes at different developmental ages in Hengsha, the Yangtze River Estuary. J. East China Norm. Univ. 2024, 113–121. [Google Scholar] [CrossRef]
- Wu, T.; Zhu, J.; Ma, R.; Qiu, W.; Yuan, R. Freshwater Resources around the Reclaimed New Land on the Eastern Hengsha Shoal in the Changjiang Estuary. Front. Mar. Sci. 2023, 10, 1302091. [Google Scholar] [CrossRef]
- Zhang, X.; Bai, J.; Zhang, Z.; Xie, T.; Zhang, G.; Liu, Y.; Chen, G.; Liu, Z. Plant Invasion Strengthens the Linkages between Dissolved Organic Matter Composition and the Microbial Community in Coastal Wetland Soils. Catena 2023, 232, 107449. [Google Scholar] [CrossRef]
- Luo, J.; Liao, G.; Banerjee, S.; Gu, S.; Liang, J.; Guo, X.; Zhao, H.-P.; Liang, Y.; Li, T. Long-Term Organic Fertilization Promotes the Resilience of Soil Multifunctionality Driven by Bacterial Communities. Soil Biol. Biochem. 2023, 177, 108922. [Google Scholar] [CrossRef]
- Naidoo, L.; van Deventer, H.; Ramoelo, A.; Mathieu, R.; Nondlazi, B.; Gangat, R. Estimating above Ground Biomass as an Indicator of Carbon Storage in Vegetated Wetlands of the Grassland Biome of South Africa. Int. J. Appl. Earth Obs. Geoinf. 2019, 78, 118–129. [Google Scholar] [CrossRef]
- Baiswar, A.; Yadav, J.S.; Sain, K.; Bhambri, R.; Pandey, A.; Tiwari, S.K. Emission of Greenhouse Gases due to Anthropogenic Activities: An Environmental Assessment from Paddy Rice Fields. Environ. Sci. Pollut. Res. 2022, 30, 37039–37054. [Google Scholar] [CrossRef] [PubMed]
- Xia, S.; Wang, W.; Song, Z.; Kuzyakov, Y.; Guo, L.; Van Zwieten, L.; Li, Q.; Hartley, I.P.; Yang, Y.; Wang, Y.; et al. Spartina Alterniflora Invasion Controls Organic Carbon Stocks in Coastal Marsh and Mangrove Soils across Tropics and Subtropics. Glob. Chang. Biol. 2021, 27, 1627–1644. [Google Scholar] [CrossRef]
- Steinhorst, L.; Kudla, J. How plants perceive salt. Nature 2019, 572, 318–320. [Google Scholar] [CrossRef]
- Chen, P.; Xia, J.; Ma, H.; Gao, F.; Dong, M.; Xing, X.; Li, C. Analysis of Spatial Distribution Pattern and Its Influencing Factors of the Tamarix Chinensis Population on the Beach of the Muddy Coastal Zone of Bohai Bay. Ecol. Indic. 2022, 140, 109016. [Google Scholar] [CrossRef]
- Ivajnšič, D.; Šajna, N.; Kaligarič, M. Primary succession on re-created coastal wetland leads to successful restoration of coastal halophyte vegetation. Landsc. Urban Plan. 2016, 150, 79–86. [Google Scholar] [CrossRef]
- Wan, D.; Yu, P.; Kong, L.; Zhang, J.; Chen, Y.; Zhao, D.; Liu, J. Effects of Inland Salt Marsh Wetland Degradation on Plant Community Characteristics and Soil Properties. Ecol. Indic. 2024, 159, 111582. [Google Scholar] [CrossRef]
- Yan, W.; Wu, F.; Li, X.; Li, C.; Zhao, Y.; Gao, Y.; Liu, J. Effects of Plants and Soil Microorganisms on Organic Carbon and the Relationship between Carbon and Nitrogen in Constructed Wetlands. Environ. Sci. Pollut. Res. 2023, 30, 62249–62261. [Google Scholar] [CrossRef]
- Zhang, P.; Scheu, S.; Li, B.; Lin, G.; Zhao, J.; Wu, J. Litter c Transformations of Invasive Spartina Alterniflora Affected by Litter Type and Soil Source. Biol. Fertil. Soils 2020, 56, 369–379. [Google Scholar] [CrossRef]
- Ridgeway, J.R.; Morrissey, E.M.; Brzostek, E.R. Plant Litter Traits Control Microbial Decomposition and Drive Soil Carbon Stabilization. Soil Biol. Biochem. 2022, 175, 108857. [Google Scholar] [CrossRef]
- Huang, J.; Liu, W.; Yang, S.; Yang, L.; Peng, Z.; Deng, M.; Xu, S.; Zhang, B.; Ahirwal, J.; Liu, L. Plant Carbon Inputs through Shoot, Root, and Mycorrhizal Pathways Affect Soil Organic Carbon Turnover Differently. Soil Biol. Biochem. 2021, 160, 108322. [Google Scholar] [CrossRef]
- Yan, J.; Qian, L.; Fu, X.; Wu, J.; Tsang, X.F.; Wang, L. Conversion Behaviors of Litter-Derived Organic Carbon of Two Halophytes in Soil and Their Influence on SOC Stabilization of Wetland in the Yangtze River Estuary. Sci. Total Environ. 2020, 716, 137109. [Google Scholar] [CrossRef] [PubMed]
- Mei, W.; Dong, H.; Qian, L.; Yan, J.; Hu, Y.; Wang, L. Effects of Anthropogenic Disturbances on the Carbon Sink Function of Yangtze River Estuary Wetlands: A Review of Performance, Process, and Mechanism. Ecol. Indic. 2024, 159, 111643. [Google Scholar] [CrossRef]
- Yang, X.; Wang, B.; Fakher, A.; An, S.; Kuzyakov, Y. Contribution of Roots to Soil Organic Carbon: From Growth to Decomposition Experiment. Catena 2023, 231, 107317. [Google Scholar] [CrossRef]
- Ding, Y.; Wang, Y.; Gu, X.; Peng, Y.; Sun, S.; He, S. Salinity Effect on Denitrification Efficiency with Reed Biomass Addition in Salt Marsh Wetlands. Bioresour. Technol. 2023, 371, 128597. [Google Scholar] [CrossRef] [PubMed]
- Wang, F.; Wang, T.; Gustave, W.; Wang, J.; Zhou, Y.; Chen, J. Spatial-Temporal Patterns of Organic Carbon Sequestration Capacity after Long-Term Coastal Wetland Reclamation. Agric. Ecosyst. Environ. 2023, 341, 108209. [Google Scholar] [CrossRef]
- Sokol, N.W.; Kuebbing, S.E.; Karlsen-Ayala, E.; Bradford, M.A. Evidence for the Primacy of Living Root Inputs, Not Root or Shoot Litter, in Forming Soil Organic Carbon. New Phytol. 2018, 221, 233–246. [Google Scholar] [CrossRef] [PubMed]
- Inglett, K.S.; Inglett, P.W.; Reddy, K.R.; Osborne, T.Z. Temperature Sensitivity of Greenhouse Gas Production in Wetland Soils of Different Vegetation. Biogeochemistry 2011, 108, 77–90. [Google Scholar] [CrossRef]
- Debanshi, S.; Pal, S. Assessing the Role of Deltaic Flood Plain Wetlands on Regulating Methane and Carbon Balance. Sci. Total Environ. 2022, 808, 152133. [Google Scholar] [CrossRef] [PubMed]
- Li, J.; Han, G.; Zhao, M.; Qu, W.; Nie, M.; Song, W.; Xie, B.; Eller, F. Nitrogen Input Weakens the Control of Inundation Frequency on Soil Organic Carbon Loss in a Tidal Salt Marsh. Estuar. Coast. Shelf Sci. 2020, 243, 106878. [Google Scholar] [CrossRef]
- Li, F.; Li, H.; Su, H.; Du, W.; Gao, Z.; Liu, H.; Liang, H.; Gao, D. Effects of Salinity on Methane Emissions and Methanogenic Archaeal Communities in Different Habitat of Saline-Alkali Wetlands. Environ. Sci. Pollut. Res. 2023, 30, 106378–106389. [Google Scholar] [CrossRef]
- Xie, M.; Liu, Q.; Dong, H.; Mei, W.; Fu, X.; Hu, Y.; Yan, J.; Sun, Y.; Wu, P.; Chen, X.; et al. The High Organic Carbon Accumulation in Estuarine Wetlands Necessarily Does Not Represent a High CO2 Sequestration Capacity. Environ. Int. 2023, 172, 107762. [Google Scholar] [CrossRef] [PubMed]
- Lewis, D.B.; Jimenez, K.L.; Abd-Elrahman, A.; Andreu, M.G.; Landry, S.M.; Northrop, R.J.; Campbell, C.; Flower, H.; Rains, M.C.; Richards, C.L. Carbon and Nitrogen Pools and Mobile Fractions in Surface Soils across a Mangrove Saltmarsh Ecotone. Sci. Total Environ. 2021, 798, 149328. [Google Scholar] [CrossRef]
- Feng, X.; Wang, S. Plant Influences on Soil Microbial Carbon Pump Efficiency. Glob. Chang. Biol. 2023, 29, 3854–3856. [Google Scholar] [CrossRef]
- Santini, N.S.; Lovelock, C.E.; Hua, Q.; Zawadzki, A.; Mazumder, D.; Mercer, T.R.; Muñoz-Rojas, M.; Hardwick, S.A.; Madala, B.S.; Cornwell, W.; et al. Natural and Regenerated Saltmarshes Exhibit Similar Soil and Belowground Organic Carbon Stocks, Root Production and Soil Respiration. Ecosystems 2019, 22, 1803–1822. [Google Scholar] [CrossRef]








| Soil Age | Species | AGB (kg·m−2) |
|---|---|---|
| 1 year | Achnatherum splendens, Herba Aeluropi Sinensis, Wild grass | 1.32 ± 0.33 |
| 3 years | Achnatherum splendens, Herba Aeluropi Sinensis, Leptochloa chinensis, Wild grass | 1.52 ± 0.18 |
| 6 years | Herba Aeluropi Sinensis, Leptochloa chinensis, Wild grass | 1.64 ± 0.34 |
| 8 years | Phragmites australis, Suaeda glauca Bunge, Scirpus mariqueter | 1.90 ± 0.47 |
| 14 years | Phragmites australis, Suaeda glauca Bunge, Scirpus mariqueter, Tamarix chinensis Lour | 2.64 ± 0.53 |
| pH | SAL | WC | BD | -N | -N | TN | SOC | |
|---|---|---|---|---|---|---|---|---|
| A | 238.55 *** | 104.53 *** | 85.79 *** | 150.56 *** | 11.97 *** | 42.23 *** | 11.35 *** | 333.23 *** |
| D | 22.18 * | 35.56 *** | 20.94 * | 93.68 *** | 0.86 | 21.96 *** | 0.69 | 152.49 *** |
| A × D | 8.82 * | 11.61 *** | 8.71 * | 7.42 *** | 1.11 | 25.71 *** | 0.68 | 4.52 *** |
Disclaimer/Publisher’s Note: The statements, opinions and data contained in all publications are solely those of the individual author(s) and contributor(s) and not of MDPI and/or the editor(s). MDPI and/or the editor(s) disclaim responsibility for any injury to people or property resulting from any ideas, methods, instructions or products referred to in the content. |
© 2024 by the authors. Licensee MDPI, Basel, Switzerland. This article is an open access article distributed under the terms and conditions of the Creative Commons Attribution (CC BY) license (https://creativecommons.org/licenses/by/4.0/).
Share and Cite
Zhang, J.; Sha, C.; Li, S.; Wang, M.; Wang, Q.; Wang, Q.; Su, J.; Shen, C.; Huang, S. Chronosequence Changes of Soil Organic Carbon in Salt Marshes under Artificial Intervention: A Case Study of Hengsha Island in the Yangtze Estuary. Sustainability 2024, 16, 4553. https://doi.org/10.3390/su16114553
Zhang J, Sha C, Li S, Wang M, Wang Q, Wang Q, Su J, Shen C, Huang S. Chronosequence Changes of Soil Organic Carbon in Salt Marshes under Artificial Intervention: A Case Study of Hengsha Island in the Yangtze Estuary. Sustainability. 2024; 16(11):4553. https://doi.org/10.3390/su16114553
Chicago/Turabian StyleZhang, Jing, Chenyan Sha, Songshuo Li, Min Wang, Qiang Wang, Qing Wang, Jinghua Su, Cheng Shen, and Shenfa Huang. 2024. "Chronosequence Changes of Soil Organic Carbon in Salt Marshes under Artificial Intervention: A Case Study of Hengsha Island in the Yangtze Estuary" Sustainability 16, no. 11: 4553. https://doi.org/10.3390/su16114553
APA StyleZhang, J., Sha, C., Li, S., Wang, M., Wang, Q., Wang, Q., Su, J., Shen, C., & Huang, S. (2024). Chronosequence Changes of Soil Organic Carbon in Salt Marshes under Artificial Intervention: A Case Study of Hengsha Island in the Yangtze Estuary. Sustainability, 16(11), 4553. https://doi.org/10.3390/su16114553

