Abstract
Soil microbial communities are essential to the terrestrial ecosystem processes by mediating nutrient cycling, and their function and composition may be altered under climate change. In this study, the effects of extreme climate events (extreme warming and precipitation pattern) on the microbial communities and extracellular enzyme activities in the soils planted with 1-year-old Pinus densiflora and Larix kaempferi seedlings were investigated. Open-field warming (+3 °C and +6 °C) and precipitation manipulation including drought induced by the complete interception of rainfall and heavy rainfall (113 mm per day) were applied from 13 July to 20 August 2020. The activities of soil enzymes, including β-glucosidase, acid phosphatase, N-acetyl-glucosaminidase, and leucine aminopeptidase, microbial biomass carbon and nitrogen, and changes in microbial community composition were determined. The microbial biomass carbon was 15.26% higher in Larix kaempferi-planted soils than in Pinus densiflora-planted soils. Fungal Chao 1 in the heavy rainfall and drought plots were 53.86% and 0.84% lower than the precipitation control, respectively, and 49.32% higher in the Larix kaempferi plots than under the Pinus densiflora. The fungal Shannon index was 46.61% higher in plots planted with Larix kaempferi than in those planted with Pinus densiflora. Regarding the dominant phyla, the relative abundance of Ascomycota in heavy rainfall plots was 14.16% and 13.10% higher than in the control and drought plots, respectively, and the relative abundance of Mortierllomycota was 55.48% higher under Larix kaempferi than under Pinus densiflora. The overall results are considered to reflect the microbial sensibility to environmental conditions and interaction with the planted species. Since the current study observed only short-term responses to extreme climate events, further study is required to determine the continuous effects of environmental changes on the associations between plants and soil microbes.
1. Introduction
In recent decades, climate change emerged as an urgent global issue with diverse consequences for terrestrial ecosystems. The Earth’s climate system is experiencing significant alterations, characterized by rising temperatures, increasing frequency and intensity of droughts, and extreme precipitation events [1]. These changes pose unprecedented challenges to the functioning and stability of terrestrial ecosystems, making it crucial to understand their impacts on key ecological components, such as soil microbial communities [2]. Soil microbial communities modify the chemical and physical nature of soils, promote plant growth, and mediate the cycling of carbon and nitrogen [3,4].
In general, rising temperatures and altered precipitation can considerably influence the composition and function of soil microbial communities [5,6,7,8,9]. According to a recent study based on meta-analysis, bacteria and fungi were significantly affected under drought conditions in both laboratory and field experiments. Particularly in grassland ecosystems with chronic summer drought and warming, a loss of fungal community diversity was more significant than bacterial community [10]. Field studies have demonstrated that soil moisture manipulation affects potential extracellular enzyme activities to a larger degree than warming treatments [11]. In an open-field warming and precipitation manipulation experiment conducted in the Republic of Korea, warming reduced extracellular enzyme activities in the precipitation-regulated condition but increased activities in the elevated precipitation condition. Additionally, the interaction between warming and precipitation manipulation influenced the diversity of soil bacterial and fungal communities associated with Pinus densiflora [12].
Moreover, reduced precipitation significantly increased topsoil microbial biomass carbon and nitrogen, while warming had no effect [13]. Regarding the duration of manipulation, a short-term one-year study on warming and precipitation changes revealed that the composition of bacterial communities was significantly correlated with soil moisture [14]. In a 6-year experiment of warming treatment and precipitation increase manipulation, the microbial communities were more strongly affected during the early stages compared to the middle and late stages of the treatment [15]. During the early growth period, warming significantly reduced bacterial diversity, while increased precipitation did not affect the microbial communities. The interaction effect of precipitation increase and warming significantly increased the abundance of bacteria but decreased that of fungi, amplifying the differences between bacterial and fungal communities [15]. The studies about the alterations of soil microbial communities to changes in temperature and precipitation vary depending on indoor or outdoor conditions, soil depth, and the duration of manipulation, driving the need for a comprehensive understanding of soil microbial responses to broader climate change scenarios.
Therefore, this study aimed to integrate the effects of warming, drought, and heavy rainfall, on the composition and function of soil microbial communities. We focused on elucidating the ecological responses and adaptation mechanisms of soil microbes by analyzing soil enzyme activities, microbial biomass, and soil microbial community composition. Furthermore, by comparing the differences in soil microbial communities between two functionally distinct conifer species, evergreen Pinus densiflora and deciduous Larix kaempferi, we intended to provide information for developing climate change response strategies. We hypothesized the following: (1) Under higher temperatures and soil moisture, soil enzyme activity and microbial biomass increase, and under drought, they decrease. Influenced by these changes in the characteristics of soil microorganisms, the composition of soil microbial communities will also vary depending on the environmental changes. (2) The composition of soil microbial communities will be affected by the planted species. Specifically, since soils planted with deciduous pines have more organic matter due to fallen leaves than those planted with evergreen pines, the soil bacterial and fungal alpha diversities would be higher under L. kaempferi than P. densiflora.
To test these hypotheses, we established an open-field experimental monitoring system planted with P. densiflora and L. kaempferi seedlings that are one year old and assessed the responses of soil microbial communities under simulated extreme climate conditions, i.e., warming and precipitation change including drought and heavy rainfall. In addition, the extracellular enzyme activity, microbial biomass carbon and nitrogen, and community analysis methods we selected are representative analytical approaches for characterizing soil microbial properties. Extracellular enzymes secreted by soil microorganisms are crucial for organic matter decomposition and nutrient cycling, and their activity reflects the physiological adaptations of microbes to environmental changes [16]. Moreover, alterations in microbial biomass dynamics are linked to increasing soil stresses caused by climate variations [17]. A high throughput technique enables the quantitative analysis of microbial species’ presence and relative abundance under climate change conditions. By integrating these analytical approaches, our study provides a comprehensive understanding of the multifaceted impacts of climate change on soil microbial communities. This allowed us to identify the effects of climate change on the metabolic activities and ecosystem functions of soil microbes and evaluate the short-term effects of these changes on overall ecosystem health and sustainability.
2. Materials and Methods
2.1. Experimental Design and Sample Preparation
This study was carried out at the open-field experimental tree nursery located within the Forest Technology and Management Research Center, Pocheon, Republic of Korea (37°45′38.9″ N, 127°10′13.4″ E). The soil at the experimental site was sandy loam, and the percentage of sand, silt, and clay was 70%, 20%, and 10%, respectively. The methodology was based on the approach developed in the previous study [18], and the temperature and precipitation simulation system was run from 13 July to 20 August 2020. The open-field warming simulation system was designed to simulate temperature extremes defined as the 90th and 99th percentiles of the daily maximum temperature within the period of 59 years, from 1961 to 2019, in Seoul. Accordingly, the warming treatments increased the temperature by 3 °C and 6 °C above the temperature of the control plots [18]. Infrared lamps (FT-1000, Mor Electronic Heating Assoc., Comstock Park, MI, USA) were installed at 60 cm above the seedlings of each experimental plot. Infrared surface temperature sensors (SI-111, Apogee Instruments, Logan, UT, USA) were connected to data loggers (CR1000X, Campbell Scientific, Inc., Logan, UT, USA) and relays (SDM-CD-16AC, Campbell Scientific, Inc., Logan, UT, USA) to operate the infrared lamps. This system allowed the maintenance of the targeted temperature. Meanwhile, the open-field drought simulation was performed by installing a precipitation barrier made of transparent vinyl in each plot, which completely blocked the precipitation during the treatment period. The precipitation barriers were connected to precipitation detection sensors (HTL-301, Haimil, Republic of Korea) to keep them folded when it was not raining and unfolded when it rained to minimize changes in microclimate, such as light environment and atmospheric circulation, in the experimental area. The 95th percentile of daily precipitation, which is 113 mm per day, was considered to be heavy rainfall [18]. During the treatment period, two spray nozzles were installed at a height of approximately 160 cm above the surface of each plot to spray water stored in a water tank. Week-long warming and precipitation treatments were applied twice each, and after the first warming and precipitation manipulations, we set a one-week rest period before the second treatment for a total treatment period of 5 weeks. We organized 54 plots within the experimental site into three temperature treatment levels (W0: ambient, W1: 3 °C higher than the ambient temperature, W2: 6 °C higher than the ambient temperature), three precipitation treatments (P−: drought, P0: ambient, P+: heavy rainfall), and two tree species (L: L. kaempferi, D: P. densiflora) with three replicates.
After the completion of all treatments in August 2020, bulk soil samples were collected by taking soil samples with a soil sampler that is 2.54 cm in diameter from five random spots at a depth of 0–15 cm in each plot. Soils were sieved under 2 mm and plant materials that were visible were removed. Soil samples analyzed for their physicochemical characteristics were air-dried, and those for microbial biomass and extracellular enzyme activities were stored wet at 4 °C in a refrigerator. In addition, soil samples subject to the analysis of microbial community composition were kept at −20 °C. After the soil sample collection, soil microbial communities were analyzed within six months, extracellular enzyme activities within 48 h, and microbial biomass within two weeks.
2.2. Soil Physicochemical Properties
Soil pH was measured employing a pH meter (Thermo Fisher Scientific Orion Star A211 pH Benchtop Meter, Thermo Fisher Scientific, Waltham, MA, USA), following a 1:5 soil-to-water ratio suspension method. The suspension was allowed to equilibrate for 30 min before measurement. Cation exchange capacity (CEC) was determined via the ammonium acetate method [19]. Displaced cations were quantified using an ICP-OES (5110 SVDV ICP-OES, Agilent, Santa Clara, CA, USA) after soil samples were treated with 1M ammonium acetate at pH 7. The contents of total carbon (TC) and total nitrogen (TN) were analyzed employing an elemental analyzer (vario Macro, Elementar Analysensysteme GmbH, Langenselbold, Germany). Soil samples were prepared by drying them at 105 °C for 24 h and then grinding them to a fine powder. These samples were combusted in an oxygen-rich environment and the resultant gases were analyzed to quantify TC and TN.
2.3. Soil Enzyme Assay
Soil extracellular enzyme activity was assessed using the fluorometric method [20]. The specific enzymes analyzed were acid phosphatase (AP), β-glucosidase (BG), N-acetylglucosaminidase (NAG), and leucine aminopeptidase (LAP), which mediate the cycling of phosphorus, carbon, and nitrogen, respectively [21]. We combined the activities of NAG and LAP associated with nitrogen cycling for statistical analyses. Black 96-well microplates (SPL Life Sciences Co., Ltd., Pocheon-si, Republic of Korea) used for the enzyme activity test contained fluorescent substrate analogs, along with 4-methylumbelliferone and 7-amino-4-methylcoumarin (Sigma-Aldrich Co., Ltd., Yongin-si, Republic of Korea), used as standard solutions. The substrate solution for each enzyme was prepared using deionized water, and 125 mL of buffer was combined with a 1-g soil sample. The microplates for the analyses of AP, BG, and NAG activity were incubated at 25 °C for 2 h, while those for LAP activity were incubated for 4 h and 30 min. Subsequently, 10 microliters of 1 molar NaOH solution was introduced into each well, and the fluorescence intensity within the range of 355 nm to 460 nm was quantified using a microplate reader (Hidex Sense, HIDEX, Turku, Finland). Soil enzyme activity was quantified as nmol substrate hr−1 g−1 dry soil.
2.4. Soil Microbial Biomass Assay
The chloroform fumigation-extraction method [22,23] was employed to analyze the amount of soil microbial biomass carbon (MBC) and nitrogen (MBN). Two sets of 10-g soil samples were created for each plot: one for fumigated and one for unfumigated samples. A total of 20 mL of 99.5% chloroform was poured into a desiccator to fumigate the samples, which were then kept in darkness for 48 to 72 h. Extracts were acquired from non-fumigated and fumigated samples through the addition of 50 mL of 0.5 M K2SO4 solution and subsequent filtration using Whatman No.1 filter sheets. The levels of water-soluble organic carbon and nitrogen emitted from unfumigated and fumigated soil samples were quantified via a total organic carbon analyzer (TOC-L CPH, Shimadzu, Japan). The MBC and MBN concentrations were determined by dividing the discrepancy in organic carbon and nitrogen concentrations between fumigated and unfumigated samples by the corresponding fumigation factors, which were 0.45 for MBC [24] and 0.54 for MBN [22].
2.5. Analyses of Soil Microbial Community Composition
Soil microbial genomic DNA was extracted employing a soil DNA kit (Omega Bio-Tek, Norcross, GA, USA) following the manufacturer’s instructions. For bacterial 16S rDNA amplification, the primer pairs 343F (5′-TACGGRAGGCAGCAG-3′) and 798R (5′-AGGGTATCTAATCCT-3′) were used to target the V3–V4 region. For fungal ITS-1 amplification, the primer pairs ITS1-F (5′-CTTG GTCATTTAGAGGAAGTAA-3′) and ITS2 (5′-GCTGCGTTCTTCATCGA TGC-3′) were used. The methods and conditions of the polymerase chain reaction (PCR) reactions were consistent with a previous study [25]. Ultimately, we performed sequencing of the PCR amplicons to obtain 2 × 250 bp paired-end sequences using the Illumina MiSeq system (Illumina, San Diego, CA, USA). Unfortunately, the sequencing of the amplicons failed in samples where the amount of extracted DNA was too small, making it impossible to obtain part of the data on fungi by the treatments (4 out of 18 treatments unavailable). We then used MOTHUR to process the raw sequencing data and merge paired-end reads; we also selected reads with >97% similarity to obtain operational taxonomic units (OTUs). The Chao 1 and Shannon indices were chosen for the characterization of the alpha diversity of the bacterial and fungal communities.
2.6. Statistical Analysis
Repeated measure analysis of variance (rmANOVA) and three-way analysis of variance (three-way ANOVA) were performed using SAS v.9.4 (SAS Systems, Cary, NC, USA) to determine the effects of warming, precipitation manipulation, and different tree species on soil environment and microbial properties, respectively. In addition, the means were compared when the treatment effect was significant (p < 0.05) using a post-hoc Tukey’s honest significance test. Redundancy analysis (RDA) was conducted to visualize the relationship between the variables (e.g., pH, CEC, TC, TN, MBC, MBN, and Chao 1 and Shannon indices) and relative abundances of dominant phyla of each treatment using R 4.0.5 software.
3. Results
3.1. Soil Physicochemical Characteristics
The soil environmental conditions (pH, CEC, TC, TN) changed significantly over time, and there were no significant effects of warming, precipitation manipulation, and planted tree species overall (Table 1). However, the soil samples taken immediately after each treatment showed significant short-term changes in pH, CEC, and TC (Figure 1). Specifically, after the first precipitation manipulation, the pH of the P+ plots was approximately 3.59% higher than that of the P− and P0 plots. In addition, the CEC of the L. kaempferi plots was about 4.55% higher than that of the P. densiflora plots. After the second warming manipulation, the CEC of the P− and P+ plots were 6.15% and 2.43% lower than that of the P0 plots, respectively. In addition, the TC of the P+ plots was 40.91% and 34.78% higher than that of the P− and P0 plots after the first precipitation treatment, respectively. After the first warming treatment, the TC of the L. kaempferi plots was 15.00% higher than that of the P. densiflora plots.
Table 1.
Results of the rmANOVA test (F values) for the soil physicochemical characteristics of the experimental plots.
Figure 1.
Soil properties under warming and precipitation manipulation treatment and two tree species at each sampling point; (a–c) pH, (d–f) CEC, (g–i) TC, and (j–l) TN. BM = before manipulation, PM1 = after first precipitation manipulation, WM1 = after first warming manipulation, PM2 = after second precipitation manipulation, WM2 = after second warming manipulation, W0: ambient, W1: 3 °C higher than the ambient temperature, W2: 6 °C higher than the ambient temperature, P− = drought, P0 = ambient precipitation, P+ = heavy rainfall, D = Pinus densiflora, and L = Larix kaempferi. Results of three-way ANOVA are shown when statistically significant. Asterisks indicate significant differences among treatments (* p < 0.05, ** p < 0.01).
During the entire treatment period, pH decreased overall under each treatment (Figure 1). CEC showed an increase after the first warming manipulation but tended to decrease after the second precipitation manipulation. TC showed a difference in values between plots before manipulation, but the kurtosis equalized as the treatments progressed. TN, on the other hand, showed almost uniform values across all plots from pre- to post-treatment, which appears to be affected little by the experimental treatments.
3.2. Soil Microbial Properties
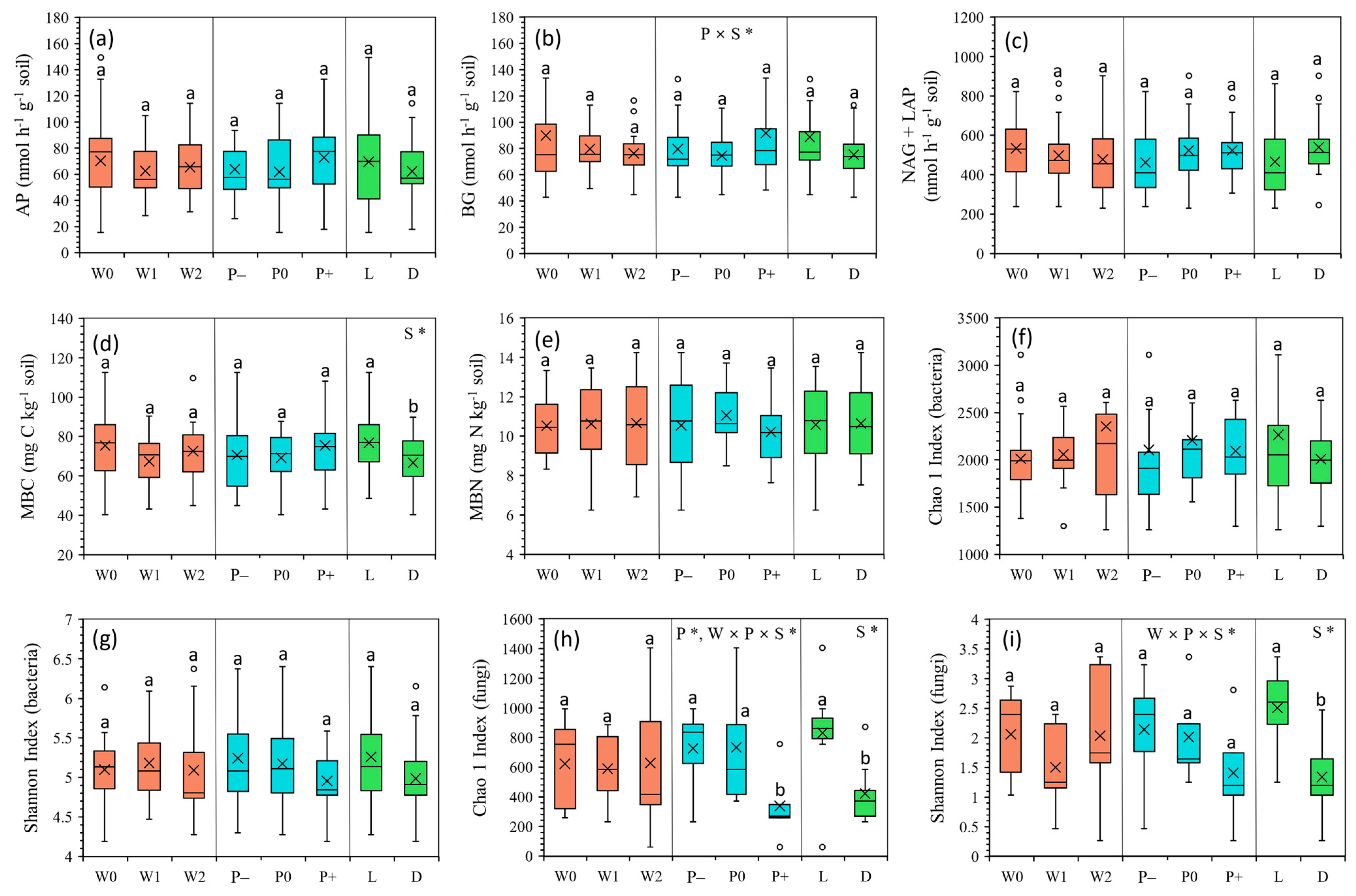
The warming and precipitation manipulation under the two tree species significantly affected soil extracellular enzyme activities and microbial biomass, but only on those related to carbon. BG was significantly affected by the interactive effects of precipitation manipulation and tree species, while MBC showed significantly different values by the tree species (Table 2, Figure 2). MBC was 25.89% higher in soils planted with L. kaempferi than that planted with P. densiflora.
Table 2.
Results of the three-way ANOVA (F values) to test for the responses of soil extracellular enzyme activities and microbial biomass to warming and precipitation manipulation treatments, and tree species.
Figure 2.
Effects of warming, precipitation manipulation, and tree species on (a–c) soil extracellular enzyme activities, (d,e) soil microbial biomass, and (f,g) bacterial and (h,i) fungal alpha diversity. W0: ambient, W1: 3 °C higher than the ambient temperature, W2: 6 °C higher than the ambient temperature, P− = drought, P0 = ambient precipitation, P+ = heavy rainfall, D = Pinus densiflora, and L = Larix kaempferi. Box = interquartile range of data, whisker = maximum and minimum value, and line in the box = medium value. X in the box = average value. Results of three-way ANOVA are shown when statistically significant. Asterisks indicate significant differences among treatments. Different letters above the bars depict the significant differences among treatments.
Regarding soil microbial communities, fungi were affected more by experimental treatments than bacteria, with warming being the least affected among treatments (Table 3). In addition, the correlation between variables in the fungal data was generally higher than those in the bacterial data (Figure 3). Proteobacteria, one of the three dominant phyla of bacteria (Figure 4), was significantly affected by the interactive effects of temperature and tree species. In contrast, Actinobacteria was significantly affected by the interaction of precipitation and tree species. However, there was no significant variation in the alpha diversity of the overall bacterial community (Table 3, Figure 2). Fungi were significantly affected by the single effect of precipitation and tree species in the three dominant phyla (Figure 4), Ascomycota and Mortierllomycota, and by the complex interaction of temperature, precipitation, and tree species in alpha diversity and both Chao 1 and Shannon indices (Table 3, Figure 2). Specifically, Chao 1 in the P+ and P− plots were 53.86% and 0.84% lower than that in the P0 plots, respectively, and 49.32% higher in the L. kaempferi plots than that in the P. densiflora plots. The Shannon index was also 46.61% higher in the L. kaempferi plots than in the P. densiflora plots. On the other hand, the relative abundance of Ascomycota in the P+ plots was 14.16% and 13.10% higher than that in P0 and P−, respectively. It was also 9.87% higher in the P. densiflora plots than that in the L. kaempferi plots. However, the relative abundance of Mortierllomycota was 55.48% higher under L. kaempferi than that under P. densiflora. RDA explained 49.73% of the variation in soil bacterial communities, and the three dominant phyla, Proteobacteria, Actinobacteria, and Acidobacteria, had a strong positive correlation with pH and SW, MBN, and TN, respectively (Figure 5a). Regarding the soil fungal communities, RDA explained 88.37%, and Ascomycota, Mortierllomycota, and Basidiomycota had a strong positive correlation with SW, BG, the Shannon index, and the Chao 1 index, respectively (Figure 5b). In addition, both bacteria and fungi showed higher correlations with more variables for the Shannon index compared to Chao 1 (Figure 3). Specifically, the Shannon index of bacteria showed high positive correlations with MBC, TC, TN, and Chao 1, while the Shannon index of fungi showed high positive correlations with MBC, MBN, AP, TC, and Chao 1, and a high negative correlation with CEC.
Table 3.
Results of the three-way ANOVA test (F values) for the responses of soil bacterial and fungal microbial communities to warming and precipitation manipulation treatments, and tree species, and their interactions.
Figure 3.
Results of correlation analysis showing the relationship between (a) bacterial or (b) fungal alpha diversity, soil extracellular enzyme activities, soil microbial biomass, and soil properties. AT = air temperature; SW = soil water content; CEC = cation exchange capacity; TC = total carbon; TN = total nitrogen.
Figure 4.
Relative abundance of (a) bacterial and (b) fungal phyla under warming and altered precipitation treatments with different planted tree species. W0: ambient, W1: 3 °C higher than the ambient temperature, W2: 6 °C higher than the ambient temperature, P− = drought, P0 = ambient precipitation, P+ = heavy rainfall, D = Pinus densiflora, and L = Larix kaempferi.
Figure 5.
Results of RDA showing the relationship between (a) bacterial or (b) fungal communities and soil extracellular enzyme activities, soil microbial biomass, and soil properties. AT = air temperature; SW = soil water content; CEC = cation exchange capacity; TC = total carbon; TN = total nitrogen; W0: ambient; W1: 3 °C higher than the ambient temperature; W2: 6 °C higher than the ambient temperature; P− = drought; P0 = ambient precipitation; P+ = heavy rainfall; D = Pinus densiflora; L = Larix kaempferi.
4. Discussion
4.1. Responses of Soil Environment to Climatic Changes
This study presents intriguing insights into how climate treatments and tree species affect soil environmental conditions. Notably, despite significant temporal changes in soil properties (pH, CEC, TC, and TN), the overall influence of temperature and precipitation treatments, as well as the differences between P. densiflora and L. kaempferi plantings, appear minimal. This suggests a level of resilience in the soil environmental parameters to climatic variations, which is critical for understanding ecosystem adaptability in the face of climate change.
However, short-term significant changes in pH, CEC, and TC immediately following experimental treatments indicate a more dynamic response to specific environmental manipulations. The fluctuations in soil pH, CEC, and TC in response to the first precipitation and temperature treatments, particularly in P+ plots and L. kaempferi plantings, underscore the complexity of soil responses to environmental changes. These shifts, although transient, highlight the importance of considering immediate and short-term soil reactions to predict long-term environmental and ecological impacts.
The consistent decrease in pH values with treatments and the initial increase in CEC after the first warming, followed by a subsequent decrease, might indicate soil buffering capacities and nutrient availability alterations [26]. The uniformity in TC post-treatment and the minimal variation in TN across all plots further underline the complex soil responses to external stressors. These patterns suggest a differential resilience and vulnerability of soil properties to climatic manipulations, which could have profound implications for nutrient cycling and soil health in forest ecosystems.
4.2. Impact of Climatic Changes on Soil Microbial Dynamics
The composition and alpha diversity of the fungal community were altered significantly in response to drought and the combined effects, partially supporting our first hypothesis. However, soil extracellular enzyme activities and microbial biomass were not significantly affected by temperature and precipitation treatments. Bacterial phyla such as Actinobacteria, which are generally known to be more dominant in arid regions, may exhibit different behavior than other microbial phyla during extreme drought because they are highly resistant to arid and resource-poor conditions [27,28]. Therefore, the result that fungi showed significant changes under drought but bacteria did not may be due to the bacteria being more resistant to low moisture than fungi at this experimental site. In addition, the RDA results showed that the Chao 1 and Shannon indices, as well as the activity of the nitrogen-degrading enzyme, NAG + LAP, were strongly and positively correlated with TN (Figure 5). Therefore, determining changes in soil inorganic nitrogen of this experimental site and analyzing its relationship with NAG + LAP activity in a further study would also be beneficial.
4.3. Effects of Different Tree Species on Soil Microbial Communities
Regarding our second hypothesis, the distinct composition of soil microbial communities under L. kaempferi and P. densiflora aligns with the premise that tree species significantly influence these communities. The increased bacterial and fungal alpha diversities in soils under L. kaempferi can be attributed to the increased organic matter from fallen leaves. Carbon and nitrogen contents of litter derived from different tree species vary and significantly affect the microbial community composition and activity [29,30], leading to the discrepancy of fungal community diversity and microbial biomass under different tree species [31,32,33]. Our study supports previous research highlighting the substantial influence of litter quality on microbial community dynamics and showing significant MBC changes by planted tree species [34,35]. Also, soil microbial biomass in deciduous coniferous plantations has been reported to be higher than that in evergreen coniferous plantations [36,37]. In addition, BG, an enzyme involved in the carbon cycle, was significantly influenced by the interaction of precipitation and tree species rather than the single variable of tree species (Table 2). This result suggests that the interaction between the litter from deciduous coniferous and the increase in soil moisture due to heavy rainfall promotes carbon sequestration by soil microorganisms. Litter serves as a vital source of organic matter and nutrients for soil microorganisms. The chemical composition of litter, particularly its carbon and nitrogen content, determines its decomposability and nutrient availability [38]. Tree species differ in their litter quality, with variations in C:N ratios and the presence of specific compounds including lignin and polyphenols [30,39]. These differences in litter quality can directly influence the composition and functional attributes of the microbial communities under different tree species. Our result supports the concept that different tree species create varied habitats and nutritional profiles, influencing microbial community composition and diversity. The results demonstrate how sensitive the microorganisms are to environmental variables and their interaction with the planted species. Further investigation is needed to comprehend the long-term effects of climatic changes on the relationship between plants and microbial communities, as the current study mainly examined short-term reactions to extreme climate events.
5. Conclusions
This study provides important insight into the effects of climate change and tree species on soil environmental conditions and microbial community dynamics. The key findings emphasize that soil properties (pH, CEC, TC, TN) demonstrated some resilience to climate change while also showing short-term variability, revealing the complex response of the soil environment to climate change. Fungal community composition and diversity were significantly affected by drought, whereas bacterial communities and soil enzyme activities were not, suggesting differential environmental stress tolerance among microbial groups. Moreover, the difference in soil microbial community composition between L. kaempferi and P. densiflora highlights the substantial impact of tree species on microbial dynamics. Our results can contribute to the development of adaptation and management strategies for forest ecosystems facing climate change. The differences in microbial dynamics among tree species emphasize the importance of species selection in forest restoration and management projects. Future research should aim to gain a comprehensive understanding of the alterations of soil and microbial communities under climate change through long-term monitoring and further investigations in different ecosystems. This integrated approach will be essential for enhancing the resilience and adaptability of forest ecosystems confronting climate change.
Author Contributions
Conceptualization, M.K. and H.J.; methodology, M.K., G.-J.K. and G.L.; software, M.K.; formal analysis, M.K.; investigation, M.K.; resources, M.K. and G.-J.K.; data curation, M.K.; writing—original draft preparation, M.K.; writing—review and editing, M.K., G.L. and H.C.; visualization, M.K.; supervision, Y.S.; project administration, Y.S.; funding acquisition, Y.S. All authors have read and agreed to the published version of the manuscript.
Funding
This work was financially supported by the Graduate School specialized in Carbon Sink, R&D Program for Forest Science Technology (Project No. “2021R1A6A1A1004523521”), Korea Forestry Promotion Institute (RS-2024-00403486), and the National Research Foundation of the Republic of Korea (NRF-2022R1A2C1011309).
Institutional Review Board Statement
Not applicable.
Informed Consent Statement
Not applicable.
Data Availability Statement
Data are contained within the article.
Conflicts of Interest
The authors declare no conflicts of interest.
References
- IPCC. Climate Change 2022: Mitigation of Climate Change. Contribution of Working Group III to the Sixth Assessment Report of the Intergovernmental Panel on Climate Change; Shukla, P.R., Skea, J., Slade, R., Al Khourdajie, A., van Diemen, R., McCollum, D., Pathak, M., Some, S., Vyas, P., Fradera, R., et al., Eds.; Cam-Bridge University Press: Cambridge, UK; New York, NY, USA, 2022. [Google Scholar]
- Naylor, D.; Sadler, N.; Bhattacharjee, A.; Graham, E.B.; Anderton, C.R.; McClure, R.; Lipton, M.; Hofmockel, K.S.; Jansson, J.K. Soil microbiomes under climate change and implications for carbon cycling. Annu. Rev. Environ. Resour. 2020, 45, 29–59. [Google Scholar] [CrossRef]
- Bhatia, C.R. Role of microbial diversity for soil, health and plant nutrition. In Molecular Mechanisms of Plant and Microbe Coex-Istence; Springer: Berlin/Heidelberg, Germany, 2008; pp. 53–74. [Google Scholar]
- Philippot, L.; Chenu, C.; Kappler, A.; Rillig, M.C.; Fierer, N. The interplay between microbial communities and soil properties. Nat. Rev. Microbiol. 2024, 22, 226–239. [Google Scholar] [CrossRef] [PubMed]
- Li, S.; Tang, S.; Chen, H.; Jin, K. Soil nitrogen availability drives the response of soil microbial biomass to warming. Sci. Total Environ. 2024, 917, 170505. [Google Scholar] [CrossRef] [PubMed]
- Liu, Y.; Tian, H.; Li, J.; Wang, H.; Liu, S.; Liu, X. Reduced precipitation neutralizes the positive impact of soil warming on soil microbial community in a temperate oak forest. Sci. Total Environ. 2022, 806, 150957. [Google Scholar] [CrossRef] [PubMed]
- Hu, Y.; Ganjurjav, H.; Hu, G.; Wang, X.; Wan, Z.; Gao, Q. Seasonal patterns of soil microbial community response to warming and increased precipitation in a semiarid steppe. Appl. Soil. Ecol. 2023, 182, 104712. [Google Scholar] [CrossRef]
- Wang, S.; Jiang, X.; Li, J.; Zhao, X.; Han, E.; Qu, H.; Ma, X.; Lian, J. Increasing precipitation weakened the negative effects of simulated warming on soil microbial community composition in a semi-arid sandy grassland. Front. Microbiol. 2023, 13, 1074841. [Google Scholar] [CrossRef]
- Ruan, Y.; Ling, N.; Jiang, S.; Jing, X.; He, J.S.; Shen, Q.; Nan, Z. Warming and altered precipitation independently and interactively suppress alpine soil microbial growth in a decadal-long experiment. eLife 2024, 12, RP89392. [Google Scholar] [CrossRef] [PubMed]
- A’Bear, A.D.; Jones, T.H.; Kandeler, E.; Boddy, L. Interactive effects of temperature and soil moisture on fungal-mediated wood decomposition and extracellular enzyme activity. Soil. Biol. Biochem. 2014, 70, 151–158. [Google Scholar] [CrossRef]
- Henry, H.A. Reprint of “Soil extracellular enzyme dynamics in a changing climate”. Soil. Biol. Biochem. 2013, 56, 53–59. [Google Scholar] [CrossRef]
- Li, G.; Kim, S.; Han, S.H.; Chang, H.; Du, D.; Son, Y. Precipitation affects soil microbial and extracellular enzymatic re-sponses to warming. Soil. Biol. Biochem. 2018, 120, 212–221. [Google Scholar] [CrossRef]
- Liu, W.; Allison, S.D.; Xia, J.; Liu, L.; Wan, S. Precipitation regime drives warming responses of microbial biomass and activity in temperate steppe soils. Biol. Fertil. Soils 2016, 52, 469–477. [Google Scholar] [CrossRef]
- Zhang, K.; Shi, Y.U.; Jing, X.; He, J.S.; Sun, R.; Yang, Y.; Shade, A.; Chu, H. Effects of short-term warming and altered precipitation on soil microbial communities in alpine grassland of the Tibetan Plateau. Front. Microbiol. 2016, 7, 1032. [Google Scholar] [CrossRef]
- Hu, Y.; Wang, S.; Niu, B.; Chen, Q.; Wang, J.; Zhao, J.; Luo, T.; Zhang, G. Effect of increasing precipitation and warming on microbial community in Tibetan alpine steppe. Environ. Res. 2020, 189, 109917. [Google Scholar] [CrossRef] [PubMed]
- Daunoras, J.; Kačergius, A.; Gudiukaitė, R. Role of soil microbiota enzymes in soil health and activity changes depending on climate change and the type of soil ecosystem. Biology 2024, 13, 85. [Google Scholar] [CrossRef]
- Singh, J.S.; Gupta, V.K. Soil microbial biomass: A key soil driver in management of ecosystem functioning. Sci. Total Environ. 2018, 634, 497–500. [Google Scholar] [CrossRef]
- Kim, G.J.; Jo, H.; Kim, H.; Cho, M.S.; Noh, N.J.; Chang, H.; Kim, H.; Son, Y. Experimental design of open-field temperature and precipitation manipulation system to simulate summer extreme climate events for plants and soils. Turk. J. Agric. For. 2023, 47, 132–142. [Google Scholar] [CrossRef]
- Brown, I.C. A rapid method of determining exchangeable hydrogen and total exchangeable bases of soils. Soil. Sci. 1943, 56, 353–358. [Google Scholar] [CrossRef]
- DeForest, J.L. The influence of time, storage temperature, and substrate age on potential soil enzyme activity in acidic forest soils using MUB-linked substrates and L-DOPA. Soil. Biol. Biochem. 2009, 41, 1180–1186. [Google Scholar] [CrossRef]
- Sinsabaugh, R.L.; Hill, B.H.; Shah, J.J.F. Ecoenzymatic stoichiometry of microbial organic nutrient acquisition in soil and sediment. Nature 2009, 462, 795–798. [Google Scholar] [CrossRef] [PubMed]
- Brookers, P.C.; Landman, A.; Pruden, G.; Jenkinson, D.S. Chloroform fumigation and the release of soil nitrogen: A rapid direct extraction method to measure microbial biomass nitrogen in soil. Soil. Biol. Biochem. 1985, 17, 837–842. [Google Scholar] [CrossRef]
- Beck, T.; Joergensen, R.G.; Kandeler, E.; Makeschin, F.; Nuss, E.; Oberholzer, H.R.; Scheu, S. An inter-laboratory comparison of ten different ways of measuring soil microbial biomass C. Soil. Biol. Biochem. 1997, 29, 1023–1032. [Google Scholar] [CrossRef]
- Vance, E.D.; Brookes, P.C.; Jenkinson, D.S. An extraction method for measuring soil microbial biomass C. Soil. Biol. Biochem. 1987, 19, 703–707. [Google Scholar] [CrossRef]
- Kubista, M.; Andrade, J.M.; Bengtsson, M.; Forootan, A.; Jonák, J.; Lind, K.; Sindelka, R.; Sjöback, R.; Sjögreen, B.; Strömbom, L.; et al. The real-time polymerase chain reaction. Mol. Aspects Med. 2006, 27, 95–125. [Google Scholar] [CrossRef] [PubMed]
- Marschner, P.; Rengel, Z. Nutrient availability in soils. In Marschner’s Mineral Nutrition of Plants; Elsevier: Amsterdam, The Netherlands, 2023; pp. 499–522. [Google Scholar]
- Battistuzzi, F.U.; Hedges, S.B. A major clade of prokaryotes with ancient adaptations to life on land. Mol. Biol. Evol. 2009, 26, 335–343. [Google Scholar] [CrossRef] [PubMed]
- Li, W.J.; Klenk, H.P.; Qin, S.; Hozzein, W.N.; Ahmed, I. Editorial: Actinobacteria in Special and Extreme Habitats: Diversity, Function Roles and Environmental Adaptations, Second Edition. Front. Microbiol. 2019, 10, 451595. [Google Scholar]
- Malchair, S.; Carnol, M. Microbial biomass and C and N transformations in forest floors under European beech, sessile oak, Norway spruce and Douglas-fir at four temperate forest sites. Soil. Biol. Biochem. 2009, 41, 831–839. [Google Scholar] [CrossRef]
- Yan, J.; Wang, L.; Hu, Y.; Tsang, Y.F.; Zhang, Y.; Wu, J.; Fu, X.; Sun, Y. Plant litter composition selects different soil microbial structures and in turn drives different litter decomposition pattern and soil carbon sequestration capability. Geoderma 2018, 319, 194–203. [Google Scholar] [CrossRef]
- Xiao, W.; Chen, H.Y.; Kumar, P.; Chen, C.; Guan, Q. Multiple interactions between tree composition and diversity and microbial diversity underly litter decomposition. Geoderma 2019, 341, 161–171. [Google Scholar] [CrossRef]
- Awad, A.; Majcherczyk, A.; Schall, P.; Schröter, K.; Schöning, I.; Schrumpf, M.; Ehbrecht, M.; Boch, S.; Kahl, T.; Bauhus, J.; et al. Ectomycorrhizal and saprotrophic soil fungal biomass are driven by different factors and vary among broadleaf and coniferous temperate forests. Soil. Biol. Biochem. 2019, 131, 9–18. [Google Scholar] [CrossRef]
- Heděnec, P.; Nilsson, L.O.; Zheng, H.; Gundersen, P.; Schmidt, I.K.; Rousk, J.; Vesterdal, L. Mycorrhizal association of common European tree species shapes biomass and metabolic activity of bacterial and fungal communities in soil. Soil. Biol. Biochem. 2020, 149, 107933. [Google Scholar] [CrossRef]
- Fanin, N.; Hättenschwiler, S.; Fromin, N. Litter fingerprint on microbial biomass, activity, and community structure in the underlying soil. Plant Soil. 2014, 379, 79–91. [Google Scholar] [CrossRef]
- Chen, Y.; Ma, S.; Jiang, H.; Hu, Y.; Lu, X. Influences of litter diversity and soil moisture on soil microbial communities in decomposing mixed litter of alpine steppe species. Geoderma 2020, 377, 114577. [Google Scholar] [CrossRef]
- Bauhus, J.; Pare, D. Effects of tree species, stand age and soil type on soil microbial biomass and its activity in a southern boreal forest. Soil. Biol. Biochem. 1998, 30, 1077–1089. [Google Scholar] [CrossRef]
- Su, F.; Xu, S.; Sayer, E.J.; Chen, W.; Du, Y.; Lu, X. Distinct storage mechanisms of soil organic carbon in coniferous forest and evergreen broadleaf forest in tropical China. J. Environ. Manag. 2021, 295, 113142. [Google Scholar] [CrossRef] [PubMed]
- Krishna, M.P.; Mohan, M. Litter decomposition in forest ecosystems: A review. Energy Ecol. Environ. 2017, 2, 236–249. [Google Scholar] [CrossRef]
- Hättenschwiler, S.; Tiunov, A.V.; Scheu, S. Biodiversity and litter decomposition in terrestrial ecosystems. Annu. Rev. Ecol. Evol. Syst. 2005, 36, 191–218. [Google Scholar] [CrossRef]
Disclaimer/Publisher’s Note: The statements, opinions and data contained in all publications are solely those of the individual author(s) and contributor(s) and not of MDPI and/or the editor(s). MDPI and/or the editor(s) disclaim responsibility for any injury to people or property resulting from any ideas, methods, instructions or products referred to in the content. |
© 2024 by the authors. Licensee MDPI, Basel, Switzerland. This article is an open access article distributed under the terms and conditions of the Creative Commons Attribution (CC BY) license (https://creativecommons.org/licenses/by/4.0/).




