Analysis of Agricultural Carbon Emissions and Carbon Sinks in the Yellow River Basin Based on LMDI and Tapio Decoupling Models
Abstract
1. Introduction
2. Methodology and Data
2.1. Study Area
2.2. Data Sources
2.3. Calculation Method of Agricultural Carbon Emissions
2.3.1. Carbon Emissions from the Planting Industry
2.3.2. Carbon Emissions from Livestock Farming
2.4. Agricultural Carbon Sink
2.5. Agricultural Carbon Emissions Intensity
2.6. Factors Influencing Agricultural Carbon Emissions and Decomposition Models
2.7. Economic Models
3. Results and Discussion
3.1. Characteristics of Agricultural Carbon Emissions
3.1.1. Time-Series Changes in Agricultural Carbon Emissions
3.1.2. Regional Characteristics of Agricultural Carbon Emissions
3.2. Temporal–Spatial Changes in Agricultural Carbon Sequestration
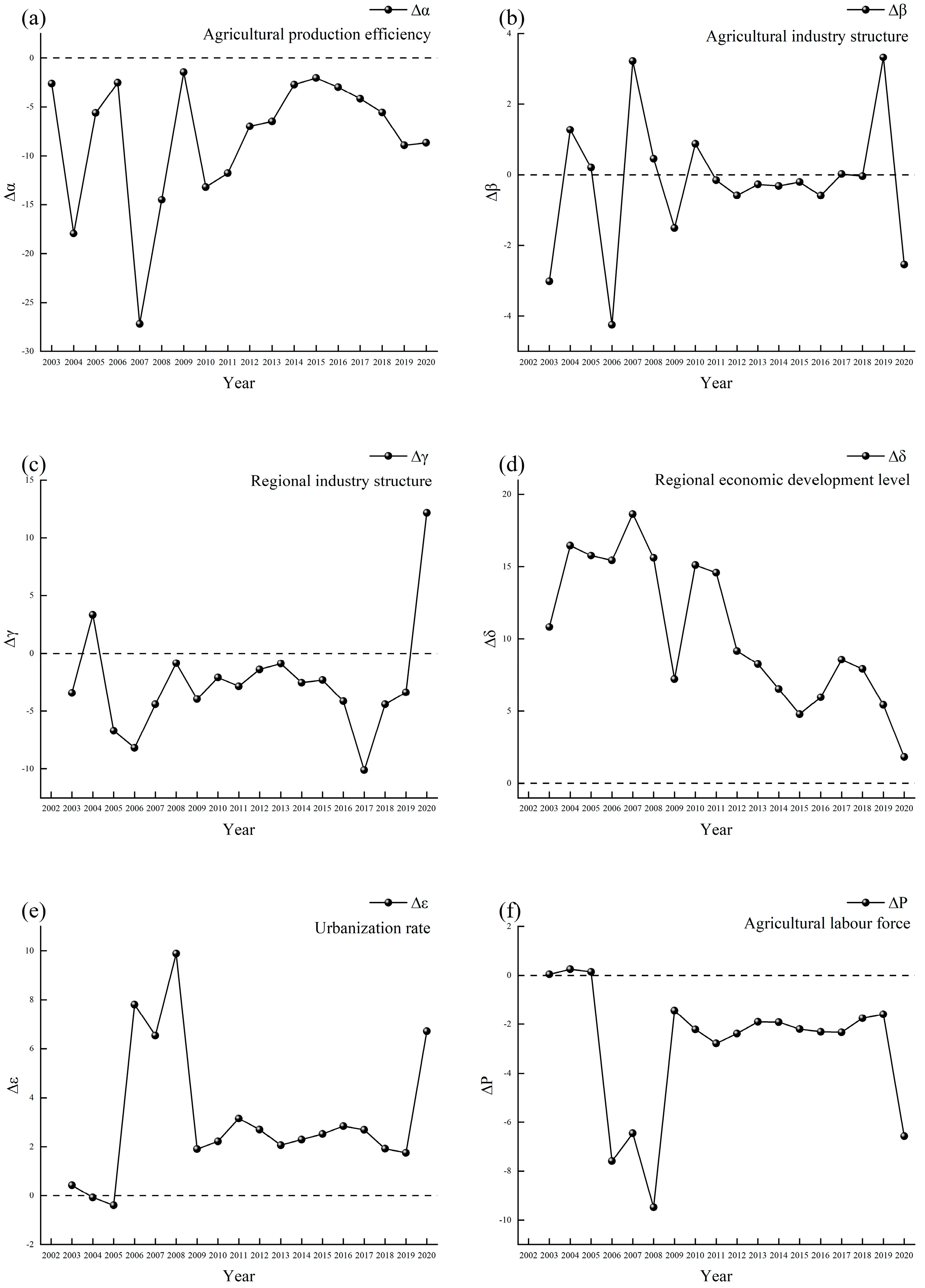
3.3. Analysis of Agricultural Carbon Emissions Factors in the YRB
3.4. Decoupling Analysis of Carbon Emissions and Economic Growth
4. Discussion
4.1. The Spatio-Temporal Patterns of Agricultural Carbon Emissions in the YRB
4.2. The Regional Differences in Agricultural Carbon Sinks in the YRB
4.3. Advantages and Limitations of This Study and Future Research Directions
5. Conclusions and Policy Implications
5.1. Conclusions
- (1)
- The order of their contribution to agricultural carbon emissions in the YRB urban agglomeration is livestock farming > agricultural material input > farmland utilization. Livestock farming is the major source of carbon emissions from agriculture but its emissions tend to be declining. Agricultural material input and emissions from farmland utilization show an increasing trend. In general, total agricultural carbon emissions showed a negative trend, with an overall decrease of 2.982 million tons. Fertilizer has the highest share of carbon emissions among agricultural material input at 61.25%. Sichuan Province is the main province for carbon emissions during the rice growing cycle, reaching a peak of 2.42 million tons in 2005. In addition, there is a noticeable spatial imbalance in the intensity of agricultural carbon emissions across different regions. Provinces with a larger area dedicated to grain crop cultivation and relatively underdeveloped economies exhibit a higher carbon emission intensity, while regions with a larger area dedicated to cash crop cultivation and relatively developed economies show a lower carbon emission intensity.
- (2)
- Agricultural carbon sinks in the urban agglomerations of the YRB show a clear growth trend. During this period, the total agricultural carbon sink increased from 147.24 to 226.92 million tons. With the exception of cotton and potatoes, the carbon sink of other crops has increased. In terms of carbon sink, wheat and corn are the main sources of the agricultural carbon sink, accounting for 73% of the total carbon sink. Furthermore, the carbon sink capacity of the same crop varies markedly in different regions.
- (3)
- The LMDI factor decomposition analysis reveals that several factors contribute to agrarian carbon emissions reduction in the YRB urban agglomeration, including agricultural production efficiency, industry structure, regional industry structure, and labor force size. Among these factors, agricultural production efficiency plays a crucial role, resulting in an average annual carbon reduction of 8.07 million tons. On the other hand, the level of regional economic development and urbanization contribute to the increase in agricultural carbon emissions. Specifically, regional economic development is the primary driver; cumulative carbon emissions amounted to 188.061 million tons.
- (4)
- From the data analysis of the decoupling model, there are three decoupling states of agricultural carbon emissions in the YRB urban agglomeration: strong decoupling, weak decoupling, and declining decoupling. There were four strong decouplings, three of which occurred after 2015, indicating that the YRB urban agglomeration has achieved significant carbon emissions reductions.
5.2. Policy Implications
- (1)
- We will promote low-carbon and sustainable agriculture and improve the efficiency of agricultural materials used to reduce carbon emissions from agricultural inputs. In this study, fertilizer is the primary source of carbon emissions from agricultural land. We must develop clean agrarian production technologies, improve fertilizer application efficiency, reduce fertilizer use frequency, and achieve rational and efficient fertilizer application. We are improving agricultural production techniques to develop efficient and clean agrarian production patterns.
- (2)
- Improving crop cultivation systems or patterns to increase the stability of crop production, restructuring the agricultural industry to reduce farmland depletion, and enhancing soil management. Selecting some high-yielding crops, such as wheat and corn, as growing crops with a high carbon sequestration capacity can enhance carbon sequestration. The internal structure of the farming industry should be adjusted to meet basic food needs, expand the area planted with cash crops, increase the comprehensive production capacity of agriculture, make preferential selection of crop species, and improve planting techniques to increase the productivity of crops and enhance their carbon sequestration capacity.
- (3)
- To reform livestock farming technology and management and improve livestock farming. The aim is to effectively control methane emissions from the intestinal tract of ruminant animals. Local governments can make appropriate adjustments to the structure of the livestock industry according to market conditions, optimize the breeds of livestock, improve the scientific degree of breeding techniques, and increase the advanced degree of livestock manure treatment, thereby reducing carbon emissions.
- (4)
- Increase publicity and training for farmers on low-carbon development and raise their awareness. A wide range of channels and methods should be fully utilized to publicize low-carbon agriculture and raise farmers’ awareness of the safety and superiority of low-carbon agricultural products so that low-carbon production and low-carbon living become the consensus of farmers and promote the transformation of agricultural production methods and the reduction of agricultural carbon emissions. Through technical training, farmers can grasp advanced production techniques better, thereby increasing farm productivity and reducing greenhouse gas emissions.
Supplementary Materials
Author Contributions
Funding
Institutional Review Board Statement
Informed Consent Statement
Data Availability Statement
Conflicts of Interest
References
- Liu, M.; Dong, X.; Wang, X.; Zhao, B.; Fan, W.; Wei, H.; Zhang, P.; Liu, R. Evaluating the future terrestrial ecosystem contributions to carbon neutrality in Qinghai-Tibet Plateau. J. Clean. Prod. 2022, 374, 133914. [Google Scholar] [CrossRef]
- Ramanathan, V.; Feng, Y. Air pollution, greenhouse gases and climate change: Global and regional perspectives. Atmos. Environ. 2009, 43, 37–50. [Google Scholar] [CrossRef]
- Wang, R.; Zhang, Y.; Zou, C. How does agricultural specialization affect carbon emissions in China? J. Clean. Prod. 2022, 370, 133463. [Google Scholar] [CrossRef]
- Li, S.; Liu, L.; Suo, Y.; Li, X.; Zhou, J.; Jiang, Z.; Guan, H.; Sun, G.; Yu, L.; Liu, P.; et al. Carbon Tectonics: A new paradigm for Earth system science. Chin. Sci. Bull. 2023, 68, 309–338. [Google Scholar] [CrossRef]
- Du, Y.; Liu, H.; Huang, H.; Li, X. The carbon emission reduction effect of agricultural policy—Evidence from China. J. Clean. Prod. 2023, 406, 137005. [Google Scholar] [CrossRef]
- Liu, M.; Yang, L. Spatial pattern of China’s agricultural carbon emission performance. Ecol. Indic. 2021, 133, 108345. [Google Scholar] [CrossRef]
- Khattak, S.I.; Ahmad, M. The cyclical impact of green and sustainable technology research on carbon dioxide emissions in BRICS economies. Environ. Sci. Pollut. Res. 2022, 29, 22687–22707. [Google Scholar] [CrossRef]
- Gyamfi, B.A.; Agozie, D.Q.; Bekun, F.V. Can technological innovation, foreign direct investment and natural resources ease some burden for the BRICS economies within current industrial era? Technol. Soc. 2022, 70, 102037. [Google Scholar] [CrossRef]
- Khattak, S.I.; Ahmad, M.; Khan, Z.U.; Khan, A. Exploring the impact of innovation, renewable energy consumption, and income on CO2 emissions: New evidence from the BRICS economies. Environ. Sci. Pollut. Res. 2020, 27, 13866–13881. [Google Scholar] [CrossRef]
- Adebayo, T.S.; Ullah, S.; Kartal, M.T.; Ali, K.; Pata, U.K.; Aga, M. Endorsing sustainable development in BRICS: The role of technological innovation, renewable energy consumption, and natural resources in limiting carbon emission. Sci. Total Environ. 2023, 859, 160181. [Google Scholar] [CrossRef]
- Smith, P.; Martino, D.; Cai, Z.; Gwary, D.; Janzen, H.; Kumar, P.; McCarl, B.; Ogle, S.; O’Mara, F.; Rice, C.; et al. Greenhouse gas mitigation in agriculture. Philos. Trans. R. Soc. B Biol. Sci. 2008, 363, 789–813. [Google Scholar] [CrossRef] [PubMed]
- FAO. UNFCCC COP26[EB/OL]. Available online: http://www.fao.org/ (accessed on 22 December 2023).
- Chen, Z.; Xu, C.; Ji, L.; Feng, J.; Li, F.; Zhou, X.; Fang, F. Effects of multi-cropping system on temporal and spatial distribution of carbon and nitrogen footprint of major crops in China. Glob. Ecol. Conserv. 2020, 22, e895. [Google Scholar] [CrossRef]
- Xu, B.; Lin, B. Factors affecting CO2 emissions in China’s agriculture sector: Evidence from geographically weighted regression model. Energy Policy 2017, 104, 404–414. [Google Scholar] [CrossRef]
- Li, M.; Liu, S.; Sun, Y.; Liu, Y. Agriculture and animal husbandry increased carbon footprint on the Qinghai-Tibet Plateau during past three decades. J. Clean. Prod. 2021, 278, 123963. [Google Scholar] [CrossRef]
- Zheng, W.; Luo, B.; Hu, X. The determinants of farmers’ fertilizers and pesticides use behavior in China: An explanation based on label effect—ScienceDirect. J. Clean. Prod. 2020, 272, 123054. [Google Scholar] [CrossRef]
- Liu, J.; Diamond, J. China’s environment in a globalizing world. Nature 2005, 435, 1179. [Google Scholar] [CrossRef] [PubMed]
- Good, A.G.; Beatty, P.H. Fertilizing Nature: A Tragedy of Excess in the Commons. Work. Pap. 2011, 9, e1001124. [Google Scholar] [CrossRef]
- Xu, P.; Liao, Y.; Zheng, Y.; Zhao, C.; Zhang, X.; Zheng, Z.; Luan, S. Northward shift of historical methane emission hotspots from the livestock sector in China and assessment of potential mitigation options. Agric. For. Meteorol. 2019, 272–273, 1–11. [Google Scholar] [CrossRef]
- Yun, T.; Wu, H. Research on Fairness of Agricultural Carbon Emissions in China’s Major Grain Producing Areas from the Perspective of Industrial Structure. J. Agrotech. Econ. 2020, 45–55. [Google Scholar]
- Li, M.; Wiedmann, T.; Hadjikakou, M. Towards meaningful consumption-based planetary boundary indicators: The phosphorus exceedance footprint. Glob. Environ. Chang. 2019, 54, 227–238. [Google Scholar] [CrossRef]
- Li, B.; Danish; Khan, S.U.; Haneklaus, N. Ecological footprint analysis of the phosphorus industry in China. Environ. Sci. Pollut. Res. 2022, 29, 73461–73479. [Google Scholar] [CrossRef] [PubMed]
- Shun, C.; Fei, L.; Xiaoke, W. Estimation of greenhouse gases emission factors for China’s nitrogen, phosphate, and potash fertilizers. Acta Ecol. Sin. 2015, 35, 6371–6383. [Google Scholar]
- Tian, Y.; Zhang, J.B. Regional differentiation research on net carbon effect of agricultural production in China. J. Nat. Resour. 2013, 28, 1298–1309. [Google Scholar]
- Wei, S.; Yang, Y.; Xu, Y. Regional development, agricultural industrial upgrading and carbon emissions: What is the role of fiscal expenditure?—Evidence from Northeast China. Econ. Anal. Policy 2023, 80, 1858–1871. [Google Scholar] [CrossRef]
- Xu, L.; Dong, Z. Spatial-temporal Characteristics and Spatial Effects of Agricultural Carbon Emissions in the Yellow River Basin. J. North China Univ. Water Resour. Electr. Power Soc. Sci. Ed. 2023, 39, 9–18. [Google Scholar]
- Wang, H.; Xu, Y.; Li, C. Coupling coordination and spatio-temporal pattern evolution between ecological protection and high-quality development in the Yellow River Basin. Heliyon 2023, 9, e21089. [Google Scholar] [CrossRef]
- Zhao, X.; Ma, Q.; Yang, R. Factors influencing CO2 emissions in China’s power industry: Co-integration analysis. Energy Policy 2013, 57, 89–98. [Google Scholar] [CrossRef]
- Han, S.; Li, F.; Wang, S.; Li, H.; Yuan, L.; Liu, J.; Shen, H.; Zhang, X.; Li, C.; Wu, X.; et al. Groundwater resource and eco-environmental problem of the Yellow River Basin. Geol. China 2021, 48, 1001–1019. [Google Scholar]
- Zhao, N.; Wang, K.; Yuan, Y. Toward the carbon neutrality: Forest carbon sinks and its spatial spillover effect in China. Ecol. Econ. 2023, 209, 107837. [Google Scholar] [CrossRef]
- Zhu, Y.; Huo, C.J. The Impact of Agricultural Production Efficiency on Agricultural Carbon Emissions in China. Energies 2022, 15, 4464. [Google Scholar] [CrossRef]
- Liu, X.Q.; Ye, Y.M.; Ge, D.D.; Wang, Z.; Liu, B. Study on the Evolution and Trends of Agricultural Carbon Emission Intensity and Agricultural Economic Development Levels-Evidence from Jiangxi Province. Sustainability 2022, 14, 14265. [Google Scholar] [CrossRef]
- Huang, Q.Y.; Zhang, Y. Decoupling and Decomposition Analysis of Agricultural Carbon Emissions: Evidence from Heilongjiang Province, China. Int. J. Environ. Res. Public Health 2022, 19, 198. [Google Scholar] [CrossRef] [PubMed]
- Xu, X.; Lan, Y. Spatial and temporal patterns of carbon footprints of grain crops in China. J. Clean. Prod. 2017, 146, 218–227. [Google Scholar] [CrossRef]
- Li, B.; Zhang, J.B.; Li, H.P. Research on Spatial-temporal Characteristics and Affecting Factors Decomposition of Agricultural Carbon Emission in China. China Popul. Resour. Environ. 2011, 21, 80–86. [Google Scholar]
- Deng, W.; Xu, Z. Characteristics of agricultural carbon emissions and carbon peak analysis in Hunan Province. Chin. J. Eco-Agric. 2023, 1–14. [Google Scholar]
- Johnson, J.M.-F.; Franzluebbers, A.J.; Weyers, S.L.; Reicosky, D.C. Agricultural opportunities to mitigate greenhouse gas emissions. Environ. Pollut. 2007, 150, 107–124. [Google Scholar] [CrossRef]
- Zhao, L.P.; Li, X.C.; Li, X.M.; Ai, C. Dynamic Changes and Regional Differences of Net Carbon Sequestration of Food Crops in the Yangtze River Economic Belt of China. Int. J. Environ. Res. Public Health 2022, 19, 13229. [Google Scholar] [CrossRef]
- Song, H.; Zhang, X.; Zou, J.; Gu, L.; Li, Y.; Tang, J. A study on the value of carbon compensation in the Huai River basin based on land use from 2000 to 2020. Phys. Chem. Earth Parts A B C 2023, 132, 103490. [Google Scholar] [CrossRef]
- Cheng, J.; Huang, C.; Gan, X.; Peng, C.; Deng, L. Can forest carbon sequestration offset industrial CO2 emissions? A case study of Hubei Province, China. J. Clean. Prod. 2023, 426, 139147. [Google Scholar] [CrossRef]
- Demiral, M.; Demiral, Ö. Global value chains participation and trade-embodied net carbon exports in group of seven and emerging seven countries. J. Environ. Manag. 2023, 347, 119027. [Google Scholar] [CrossRef]
- Chen, F.; Zhang, J.; Ren, J.; Xiang, Y.; Li, Q. Spatiotemporal variations and influencing factors of carbon emissions in the Yellow River Basin based on LMDI model. J. Earth Environ. 2022, 13, 418–427. [Google Scholar]
- Kong, H.J.; Shi, L.F.; Da, D.; Li, Z.; Tang, D.; Xing, W. Simulation of China’s Carbon Emission based on Influencing Factors. Energies 2022, 15, 3272. [Google Scholar] [CrossRef]
- Yang, H.; Wang, X.; Bin, P. Agriculture carbon-emission reduction and changing factors behind agricultural eco-efficiency growth in China. J. Clean. Prod. 2022, 334, 130193. [Google Scholar] [CrossRef]
- Guoyong, W.; Jindan, L.; Ying, C. Analysis of Spatial Characteristics and Spillover Effects of Agricultural Carbon Emission Intensity in China. Environ. Sci. Technol. 2021, 44, 211–219. [Google Scholar]
- Min, J.; Hu, H. Calculation of Greenhouse Gases Emission from Agricultural Production in China. China Popul. Resour. Environ. 2012, 22, 21–27. [Google Scholar]
- Wang, H.; Qiao, J. Decoupling and predictive analysis of greenhouse gas emission from animal husbandry in China. Chin. J. Eco-Agric. 2019, 27, 793–802. [Google Scholar]
- Bhattacharyya, P.; Neogi, S.; Roy, K.S.; Dash, P.; Nayak, A.; Mohapatra, T. Tropical low land rice ecosystem is a net carbon sink. Agric. Ecosyst. Environ. 2014, 189, 127–135. [Google Scholar] [CrossRef]
- Chen, C.; Junwei, Z. Spatial-Temporal Evolution of Agricultural Carbon Effect in the Yellow River Basin and Its Fairness Research. Yellow River 2023, 45, 13–18. [Google Scholar]
- Cui, Y.; Khan, S.U.; Sauer, J.; Zhao, M. Exploring the spatiotemporal heterogeneity and influencing factors of agricultural carbon footprint and carbon footprint intensity: Embodying carbon sink effect. Sci. Total Environ. 2022, 846, 157507. [Google Scholar] [CrossRef]
- Zhang, S.; Ying, J.; He, Y.; Xiao, X. Spatial differentiation and dynamic evolution of agricultural carbon emission in China Empirical research based on spatial and non-parametric estimation methods. China Environ. Sci. 2020, 40, 1356–1363. [Google Scholar]
- Isik, M.; Sarica, K.; Ari, I. Driving forces of Turkey’s transportation sector CO2 emissions: An LMDI approach. Transp. Policy 2020, 97, 210–219. [Google Scholar] [CrossRef]
- Jain, S.; Rankavat, S. Analysing driving factors of India’s transportation sector CO2 emissions: Based on LMDI decomposition method. Heliyon 2023, 9, e19871. [Google Scholar] [CrossRef] [PubMed]
- Karakaya, E.; Bostan, A.; Özçağ, M. Decomposition and decoupling analysis of energy-related carbon emissions in Turkey. Environ. Sci. Pollut. Res. 2019, 26, 32080–32091. [Google Scholar] [CrossRef] [PubMed]
- Zhao, R.; Liu, Y.; Ding, M.; Jiao, S. Research on Carbon Source and Sink of Farmland Ecosystem in Henan Province. J. Henan Agric. Sci. 2010, 40–44. [Google Scholar]
- Xiao, P.; Zhang, Y.; Qian, P.; Lu, M.; Yu, Z.; Xu, J.; Zhao, C.; Qian, H. Spatiotemporal Characteristics, Decoupling Effect and Driving Factors of Carbon Emission from Cultivated Land Utilization in Hubei Province. Int. J. Environ. Res. Public Health 2022, 19, 9326. [Google Scholar] [CrossRef] [PubMed]
- Liu, H.; Zhang, Z. Probing the carbon emissions in 30 regions of China based on symbolic regression and Tapio decoupling. Environ. Sci. Pollut. Res. 2022, 29, 2650–2663. [Google Scholar] [CrossRef] [PubMed]
- Wu, Y.; Yuan, C.; Liu, Z.; Wu, H.; Wei, X. Decoupling relationship between the non-grain production and intensification of cultivated land in China based on Tapio decoupling model. J. Clean. Prod. 2023, 424, 138800. [Google Scholar] [CrossRef]
- Tapio, P. Towards a theory of decoupling: Degrees of decoupling in the EU and the case of road traffic in Finland between 1970 and 2001. Transp. Policy 2005, 12, 137–151. [Google Scholar] [CrossRef]
- Yang, F.; Shi, L.; Gao, L. Probing CO2 emission in Chengdu based on STRIPAT model and Tapio decoupling. Sustain. Cities Soc. 2023, 89, 104309. [Google Scholar] [CrossRef]
- Huang, X.; Xu, X.; Wang, Q.; Zhang, L.; Gao, X.; Chen, L. Assessment of Agricultural Carbon Emissions and Their Spatiotemporal Changes in China, 1997–2016. Int. J. Environ. Res. Public Health 2019, 16, 3105. [Google Scholar] [CrossRef]
- Yun, T.; Yanrong, C. EKC-based Test for Agricultural Carbon Emissions in Yangtze River Economic Belt and Analysis of Driving Factors. Resour. Environ. Yangtze Basin 2023, 32, 2403–2417. [Google Scholar]
- Liu, Y.; Liu, H. Characteristics, influence factors, and prediction of agricultural carbon emissions in Shandong Province. Chin. J. Eco-Agric. 2022, 30, 558–569. [Google Scholar]
- Hu, Y.; Zhang, K.; Hu, N.; Wu, L. Review on measurement of agricultural carbon emission in China. Chin. J. Eco-Agric. 2023, 31, 163–176. [Google Scholar]
- Ran, J.; Ma, H.; Su, Y. Study on Agricultural Carbon Emission and Its Influencing Factors in Five Provinces of Northwest China. Acta Agric. Univ. Jiangxiensis 2017, 39, 623–632. [Google Scholar]
- Li, M.; Zhou, D.; Zhu, X.; Qi, H.; Ma, J.; Zhang, J. Spatial-temporal characteristics of agricultural carbon emissions and influencing factors in the Hexi Corridor from 2000 to 2020. J. Agric. Resour. Environ. 2023, 40, 940–952. [Google Scholar]












| Type of Decoupling | Decoupling Status | ΔC/C | ΔG/G | T |
|---|---|---|---|---|
| Decoupling | Weak decoupling | >0 | >0 | 0 ≤ T < 0.8 |
| Strong decoupling | <0 | >0 | T < 0 | |
| Declining decoupling | <0 | <0 | T > 1.2 | |
| Negative decoupling | Weak negative decoupling | <0 | <0 | 0 ≤ T < 0.8 |
| Strong negative decoupling | >0 | <0 | T < 0 | |
| Expansive negative decoupling | >0 | >0 | T > 1.2 | |
| Connect | Expansion connection | >0 | >0 | 0.8 ≤ T ≤ 1.2 |
| Decay connection | <0 | <0 | 0.8 ≤ T ≤ 1.2 |
| Year | Contribution Value (Million Tons) | ||||||
|---|---|---|---|---|---|---|---|
| ∆α | ∆β | ∆γ | ∆δ | ∆ε | ∆P | ∆C | |
| 2003 | −2.604 | −3.020 | −3.425 | 10.816 | 0.426 | 0.044 | 2.238 |
| 2004 | −17.942 | 1.277 | 3.340 | 16.466 | −0.076 | 0.249 | 3.315 |
| 2005 | −5.608 | 0.203 | −6.693 | 15.762 | −0.400 | 0.143 | 3.407 |
| 2006 | −2.519 | −4.247 | −8.174 | 15.430 | 7.804 | −7.590 | 0.705 |
| 2007 | −27.195 | 3.219 | −4.411 | 18.653 | 6.536 | −6.454 | −9.652 |
| 2008 | −14.495 | 0.461 | −0.856 | 15.601 | 9.886 | −9.480 | 1.117 |
| 2009 | −1.448 | −1.501 | −3.959 | 7.216 | 1.909 | −1.443 | 0.775 |
| 2010 | −13.187 | 0.879 | −2.090 | 15.104 | 2.219 | −2.213 | 0.712 |
| 2011 | −11.780 | −0.153 | −2.846 | 14.582 | 3.155 | −2.783 | 0.175 |
| 2012 | −6.984 | −0.581 | −1.400 | 9.165 | 2.694 | −2.384 | 0.510 |
| 2013 | −6.478 | −0.269 | −0.890 | 8.254 | 2.066 | −1.908 | 0.774 |
| 2014 | −2.713 | −0.313 | −2.536 | 6.528 | 2.293 | −1.918 | 1.341 |
| 2015 | −2.040 | −0.204 | −2.310 | 4.791 | 2.518 | −2.204 | 0.551 |
| 2016 | −2.980 | −0.587 | −4.140 | 5.955 | 2.840 | −2.310 | −1.222 |
| 2017 | −4.168 | 0.021 | −10.114 | 8.560 | 2.687 | −2.330 | −5.344 |
| 2018 | −5.569 | −0.038 | −4.415 | 7.911 | 1.923 | −1.758 | −1.946 |
| 2019 | −8.923 | 3.328 | −3.377 | 5.435 | 1.758 | −1.597 | −3.376 |
| 2020 | −8.664 | −2.538 | 12.169 | 1.832 | 6.710 | −6.570 | 2.939 |
| Total | −145.297 | −4.062 | −46.128 | 188.061 | 56.949 | −52.505 | −2.982 |
Disclaimer/Publisher’s Note: The statements, opinions and data contained in all publications are solely those of the individual author(s) and contributor(s) and not of MDPI and/or the editor(s). MDPI and/or the editor(s) disclaim responsibility for any injury to people or property resulting from any ideas, methods, instructions or products referred to in the content. |
© 2024 by the authors. Licensee MDPI, Basel, Switzerland. This article is an open access article distributed under the terms and conditions of the Creative Commons Attribution (CC BY) license (https://creativecommons.org/licenses/by/4.0/).
Share and Cite
Jia, L.; Wang, M.; Yang, S.; Zhang, F.; Wang, Y.; Li, P.; Ma, W.; Sui, S.; Liu, T.; Wang, M. Analysis of Agricultural Carbon Emissions and Carbon Sinks in the Yellow River Basin Based on LMDI and Tapio Decoupling Models. Sustainability 2024, 16, 468. https://doi.org/10.3390/su16010468
Jia L, Wang M, Yang S, Zhang F, Wang Y, Li P, Ma W, Sui S, Liu T, Wang M. Analysis of Agricultural Carbon Emissions and Carbon Sinks in the Yellow River Basin Based on LMDI and Tapio Decoupling Models. Sustainability. 2024; 16(1):468. https://doi.org/10.3390/su16010468
Chicago/Turabian StyleJia, Luhao, Mingya Wang, Shili Yang, Fan Zhang, Yidong Wang, Penghao Li, Wanqi Ma, Shaobo Sui, Tong Liu, and Mingshi Wang. 2024. "Analysis of Agricultural Carbon Emissions and Carbon Sinks in the Yellow River Basin Based on LMDI and Tapio Decoupling Models" Sustainability 16, no. 1: 468. https://doi.org/10.3390/su16010468
APA StyleJia, L., Wang, M., Yang, S., Zhang, F., Wang, Y., Li, P., Ma, W., Sui, S., Liu, T., & Wang, M. (2024). Analysis of Agricultural Carbon Emissions and Carbon Sinks in the Yellow River Basin Based on LMDI and Tapio Decoupling Models. Sustainability, 16(1), 468. https://doi.org/10.3390/su16010468
