Effects of Polyacrylamide, Biochar, and Palm Fiber on Soil Erosion at the Early Stage of Vegetation Concrete Slope Construction
Abstract
1. Introduction
2. Materials and Methods
2.1. Materials for Experiments
2.2. Experimental Layout
2.3. Experimental Procedure
2.4. Method of Data Collection and Analysis
3. Results
3.1. Effects of Polyacrylamide, Biochar, and Palm Fiber on Initial Runoff Time of Slope
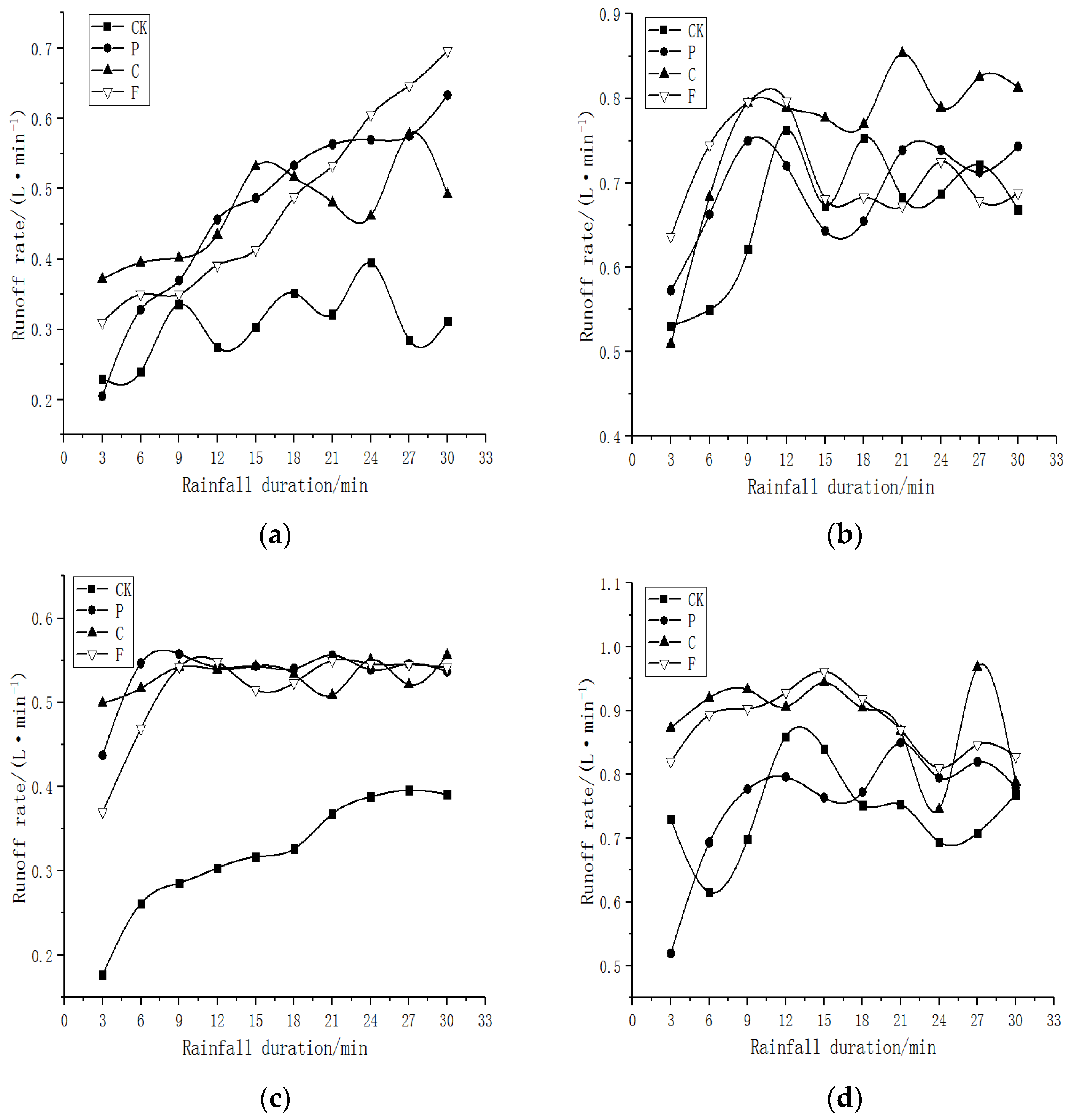
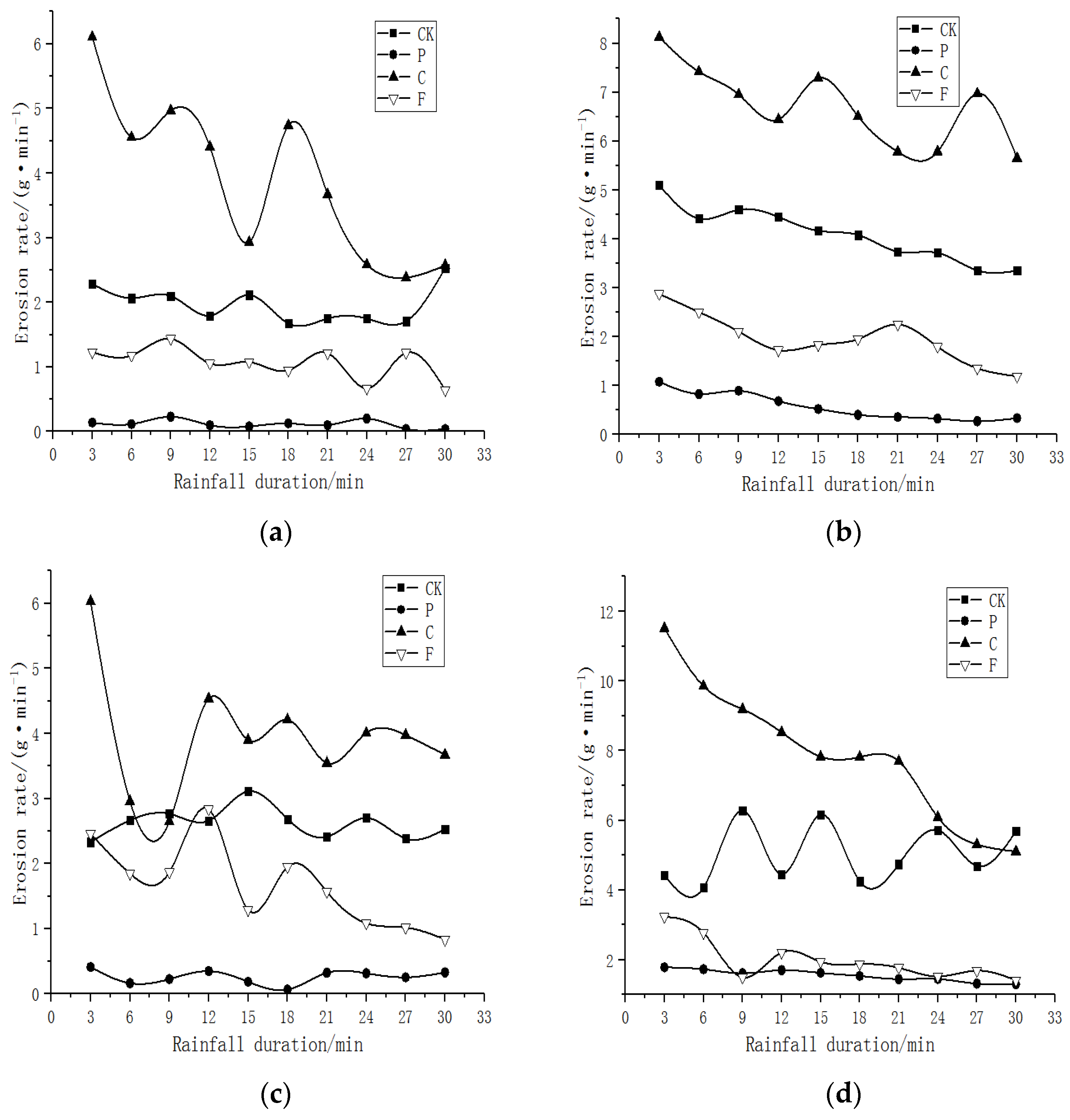
3.2. Effect of Polyacrylamide, Biochar, and Palm Fiber on Runoff and Sediment Process of Slope
3.3. Water-Sediment Relationship of the Slope under Different Conditions
3.4. The Influence of Polyacrylamide, Biochar, and Palm Fiber on Runoff and Sediment Reduction of Slope
4. Discussion
5. Conclusions
Author Contributions
Funding
Data Availability Statement
Conflicts of Interest
References
- Fan, J.-C.; Huang, C.-L.; Yang, C.-H.; Liao, K.-W.; Liao, W.-W. Effect evaluation of shotcrete vegetation mulching technique applied to steep concrete-face slopes on a highway of Taiwan. Paddy Water Environ. 2011, 11, 145–159. [Google Scholar] [CrossRef]
- Li, X.; Yin, X.; Wang, Z.; Fan, W. Litter mass loss and nutrient release influenced by soil fauna of Betula ermanii forest floor of the Changbai Mountains, China. Appl. Soil Ecol. 2015, 95, 15–22. [Google Scholar] [CrossRef]
- Xu, W.N.; Xia, D.; Zhao, B.Q.; Xia, Z.Y.; Liu, D.X. Research on Vegetation Ecological Restoration Technology in Disturbed Areas of Hydropower Projects; Science Press: Beijing, China, 2017. (In Chinese) [Google Scholar]
- National Energy Administration of the People’s Republic of China. Technical Code for Eco-Restoration of Vegetation Concrete on Steep Slope of Hydropower Projects: NB/T 35082-2016; China Electric Power Press: Beijing, China, 2016. [Google Scholar]
- Zhang, J.Y.; Zhou, D.P. Study on shrinkage and recovery of thick layer base material spraying for bio-slope-engineering. Chin. J. Rock Mech. Eng. 2004, 23, 1203–1208. (In Chinese) [Google Scholar]
- Zhang, M.T.; Qiu, J.D.; Yan, D. Application of external-soil spray seeding technique to slopes natural eco-restoration and protection. Sci. Soil Water Conserv. 2004, 2, 10–12. [Google Scholar]
- Liu, D.; Liu, D.; Gao, J.; Yang, Y.; Ding, Y.; Guo, C.; Zhang, X.; Xia, Z.; Xu, W. Influence of addition of two typical activated carbons on fertility properties and mechanical strength of vegetation concrete under freeze-thaw conditions. Sci. Total Environ. 2022, 838, 156446. [Google Scholar] [CrossRef]
- Zhang, B.; Liu, D.; Su, H. Single pullout experiment and reinforcement properties of basalt fiber in vegetation concrete. Sci. Rep. 2022, 12, 1264. [Google Scholar] [CrossRef]
- Gao, J.; Liu, D.; Xu, Y.; Chen, J.; Yang, Y.; Xia, D.; Ding, Y.; Xu, W. Effects of two types of activated carbon on the properties of vegetation concrete and Cynodon dactylon growth. Sci. Rep. 2020, 10, 14483. [Google Scholar] [CrossRef] [PubMed]
- Xia, L.; Zhao, B.Q.; Luo, T.; Xu, W.N.; Guo, T.; Xia, D. Microbial functional diversity in rhizosphere and non-rhizosphere soil of different dominant species in a vegetation concrete slope. Biotechnol. Biotechnol. Equip. 2022, 36, 379–388. [Google Scholar] [CrossRef]
- Chen, F.; Xu, Y.; Wang, C.; Mao, J. Effects of concrete content on seed germination and seedling establishment in vegetation concrete matrix in slope restoration. Ecol. Eng. 2013, 58, 99–104. [Google Scholar] [CrossRef]
- Xia, Z.Y.; Hong, H.; Gao, F.; Shao, Y.Y.; Xiao, H.; Yang, Y.S.; Li, M.Y.; Xu, W.N. Influence of cement addition amount and maintenance duration on the erosion resistance for ecological restoration substrate. Sci. Soil Water Conserv. 2021, 19, 115–121. (In Chinese) [Google Scholar]
- Zhou, H.Q.; Li, C.; Zhao, S.Y.; Wang, Q.X.; Peng, Y. Comparative Experimental Study on Anti-Scour Model of Vegetation Concrete Slope. J. Tianjin Univ. Sci. Technol. 2019, 52, 128–134. (In Chinese) [Google Scholar]
- Li, C.; Zhou, H.Q.; Zhao, S.Y.; Wang, Q.X.; Peng, Y. Laboratory Test Study on Sediment Erosion of Vegetation Concrete Slope. J. Ordnance Equip. Eng. 2019, 40, 231–236. (In Chinese) [Google Scholar]
- Chen, Z.; Chen, W.; Li, C.; Pu, Y.; Sun, H. Effects of polyacrylamide on soil erosion and nutrient losses from substrate material in steep rocky slope stabilization projects. Sci. Total Environ. 2016, 554–555, 26–33. [Google Scholar] [CrossRef] [PubMed]
- Yao, Y.; Dai, Q.; Gao, R.; Gan, Y.; Yi, X. Effects of rainfall intensity on runoff and nutrient loss of gently sloping farmland in a karst area of SW China. PLoS ONE 2021, 16, e0246505. [Google Scholar] [CrossRef]
- Zhang, X.; Chen, X.; Zhang, W.; Peng, H.; Xu, G.; Zhao, Y.; Shen, Z. Impact of land use changes on the surface runoff and nutrient load in the three gorges reservoir area, China. Sustainability 2022, 14, 2023. [Google Scholar] [CrossRef]
- Ma, B.; Ma, B.-L.; McLaughlin, N.B.; Mi, J.; Yang, Y.; Liu, J. Exploring soil amendment strategies with polyacrylamide to improve soil health and oat productivity in a dryland farming ecosystem: One-time versus repeated annual application. Land Degrad. Dev. 2020, 31, 1176–1192. [Google Scholar] [CrossRef]
- Yu, P.; Li, T.; Fu, Q.; Liu, D.; Hou, R.; Zhao, H. Effect of Biochar on Soil and Water Loss on Sloping Farmland in the Black Soil Region of Northeast China during the Spring Thawing Period. Sustainability 2021, 13, 1460. [Google Scholar] [CrossRef]
- Sadeghi, S.H.R.; Hazbavi, Z.M.; Harchegani, K.M. Controllability of runoff and soil loss from small boxes treated by vinasse-produced biochar. Sci. Total Environ. 2016, 541, 483–490. [Google Scholar] [CrossRef] [PubMed]
- Lehmann, J.; Rillig, M.C.; Thies, J.; Masiello, C.A.; Hockaday, W.C.; Crowley, D. Biochar effects on soil biota—A review. Soil Biol. Biochem. 2011, 43, 1812–1836. [Google Scholar] [CrossRef]
- Hailegnaw, N.S.; Mercl, F.; Pračke, K.; Száková, J.; Tlustoš, P. Mutual relationships of biochar and soil pH, CEC, and exchangeable base cations in a model laboratory experiment. J. Soils Sediments 2019, 19, 2405–2416. [Google Scholar] [CrossRef]
- Zhang, L.; Tang, S.; Guan, Y. Excellent adsorption–desorption of ammonium by a poly(acrylic acid)-grafted chitosan and biochar composite for sustainable agricultural development. ACS Sustain. Chem. Eng. 2020, 8, 16451–16462. [Google Scholar] [CrossRef]
- Hussain, R.; Ravi, K.K.; Garg, A. Influence of biochar on the soil water retention characteristics (SWRC): Potential application in geotechnical engineering structures. Soil Tillage Res. 2020, 204, 104713. [Google Scholar] [CrossRef]
- Hussain, R.; Ghosh, K.K.; Garg, A.; Ravi, K. Effect of Biochar Produced from Mesquite on the Compaction Characteristics and Shear Strength of a Clayey Sand. Geotech. Geol. Eng. 2020, 39, 1117–1131. [Google Scholar] [CrossRef]
- Hussain, R.; Bordoloi, S.; Gupta, P.; Garg, A.; Ravi, K.; Sreedeep, S.; Sahoo, L. Effect of biochar type on infiltration, water retention and desiccation crack potential of a silty sand. Biochar 2020, 2, 465–478. [Google Scholar] [CrossRef]
- Hussain, R.; Ghosh, K.K.; Ravi, K. Impact of biochar produced from hardwood of mesquite on the hydraulic and physical properties of compacted soils for potential application in engineered structures. Geoderma 2021, 385, 114836. [Google Scholar] [CrossRef]
- Atkinson, C.J. How good is the evidence that soil-applied biochar improves water-holding capacity? Soil Use Manag. 2018, 34, 177–186. [Google Scholar] [CrossRef]
- Hamidreza, S.S.; Hossein, G.; Habibollah, Y.; Hossein, K. Ameliorating some quality properties of an erosion-prone soil using biochar produced from dairy wastewater sludge. Catena 2018, 171, 193–198. [Google Scholar]
- Barvenik, F.W. Polyacrylamide characteristics related to soil applications. Soil Sci. 1994, 158, 235. [Google Scholar] [CrossRef]
- Abu-Hamdeh, N.H.; Ismail, S.M.; Al-Solaimani, S.G.; Hatamleh, R.I. Effect of tillage systems and polyacrylamide on soil physical properties and wheat grain yield in arid regions differing in fine soil particles. Arch. Agron. Soil Sci. 2018, 65, 182–196. [Google Scholar] [CrossRef]
- Wei, K.; Zhang, J.H.; Wang, Q.J.; Chen, Y.; Ding, Q. Effects of ionized brackish water and polyacrylamide application on infiltration characteristics and improving water retention and reducing soil salinity. Can. J. Soil Sci. 2021, 101, 324–334. [Google Scholar] [CrossRef]
- Albalasmeh, A.A.; Hamdan, E.H.; Gharaibeh, M.A.; Hanandeh, A.E. Improving aggregate stability and hydraulic properties of Sandy loam soil by applying polyacrylamide polymer. Soil Tillage Res. 2021, 206, 104821. [Google Scholar] [CrossRef]
- Laird, D.A. Bonding between polyacrylamide and clay mineral surfaces. Soil Sci. 1997, 162, 826–832. [Google Scholar] [CrossRef]
- Syed, M.; GuhaRay, A.; Goel, D. Strength characterisation of fiber reinforced expansive subgrade soil stabilized with alkali activated binder. Road Mater Pavement Des. 2022, 23, 1037–1060. [Google Scholar] [CrossRef]
- Soleimani-Fard, H.; König, D.; Goudarzy, M. Plane strain shear strength of unsaturated fiber-reinforced fine-grained soils. Acta Geotech. 2022, 17, 105–118. [Google Scholar] [CrossRef]
- Sadeghi, S.H.R.; Kiani-Harchegani, M.; Hazbavi, Z.; Sadeghi, P.S.; Angulo-Jaramillo, R.; Lassabatere, L.; Younesi, H. Field measurement of effects of individual and combined application of biochar and polyacrylamide on erosion variables in Loess and Marl soils. Sci. Total Environ. 2020, 728, 138866. [Google Scholar] [CrossRef]
- Sadeghi, S.H.; Hazbavi, Z.; Kiani-Harchegani, M.; Younesi, H.; Sadeghi, P.; Angulo-Jaramillo, R.; Lassabatere, L. The hydrologic behavior of loess and marl soils in response to biochar and polyacrylamide mulching under laboratorial rainfall simulation conditions. J. Hydrol. 2021, 592, 125620. [Google Scholar] [CrossRef]
- Gowthaman, S.; Nakashima, K.; Kawasaki, S. A State-of-the-Art Review on Soil Reinforcement Technology Using Natural Plant Fiber Materials: Past Findings, Present Trends and Future Directions. Materials 2018, 11, 553. [Google Scholar] [CrossRef]
- Nelson, D.; Sommers, L.E. Total carbon, organic carbon, and organic matter. In Methods of Soil Analysis: Part 2 Chemical Methods; John Wiley & Sons, Inc.: Hoboken, NJ, USA, 1982; pp. 539–579. [Google Scholar]
- Won, C.H.; Choi, Y.H.; Shin, M.H.; Lim, K.J.; Choi, J.D. Effects of rice straw mats on runoff and sediment discharge in a laboratory rainfall simulation. Geoderma 2012, 189–190, 164–169. [Google Scholar] [CrossRef]
- Han, D.; Deng, J.; Gu, C.; Mu, X.; Gao, P.; Gao, J. Effect of shrub-grass vegetation coverage and slope gradient on runoff and sediment yield under simulated rainfall. Int. J. Sediment Res. 2021, 36, 34–42. [Google Scholar] [CrossRef]
- Yang, S.; Gao, Z.L.; Li, Y.H.; Niu, Y.B.; Wang, K. Erosion control of hedgerows under soils affected by disturbed soil accumulation in the slopes of loess plateau, China. Catena 2019, 181, 104079. [Google Scholar] [CrossRef]
- Alghamdi, A.G.; Aljohani, B.H.; Aly, A.A. Impacts of Olive Waste-Derived Biochar on Hydro-Physical Properties of Sandy Soil. Sustainability 2021, 13, 5493. [Google Scholar] [CrossRef]
- Moslemi, A.; Tabarsa, A.; Mousavi, S.Y.; Aryaie Monfared, M.H. Laboratory investigation of hydraulic conductivity of lignocellulosic fiber-reinforced soil. Arab. J. Geosci. 2022, 15, 1380. [Google Scholar] [CrossRef]
- Dong, Y.; Guo, S.H.; Zhan, Y.L. Polyacrylamide effects on soil amendments. Polym. Bull. 2004, 5, 83–87. [Google Scholar]
- Lentz, R.D.; Sojka, R.E. Field results using polyacrylamide to manage furrow erosion and infiltration. Soil Sci. 1994, 158, 274–282. [Google Scholar] [CrossRef]
- Chang, Z.L.; Pei, X.G.; Wu, M.G.; Yang, Q.W. Experimental study on compressive strength and permeability of soil solidified with coconut-fiber and double polyethylene material. J. Eng. Geol. 2017, 25, 912–919. (In Chinese) [Google Scholar]
- Yu, J.; Yang, C.; Liu, C.; Song, X.; Hu, S.; Li, F.; Tang, C. Slope runoff study in situ using rainfall simulator in mountainous area of North China. J. Geogr. Sci. 2009, 19, 461–470. [Google Scholar] [CrossRef]
- Shi, P.; Li, P.; Li, Z.; Sun, J.; Wang, D.; Min, Z. Effects of grass vegetation coverage and position on runoff and sediment yields on the slope of loess plateau, China. Agric. Water Manag. 2022, 259, 107231. [Google Scholar] [CrossRef]
- Mu, W.; Yu, F.; Li, C.; Xie, Y.; Tian, J.; Liu, J.; Zhao, N. Effects of Rainfall Intensity and Slope Gradient on Runoff and Soil Moisture Content on Different Growing Stages of Spring Maize. Water 2015, 7, 2990–3008. [Google Scholar] [CrossRef]
- Ziadat, F.M.; Taimeh, A.Y. Effect of rainfall intensity, slope, land use and antecedent soil moisture on soil erosion in an arid environment. Land Degrad. Dev. 2013, 24, 582–590. [Google Scholar] [CrossRef]
- Chen, Q.C.; Lei, T.W.; Li, R.P. The impacts of pam on runoff/infiltration and water erosion from slope lands. J. Hydraul. Eng. 2006, 11, 1290–1296. [Google Scholar]
- Kim, Y.-S.; Kim, J.-H.; Bhang, I.-H.; Seo, S.-G. A Study on Rainfall-induced Erosion of Land Surface on Reinforced Slope Using Soil Improvement Material. J. Korean Geotech. Soc. 2013, 29, 49–59. [Google Scholar] [CrossRef]
- Ndjock, B.I.D.L.; Baenla, J.; Yanne, E.; Mbah, J.B.B.; Souabou; Elimbi, A. Effects of Al and Fe powders on the formation of foamed cement obtained by phosphoric acid activation of volcanic ash. Mater. Lett. 2022, 308, 131147. [Google Scholar] [CrossRef]
- Li, Y.; Zhang, F.; Yang, M.; Zhang, J.; Xie, Y. Impacts of biochar application rates and particle sizes on runoff and soil loss in small cultivated loess plots under simulated rainfall. Sci. Total Environ. 2019, 1403–1413. [Google Scholar] [CrossRef] [PubMed]
- Liu, H.Q.; Yang, J.H.; Diao, Y.F.; Lei, T.W.; Rahma, A.E. The hydrodynamic mechanism of rainfall runoff from loess slope incorporated with straw. Land Degrad. Dev. 2021, 32, 3812–3822. [Google Scholar] [CrossRef]
- Jiang, F.; Zhan, Z.; Chen, J.; Lin, J.; Wang, M.K.; Ge, H.; Huang, Y. Rill erosion processes on a steep colluvial deposit slope under heavy rainfall in flume experiments with artificial rain. Catena 2018, 169, 46–58. [Google Scholar] [CrossRef]




| Substrate | Planting Soil | Cement | Organic Materials | Amendment of Habitat Material | Organic Fertilizer |
|---|---|---|---|---|---|
| foundation course | 100 | 6 | 5 | 3 | 2 |
| surface course | 100 | 3 | 5 | 1.5 | 2 |
| Slope | Slope Gradient (°) | Rainfall Intensity (mm·h−1) | |||
|---|---|---|---|---|---|
| 60 | 120 | ||||
| CK | 50 | y = 5.882x + 4.770 | R2 = 0.995 | y = 5.771x + 11.002 | R2 = 0.995 |
| 60 | y = 7.852x + 6.161 | R2 = 0.991 | y = 6.773x + 0.836 | R2 = 0.998 | |
| P | 50 | y = 0.229x + 0.622 | R2 = 0.956 | y = 0.703x + 3.788 | R2 = 0.950 |
| 60 | y = 0.451x + 0.456 | R2 = 0.989 | y = 1.941x + 3.757 | R2 = 0.996 | |
| C | 50 | y = 7.550x + 18.170 | R2 = 0.976 | y = 8.197x + 17.493 | R2 = 0.997 |
| 60 | y = 7.136x + 4.616 | R2 = 0.998 | y = 8.481x + 20.580 | R2 = 0.993 | |
| F | 50 | y = 2.090x + 4.681 | R2 0.963 | y = 2.624x + 4.759 | R2 = 0.996 |
| 60 | y = 3.059x + 6.738 | R2 0.975 | y = 2.069x + 6.422 | R2 = 0.997 | |
| Runoff Intensity (mm·h−1) | Slope Gradient (°) | Total Runoff (L) | Runoff Reduction Benefit (%) | |||||
|---|---|---|---|---|---|---|---|---|
| RTCK | RTP | RTC | RTF | CRP | CRC | CRF | ||
| 60 | 50 | 9.15 ± 0.12 b | 14.17 ± 0.21 a | 13.99 ± 0.18 a | 14.34 ± 0.25 a | −54.81% | −52.90% | −56.89% |
| 60 | 9.44 ± 0.14 b | 16.03 ± 0.36 a | 15.94 ± 0.28 a | 15.45 ± 0.26 a | −69.84% | −68.82% | −63.70% | |
| 120 | 50 | 19.96 ± 0.28 c | 20.81 ± 0.33 b | 22.81 ± 0.34 a | 21.32 ± 0.31 ab | −4.28% | −14.28% | −6.80% |
| 60 | 22.26 ± 0.35 b | 22.70 ± 0.37 b | 26.55 ± 0.48 a | 26.34 ± 0.43 a | −1.97% | −19.28% | −18.34% | |
| Average | 15.20 | 18.43 | 19.82 | 19.36 | −32.72% | −38.82% | −36.43% | |
| Runoff Intensity (mm·h−1) | Slope Gradient (°) | Total Sediment (g) | Sediment Reduction Benefit (%) | |||||
|---|---|---|---|---|---|---|---|---|
| ETCK | ETP | ETC | ETF | CEP | CEC | CEF | ||
| 60 | 50 | 59.32 ± 0.79 b | 3.52 ± 0.18 d | 116.75 ± 1.57 a | 32.02 ± 0.51 c | 94.07% | −96.81% | 46.02% |
| 60 | 78.79 ± 0.84 b | 7.99 ± 0.22 d | 118.46 ± 1.68 a | 50.27 ± 0.60 c | 89.86% | −50.35% | 36.20% | |
| 120 | 50 | 122.95 ± 1.63 b | 17.18 ± 0.31 d | 200.82 ± 2.55 a | 54.82 ± 0.69 c | 86.03% | −63.33% | 55.41% |
| 60 | 151.43 ± 1.81 b | 46.62 ± 0.56 d | 236.79 ± 3.08 a | 59.86 ± 0.73 c | 69.21% | −56.37% | 60.47% | |
| Average | 103.12 | 18.83 | 168.21 | 49.24 | 84.79% | −66.72% | 49.53% | |
Disclaimer/Publisher’s Note: The statements, opinions and data contained in all publications are solely those of the individual author(s) and contributor(s) and not of MDPI and/or the editor(s). MDPI and/or the editor(s) disclaim responsibility for any injury to people or property resulting from any ideas, methods, instructions or products referred to in the content. |
© 2023 by the authors. Licensee MDPI, Basel, Switzerland. This article is an open access article distributed under the terms and conditions of the Creative Commons Attribution (CC BY) license (https://creativecommons.org/licenses/by/4.0/).
Share and Cite
Xia, L.; Zhao, B.; Luo, T.; Xu, Y.; Guo, S.; Xu, W.; Xia, D. Effects of Polyacrylamide, Biochar, and Palm Fiber on Soil Erosion at the Early Stage of Vegetation Concrete Slope Construction. Sustainability 2023, 15, 5744. https://doi.org/10.3390/su15075744
Xia L, Zhao B, Luo T, Xu Y, Guo S, Xu W, Xia D. Effects of Polyacrylamide, Biochar, and Palm Fiber on Soil Erosion at the Early Stage of Vegetation Concrete Slope Construction. Sustainability. 2023; 15(7):5744. https://doi.org/10.3390/su15075744
Chicago/Turabian StyleXia, Lu, Bingqin Zhao, Ting Luo, Yakun Xu, Shiwei Guo, Wennian Xu, and Dong Xia. 2023. "Effects of Polyacrylamide, Biochar, and Palm Fiber on Soil Erosion at the Early Stage of Vegetation Concrete Slope Construction" Sustainability 15, no. 7: 5744. https://doi.org/10.3390/su15075744
APA StyleXia, L., Zhao, B., Luo, T., Xu, Y., Guo, S., Xu, W., & Xia, D. (2023). Effects of Polyacrylamide, Biochar, and Palm Fiber on Soil Erosion at the Early Stage of Vegetation Concrete Slope Construction. Sustainability, 15(7), 5744. https://doi.org/10.3390/su15075744

