The Prominent Roles of Undergraduate Mentors in an Online Near-Peer Mentoring Model
Abstract
1. Introduction
2. Review of Literature
2.1. Near-Peer Mentoring
2.2. Mentoring Relationships: Social and Cognitive Compatibility
2.3. Online Mentoring Programs
2.4. Theoretical Framework
3. Research Questions
4. Materials and Methods
4.1. Online STEM Program Structure and Course Design
4.2. Participants of the Study
4.3. Programs’ Educational Tools
4.4. Data Collection and Analysis
5. Results and Discussions
6. Conclusions
Author Contributions
Funding
Institutional Review Board Statement
Informed Consent Statement
Data Availability Statement
Acknowledgments
Conflicts of Interest
Appendix A
| What did you like the most? | |
| What did you like the least? | |
| Any suggestions? |
| Components of Attitudes | Feedback | Comments |
|---|---|---|
| Cognitive aspect | About the task (How well do students understand the task) | |
| Affective and Psychomotor aspect | About processing the task (How well did the students complete the task) | |
| About presenting the tasks/projects (How well did the students present the task) | ||
| Collaboration How well they performed as a team) | ||
| Engagement (How well do each student involve in the course) | ||
| Any other comments |
References
- DeCoito, I.; Estaiteyeh, M. Transitioning to Online Teaching During the COVID-19 Pandemic: An Exploration of STEM Teachers’ Views, Successes, and Challenges. J. Sci. Educ. Technol. 2022, 31, 340–356. [Google Scholar] [CrossRef] [PubMed]
- Suri, C.S. Challenges to online education: A review. J. Contemp. Issues Bus. Gov. 2021, 27, 2437–2441. Available online: https://www.cibgp.com/article_8502_4fb8a3aa2c023d7d835804f4ad7b08b2.pdf (accessed on 31 December 2022).
- Muhammad, N.; Srinivasan, S. Online Education During a Pandemic—Adaptation and Impact on Student Learning. Int. J. Eng. Pedagog. (IJEP) 2021, 11, 71–83. [Google Scholar] [CrossRef]
- Clark, R.E. Reconsidering Research on Learning from Media. Rev. Educ. Res. 1983, 53, 445–459. [Google Scholar] [CrossRef]
- Özen, E.; Karaca, N. Investigating learner motivation in online education in terms of self-efficacy and self-regulation. J. Educ. Technol. Online Learn. 2021, 4, 745–758. [Google Scholar] [CrossRef]
- Pluth, M.D.; Boettcher, S.W.; Nazin, G.V.; Greenaway, A.L.; Hartle, M.D. Collaboration and Near-Peer Mentoring as a Platform for Sustainable Science Education Outreach. J. Chem. Educ. 2015, 92, 625–630. [Google Scholar] [CrossRef]
- Sharpe, R.; Abrahams, I.; Fotou, N. Does paired mentoring work? A study of the effectiveness and affective value of academically asymmetrical peer mentoring in supporting disadvantaged students in school science. Res. Sci. Technol. Educ. 2018, 36, 205–225. [Google Scholar] [CrossRef]
- Stoeger, H.; Duan, X.; Schirner, S.; Greindl, T.; Ziegler, A. The effectiveness of a one-year online mentoring program for girls in STEM. Comput. Educ. 2013, 69, 408–418. [Google Scholar] [CrossRef]
- Thiry, H.; Laursen, S.L. The Role of Student-Advisor Interactions in Apprenticing Undergraduate Researchers into a Scientific Community of Practice. J. Sci. Educ. Technol. 2011, 20, 771–784. [Google Scholar] [CrossRef]
- Parker, P.; Hall, D.T.; Kram, K.E. Peer Coaching: A Relational Process for Accelerating Career Learning. Acad. Manag. Learn. Educ. 2008, 7, 487–503. [Google Scholar] [CrossRef]
- Jett, M.; Anderson, M.; Yourick, D.L. Near peer mentoring: A step-wise means of engaging young students in science. Fed. Am. Soc. Exp. Biol. J. 2005, 19, A1396. [Google Scholar]
- Dolan, E.; Johnson, D. Toward a Holistic View of Undergraduate Research Experiences: An Exploratory Study of Impact on Graduate/Postdoctoral Mentors. J. Sci. Educ. Technol. 2009, 18, 487–500. [Google Scholar] [CrossRef]
- Landrum, R.E.; Nelsen, L.R. The Undergraduate Research Assistantship: An Analysis of the Benefits. Teach. Psychol. 2002, 29, 15–19. [Google Scholar] [CrossRef]
- Garcia-Melgar, A.; Meyers, N. STEM Near Peer Mentoring for Secondary School Students: A Case Study of University Mentors’ Experiences with Online Mentoring. J. STEM Educ. Res. 2020, 3, 19–42. [Google Scholar] [CrossRef]
- Cate, O.T.; Durning, S. Dimensions and psychology of peer teaching in medical education. Med. Teach. 2007, 29, 546–552. [Google Scholar] [CrossRef]
- Goldner, L.; Mayseless, O. The Quality of Mentoring Relationships and Mentoring Success. J. Youth Adolesc. 2009, 38, 1339–1350. [Google Scholar] [CrossRef]
- DuBois, D.L.; Neville, H.A. Youth mentoring: Investigation of relationship characteristics and perceived ben-efits. J. Community Psychol. 1997, 25, 227–234. [Google Scholar] [CrossRef]
- Rhodes, J.; Reddy, R.; Roffman, J.; Grossman, J.B. Promoting Successful Youth Mentoring Relationships: A Preliminary Screening Questionnaire. J. Prim. Prev. 2005, 26, 147–167. [Google Scholar] [CrossRef]
- DuBois, D.; Holloway, B.E.; Valentine, J.; Cooper, H. Effectiveness of Mentoring Programs for Youth: A Meta-Analytic Review. Am. J. Community Psychol. 2002, 30, 157–197. [Google Scholar] [CrossRef]
- Ward, E.G.; Thomas, E.E.; Disch, W.B. Mentor Service Themes Emergent in a Holistic, Undergraduate Peer-Mentoring Experience. J. Coll. Stud. Dev. 2014, 55, 563–579. [Google Scholar] [CrossRef]
- Dioso-Henson, L. The Effect of Reciprocal Peer Tutoring and Non-Reciprocal Peer Tutoring on the Performance of Students in College Physics. Res. Educ. 2012, 87, 34–49. [Google Scholar] [CrossRef]
- Lockspeiser, T.M.; O’Sullivan, P.; Teherani, A.; Muller, J. Understanding the experience of being taught by peers: The value of social and cognitive congruence. Adv. Health Sci. Educ. 2008, 13, 361–372. [Google Scholar] [CrossRef] [PubMed]
- Cate, O.T.; Van De Vorst, I.; Broek, S.V.D. Academic achievement of students tutored by near-peers. Int. J. Med. Educ. 2012, 3, 6–13. [Google Scholar] [CrossRef]
- Rhodes, J.E.; Spencer, R.; Keller, T.E.; Liang, B.; Noam, G. A model for the influence of mentoring relationships on youth development. J. Community Psychol. 2006, 34, 691–707. [Google Scholar] [CrossRef]
- Schwartzman, R. Reviving a digital dinosaur: Text-only synchronous online chats and peer tutoring in commu-nication centers. Coll. Stud. J. 2013, 47, 653–667. Available online: https://www.ingentaconnect.com/content/prin/csj/2013/00000047/00000004/art00011 (accessed on 31 December 2022).
- Scogin, S.C. Identifying the Factors Leading to Success: How an Innovative Science Curriculum Cultivates Student Motivation. J. Sci. Educ. Technol. 2016, 25, 375–393. [Google Scholar] [CrossRef]
- Ensher, E.A.; Heun, C.; Blanchard, A. Online mentoring and computer-mediated communication: New directions in research. J. Vocat. Behav. 2003, 63, 264–288. [Google Scholar] [CrossRef]
- Gregg, N.; Wolfe, G.; Jones, S.; Todd, R.; Moon, N.; Langston, C. STEM E-Mentoring and Community College Students with Disabilities. J. Postsecond. Educ. Disabil. 2016, 29, 47–63. Available online: https://eric.ed.gov/?id=EJ1107474 (accessed on 31 December 2022).
- Beaumont, T.J.; Mannion, A.P.; Shen, B.O. From the Campus to the Cloud: The Online Peer Assisted Learning Scheme. J. Peer Learn. 2012, 5, 20–31. [Google Scholar]
- Hizer, S.E.; Schultz, P.W.; Bray, R. Supplemental Instruction Online: As Effective as the Traditional Face-to-Face Model? J. Sci. Educ. Technol. 2017, 26, 100–115. [Google Scholar] [CrossRef]
- Deci, E.L.; Ryan, R.M. An Introduction. In Intrinsic Motivation and Self-Determination in Human Behavior. Perspectives in Social Psychology; Springer: Boston, MA, USA, 1985; pp. 3–10. [Google Scholar] [CrossRef]
- Chiu, T.K.F. Applying the self-determination theory (SDT) to explain student engagement in online learning during the COVID-19 pandemic. J. Res. Technol. Educ. 2022, 54, S14–S30. [Google Scholar] [CrossRef]
- Deci, E.L.; Vallerand, R.J.; Pelletier, L.G.; Ryan, R.M. Motivation and Education: The Self-Determination Perspective. Educ. Psychol. 1991, 26, 325–346. [Google Scholar] [CrossRef]
- Ryan, R.M.; Deci, E.L. Intrinsic and extrinsic motivation from a self-determination theory perspective: Definitions, theory, practices, and future directions. Contemp. Educ. Psychol. 2020, 61, 101860. [Google Scholar] [CrossRef]
- Knowles, E.; Kerkman, D. An investigation of students’ attitude and motivation toward online learning. InSight A Collect. Fac. Scholarsh. 2007, 2, 70–80. [Google Scholar] [CrossRef]
- Zaniewski, A.M.; Reinholz, D. Increasing STEM success: A near-peer mentoring program in the physical sciences. Int. J. STEM Educ. 2016, 3, 1–12. [Google Scholar] [CrossRef]
- Leidenfrost, B.; Strassnig, B.; Schabmann, A.; Spiel, C.; Carbon, C.-C. Peer Mentoring Styles and Their Contribution to Academic Success Among Mentees: A Person-Oriented Study in Higher Education. Mentor. Tutoring Partnersh. Learn. 2011, 19, 347–364. [Google Scholar] [CrossRef]
- Abouhashem, A.; Abdou, R.; Bhadra, J.; Siby, N.; Ahmad, Z.; Al-Thani, N. COVID-19 Inspired a STEM-Based Virtual Learning Model for Middle Schools—A Case Study of Qatar. Sustainability 2021, 13, 2799. [Google Scholar] [CrossRef]
- Abouhashem, A.; Abdou, R.M.; Bhadra, J.; Santhosh, M.; Ahmad, Z.; Al-Thani, N.J. A Distinctive Method of Online Interactive Learning in STEM Education. Sustainability 2021, 13, 13909. [Google Scholar] [CrossRef]
- Sadler, P.M.; Sonnert, G.; Hazari, Z.; Tai, R. Stability and volatility of STEM career interest in high school: A gender study. Sci. Educ. 2012, 96, 411–427. [Google Scholar] [CrossRef]
- hslund, I.; Boström, L. Teachers’ Perceptions of Gender Differences: What about Boys and Girls in the Classroom? Int. J. Learn. Teach. Educ. Res. 2018, 17, 28–44. Available online: https://www.diva-portal.org/smash/record.jsf?pid=diva2%3A1203613&dswid=-3511 (accessed on 31 December 2022). [CrossRef]
- Kalra, R.K.; Manani, P. Effect of social networking sites on academic achievement among introverts and ex-troverts. Asian J. Soc. Sci. Humanit. 2013, 2, 401–406. Available online: https://www.ajssh.leena-luna.co.jp/AJSSHPDFs/Vol.2(3)/AJSSH2013(2.3-43).pdf (accessed on 31 December 2022).
- Keban, Y.B.; Arifin, S.; Wahyono, R. SWOT Analysis and Its Implementation Strategies in Educational Man-agement. J. Educ. Pract. 2019, 10, 86–92. [Google Scholar]
- Tenenbaum, L.S.; Anderson, M.K.; Jett, M.; Yourick, D.L. An Innovative Near-Peer Mentoring Model for Undergraduate and Secondary Students: STEM Focus. Innov. High. Educ. 2014, 39, 375–385. [Google Scholar] [CrossRef]
- Alkhair, S.; Ali, R.A.A.; Elhawary, E.F.M.; Al-Ejji, M.M.M.A.; Ahmad, Z.; Al-Thani, N.J.; Bhadra, J.S. Cultivating STEM interest in high school students through computer-assisted COVID-19 pandemic awareness course. Educ. Innov. Emerg. Technol. 2022, 2, 28–38. [Google Scholar] [CrossRef]
- Hattie, J.; Timperley, H. The power of feedback. Rev. Educ. Res. 2007, 77, 81–112. [Google Scholar] [CrossRef]





| The Peculiarity of the E-STEM Program, Incorporating the UG Near-Peer Mentoring Approach |
|
|
|
|
|
|
|
|
| Academic Level | Male Participants | Male Groups | Female Participants | Female Groups | Total Participants | |
|---|---|---|---|---|---|---|
| Mentee | High school | 6 | 3 | 12 | 4 | 18 |
| Mentee | Middle school | 14 | 7 | 24 | 8 | 38 |
| Secondary Mentor | UG students | 5 | - | 11 | - | 16 |
| Color-Coded Categories | Example of Keywords/Messages | |
|---|---|---|
| 1. | The rapport between the UG mentors and students | ‘I liked this about the session, I didn’t like it, I recommend this. We will revise the session.” |
| 2. | UG mentors encouraging the students | “Come on, you can do it, we will win, Are you ready? I know you can, we can” |
| 3. | UG mentors appreciating the students | “Well done, good job, great, proud of you, I appreciate, keep going, wow, excellent” |
| 4. | UG mentors supporting the students (Technically and academically) | “Force, COVID-19, video, MS TEAMS, log-in, PPT, YouTube, virus, Newton’s law” |
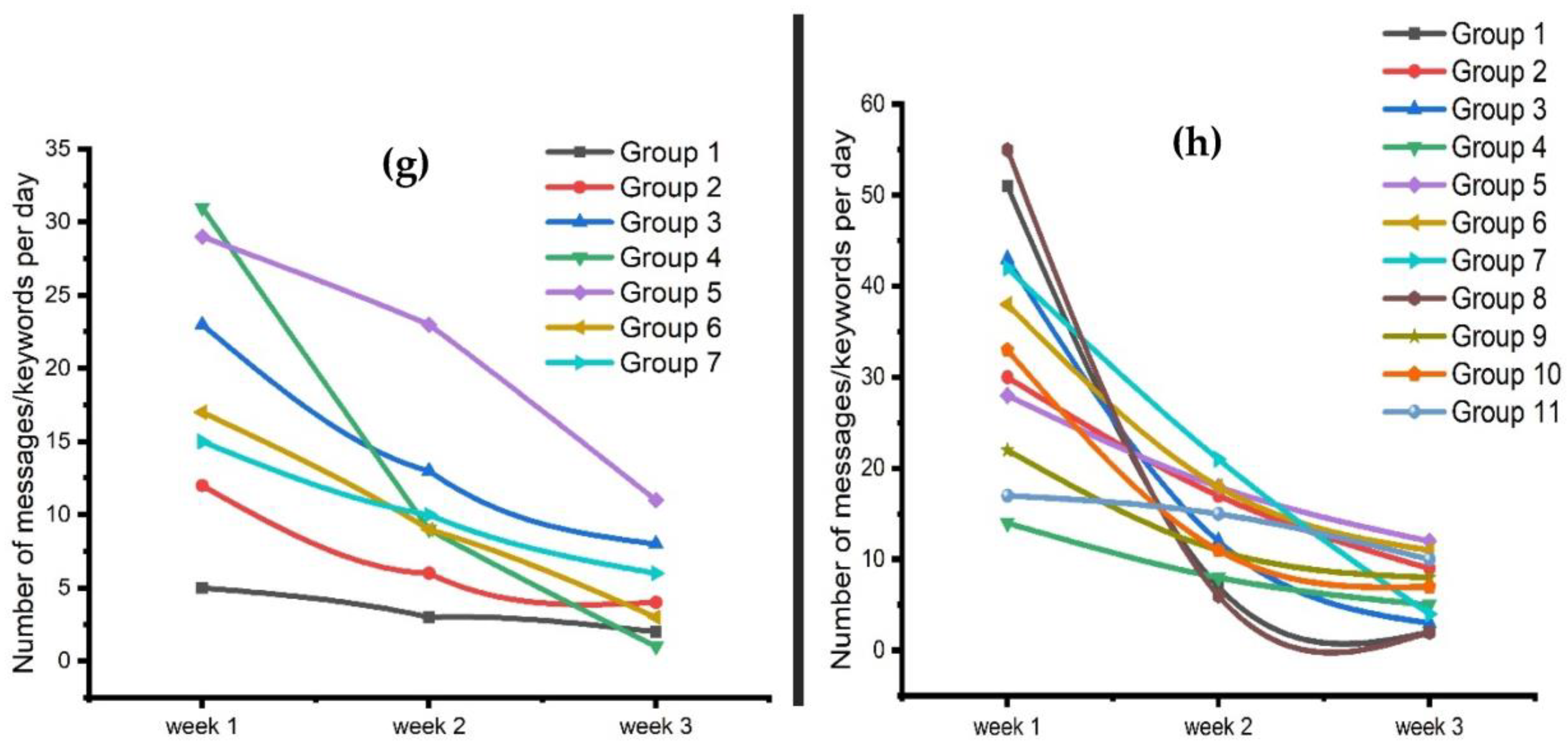
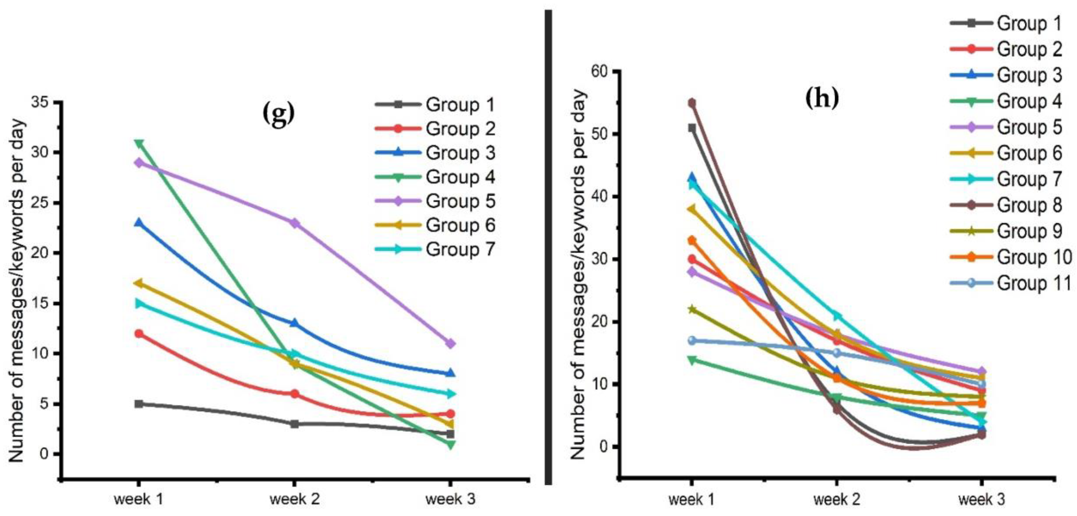
| 4 (a) Relationship between the UG Mentors and Middle School Mentees | ||||||||
|---|---|---|---|---|---|---|---|---|
| Week | Rapport between the Mentors-Mentees | Encouragement by the Mentor | Appreciation by the Mentor | Support from the Mentor | ||||
| Mean | S.D. | Mean | S.D. | Mean | S.D. | Mean | S.D. | |
| Week 1 | 41.27 | 12.37 | 41.45 | 12.97 | 38.09 | 14.30 | 33.91 | 12.71 |
| Week 2 | 20.82 | 10.24 | 19.64 | 4.23 | 18.09 | 9.43 | 13.09 | 4.79 |
| Week 3 | 8.64 | 6.00 | 8.62 | 3.94 | 9.55 | 5.60 | 6.64 | 3.17 |
| 4 (b) Relationship between the UG Mentors and High School Mentees | ||||||||
| Week | Rapport between the Mentors-Mentees | Encouragement by the Mentor | Appreciation by the Mentor | Support from the Mentor | ||||
| Mean | S.D. | Mean | S.D. | Mean | S.D. | Mean | S.D. | |
| Week 1 | 19.71 | 5.06 | 20.00 | 6.97 | 21.42 | 7.16 | 18.86 | 8.65 |
| Week 2 | 10.29 | 1.75 | 12.57 | 3.49 | 13.28 | 5.92 | 10.42 | 5.90 |
| Week 3 | 4.00 | 1.25 | 4.71 | 2.11 | 4.00 | 2.00 | 5.00 | 2.21 |
| Strength |
|
| Weakness |
|
| Opportunities |
|
| Threats |
|
Disclaimer/Publisher’s Note: The statements, opinions and data contained in all publications are solely those of the individual author(s) and contributor(s) and not of MDPI and/or the editor(s). MDPI and/or the editor(s) disclaim responsibility for any injury to people or property resulting from any ideas, methods, instructions or products referred to in the content. |
© 2023 by the authors. Licensee MDPI, Basel, Switzerland. This article is an open access article distributed under the terms and conditions of the Creative Commons Attribution (CC BY) license (https://creativecommons.org/licenses/by/4.0/).
Share and Cite
Al-Thani, N.J.; Santhosh, M.E.; Bhadra, J.; Ahmad, Z. The Prominent Roles of Undergraduate Mentors in an Online Near-Peer Mentoring Model. Sustainability 2023, 15, 3020. https://doi.org/10.3390/su15043020
Al-Thani NJ, Santhosh ME, Bhadra J, Ahmad Z. The Prominent Roles of Undergraduate Mentors in an Online Near-Peer Mentoring Model. Sustainability. 2023; 15(4):3020. https://doi.org/10.3390/su15043020
Chicago/Turabian StyleAl-Thani, Noora Jabor, Malavika E. Santhosh, Jolly Bhadra, and Zubair Ahmad. 2023. "The Prominent Roles of Undergraduate Mentors in an Online Near-Peer Mentoring Model" Sustainability 15, no. 4: 3020. https://doi.org/10.3390/su15043020
APA StyleAl-Thani, N. J., Santhosh, M. E., Bhadra, J., & Ahmad, Z. (2023). The Prominent Roles of Undergraduate Mentors in an Online Near-Peer Mentoring Model. Sustainability, 15(4), 3020. https://doi.org/10.3390/su15043020

