Next Article in Journal
Augmented Reality and Tourism: A Bibliometric Analysis of New Technological Bets in the Post-COVID Era
Previous Article in Journal
The Impact of a Sustainable Progressive STEAM Program on Primary School Students’ Critical Thinking Dispositions and Mathematics Achievements
 
 
Font Type:
Arial Georgia Verdana
Font Size:
Aa Aa Aa
Line Spacing:
Column Width:
Background:
Article

A Climatological Survey of Corsica for Power System Analyses

by
Claudio Francesco Nicolosi
1,
Giuseppe Marco Tina
1,
Ghjuvan Antone Faggianelli
2 and
Gilles Notton
2,*
1
Department of Electrical, Electronic and Computer Engineering (DIEEI), University of Catania, Viale Andrea Doria n.6, 95125 Catania, Italy
2
Science for Environment Laboratory, University of Corsica, UMR CNRS 6134, 20000 Ajaccio, France
*
Author to whom correspondence should be addressed.
Sustainability 2023, 15(21), 15357; https://doi.org/10.3390/su152115357
Submission received: 3 October 2023 / Revised: 24 October 2023 / Accepted: 25 October 2023 / Published: 27 October 2023
(This article belongs to the Section Energy Sustainability)

Abstract

:
Climate and climate change can impact present and future energy production and demand. In light of this issue, this paper conducts climatological analyses focused on the following meteorological quantities: shortwave downward irradiance (SDI), precipitation (Pr), relative humidity (RH), air temperature ( T a ), 10 m wind speed ( v 10 ), and diurnal temperature range (DTR) for four locations in Corsica. The climate analyses of these atmospheric variables consist of three parts: (1) analysis of the historical trends; (2) correlation analysis; and (3) analysis of climate projections for the decades to come. It is observed that climate change is causing alterations in the trends of Pr, RH, T a , v 10 , and DTR. The correlation analysis reveals a positive correlation for the T a -SDI and v 10 -Pr pairs (both annually and seasonally), and a negative correlation for T a -RH (annually and in summer). For the other variable pairs, the sign of the correlations varies depending on the time period and site considered. The trends in the projections from the multi-model ensemble simulations are consistent or inconsistent with each other depending on the time period (annual or seasonal) considered. The observed historical trends suggest that medium-term planning of the Corsican electric power system should already consider ongoing climate change. The correlation analysis provides insights into the combined effect of different atmospheric variables on electrical power systems (EPSs). Climate projections suggest studying long-term planning that is a compromise among the different (but equally likely) outputs of different climate models.

1. Introduction

1.1. The Climate—Energy Nexus: An Overview

The climate—energy nexus can be summarized as follows: natural climate variability and climate change impact electricity production and demand and in turn electrical power systems (EPSs) have impacted, impact, and will impact today’s and tomorrow’s climate due to the carbon dioxide emissions ( CO 2 ) involved in electricity production.
While energy demand mainly follows air temperature and relative humidity trends [1,2,3], energy production is influenced by many other meteorological variables. Looking at non-programmable renewable energy sources (NP-RES), photovoltaic production depends mainly on incident irradiance, air temperature, and wind speed, while wind production depends mainly on wind speed and air temperature [4]. Hydropower production, a programmable RES (P-RES), depends mainly on the amount of precipitation [5], but also on air temperature and relative humidity [6,7]. Efficiency and production of conventional generation sources, such as thermal power plants, are impacted by water availability, which depends on the quantity (and intensity) of precipitation and on air temperature [4,8].
In addition to the atmospheric variables mentioned above, there is a climatic index that can influence the electricity demand, namely the Diurnal Temperature Range (DTR). The DTR is the difference between the maximum (daytime) and minimum (nighttime) temperatures within a 24 h period. In regions where temperature fluctuations are pronounced, DTR is a crucial climatological parameter that can significantly influence energy demand patterns and so power systems planning. The impact of DTR is especially notable during summer as it is closely linked to the capabilities of natural ventilation in buildings (night cooling potential) leading to fluctuations of cooling energy demand [9]. It has been observed that over the past years, global trends in the DTR have been decreasing [10,11], but depending on the historical period and the specific region considered, increases in annual DTR have also been detected [12]. Finally, in recent years, especially in the European Union, it is worth noting that a strategy for energy management based on Citizen Energy Communities (CECs) has been gaining ground [13]. From the above description of the impacts of atmospheric variables on energy production and demand, it becomes evident that CECs can also be affected by climate and climate change.
The power generation sources mentioned share a dependence on certain atmospheric variables, but each has its own sensitivity to these meteorological variables. The NP-RES are the most sensitive to both climate variability and climate change due to their strong dependence on the randomness of climatic variables. This fact complicates the management of the EPS in terms of the security and adequacy of electricity supply; the problem will intensify in the future because, in order to meet climate environmental goals, the energy transition will rely on an ever-increasing penetration of NP-RES. The directives of the European Union (EU) are an illustration of this energy paradigm [14].
From the above, it is evident that analyses conducted on EPSs can no longer ignore the physical and statistical analyses of atmospheric variables that impact both the management and maintenance of production facilities and the energy demand from users. The work presented here takes steps in this direction, studying the physics and statistical relationships of atmospheric variables of interest for EPS analyses.
The impacts of atmospheric variables on EPSs exhibit spatial and temporal variability [15,16]. This implies that the physical-statistical analysis of atmospheric variables must be conducted for specific locations considering specific time intervals (decades, years, seasons). In Europe, for example, the large-scale weather patterns that impact energy production and demand are the NAO (North Atlantic Oscillation), both positive and negative phases, the Scandinavian Blocking, and the Atlantic Ridge. Each of these atmospheric circulation patterns impacts energy production and demand differently, depending on the season, with nearly opposite effects between Northern and Southern Europe. In winter, a positive NAO would result in higher wind speeds and air temperature than climatic normality in Northern Europe, while Southern Europe would experience a reduction in wind potential [17]. The opposite occurs during the negative phase of the NAO [17]. The Atlantic Ridge would cause wind speeds near climatic normality in Northern Europe and higher-than-normal wind speeds and solar radiation in Southern Europe [17]. The Scandinavian Blocking, on the other hand, leads to a reduction in wind speeds in Northern Europe, and increased sunshine along with lower-than-normal temperatures in continental Europe [17]. Furthermore, the spatial and temporal variability of climate impacts on the European EPSs would also be exacerbated by global warming, with EPSs in Southern Europe being more negatively impacted by climate change compared to those in Northern Europe [18,19].
The work presented here, addressing the issues and considerations mentioned above, aims to provide insights and methodologies useful for studying the impacts of climate on electricity production and demand. Specifically, the following issues are addressed here: (1) understanding how climate change is impacting the trends of meteorological variables relevant to the production and demand for electrical energy; (2) understanding the relationships between these meteorological variables through a correlation analysis; and (3) understanding how the trends of the considered atmospheric variables will evolve in the decades to come. Understanding how and whether the trends of meteorological variables of interest have changed allows for an awareness of how the climate of a region is changing and how planning, management, and maintenance strategies for power systems should be accordingly adapted. Understanding the degree of correlation between the considered variables provides valuable information and insights into the degree of complementarity among electricity generation technologies (renewable and non-renewable). Moreover, it appears that modeling the correlation between meteorological variables can impact the results of technical-economic analyses conducted on power systems [20]. Finally, obtaining projections of the meteorological variables considered, both on an annual and seasonal basis, for the decades to come allows for valuable insights into how the climate in the coming decades may impact the production and demand for electricity.
The analyses outlined above are applied to the case study of Corsica (an island in the Mediterranean Sea) but can be extended to other geographical regions. The choice of Corsica is motivated by several reasons: it is one of the most important islands in the Mediterranean area, insular electric power systems (IEPSs) are like ‘laboratories’ for power system analyses, and the Mediterranean basin will be a hotspot for climate change [21]. To assess the temporal variability of the considered atmospheric quantities, analyses are conducted on an annual and seasonal basis (winter and summer). To assess the spatial variability, four locations in Corsica are selected based on criteria such as installed generation capacity (generation) and the presence of load (demand).
The sections of this paper are divided as follows: the remaining paragraphs of the introduction provide information and insights into the Corsican power system and the state of the art of correlation analysis and climate projections. Section 2 presents the methodologies of the applied analyses. The results are reported in Section 3, followed by comments and final considerations in the discussion section (Section 4) and the conclusions section (Section 5).

1.2. The Importance of Insular Power Systems: The Case Study of Corsica

IEPSs face technical and economic challenges that make them interesting as case studies for thinking and developing innovative management and maintenance strategies. Indeed, IEPSs are characterized by limited or absent connections to mainland grids and often rely on fossil fuels for power generation, making islands dependent on fossil fuel imports (and on the volatility of fuel prices). Furthermore, the sizing of the generation fleet is such that managing the system in terms of voltage and frequency regulation is more challenging compared to mainland EPSs. Energy transition is underway in both mainland EPSs and IEPSs, but the volatility of energy production from NP-RES is more challenging (in terms of technical management) in IEPSs than in mainland EPSs. Adding to this consideration is the fundamental need to ensure a sustainable future for islands through an increased penetration of NP-RES. The increasing share of NP-RES in island generation mixes makes it even more urgent to conduct climate analyses to understand how atmospheric variables can impact IEPSs. Finally, from an economic perspective, energy costs are higher in insular systems compared to mainland EPSs due to a higher percentage of fossil fuel-based facilities, greater network losses, and more challenging maintenance requirements (e.g., difficulties in reaching the islands) [22,23]. The greater technical and economic challenges of IEPSs compared to mainland EPSs drive the need for innovative management and maintenance strategies for IEPSs; in this sense, IEPSs can be seen as ‘laboratories’ for advancing the state of the art in EPS management worldwide.
Taking a closer look into the specifics of energy demand in a generic EPS (both mainland and insular), there is an obvious link between energy consumption (particularly electrical) and meteorology: when the temperature is low in winter the heating need is increased (more or less depending also on the solar energy intakes); similarly, during summer, the cooling needs depend on ambient air temperature and humidity. In Corsica, as the industry sector is low, the electricity consumption has a high thermo-sensitivity linked to the utilization of the electrical heating and cooling, inducing a strong seasonality effect. On the island, winter is the season with the highest energy demand (due to heating), followed by summer, when consumption is driven by tourism and the use of electrical cooling. Spring and autumn are the two seasons when electricity demand is not particularly high [24].
In 2021, the energy demand requested by users was 2074 GWh, the peak electricity demand (monthly energy consumed) reached about 500 MW in winter (270 GWh in January), and 400 MW in summer (210 GWh in August); all of these figures reflect an increase compared to 2019. To show the thermo-sensitivity in Corsica, a forecast error of 1 °C induces an increase of 17 MW in winter and 13 MW in summer [24]. In addition to temperature, the wind speed variation has an influence also on the “perceived” temperature which impacts the heating needs. Humidity influences too this “perceived” temperature. Perhaps more than elsewhere, the production and the consumption of electricity is sensitive to meteorological variation as solar energy, wind speed, temperature, and to a lesser extent humidity. The consumption is consequently more sensitive to meteorological variation than in French mainland [23,24].
It is interesting to emphasize the degree of sensitivity of Corsican production facilities to the changing seasons; indeed, the share of the various energy production means is very different in winter and summer. During summer, the water in the hydraulic dam is not available for electricity production because it is preserved for irrigation and drinking water supply (the population is multiplied by 10 in summer due to touristic activities), while in this time of the year the solar energy is important, thus electricity production is mainly sensible to solar irradiation in summer. In winter, on the other hand, the opposite occurs: hydraulic energy means are more used and solar energy is less present.
Concerning the electricity production, on an annual basis in 2021, 34% of the production came from renewable sources (23% hydraulics, 11% PV, 1% wind and biogas), 39% from fuel power stations and 26% provided by two electrical cables connecting Corsica to Italy and Sardinia. In 2013, the share of the hydraulic production in the electrical energy mix was around 45% mainly due to a good rainfall for only 26% in 2017. The annual variability of the water resource is high: as seen in Figure 1, from 2012 to 2021, the hydraulic production varies annually from 336 GWh (in 2012) to 641 GWh (in 2018), i.e., more than a factor of 2 between lowest and highest hydraulic production [24].
Diving deeper into the topic of solar energy, the photovoltaic energy is increasing very rapidly with a production in 2022 reaching 282 GWh (an increase of 10% compared to 2021), that is about 12% of the total production, with 224 MWp of installed PV plants. The growth of the number of PV installations in the future will continue at a very quick pace [24], and the electricity production will become more and more dependent on the solar irradiation available in the island.
Regarding wind production, the share of the wind generation is relatively low, indeed, in 2021, only 12 GWh was produced, with only 18 MW of wind turbines installed on the territory (some of them are repowered).
Regarding the electricity demand in Corsica, Table 1 presents the values of demand management actions for the 3 years of data reported in EDF’s forecast balance sheet [24].
Looking at the Corsican EPS in the years to come, forecasts are made based on two different prospective scenarios: Azur and Emeraude. Both scenarios project various future Corsican EPS scenarios based on demographics, GDP per capita, electricity management policies, and future energy uses for transportation (electric vehicles). Figure 2 shows the annual average energy (Figure 2a) and hourly peak power (Figure 2b) projected for the forecasted years 2028, 2033, and 2038. Figure 2c,d, on the other hand, depict the projected installed capacity of renewable energy facilities in the two different scenarios [24].
Looking at the literature on climatic studies in Corsica, little has been carried out so far (to the authors’ knowledge). There are reports that describe the climate of Corsica [25], while other authors have specifically analyzed wind and rainfall patterns on the island, as well as the river flow patterns [26,27,28]. Regarding studies on the future evolution of climate, most studies consider the impacts of climate on Corsican vegetation or examine signs of climate change by observing the flora [29,30,31].
From the studies mentioned above, it is evident how little is written about the past, present, and future climate of Corsica, despite it being one of the most important islands in the Mediterranean. Therefore, this study aims to expand the existing bibliography related to the island. On the one hand, this is because Corsica serves as a significant case study from the perspective of IEPSs, and on the other hand, the Mediterranean region is expected to become a hotspot of global warming [32,33]. Consequently, conducting further climatic analyses in this Mediterranean area provides additional insights into how the island’s climate is changing, and this, in turn, helps to understand the actions that can be taken for the Corsican EPS in light of the emerging climate warming. Furthermore, none of the studies mentioned above have analyzed historical trends and climatic projections for all atmospheric variables that impact electricity production and demand. This study, by considering historical data and climatic projections for all atmospheric variables impacting EPSs, stands as one of the most comprehensive for the Corsican case study.
Finally, this study aims to inform and raise awareness within the scientific community about the use of publicly available meteorological data and publicly available climatic projections.
The following section introduces the reader to the basics of correlation analysis.

1.3. Correlation Analysis between Meteorological Variables

Understanding how meteorological variables are related to each other is not only of scientific importance but also of technical significance. In fact, knowing how one atmospheric quantity may be statistically correlated with another allows for refining models that simulate the impact of climate on energy production and demand. Furthermore, understanding the degree of correlation between atmospheric variables provides insights into the complementarity of different energy production technologies. For example, if statistically over the course of a year or a specific season it is found that in a particular region air temperature and wind speed are negatively correlated, then this provides network operators with an additional insight into the degree of complementarity between wind and photovoltaic installations, allowing them to refine studies and assessments of the required energy reserve level to keep the EPS safe and adequate. Finally, when considering climatic projections of atmospheric variables for the years to come, knowledge of the degree of statistical correlation between these variables complements the projections and could support their statistical significance. For example, stating that two atmospheric variables are positively (negatively) correlated means that as one variable raises, the probability of the other variable increasing (decreasing) becomes higher; if an increase in temperatures is predicted, statistical inference can be made about the projections of other meteorological variables that are positively or negatively correlated with temperature. Furthermore, since energy demand and production depend on the trends of more than one atmospheric variable, knowing the degree of correlation between variables allows for inference about the complementarity of production sources and the production-demand balance for both existing and future EPSs.
Based on what is mentioned above, statistical correlation analysis is therefore employed here to quantify the degree of relationship between various pairs of meteorological variables in the context of power systems analyses (the results obtained are also of interest for atmospheric physics).
In the literature, much has been written about the correlation between meteorological variables and economic/social/health phenomena [34,35,36]. However, relatively little has been written about the study of correlation between meteorological variables alone [37,38]. Moreover, within the scope of adequacy analyses of EPSs, it has been observed that modelling correlated meteorological variables can influence the final results of statistical simulations [20]. Therefore, this study aims to enrich the literature on the correlation studies of atmospheric variables. Understanding the statistical correlation between those variables that impact electricity production and demand can pave the way for more refined modeling of climate impacts on EPSs.
The assessment of the degree of correlation between atmospheric variables is performed here using both parametric and non-parametric correlation coefficients, namely the Pearson and Spearman correlation coefficients. Both coefficients take values in the range [–1, 1].
The Pearson correlation (r) coefficient is based on specific assumptions, including the linearity of the relationship between variables and the normality in their distributions. However, this does not imply that the Pearson coefficient should be used only when these assumptions are met: if the relationship between the variables is not linear, the r coefficient will yield a low value, indicating the existence of non-linearity. In general, when dealing with a non-linear relationship between variables, caution should be exercised to avoid drawing incorrect or misleading conclusions when using the r coefficient. Therefore, it would be useful to gain some preliminary insights into the linearity or lack thereof in the relationship between two variables; the use of scatterplots serves this purpose. Regarding the assumption of normality of the marginals, different authors agree that normality is not a necessary condition to make statistically correct inferences about the correlation of variable pairs [39,40,41]. Finally, a value of r equal to 1 indicates a perfect positive linear correlation, while r = 1 indicates a perfect negative linear correlation (anti-correlation).
On the other hand, the Spearman correlation coefficient ( r s ) does not assume the presence of a linear relationship between variables, nor does it require that the distributions follow specific patterns. Such an index is referred to as non-parametric and quantifies the degree of correlation between two variables through a monotonically increasing function. A value of r s = 1 represents a perfect positive monotonic correlation, while r s = 1 states for a perfect negative monotonic correlation.
In conclusion, regardless of the type of statistical correlation coefficient used, there are no specific threshold values for correlation coefficients above or below which one can objectively and universally label the correlation as strong or weak [42].

2. Meteorological and Correlation Analyses for Four Locations in Corsica

The meteorological and correlation analyses conducted here are based on hourly and daily data of the following meteorological variables of interest for energy production and demand (see Section 1.1): precipitation (Pr, mm / h ), relative humidity at 2 m (RH, %), air temperature at 2 m ( T a , °C), wind speed at 10 m ( v 10 , m / s ), all sky surface shortwave downward irradiance (SDI, Wh / m 2 ), and diurnal temperature range (DTR, °C). Out of these variables, 20 years of data spanning from the end of 2001 to the end of 2021 (the available hourly data starts from 2001) are taken from the NASA Langley Research Center (LaRC) POWER Project [43], with a spatial resolution of 0.5 ° × 0.625 ° latitude/longitude. The use of hourly meteorological data is necessary since the analyses conducted on EPSs, such as adequacy or energy market analyses, are performed on an hourly basis.
In addition to hourly and daily values, climatic data of the atmospheric variables are also considered here. These data are consistently sourced from [43] and cover the historical period from 1981 to 2000 (as climatological data before 1981 is not available). These climatological data provide 12 monthly mean values, with each value obtained by averaging the respective months over the 1981–2000 period. The climatic data are considered here to make comparisons between the atmospheric variables in the period 2001–2021 and their respective climatic averages for the period 1981–2000.
As mentioned in Section 1.1, the climatic impacts on EPSs vary depending on the geographical area considered; for this reason, this study focuses on Corsica. To assess the spatial variability of both the temporal trends of atmospheric variables and their degree of correlation, four specific locations in Corsica are selected: Ajaccio, Bastia, Calvi, and Porto Vecchio. The location of Ajaccio is chosen because it is close to both the most important (in terms of installed capacity) thermal power plant (Vazzio) and the most important (in terms of water flow) hydroelectric power plant (Prunelli) in Corsica; in addition, Ajaccio is the most important load center in Corsica. Near Bastia (the second-largest load center), on the other hand, the second-largest thermal power plant (Lucciana) along with a distributed presence of photovoltaic installations are present. Calvi is selected for the presence of both photovoltaic and wind power installations; the demand for electrical energy in Calvi is not particularly high. Porto Vecchio, mirroring Calvi, does not have significant production facilities (in terms of installed capacity), but it is an important load point (the third most important in Corsica).
Both annual and seasonal analyses are conducted here. The seasonal analysis focuses on winter and summer because these are the two periods of the year when not only the most extreme meteorological events occur (such as cold waves and heatwaves) but also the climatic conditions are such that there are peaks in demand or strong reductions in renewable production or both. The months corresponding to these seasons are December–January–February (DJF) and June–July–August (JJA), for winter and for summer, respectively.
The annual, winter, and summer climate projections for the variables Pr, RH, T a , and v 10 are then considered and taken from the Copernicus Climate Change Service (C3S) European Climate Energy Mixes (ECEM) project [44].
In the following sections, we present the methodologies applied for analyzing historical trends of the considered weather variables, conducting correlation analysis, and making climatic projections of these variables in future decades. The simulations related to these analyses are conducted using the MATLAB software R2019a.

2.1. Study of Historical Meteorological Trends

As mentioned previously, the study conducted here begins with the analysis of historical trends of Pr, RH, T a , v 10 , and DTR. For each of these climatic variables the average hourly values (daily values for DTR) are evaluated on an annual, winter, and summer basis, except for precipitation. For precipitation, cumulative amounts are evaluated both on an annual and seasonal basis, since average hourly precipitation values have little practical relevance as they are close to zero (in Corsica, precipitation is mostly absent during the majority of hours in the year).
Regarding the use of climatic data, they consist of 12 monthly mean values, and from these, values for winter and summer months are selected. Therefore, 3 monthly climatological values are considered for both winter and summer, and an average of them is evaluated; the two climatic values obtained in this way are used as references for winter and summer. Specifically, for each year within the historical data from 2001 to 2021, the percentage of hours during which, a meteorological variable exceeds the summer climatic average, and the percentage of hours during which, it is below the winter climatic average, are evaluated.

2.2. Correlation Analysis on Pairs of Weather Variables Climate Projections

The correlation analysis conducted here is based on the null hypothesis of no correlation between variables, and the significance level, α , is set to 0.05. The Pearson (r) and Spearman ( r s ) coefficients are applied to the hourly values of the atmospheric variables listed in Section 2.1 (DTR data is not involved in the correlation analysis, as it is daily data). Initially, the coefficient r is applied to all considered pairs of variables, regardless of the type of relationship between them (linear or non-linear). For those variable pairs where at least 1 year of data yielded a very low r value or a p-value (p) greater than the significance level, the Spearman correlation coefficient is applied to them. The purpose of these efforts is to understand whether there is a statistical correlation between the atmospheric variables affecting energy production and demand. If such a correlation exists, knowing its magnitude and sign would allow for a more accurate modeling of climate impacts on EPSs, thus improving analyses such as adequacy and the supply-demand balance in the electricity market.

2.3. Climate Projections

In the field of EPSs, long-term planning plays an important role. In light of the impacts that climate change can have on the production and demand for electrical energy, it would be useful to conduct studies on how and whether atmospheric variables will change due to global warming. To conduct these types of studies, one can consider the outputs of climate models realized by the scientific community to analyze future climate scenarios. In this work, three pairs of GCM-RCM climate models are considered: RCA4 [45]/Hadgem2 [46] (hereafter referred to as GCM-RCM 1), RACMO [47]/EC-Earth [48] (hereafter referred to as GCM-RCM 2), and WRF [49]/IPSL [50] (hereafter referred to as GCM-RCM 3). RCA4, RACMO, and WRF are the RCMs, while the others are GCMs.
Parameterizations of climate models involve the use of simplified equations and algorithms to model complex physical phenomena. These phenomena encompass not only the atmosphere itself but also its interaction with the oceans and the Earth’s surface. The phenomena implemented in climate models include the carbon cycle, cloud physics, solar and thermal radiation, atmospheric convection, and land–atmosphere interactions. Climate models differ from each other depending on the specific physical parameterizations and numerical algorithms employed.
Different research institutions worldwide have developed the climate models here considered, and once the parameterization was carried out, they proceeded with model calibration. Calibration involves the validation of the created model, where the model’s results are compared with observed historical data to assess how well the climate model replicates past climates. Fine-tuning of model parameters to achieve a closer match with observations, along with cross-validation using independent data, are some of the calibration actions taken to validate the model. The climate outputs of these models are taken from the ECEM demonstrator and are publicly available [44]. The forcing considered here for the climate model outputs is the Representative Concentration Pathway (RCP) 4.5 since it is intermediate between the more ‘pessimistic’ RCP 8.5 and the more ‘optimistic’ RCP 2.6. The fact that multiple climate models are considered under the same scenario makes this survey a multi-model ensemble [51]. The atmospheric variables for which projections are considered include precipitation, relative humidity, air temperature, and wind speed. For these variables, projections of annual and seasonal (winter and summer) mean values are considered for the time period 2029–2070. Climatic projections are subject to inherent uncertainties due to the choice of scenario (scenario uncertainty), internal climate variability, and model uncertainty [52]. Regarding this last type of uncertainty, it should be noted that different models apply different parameterizations and numerical approaches, and these differences result in a range of possible climatic projections under the same forcing [52]. In this study, by using a multi-model ensemble, it is possible to observe a range of climatic projections that highlights the intrinsic uncertainty of the models.

3. Results

This section presents comparisons of historical trends in annual and seasonal mean hourly values of the relevant atmospheric variables for the four Corsican locations, along with the results of the correlation analysis. Finally, future trends of atmospheric variables for Corsica are also presented, comparing different climate models used. For the sake of completeness, the geographic coordinates of the sites under consideration are specified below (see Figure 3):
  • Ajaccio: 41 °   94 latitude and 8 °   78 longitude;
  • Bastia: 42 °   69 latitude and 9 °   43 longitude;
  • Calvi: 42 °   54 latitude and 8 °   81 longitude;
  • Porto Vecchio: 41 °   58 latitude and 9 °   23 longitude.

3.1. Findings for Trends over the Past 20 Years of Data

In this section, the historical trends of hourly average values on an annual and seasonal basis for the atmospheric variables mentioned in Section 2.1. are presented. Additionally, the trends of the percentages of hours during which the atmospheric variables exceeded the summer climatic averages and fell below the winter climatic averages are displayed. Figure 4 displays the annual trends of Pr, RH, T a , and v 10 . Figure S1 shows the annual mean hourly SDI values.
Figure 4a reveals that the four locations had similar trends in cumulative annual precipitation amounts until 2014, the year from which the Ajaccio site significantly deviated from the other three. This different trend in precipitation in Ajaccio finds correspondence in the RH trends: Ajaccio’s RH trend is the only one among the four locations that shows an increase (Figure 4b). The decreasing trends in RH are accompanied by increasing trends in air temperatures; Ajaccio has the lowest slope of the interpolating line (Figure 4c). Figure 4d shows how, for wind speeds, there is decrease in the annual average hourly values. Porto Vecchio has proven to be a site with a higher annual average hourly relative humidity, temperature, and wind speed compared to the other locations (Figure 4c,d).
Figure 5 and Figure 6 show the seasonal average hourly trends for winter and summer, respectively. Figures S2 and S3 show the average hourly SDI values on a winter and summer basis, respectively.
For winter precipitation (Figure 5a), as well as on an annual basis, the Corsican locations (except Ajaccio) do not show pronounced increasing or decreasing trends. In summer (Figure 6a), on the other hand, the cumulative precipitation trends are decreasing, except for Ajaccio, where from 2017 onwards, the cumulative precipitation was higher than the other three locations.
Regarding the average hourly values of RH, the annual trends, increasing in Ajaccio and decreasing in Calvi, are consistent in their respective winter (Figure 5b) and summer (Figure 6b) trends. For the other two locations, the trends vary depending on the season considered. In summer, the Bastia site does not exhibit a particular trend (Figure 6b), while in winter, RH shows a significant decreasing trend. Porto Vecchio shows a decreasing RH trend in summer and a slightly increasing trend in winter (Figure 5b).
All four Corsican locations have experienced an increase in average hourly temperatures both in winter (Figure 5c) and summer (Figure 6c), with steeper trends in winter than in summer. Specifically, in winter, the rates of increase in average hourly temperatures were 0.76 °C/dec for Ajaccio, 0.88 °C/dec for Bastia, 0.85 °C/dec for Calvi, and 0.72 °C/dec for Porto Vecchio. In summer, the rates were 0.28 °C/dec for Ajaccio, 0.35 °C/dec for Bastia, 0.51 °C/dec for Calvi, and 0.52 °C/dec for Porto Vecchio.
The temperature trends contrast with those of wind speeds: all Corsican locations have seen a reduction in average hourly wind speeds from year to year, both in winter (Figure 5d) and summer (Figure 6d), with more significant decreases in summer.
As a complement to the results obtained above, it would be interesting to compare the hourly values of the considered atmospheric variables from the end of 2001 to the end of 2021 with their climatic averages, obtained as described in Section 2.2. Figure 7 displays the results of this comparison.
Over the course of 20 years, the annual percentages of hourly precipitation below winter averages and above summer averages have not shown significant changes for all the sites considered (variations well below 1%), except for Ajaccio where the variations exceeded 1% (Figure 7a,a’). It should also be noted that the percentages of annual hours where hourly precipitation exceeded the climatic summer average are low, while most of the hours in the years considered have had precipitation below the winter climatic average (>97%).
Regarding relative humidity, annual percentage trends are more pronounced compared to precipitation; Ajaccio shows opposite trend slopes compared to the other three locations, whose trend slopes are consistent with each other (Figure 7b,b′). The trends in Porto Vecchio show the highest slopes.
The annual percentage trends of hourly temperatures are the ones that show the greatest variations from one year to the next. Over the last 20 years, there has been a reduction in the percentages of annual hours where T a was below the winter climatic average (Figure 7c), which is greater in magnitude than the increase in annual hours where Ta was above the summer climatic average (Figure 7c’). For the years from 2014 onwards, it seems that the decreasing trends in Figure 7c and the increasing trends in Figure 7c’ are more pronounced compared to the previous years. Moreover, while from 2002 to 2014 there was some variation in the percentage values of hours from one year to the next (years with higher percentages were followed by years with lower percentages), from 2014, the variation in inter-annual percentage values has significantly reduced for all four sites, with Porto Vecchio and Calvi showing more consecutive years in which the percentage of hours increases from year to year.
The slopes of the trends in the annual percentages of hours when wind speed was below the winter climatic average (Figure 7d) are negligible. However, slight decreases can be observed in the percentage trends of hours when wind speed was above the summer climatic average (Figure 7d’).
The following figures show the annual (Figure 8), winter (Figure 9), and summer (Figure 10) trends of DTR, T min , and T max .
Regarding the slopes of the annual DTR trends (Figure 8a), there is a decrease of 0.16 °C/dec for Ajaccio and 0.01 °C/dec for Porto Vecchio, while for Bastia and Calvi, the slopes of the trends are 0.004 °C/dec and 0.02 °C/dec, respectively. The trends in DTR are a result of the trends in T min and T max . The decreasing trend in DTR in Ajaccio is due to an increase in T min greater than that of Tmax: T min increased by 0.38 °C/dec, while T max increased by 0.22 °C/dec. The nearly zero slope of the line interpolating the annual DTR trend in Bastia is justified by the fact that T min and T max have increased almost at the same rate, 0.41 °C/dec and 0.42 °C/dec, respectively. A similar difference is also observed for Porto Vecchio, where T min increased by 0.46, while T max increased by 0.45. Calvi has seen a larger difference, with T min increasing by 0.45 and T max increasing by 0.47. To understand if there is seasonality in the trends of DTR, T min and T max , it is useful to analyze the winter and summer data, whose trends are shown in Figure 9 and Figure 10.
In the winters of the last 20 years, Corsican locations experienced an increasing trend in DTR (Figure 9a), except for Ajaccio. Ajaccio had a decrease in DTR of 0.05 °C/dec, which was due to T min increasing by 0.77 °C/dec, while T max increased by 0.73 °C/dec. Similar increases occurred in Porto Vecchio, where T min increased by 0.68 °C/dec, and T max increased by 0.79 °C/dec. Bastia and Calvi had the highest increases in T min and T max : T min increased by 0.79 °C/dec in both Bastia and Calvi, while T max increased by 1.01 °C/dec in Bastia and by 0.93 °C/dec in Calvi (Figure 9b,c).
In the summers of the last 20 years, the opposite trend occurred compared to the winter months: T min increased more than T max (with the exception of Ajaccio, which had a greater increase in T min compared to Tmax in both winters and summers). This has resulted in decreasing trends in DTR for all Corsican locations (Figure 10a). Specifically, T min increased by 0.35 °C/dec in Ajaccio, 0.37 °C/dec in Bastia, 0.50 °C/dec in Calvi, and 0.53 °C/dec in Porto Vecchio, while T max increased by 0.15 °C/dec in Ajaccio, 0.28 °C/dec in Bastia, 0.48 °C/dec in Calvi, and 0.46 °C/dec in Porto Vecchio.

3.2. Findings for Correlations

In this section, the results of the correlation analysis conducted on the pairs of considered atmospheric variables are presented. Figure S4 (Supplementary Materials) shows the scatterplots of the pairs of considered variables. Scatterplots provide an idea of the linearity or lack thereof in the relationship between two variables, but they only offer qualitative insights that can sometimes be misleading. Moreover, in some cases, such as air temperature and SDI or air temperature and RH, it is possible to infer the signs of correlations, positive for the Ta-SDI pair and negative for the Ta-RH pair (see Figure S4), but despite that, it is not available a number that can quantify the degree of relationship between the variables. A quantitative analysis is therefore needed.
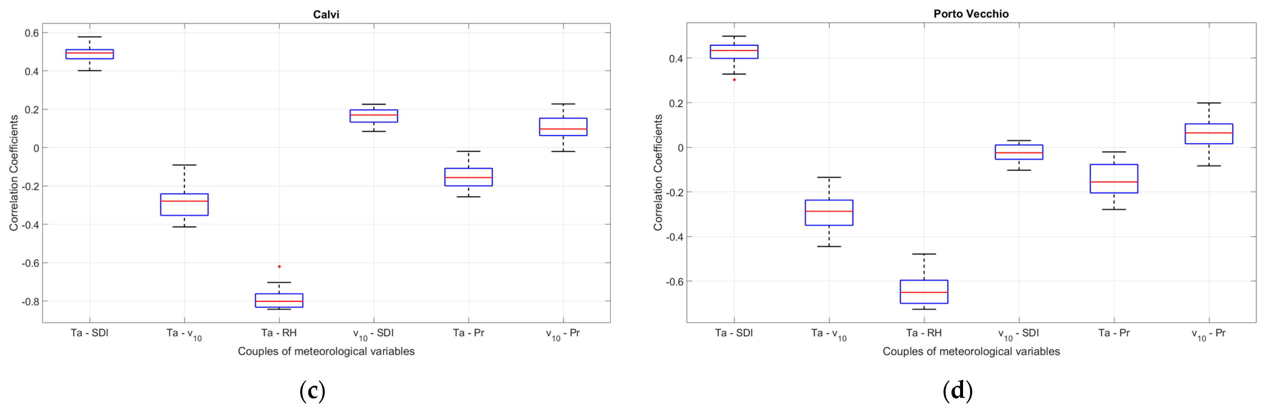
As explained in Section 2.2, the quantitative correlation analysis is conducted here by applying the correlation coefficient r to the pairs of meteorological variables under consideration, for each year of data, both on an annual and seasonal basis. Figure 11, Figure 12 and Figure 13 show boxplots of the distributions of the r values obtained on an annual, winter, and summer basis for the four Corsican locations.
From the above figures, it can be observed that T a -SDI and v 10 -Pr pairs are characterized by positive correlations for all the locations and time periods considered. The T a - v 10 , T a -RH, and T a -Pr pairs are characterized by negative correlations on an annual and summer basis (for all locations), while in winter, depending on the year of data, both positive and negative correlations are obtained (only in Porto Vecchio, the Ta-RH pair showed positive correlations for all years of data). The v 10 -SDI pair, for the same time period (annual, winter, summer), provides positive or negative correlations depending on the location and year of data considered.
For the same pair of variables, the degree of dispersion and asymmetry in the distributions of r values changes depending on the location and the time period considered. Furthermore, it is noted that in winter, the distributions have a higher degree of dispersion compared to the summer and annual periods. For all pairs of meteorological variables, the degree and type of skewness (left or right) in the distributions of r values change depending on the time period and location considered.
Regarding the medians of the distributions of r values, the T a -RH and v 10 -Pr pairs are the only ones that provide medians whose values and signs are consistent across different locations and time periods. All other pairs of atmospheric variables provide medians whose values and signs vary depending on the location and time period considered.
On annual basis, outliers are observed for the T a - v 10 pair for all locations, for the v 10 -SDI pair for Ajaccio and Calvi, and T a -SDI for Calvi. On winter basis, the distribution of r values for the T a -RH pair yields outliers, but only for the locations of Ajaccio and Porto Vecchio. In summer, the T a -RH pair presents outliers for all locations except Porto Vecchio, and the T a -SDI presents outliers for the sites of Bastia and Porto Vecchio.
Confidence intervals of 95% for the r values are then evaluated for each year of available data, both for all pairs of variables considered and for all the Corsican locations under examination. Figures S5–S7 report some of the results obtained. It is observed that for each pair of considered variables and for each Corsican location, in most historical years, their respective confidence intervals overlap.
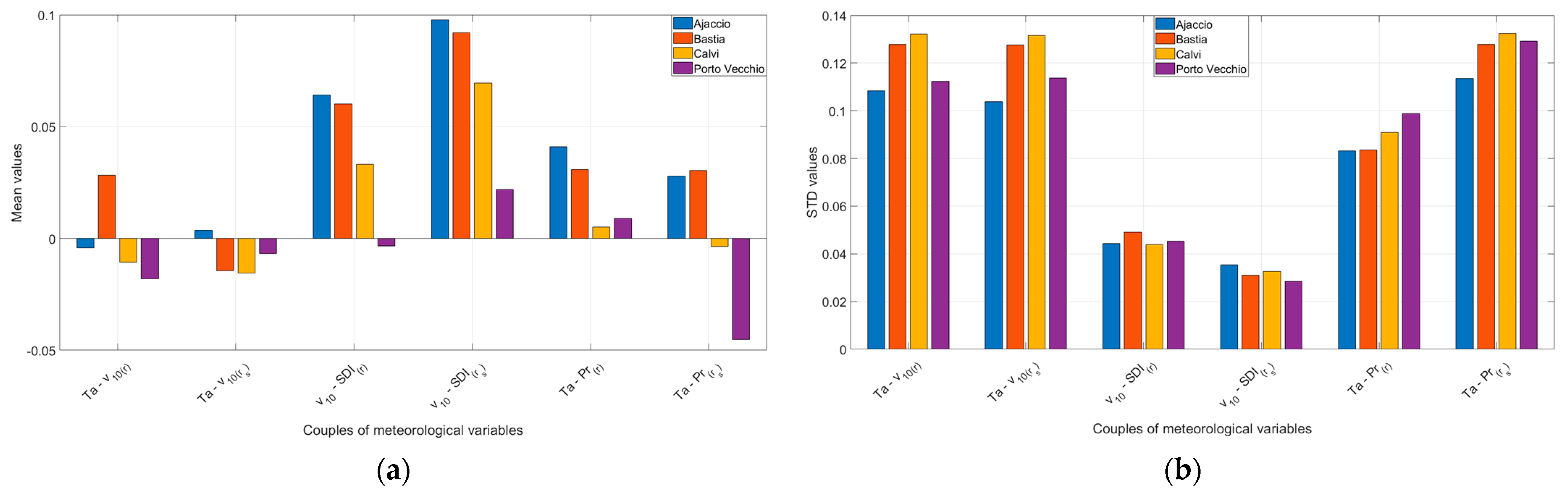
Although the boxplots provide information about the degree of dispersion of the r values and the degree of asymmetry in their distributions, they do not provide quantitative statistics such as the mean and standard deviation (STD). These statistics are therefore calculated, and the results are shown in Figure 14.
The signs of the obtained means (Figure 14a–c) follow from the degree of dispersion and asymmetry of the distributions of the r values obtained and shown in the boxplots (Figure 11, Figure 12 and Figure 13). Positive mean values are obtained for the T a -SDI and v 10 -Pr pairs for all locations and time periods considered, while for the other pairs of variables, mean values are positive or negative depending on the location and time period considered. Means close to zero are obtained for those pairs of variables that have distributions around zero, with positive or negative r values depending on the year of data considered.
Figure 14a’–c’ provide a concise and clear picture of the degree of dispersion of the distributions of r values obtained. It is easy to see that, for the same pair of atmospheric variables considered, the degree of dispersion varies depending on the location and time period considered.
Regarding the statistical significance of the results, it is observed that some pairs of variables in some historical years (the minority of years), depending on the location and the time period considered, yield p-values greater than the significance level. Only the T a -SDI pair does not have cases of statistical insignificance in the results for each year of data, site, and time period analyzed. At the annual level, only the correlation analysis of the v 10 -SDI pair provided p > α . At the seasonal level, on the other hand, the statistical insignificance of the results has temporal and spatial variability. That is, depending on the season and the geographical site considered, for the same pair of variables, there are years of data that yield non-statistically significant r values. As mentioned in Section 2.2, for those cases that yielded non-statistically significant results, the degree of correlation between the variables is evaluated using the Spearman correlation coefficient r s .
By first conducting the annual correlation analysis, as a consequence of what is mentioned above, the Spearman’s correlation coefficient is applied to the v 10 -SDI pair. The use of the r s index allowed us to obtain statistically significant results for the locations of Ajaccio and Bastia; for the other two locations, p-values greater than the significance level were obtained again. The comparison between the means and standard deviations of the r and r s values is shown in Figure 15.
The means of the r s values have the same sign but a greater magnitude than the means of the r values (Figure 15a), while the standard deviations (Figure 15b) of the distributions of r s values are slightly lower than those of the r values, except for the location of Ajaccio.
Performing the correlation analysis with the Spearman coefficient on a seasonal basis, the pairs of atmospheric variables on which the r s index is applied change depending on whether the winter or summer season is considered.
For the winter case study, applying the Spearman correlation index does not result in substantial gains in terms of statistical significance of the results: only for the v 10 -Pr pair in the location of Ajaccio, a statistically significant r s result is achieved. In Figure 16, the comparison between the average values and standard deviations of the distributions of r s and those of the distributions of r is shown.
It is observed in Figure 16a that the mean values of the r s distributions, for each pair of variables, have a different magnitude or magnitude and sign than the means of the r distributions, depending on the location.
Regarding the standard deviations of the distributions of r s values, Figure 16b shows that, depending on the variable pair considered, there are no substantial changes compared to the STDs of the r distributions ( T a - v 10 ), or there are improvements ( v 10 -SDI), or worsening ( T a -Pr).
For the summer case study, the use of the r s index allowed us to obtain statistically significant results (in all years of data) only for the T a -Pr and v 10 -Pr variable pairs at the Bastia site. Figure 17 shows the means and standard deviations of the r s distributions compared to those of the r distributions.
The means of the r s distributions are consistent in sign with the means of the r distributions but different in magnitude (Figure 17a), while the standard deviations of r s are slightly higher than those of r (Figure 17b).
The results shown above are for those pairs of variables that, in that specific time period (annual or seasonal), provided statistically non-significant results in at least 1 year of data for all Corsican locations. There are cases where statistically significant results are obtained only for one location and only in one time period. Even for these cases, the degree of correlation of variable pairs is calculated using the r s index. As a result of this approach, it is observed that using the rs index reduces the number of years of data with statistically non-significant results, and for some pairs, in specific time periods and geographical locations, the r s index provides statistically significant results for all years ( v 10 -Pr in Ajaccio in winter, T a -Pr in Bastia in summer).

3.3. Climate Projections for Corsica

In this section, the climate projections of the atmospheric variables of interest are shown, extrapolated from three pairs of climate models GCM-RCM, as outlined in Section 2.2. Figure 18 shows the annual-based projections.
Among the three GCM-RCM models, GCM-RCM 1 projects the highest temperature increases, the greatest decreases in relative humidity, precipitation, and wind speed. GCM-RCM 3, on the other hand, projects less pronounced temperature increases, with opposite trends in precipitation and wind speed projections compared to GCM-RCM 1. Regarding relative humidity, GCM-RCM 3 projects milder decreases compared to GCM-RCM 1. GCM-RCM 2 is the only one projecting slight increases in relative humidity, while it also projects significant temperature increases (like the other two climate models). Slight increases in precipitation and negligible decreases in wind speeds are also projected by this climate model.
Figure 19 and Figure 20 show the projections for the winter and summer seasons, respectively.
The GCM-RCM 1 model projects reduced precipitation in both winter (Figure 19a) and summer (Figure 20a). Regarding relative humidity, it shows an increasing trend for winter (Figure 19b), while a decreasing trend is projected for summer (Figure 20b). Temperature projections for future winters indicate a rising trend (Figure 19c), as do the projections for the coming decades’ summers (Figure 20c). A decreasing trend is observed in winter (Figure 19d) and summer wind speed projections (Figure 20d).
The GCM-RCM 2 model projects increased precipitation in winter and reduced precipitation in summer. Similar to precipitation, it also predicts an increasing trend in relative humidity for the upcoming winter decades and a slight decrease in relative humidity for the coming summers. Temperature projections show increases for both winter and summer, while future wind speeds do not follow a clear trend in winter projections, and a slight decreasing trend is projected for summer wind speeds.
The GCM-RCM 3 model is the only climate model that projects increased precipitation in both winter and summer. It is also the only model that predicts a reduction in relative humidity in winter, with no clear trend in summer projections. Additionally, it is the only model that projects a slight reduction in winter temperatures, while it predicts increasing temperatures in summer, similar to the other climate models. Summer wind speed projections in this model are also an exception compared to the other two models, as it predicts an increase in wind speeds; in winter, wind speed projections do not follow any trend.

4. Discussion

Precipitation, relative humidity, air temperature, wind speed, and DTR all influence the production and demand for electrical energy. Therefore, analyzing their historical trends helps to understand whether new strategies need to be implemented for the operation, management, and maintenance of a generic EPS. A total of 20 years of hourly data for these variables was analyzed, calculating annual, winter, and summer averages. Air temperature emerged as the only atmospheric variable characterized by increasing trends, both seasonally and annually, across all four Corsican locations. The slopes of the linear interpolations of these trends suggest that this temperature variation from year to year is likely not due to natural climatic cycles but rather the result of anthropogenic climate phenomena like global warming. In terms of EPS management, this is a cause for concern because rising temperatures reduce the efficiency of thermoelectric, photovoltaic, and wind power production systems, while also increasing the demand for energy for building cooling.
As air temperature increases, its capacity to hold water vapor molecules also increases. This phenomenon has an impact on relative humidity, as an increase in temperature reduces the percentage of relative humidity in the air. This phenomenon appears to be reflected in the decreasing trends of RH observed for Corsican locations on both an annual and seasonal basis, with the exception of Ajaccio and Porto Vecchio. The exception in Ajaccio may be justified by the fact that this site has experienced a significant amount of precipitation in the last 10 years, considerably more than the other Corsican locations. The reduction in average hourly values of relative humidity has an impact on the evaporation rates of basins used for hydropower production or for the cooling of thermoelectric plants. Lower RH values imply a higher demand for evaporation from the atmosphere, leading to higher rates of basin evaporation. Regarding the demand for electrical energy, lower relative humidity would result in a reduction in energy demand for building cooling.
For precipitation, a decreasing trend is observed for the summers of the last 20 years. This fact adds to the challenges already highlighted by increasing summer temperatures and decreasing relative humidity trends. Corsican locations have experienced hotter and drier summers in the past 20 years. This inevitably reduces the availability of energy producible by power plants and increases the demand for electrical energy. Ajaccio has been particularly rainy in the last 10 of the 20 years analyzed. The explanation for this would require further meteorological analyses, including wind regime (wind direction) studies, to understand the physical causes of this ‘anomalous’ precipitation behavior in Ajaccio compared to other Corsican locations.
Finally, both annually and in winter and summer, decreasing trends in the average hourly wind speed values are observed for all analyzed Corsican locations. This primarily impacts wind energy production but also affects the efficiency of photovoltaic modules. In addition, Porto Vecchio shows sufficient windiness to be of interest for the installation of wind farms; indeed, the cut-in speed of wind turbines is typically 4 m/s, and the Porto Vecchio site has consistently shown annual average hourly wind speeds exceeding 5 m/s in almost all of the 20 years of data.
Regarding the DTR, it is observed that depending on the time period considered, there are different trends. Since DTR is the difference between T max and T min , and both of these values have increased over the past 20 years, a decreasing trend in DTR implies that T min is increasing more than T max (on an annual basis in Ajaccio, T min has increased by 0.38 °C/dec, while T max has increased by 0.22 °C/dec), while an increasing trend in DTR implies that T max is increasing more than T min (in winter, T min has increased by 0.79 °C/dec in both Bastia and Calvi, while T max has increased by 1.01 °C/dec in Bastia and 0.93 °C/dec in Calvi, respectively). This shows that even though the average air temperature has shown increasing trends on an annual and seasonal basis, the trends in maximum and minimum temperatures reveal that the effect of climatic patterns on daily temperature extremes changes depending on the time period. For example, greater cloud cover at lower altitudes reduces T max since these types of clouds reflect solar radiation back into space more effectively. On the other hand, high-altitude clouds are better at absorbing long-wave radiation emitted from the Earth’s surface, which leads to an increase in T min . Any variation in temperature extremes caused by changes in cloud cover has an impact on photovoltaic energy production and the demand for energy for building cooling, especially in the summer, as the effect of DTR is linked to natural ventilation capability in buildings.
From the above, it is understood that the trends in atmospheric variables exhibit temporal variability (for the same atmospheric quantity and location, the slopes of trends change depending on whether the analysis period is annual or seasonal), spatial variability (for the same atmospheric quantity and time period, the trends change depending on the location), or both (for the same atmospheric parameter, location, and time period, trends vary). This underscores the importance of conducting climatic analyses not only on an annual basis but also on a seasonal basis, with spatial resolutions that consider different locations within the same region, which can exhibit distinct climatic characteristics, regardless of the presence of microclimates.
In summary, the overall picture emerging from the trends of the considered atmospheric variables is a tendency towards increasingly warmer, drier years with reduced wind activity. The variations observed in each atmospheric variable do not appear to be explainable by natural climate variability but rather seem to be the result of the effects of anthropogenic climate change, impacting both energy production and demand.
The analysis of historical hourly data has revealed how the trends in different atmospheric variables are interconnected. This leads to the idea of quantifying the degree of correlation between atmospheric variables. Such an analysis can refine the strategies for the operation and management of EPSs, as the correlation between meteorological variables translates into complementarity among those production sources whose efficiencies depend on these variables. Furthermore, quantifying the correlation between atmospheric variables allows for the refinement of statistical modeling of the impacts of climate on energy production and demand. This is because it simulates the physical relationships that exist between these variables.
If the analysis of historical trends has highlighted the spatial and temporal variability of atmospheric variables, the correlation analysis has revealed that the statistical relationship between these variables also exhibits spatial and temporal variability. On one hand, the T a -SDI pair shows a consistent positive correlation across different locations and time periods considered, while other pairs of variables exhibit correlation magnitudes and signs that vary depending on the location and time period. This has a physical justification: while temperature and solar radiation have a direct relationship (the ground, when absorbing incoming solar radiation, heats up and, in turn, emits longwave radiation that warms the air), the other combinations of variable pairs do not have such a direct relationship, making the correlation analysis more complex.
The winter season appears to be characterized by a greater dispersion of the correlation values obtained. Additionally, most of the statistically insignificant results are obtained in the winter-based correlation analysis. This behavior could be justified by the fact that the increased meteorological instability characterizing this season may compromise the statistical detection of relationships between atmospheric variables.
The variable pairs v 10 -SDI and T a -Pr exhibit a type of relationship that, in addition to being nonlinear and therefore challenging to detect with the Pearson coefficient, is also difficult to quantify using the Spearman coefficient. These two pairs are the ones that provided the highest number of cases of statistically insignificant results.
In addition to paying attention to the distributions of correlation coefficients and their statistical significance, it is useful for practical applications, such as statistical simulations, to have a representative value of the degree of correlation between two variable pairs. For this reason, the average values of r and r s were evaluated. Taking into consideration all of the above, along with the results reported in Section 3.2, it can be concluded that the average of the correlation values can be used as an indicative value of the degree of correlation between two atmospheric variables in the case of the following pairs: T a -SDI (both on an annual and seasonal basis), v 10 -Pr (both on an annual and seasonal basis), T a -RH (on an annual and summer basis), and T a - v 10 (only on an annual basis).
The management of EPSs is based not only on medium-term or short-term planning but also on long-term planning. In order to understand what the best strategies for managing EPSs in the future might be, it is useful to know the likely trends of meteorological variables in the coming decades. Three climate models are selected, and their outputs are analyzed in Section 3.3. The outputs of each model are equally probable, so considering more than one climate model provides a range of scenarios for the future of EPSs. However, the fact that the projections of each climate model are equally probable does not imply that the trends of the projections are consistent across different climate models. In some cases, all three models agree on the slopes of the trends, while in other cases, two out of three models project opposite trends compared to the other. Therefore, what can be inferred from the analysis of climate projections in this study is that further research should consider other climate models to explore as many possible future climate scenarios as possible. Long-term planning should then be based on a compromise between the different climate projections of different models.
The analyses conducted in this work aim to provide network and power plant operators with new insights and valuable elements to define maintenance, operational, and planning strategies for the Corsican power system. Moreover, since this study is based on publicly available climatic data (with global coverage) and projections (with European coverage), it can be extended to other geographical regions and EPSs. Therefore, the methodologies described in this work can also be applied to other case studies, benefiting grid operators and energy market stakeholders by informing them about how the climate is changing and will change in the future. The results of the correlation analysis allow Corsican network operators and energy producers to gain useful insights into understanding the degree of complementarity between different generation sources and production sources with energy demand. Additionally, capturing the degree of correlation that exists between atmospheric variables allows to enhance the physical realism of models simulating the impacts of climate on electricity production and demand.
For Corsica, the case study of this research, the analysis of trends in atmospheric variables has provided evidence of how the Corsican climatic system has changed over the last 20 years. These pieces of evidence can be used by stakeholders of the Corsican EPS to adapt maintenance and system management strategies to a changing climate. Furthermore, considering and analyzing climate projections for Corsica allows a range of predictions regarding the island’s future climate. This enables the Corsican stakeholders to understand the optimal network configuration for long-term planning.
In conclusion, it is worth noting that the limitations of this study are inherently due, on one hand, to the available data and, on the other hand, to the climate models. Specifically, even though 20 years of hourly data have been sufficient to detect trends in atmospheric variables, having access to hourly data for the period from 1981 to 2000 would have been even more significant. Moreover, a finer spatial resolution than that of the available data could be more effective in detecting the presence of microclimates. Regarding climate models their outputs, namely climate projections, are intrinsically affected by uncertainties (as mentioned in Section 2.3); considering a greater amount of climate models than in this study can help provide more insights into the range of possible future climate outcomes.

5. Conclusions

In this study, annual and seasonal trends of precipitation, relative humidity, air temperature, wind speed, diurnal temperature range, maximum and minimum temperatures, were analyzed over the past 20 years of data (from late 2001 to late 2021) for four locations in Corsica (Ajaccio, Bastia, Calvi, Porto Vecchio). A correlation analysis was then conducted using the Pearson and Spearman correlation coefficients. Finally, the outputs of three climate models projecting future trends in precipitation, relative humidity, air temperature, and wind speed, in Corsica, for the coming decades (2029–2070) were considered.
From the historical climate analysis, it emerges that atmospheric variables have followed trends whose magnitude does not seem to be justifiable by natural climate variability. Instead, the observed trends appear to be attributable to global warming. Furthermore, except for air temperature, the considered atmospheric variables have shown trends that, for a given geographical location, vary depending on the time period considered (temporal variability) or trends that, for a given time period, vary depending on the location considered (spatial variability), or trends that exhibit both spatial and temporal variability. Hourly mean temperatures have increased annually and seasonally in all Corsican locations, while hourly mean wind speeds have decreased annually and seasonally. Cumulative summer precipitation has decreased for all locations, except for the Ajaccio site, which experienced more significant precipitation compared to other locations, both annually and seasonally. The DTR has decreased annually and in summer, while it has increased in winter for all locations except Ajaccio. These trends suggest that the ongoing climate change is already capable of impacting the production and demand for electricity.
The use of the Pearson correlation coefficient for correlation analysis revealed a positive correlation between the Ta-SDI and v10-Pr pairs, both annually and seasonally. For other pairs of variables, the sign of the correlation (positive or negative) showed spatial and temporal variability. Moreover, depending on the time period and location, some pairs of variables yielded statistically non-significant results in some (few) years of historical data. In these cases, the Spearman correlation coefficient was used, which allowed obtaining statistically significant results depending on the period and location considered. It was found that the winter season yielded the highest number of statistically non-significant results, along with a greater dispersion of correlation value distributions. Quantifying the correlation between pairs of atmospheric variables can also provide insights into the degree of complementarity of those production sources whose efficiencies depend on the pairs of variables in question.
The climate projections of the three considered climate models showed a range of possible (equally probable) future climate scenarios. In some cases, the climate projections of the three models disagreed with each other for a given time period (annually or seasonally) considered. This suggests that long-term planning strategies for future EPSs should be a compromise between the different scenarios projected by different climate models.
Since the methodologies reported here can also be applied to other regions on the planet, future research could extend the analyses reported here to different climates from the Mediterranean. Furthermore, future research could consider other climate models in addition to those considered here to have a broader range of possible future climate scenarios for a specific region and consequently infer what the best long-term planning compromise for EPSs might be.

Supplementary Materials

The following supporting information can be downloaded at: https://www.mdpi.com/article/10.3390/su152115357/s1, Figure S1: comparison of hourly average SDI values on an annual basis; Figure S2: average hourly SDI values on a winter basis; Figure S3: average hourly SDI values on a summer basis; Figure S4: scatterplots of the pairs of considered meteorological variables; Figure S5: confidence intervals for the r values obtained on annual basis; Figure S6: confidence intervals for the r values obtained on winter basis; Figure S7: confidence intervals for the r values obtained on summer basis.

Author Contributions

Conceptualization, all authors; methodology, G.M.T. and C.F.N.; software, C.F.N.; validation, G.M.T. and C.F.N.; formal analysis, C.F.N.; investigation, C.F.N.; resources, C.F.N.; data curation, C.F.N.; writing—original draft preparation, C.F.N.; writing—review and editing, G.M.T., G.A.F., and G.N.; visualization, C.F.N.; supervision, G.M.T., G.A.F., and G.N.; project administration, G.M.T. All authors have read and agreed to the published version of the manuscript.

Funding

This research was funded by PR FSE+ Sicilia 2021/2027 (AVVISO 1/2022), grant number G61I22001350006.

Institutional Review Board Statement

Not applicable.

Informed Consent Statement

Not applicable.

Data Availability Statement

The data used for this study are available online (open access) at the following site of a NASA project: https://power.larc.nasa.gov/, and of an EU project: http://ecem.wemcouncil.org/, accessed on 1 August 2023/1 September 2023.

Acknowledgments

We acknowledge financial support from the project PR FSE+ Sicilia 2021/2027 (AVVISO 1/2022).

Conflicts of Interest

The authors declare no conflict of interest.

References

  1. Hor, C.L.; Watson, S.J.; Majithia, S. Analyzing the impact of weather variables on monthly electricity demand. IEEE Trans. Power Syst. 2005, 20, 2078–2085. [Google Scholar] [CrossRef]
  2. Xie, J.; Chen, Y.; Hong, T.; Laing, T.D. Relative Humidity for Load Forecasting Models. IEEE Trans. Smart Grid 2018, 9, 191–198. [Google Scholar] [CrossRef]
  3. Rastogi, D.; Lehner, F.; Kuruganti, T.; Evans, K.J.; Kurte, K.; Sanyal, J. The role of humidity in determining future electricity demand in the southeastern United States. Environ. Res. Lett. 2021, 16, 114017. [Google Scholar] [CrossRef]
  4. Tina, G.M.; Nicolosi, C.F. Assessment of the Impacts of Climate Change on Power Systems: The Italian Case Study. Appl. Sci. 2021, 11, 11821. [Google Scholar] [CrossRef]
  5. Tina, G.M.; Nicolosi, C.F. A Statistical Assessment of Water Availability for Hydropower Generation in the Context of Adequacy Analyses. Appl. Sci. 2023, 13, 1986. [Google Scholar] [CrossRef]
  6. Ravazzani, G.; Dalla Valle, F.; Gaudard, L.; Mendlik, T.; Gobiet, A.; Mancini, M. Assessing Climate Impacts on Hydropower Production: The Case of the Toce River Basin. Climate 2016, 4, 16. [Google Scholar] [CrossRef]
  7. Hasan, M.M.; Wyseure, G. Impact of climate change on hydropower generation in Rio Jubones Basin, Ecuador. Water Sci. Eng. 2018, 11, 157–166. [Google Scholar] [CrossRef]
  8. De Sa, A.; Al Zubaidy, S. Gas turbine performance at varying ambient temperature. Appl. Therm. Eng. 2011, 31, 2735–2739. [Google Scholar] [CrossRef]
  9. Artmann, N.; Manz, H.; Heiselberg, P. Climatic potential for passive cooling of buildings by night-time ventilation in Europe. Appl. Energy 2007, 84, 187–201. [Google Scholar] [CrossRef]
  10. Braganza, K.; Karoly, D.J.; Arblaster, J.M. Diurnal temperature range as an index of global climate change during the twentieth century. Geophys. Res. Lett. 2004, 31, 1–4. [Google Scholar] [CrossRef]
  11. Xue, W.; Guo, J.; Zhang, Y.; Zhou, S.; Wang, Y.; Miao, Y.; Liu, L.; Xu, H.; Li, J.; Chen, D.; et al. Declining diurnal temperature range in the North China Plain related to environmental changes. Clim. Dyn. 2019, 52, 6109–6119. [Google Scholar] [CrossRef]
  12. Makowski, K.; Wild, M.; Ohmura, A. Diurnal temperature range over Europe between 1950 and 2005. Atmos. Chem. Phys. 2008, 8, 6483–6498. [Google Scholar] [CrossRef]
  13. Dorahaki, S.; Rashidinejad, M.; Fatemi Ardestani, S.F.; Abdollahi, A.; Salehizadeh, M.R. An integrated model for citizen energy communities and renewable energy communities based on clean energy package: A two-stage risk-based approach. Energy 2023, 277, 127727. [Google Scholar] [CrossRef]
  14. European Commission. A European Green Deal—Striving to Be the First Climate-Neutral Continent. Available online: https://commission.europa.eu/strategy-and-policy/priorities-2019-2024/european-green-deal_en (accessed on 1 August 2023).
  15. Amorim, F.; Simoes, S.G.; Siggini, G.; Assoumou, E. Introducing climate variability in energy systems modelling. Energy 2020, 206, 118089. [Google Scholar] [CrossRef]
  16. Engeland, K.; Borga, M.; Creutin, J.-D.; François, B.; Ramos, M.-H.; Vidal, J.-P. Space-time variability of climate variables and intermittent renewable electricity production—A review. Renew. Sustain. Energy Rev. 2017, 79, 600–617. [Google Scholar] [CrossRef]
  17. van der Wiel, K.; Bloomfield, H.C.; Lee, R.W.; Stoop, L.P.; Blackport, R.; Screen, J.A.; Selten, F.M. The influence of weather regimes on European renewable energy production and demand. Environ. Res. Lett. 2019, 14, 094010. [Google Scholar] [CrossRef]
  18. Tobin, I.; Greuell, W.; Jerez, S.; Ludwig, F.; Vautard, R.; van Vliet, M.T.H.; Bréon, F.-M. Vulnerabilities and resilience of European power generation to 1.5 °C, 2 °C and 3 °C warming. Environ. Res. Lett. 2018, 13, 044024. [Google Scholar] [CrossRef]
  19. Bloomfield, H.C.; Brayshaw, D.J.; Troccoli, A.; Goodess, C.M.; De Felice, M.; Dubus, L.; Bett, P.E.; Saint-Drenan, Y.-M. Quantifying the sensitivity of european power systems to energy scenarios and climate change projections. Renew. Energy 2021, 164, 1062–1075. [Google Scholar] [CrossRef]
  20. Tina, G.M.; Nicolosi, C.F.; Stefanelli, D. The impacts of synthetic correlated generation of weather variables on adequacy analyses. In Proceedings of the 2022 AEIT International Annual Conference (AEIT), Rome, Italy, 3–5 October 2022; pp. 1–6. [Google Scholar] [CrossRef]
  21. Giorgi, F.; Lionello, P. Climate change projections for the Mediterranean region. Glob. Planet. Chang. 2008, 63, 90–104. [Google Scholar] [CrossRef]
  22. Erdinc, O.; Paterakis, N.G.; Catalão, J.P.S. Overview of insular power systems under increasing penetration of renewable energy sources: Opportunities and challenges. Renew. Sustain. Energy Rev. 2015, 52, 333–346. [Google Scholar] [CrossRef]
  23. Notton, G.; Duchaud, J.L.; Nivet, M.L.; Voyant, C.; Chalvatzis, K.; Fouilloy, A. The electrical energy situation of French islands and focus on the Corsican situation. Renew. Energy 2019, 135, 1157–1165. [Google Scholar] [CrossRef]
  24. EDF; SEI. Forecast Balance Report on Production/Consumption Balance for Electricity in Corsica 2022; EDF Report; EDF: Paris, France, 2023. [Google Scholar]
  25. Mouillot, F.; Paradis, G.; Andrei-Ruiz, M.-C.; Quilichini, A. Corsica. In Mediterranean Island Landscapes: Natural and Cultural Approaches; Springer: Dordrecht, The Netherlands, 2008; pp. 220–244. [Google Scholar] [CrossRef]
  26. Burlando, M.; Antonelli, M.; Ratto, C.F. Mesoscale wind climate analysis: Identification of anemological regions and wind regimes. Int. J. Climatol. 2008, 28, 629–641. [Google Scholar] [CrossRef]
  27. Knerr, I.; Trachte, K.; Garel, E.; Huneau, F.; Santoni, S.; Bendix, J. Partitioning of Large-Scale and Local-Scale Precipitation Events by Means of Spatio-Temporal Precipitation Regimes on Corsica. Atmosphere 2020, 11, 417. [Google Scholar] [CrossRef]
  28. Krasovskaia, I.; Gottschalk, L.; Leblois, E. Signature of changing climate in river flow regimes of Rhône-Mediterranean-Corsica region. La Houille Blanche 2002, 88, 25–30. [Google Scholar] [CrossRef]
  29. Lozano, O.M.; Salis, M.; Ager, A.; Arca, B.; Alcasena, F.J.; Monteiro, A.T.; Finney, M.A.; Del Giudice, L.; Scoccimarro, E.; Spano, D. Assessing Climate Change Impacts on Wildfire Exposure in Mediterranean Areas. Risk Anal. 2017, 37, 1898–1916. [Google Scholar] [CrossRef]
  30. Lestienne, M.; Vannière, B.; Curt, T.; Jouffroy-Bapicot, I.; Hély, C. Climate-driven Mediterranean fire hazard assessments for 2020–2100 on the light of past millennial variability. Clim. Chang. 2022, 170, 14. [Google Scholar] [CrossRef]
  31. Garbolino, E.; Sanseverino-Godfrin, V.; Hinojos-Mendoza, G. Describing and predicting of the vegetation development of Corsica due to expected climate change and its impact on forest fire risk evolution. Saf. Sci. 2016, 88, 180–186. [Google Scholar] [CrossRef]
  32. Lionello, P.; Scarascia, L. The relation between climate change in the Mediterranean region and global warming. Reg. Environ. Chang. 2018, 18, 1481–1493. [Google Scholar] [CrossRef]
  33. Cos, J.; Doblas-Reyes, F.; Jury, M.; Marcos, R.; Bretonnière, P.-A.; Samsó, M. The Mediterranean climate change hotspot in the CMIP5 and CMIP6 projections. Earth Syst. Dynam. 2022, 13, 321–340. [Google Scholar] [CrossRef]
  34. Majumder, P.; Ray, P.P. A systematic review and meta-analysis on correlation of weather with COVID-19. Sci. Rep. 2021, 11, 10746. [Google Scholar] [CrossRef]
  35. Battista, G.; de Lieto Vollaro, R. Correlation between air pollution and weather data in urban areas: Assessment of the city of Rome (Italy) as spatially and temporally independent regarding pollutants. Atmos. Environ. 2017, 165, 240–247. [Google Scholar] [CrossRef]
  36. Modoni, G.E.; Tosi, D. Correlation of Weather and Moods of the Italy Residents through an Analysis of Their Tweets. In Proceedings of the 2016 IEEE 4th International Conference on Future Internet of Things and Cloud Workshops (FiCloudW), Vienna, Austria, 22–24 August 2016; pp. 216–219. [Google Scholar] [CrossRef]
  37. Guan, L.; Yang, J.; Bell, J. M: Cross-correlations between weather variables in Australia. Build. Environ. 2007, 42, 1054–1070. [Google Scholar] [CrossRef]
  38. Berg, P.; Haerter, J.O.; Thejll, P.; Piani, C.; Hagemann, S.; Christensen, J.H. Seasonal characteristics of the relationship between daily precipitation intensity and surface temperature. J. Geophys. Res. Atmos. 2009, 114, 1–9. [Google Scholar] [CrossRef]
  39. Nefzger, M.D.; Drasgow, J. The needless assumption of normality in Pearson’s r. Am. Psychol. 1957, 12, 623–625. [Google Scholar] [CrossRef]
  40. Hubbard, R. The Probable Consequences of Violating the Normality Assumption in Parametric Statistical Analysis. Area 1978, 10, 393–398. Available online: http://www.jstor.org/stable/20001404 (accessed on 1 August 2023).
  41. Havlicek, L.L.; Peterson, N.L. Effect of the violation of assumptions upon significance levels of the Pearson r. Psychol. Bull. 1977, 84, 373–377. [Google Scholar] [CrossRef]
  42. Akoglu, H. User’s guide to correlation coefficients. Turk. J. Emerg. Med. 2018, 18, 91–93. [Google Scholar] [CrossRef]
  43. NASA Langley Research Center (LaRC) POWER Project The POWER Project. Available online: https://power.larc.nasa.gov/ (accessed on 1 August 2023).
  44. Troccoli, A.; Goodess, C.; Jones, P.; Penny, L.; Dorling, S.; Harpham, C.; Dubus, L.; Parey, S.; Claudel, S.; Khong, D.-H.; et al. Creating a proof-of-concept climate service to assess future renewable energy mixes in Europe: An overview of the C3S ECEM project. Adv. Sci. Res. 2018, 15, 191–205. [Google Scholar] [CrossRef]
  45. Samuelsson, P.; Gollvik, S.; Kupiainen, M.; Kourzeneva, E.; van de Berg, W.J. The Surface Processes of the Rossby Centre Regional Atmospheric Climate Model (RCA4); SMHI: Norrköping, Sweden, 2015. [Google Scholar]
  46. Collins, W.J.; Bellouin, N.; Doutriaux-Boucher, M.; Gedney, N.; Hinton, T.; Jones, C.D.; Liddicoat, S.; Martin, G.; O’Connor, F.; Rae, J.; et al. Evaluation of the HadGEM2 Model; Met Office: Exeter, UK, 2008. [Google Scholar]
  47. van Meijgaard, E.; Van Ulft, L.H.; Van de Berg, W.J.; Bosveld, F.C.; Van den Hurk, B.J.J.M.; Lenderink, G.; Siebesma, A.P. The KNMI Regional Atmospheric Climate Model RACMO; Version 2.1; KNMI: De Bilt, The Netherlands, 2008. [Google Scholar]
  48. Hazeleger, W.; Severijns, C.; Semmler, T.; Ştefănescu, S.; Yang, S.; Wang, X.; Wyser, K.; Dutra, E.; Baldasano, J.M.; Bintanja, R.; et al. EC-Earth: A Seamless Earth-System Prediction Approach in Action. Bull. Am. Meteorol. Soc. 2010, 91, 1357–1364. Available online: http://www.jstor.org/stable/26233022 (accessed on 1 August 2023). [CrossRef]
  49. NCAR—Mesoscale & Microscale Meteorology Laboratory Weather Research & Forecasting Model (WRF). Available online: https://www.mmm.ucar.edu/models/wrf (accessed on 1 October 2023).
  50. Dufresne, J.-L.; Foujols, M.-A.; Denvil, S.; Caubel, A.; Marti, O.; Aumont, O.; Balkanski, Y.; Bekki, S.; Bellenger, H.; Benshila, R.; et al. Climate change projections using the IPSL-CM5 Earth System Model: From CMIP3 to CMIP5. Clim. Dyn. 2013, 40, 2123–2165. [Google Scholar] [CrossRef]
  51. Kreienkamp, F.; Huebener, H.; Linke, C.; Spekat, A. Good practice for the usage of climate model simulation results—A discussion paper. Environ. Syst. Res. 2012, 1, 9. [Google Scholar] [CrossRef]
  52. Benestad, R.; Buonomo, E.; Manuel Gutiérrez, J.; Haensler, A.; Hennemuth, B.; Illy, T.; Jacob, D.; Keup-Thiel, E.; Kotlarski, S.; Nikulin, G.; et al. Guidance for EURO-CORDEX Climate Projections Data Use (Version1.1). EURO-CORDEX Community. 2021. Available online: https://www.euro-cordex.net/060374/index.php.en (accessed on 1 August 2023).
Figure 1. Annual hydraulic production from 2012 to 2021.
Figure 1. Annual hydraulic production from 2012 to 2021.
Sustainability 15 15357 g001
Figure 2. Projections for the Corsican power system: (a) annual average electricity demand; (b) average peak power; (c) installed hydropower capacity; (d) installed NP-RES capacity.
Figure 2. Projections for the Corsican power system: (a) annual average electricity demand; (b) average peak power; (c) installed hydropower capacity; (d) installed NP-RES capacity.
Sustainability 15 15357 g002
Figure 3. Map of the selected study locations.
Figure 3. Map of the selected study locations.
Sustainability 15 15357 g003
Figure 4. Historical trends of atmospheric variables: (a) comparison of annual precipitation amounts; (b) comparison of annual average hourly RH values; (c) comparison of hourly average temperatures on an annual basis; (d) comparison of annual average hourly wind speed values.
Figure 4. Historical trends of atmospheric variables: (a) comparison of annual precipitation amounts; (b) comparison of annual average hourly RH values; (c) comparison of hourly average temperatures on an annual basis; (d) comparison of annual average hourly wind speed values.
Sustainability 15 15357 g004
Figure 5. Historical trends of atmospheric variables: (a) comparison of winter precipitation amounts; (b) comparison of winter average hourly RH values; (c) comparison of winter hourly average temperature values; (d) comparison of winter average hourly wind speed values.
Figure 5. Historical trends of atmospheric variables: (a) comparison of winter precipitation amounts; (b) comparison of winter average hourly RH values; (c) comparison of winter hourly average temperature values; (d) comparison of winter average hourly wind speed values.
Sustainability 15 15357 g005
Figure 6. Historical trends of atmospheric variables: (a) comparison of summer precipitation amounts; (b) comparison of summer average hourly RH values; (c) comparison of summer hourly average temperature values; (d) comparison of summer average hourly wind speed values.
Figure 6. Historical trends of atmospheric variables: (a) comparison of summer precipitation amounts; (b) comparison of summer average hourly RH values; (c) comparison of summer hourly average temperature values; (d) comparison of summer average hourly wind speed values.
Sustainability 15 15357 g006
Figure 7. Trends of (a) percentage of annual hours with Pr below the winter climatic average; (a’) percentage of annual hours with Pr above the summer climatic average; (b) percentage of annual hours with RH below the winter climatic average; (b’) percentage of annual hours with RH above the summer climatic average; (c) percentage of annual hours with Ta below the winter climatic average; (c’) percentage of annual hours with Ta above the summer climatic average; (d) percentage of annual hours with v 10 below the winter climatic average; (d’) percentage of annual hours with v 10 above the summer climatic average.
Figure 7. Trends of (a) percentage of annual hours with Pr below the winter climatic average; (a’) percentage of annual hours with Pr above the summer climatic average; (b) percentage of annual hours with RH below the winter climatic average; (b’) percentage of annual hours with RH above the summer climatic average; (c) percentage of annual hours with Ta below the winter climatic average; (c’) percentage of annual hours with Ta above the summer climatic average; (d) percentage of annual hours with v 10 below the winter climatic average; (d’) percentage of annual hours with v 10 above the summer climatic average.
Sustainability 15 15357 g007
Figure 8. Historical trends of atmospheric quantities: (a) comparison of annual average daily DTR values; (b) comparison of annual average daily T min values; (c) comparison of annual average daily T max values.
Figure 8. Historical trends of atmospheric quantities: (a) comparison of annual average daily DTR values; (b) comparison of annual average daily T min values; (c) comparison of annual average daily T max values.
Sustainability 15 15357 g008aSustainability 15 15357 g008b
Figure 9. Historical trends of atmospheric quantities: (a) comparison of winter average daily DTR values; (b) comparison of winter average daily T min values; (c) comparison of winter average daily T max values.
Figure 9. Historical trends of atmospheric quantities: (a) comparison of winter average daily DTR values; (b) comparison of winter average daily T min values; (c) comparison of winter average daily T max values.
Sustainability 15 15357 g009aSustainability 15 15357 g009b
Figure 10. Historical trends of atmospheric quantities: (a) comparison of summer average daily DTR values; (b) comparison of summer average daily T min values; (c) comparison of summer average daily T max values.
Figure 10. Historical trends of atmospheric quantities: (a) comparison of summer average daily DTR values; (b) comparison of summer average daily T min values; (c) comparison of summer average daily T max values.
Sustainability 15 15357 g010
Figure 11. Boxplots of Pearson correlation coefficients obtained on an annual basis: (a); Ajaccio (b) Bastia; (c) Calvi; (d) Porto Vecchio.
Figure 11. Boxplots of Pearson correlation coefficients obtained on an annual basis: (a); Ajaccio (b) Bastia; (c) Calvi; (d) Porto Vecchio.
Sustainability 15 15357 g011
Figure 12. Boxplots of Pearson correlation coefficients obtained on a winter basis: (a) Ajaccio; (b) Bastia; (c) Calvi; (d) Porto Vecchio.
Figure 12. Boxplots of Pearson correlation coefficients obtained on a winter basis: (a) Ajaccio; (b) Bastia; (c) Calvi; (d) Porto Vecchio.
Sustainability 15 15357 g012
Figure 13. Boxplots of Pearson correlation coefficients obtained on a summer basis: (a) Ajaccio; (b) Bastia; (c) Calvi; (d) Porto Vecchio.
Figure 13. Boxplots of Pearson correlation coefficients obtained on a summer basis: (a) Ajaccio; (b) Bastia; (c) Calvi; (d) Porto Vecchio.
Sustainability 15 15357 g013aSustainability 15 15357 g013b
Figure 14. Statistical means and standard deviations of the Pearson correlation coefficients obtained: (a) comparison of the annual mean values of r; (a’) comparison of the standard deviations of the annual r values obtained; (b) comparison of the winter mean values of r; (b’) comparison of the standard deviations of the winter r values obtained; (c) comparison of the summer mean values of r; (c’) comparison of the standard deviations of the summer r values obtained.
Figure 14. Statistical means and standard deviations of the Pearson correlation coefficients obtained: (a) comparison of the annual mean values of r; (a’) comparison of the standard deviations of the annual r values obtained; (b) comparison of the winter mean values of r; (b’) comparison of the standard deviations of the winter r values obtained; (c) comparison of the summer mean values of r; (c’) comparison of the standard deviations of the summer r values obtained.
Sustainability 15 15357 g014
Figure 15. Comparison of the means and standard deviations of the obtained correlation coefficients: (a) annual means; (b) annual standard deviations.
Figure 15. Comparison of the means and standard deviations of the obtained correlation coefficients: (a) annual means; (b) annual standard deviations.
Sustainability 15 15357 g015
Figure 16. Comparison of the means and standard deviations of the obtained correlation coefficients: (a) winter means; (b) winter standard deviations.
Figure 16. Comparison of the means and standard deviations of the obtained correlation coefficients: (a) winter means; (b) winter standard deviations.
Sustainability 15 15357 g016
Figure 17. Comparison of the means and standard deviations of the obtained correlation coefficients: (a) summer means; (b) summer standard deviations.
Figure 17. Comparison of the means and standard deviations of the obtained correlation coefficients: (a) summer means; (b) summer standard deviations.
Sustainability 15 15357 g017
Figure 18. Projections of atmospheric variables: (a) annual precipitation in Corsica: 2002–2021 vs. 2029–2070; (b) annual relative humidity in Corsica: 2002–2021 vs. 2029–2070; (c) annual air temperature in Corsica: 2002–2021 vs. 2029–2070; (d) annual wind speed in Corsica: 2002–2021 vs. 2029–2070.
Figure 18. Projections of atmospheric variables: (a) annual precipitation in Corsica: 2002–2021 vs. 2029–2070; (b) annual relative humidity in Corsica: 2002–2021 vs. 2029–2070; (c) annual air temperature in Corsica: 2002–2021 vs. 2029–2070; (d) annual wind speed in Corsica: 2002–2021 vs. 2029–2070.
Sustainability 15 15357 g018
Figure 19. Projections of atmospheric variables: (a) winter precipitation in Corsica: 2002–2021 vs. 2029–2070; (b) winter relative humidity in Corsica: 2002–2021 vs. 2029–2070; (c) winter air temperature in Corsica: 2002–2021 vs. 2029–2070; (d) winter wind speed in Corsica: 2002–2021 vs. 2029–2070.
Figure 19. Projections of atmospheric variables: (a) winter precipitation in Corsica: 2002–2021 vs. 2029–2070; (b) winter relative humidity in Corsica: 2002–2021 vs. 2029–2070; (c) winter air temperature in Corsica: 2002–2021 vs. 2029–2070; (d) winter wind speed in Corsica: 2002–2021 vs. 2029–2070.
Sustainability 15 15357 g019
Figure 20. Projections of atmospheric variables: (a) summer precipitation in Corsica: 2002–2021 vs. 2029–2070; (b) summer relative humidity in Corsica: 2002–2021 vs. 2029–2070; (c) summer air temperature in Corsica: 2002–2021 vs. 2029–2070; (d) summer wind speed in Corsica: 2002–2021 vs. 2029–2070.
Figure 20. Projections of atmospheric variables: (a) summer precipitation in Corsica: 2002–2021 vs. 2029–2070; (b) summer relative humidity in Corsica: 2002–2021 vs. 2029–2070; (c) summer air temperature in Corsica: 2002–2021 vs. 2029–2070; (d) summer wind speed in Corsica: 2002–2021 vs. 2029–2070.
Sustainability 15 15357 g020
Table 1. Demand management actions for the years from 2019 to 2021 [24].
Table 1. Demand management actions for the years from 2019 to 2021 [24].
Energy Demand Management (GWh)201920202021
Individual solar water heaters0.10.10.0
Domestic hot water2.20.71.1
Installation of insulation in the residential sector3.94.67.1
Installation of efficient heating systems in the residential sector3.83.45.7
Installation of insulation in the tertiary sector0.60.10.7
Installation of efficient air conditioners in the professional market0.00.00.0
Renovation of public lighting1.81.73.0
Total annual savings achieved by the actions of the year10.68.914.6
Total annual savings achieved through the cumulative actions since 201910.619.534.1
Disclaimer/Publisher’s Note: The statements, opinions and data contained in all publications are solely those of the individual author(s) and contributor(s) and not of MDPI and/or the editor(s). MDPI and/or the editor(s) disclaim responsibility for any injury to people or property resulting from any ideas, methods, instructions or products referred to in the content.

Share and Cite

MDPI and ACS Style

Nicolosi, C.F.; Tina, G.M.; Faggianelli, G.A.; Notton, G. A Climatological Survey of Corsica for Power System Analyses. Sustainability 2023, 15, 15357. https://doi.org/10.3390/su152115357

AMA Style

Nicolosi CF, Tina GM, Faggianelli GA, Notton G. A Climatological Survey of Corsica for Power System Analyses. Sustainability. 2023; 15(21):15357. https://doi.org/10.3390/su152115357

Chicago/Turabian Style

Nicolosi, Claudio Francesco, Giuseppe Marco Tina, Ghjuvan Antone Faggianelli, and Gilles Notton. 2023. "A Climatological Survey of Corsica for Power System Analyses" Sustainability 15, no. 21: 15357. https://doi.org/10.3390/su152115357

APA Style

Nicolosi, C. F., Tina, G. M., Faggianelli, G. A., & Notton, G. (2023). A Climatological Survey of Corsica for Power System Analyses. Sustainability, 15(21), 15357. https://doi.org/10.3390/su152115357

Note that from the first issue of 2016, this journal uses article numbers instead of page numbers. See further details here.

Article Metrics

Back to TopTop