Solid and Liquid Phases of Anaerobic Digestate for Sustainable Use of Agricultural Soil
Abstract
1. Introduction
2. Materials and Methods
2.1. Study Area
2.2. Digestate Sampling and Analysis Methods
2.3. Soil Sampling and Analysis Methods
2.4. Climatic and Meteorological Conditions
2.5. Statistical Analysis
3. Results and discussion
3.1. Analysis of Variance for Soil Characteristics
3.2. Comparison of Chemical Composition of Liquid and Solid Phases of Digestate
3.3. Changes in Soil Moisture Content during the Field Experiment
3.4. Soil Organic Carbon (SOC)
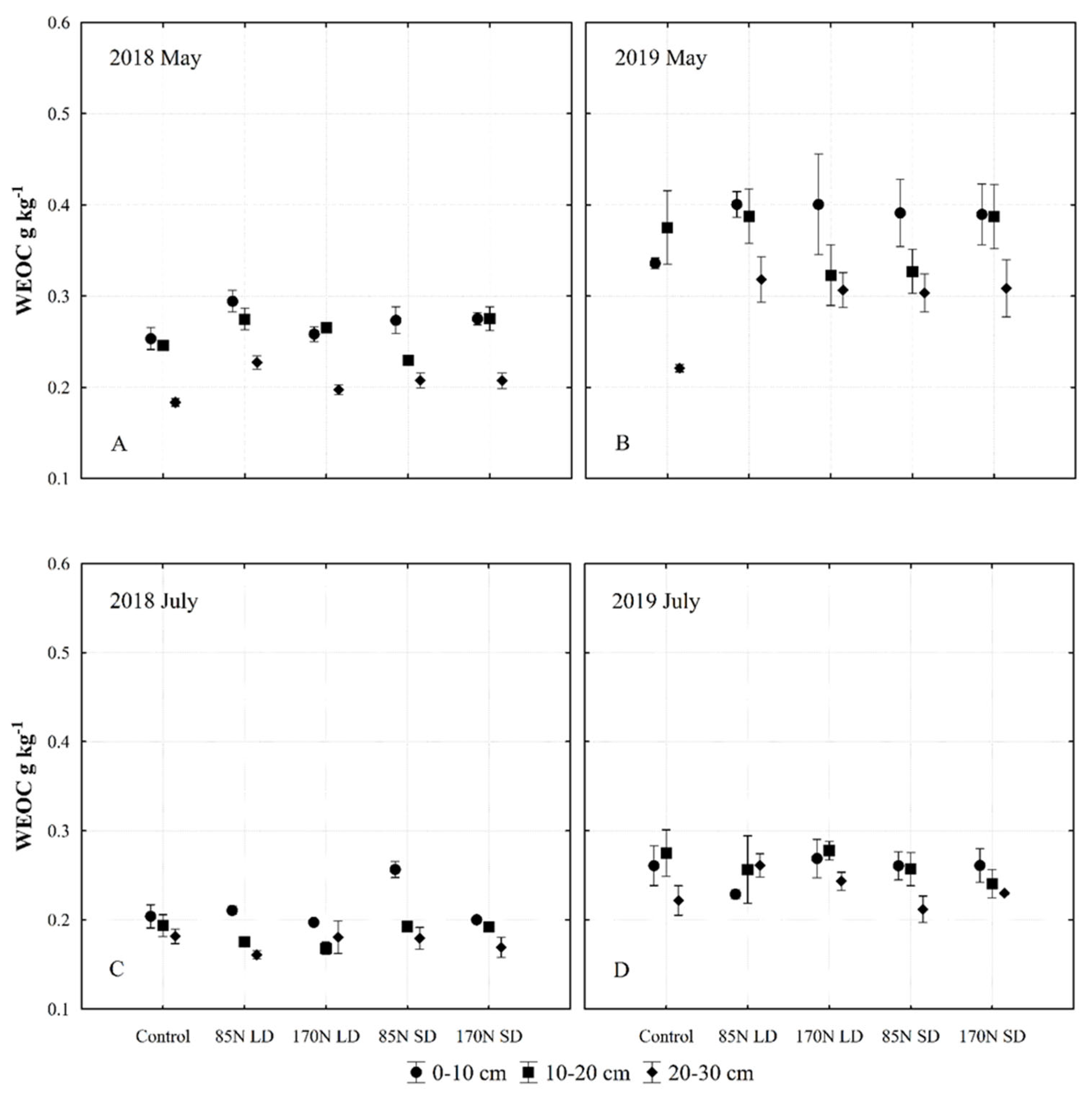
3.5. Water Extractable Organic Carbon (WEOC)
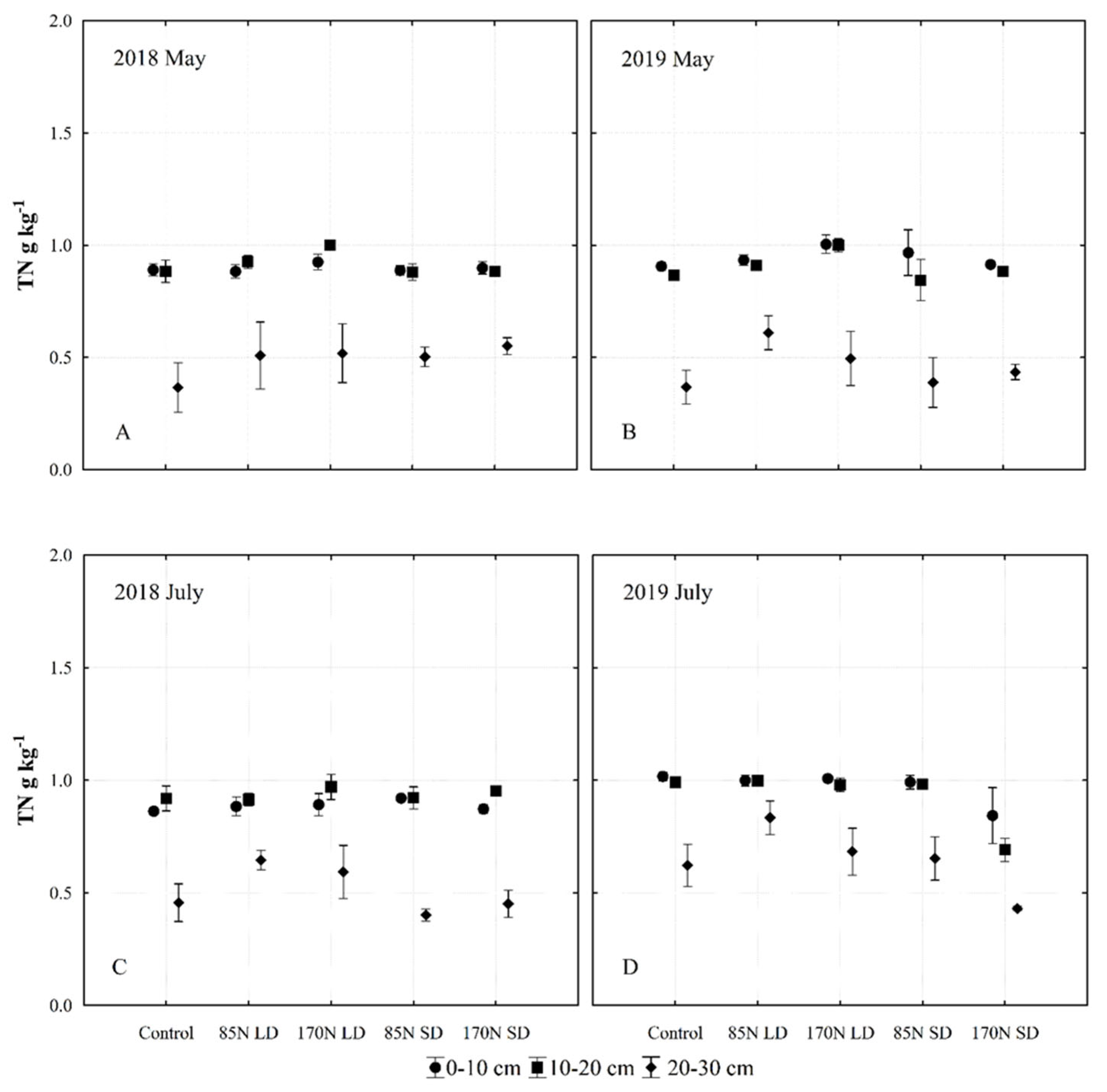
3.6. Total Nitrogen (TN)
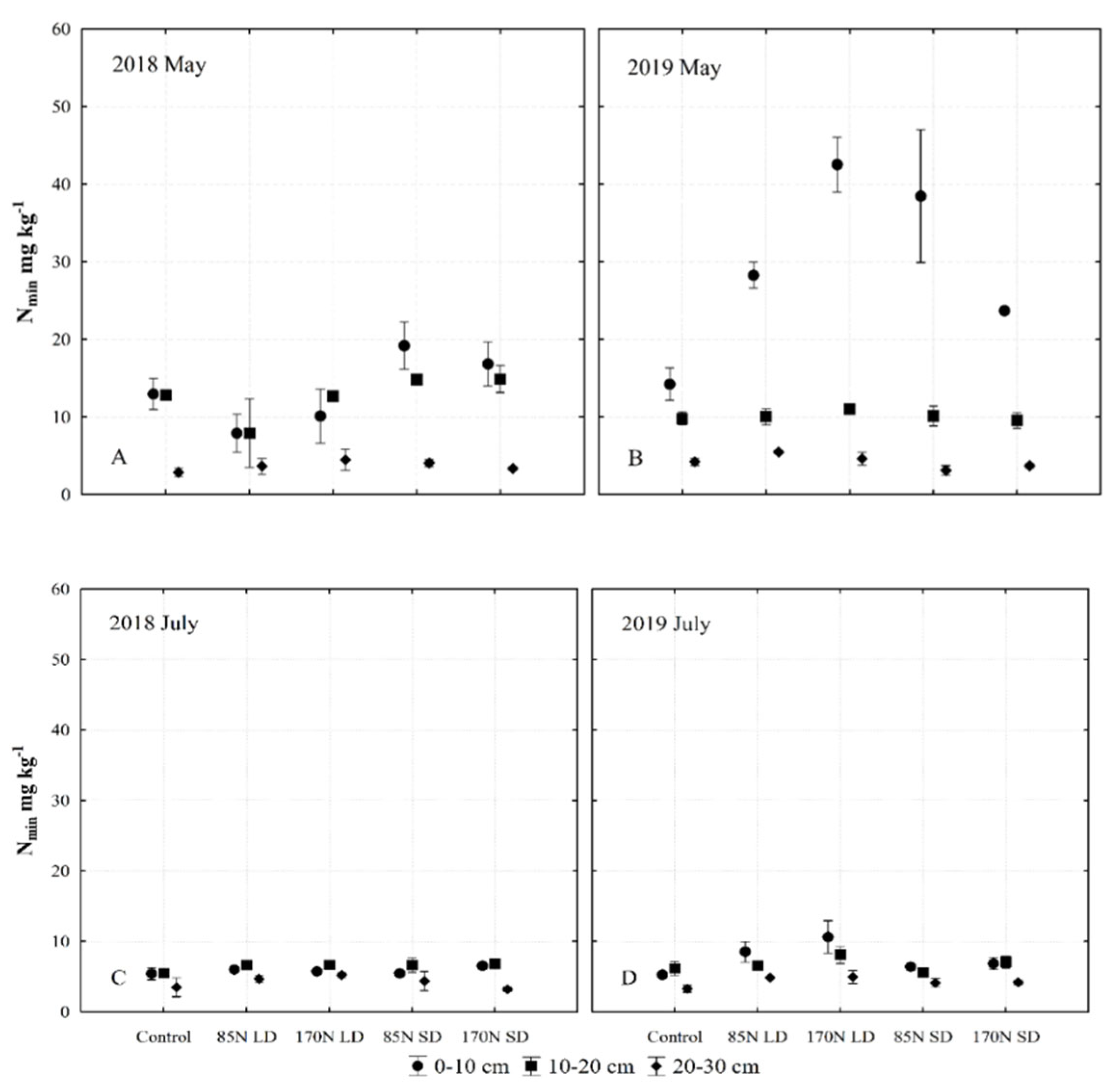
3.7. Mineral Nitrogen (Nmin)
3.8. Soil Ammonium Nitrogen (N-NH4)
3.9. Soil Nitrate Nitrogen (N-NO3)
3.10. Digestate Recycling for the Utilization of Agricultural Waste Resources and Increasing Sustainability
4. Conclusions
Author Contributions
Funding
Institutional Review Board Statement
Informed Consent Statement
Data Availability Statement
Acknowledgments
Conflicts of Interest
References
- European Commission. Communication from the Commission to the Council, the European Parliament, the European Economic and Social Committee and the Committee of the Regions—Thematic Strategy for Soil Protection (COM (2006) 231 Final); European Commission: Brussels, Belgium, 2006. [Google Scholar]
- Comission of The European Communities. Report from the Commission to the European Parliament, the Council, the European Economic and Social Committee and the Committee of the Regions—The Implementation of the Soil Thematic Strategy and Ongoing Activities. (COM (2012) 46 Final); Comission of The European Communities: Brussels, Belgium, 2012. [Google Scholar]
- European Parliament. Directive 2006/12/EC of the European Parliament and of the Council of 5 April 2006 on Waste. 2006, 49, pp. 9–21. Available online: https://www.eea.europa.eu/policy-documents/2006-12-ec (accessed on 5 October 2021).
- Bermejo Domínguez, G. Agro-Ecological Aspects When Applying the Remaining Products from Agricultural Biogas Processes as Fertilizer in Crop Production. Ph.D. Thesis, Humboldt-Universitaet, Berlin, Germany, 2012; p. 116. [Google Scholar] [CrossRef]
- Fuchs, J.G.; Schleiss, K. Effects of compost and digestate on environment and plant production—Results of two research projects. In Proceedings of the Conference ORBIT 2008, Wageningen, The Netherlands, 13–16 October 2008; ISBN 3-935974-19-1 (CD). [Google Scholar]
- Makádi, M.; Tomócsik, A.; Orosz, V. Digestate: A new nutrient source—Review. In Biogas; Kumar, S., Ed.; IntechOpen: London, UK, 2012; pp. 295–310. [Google Scholar] [CrossRef]
- Kirchmann, H.; Lundvall, A. Relationship between N immobilization and volatile fatty acids in soil after application of pig and cattle slurry. Biol. Fert. Soils 1993, 15, 161–164. [Google Scholar] [CrossRef]
- Marcato, C.E.; Mohtar, R.; Revel, J.C.; Pouech, P.; Hafidi, M.; Guiresse, M. Impact of anaerobic digestion on organic matter quality in pig slurry. Int. Biodeter. Biodegrad. 2009, 63, 260–266. [Google Scholar] [CrossRef]
- Plaza, C.C.; García-Gil, J.C.; Polo, A. Microbial activity in pig slurry-amended soils under aerobic incubation. Biodegradation 2007, 18, 159–165. [Google Scholar] [CrossRef] [PubMed]
- Alrefai, R.; Benyounis, K.Y.; Stokes, J. Integration approach of anaerobic digestion and fermentation process towards producing biogas and bioethanol with zero waste: Technical. J. Fundam. Renew. Energy Appl. 2017, 7, 243. [Google Scholar] [CrossRef]
- Akhiar, A. Characterization of Liquid Fraction of Digestates after Solid-Liquid Separation from Anaerobic Co-Digestion Plants. Ph.D. Thesis, Chemical and Process Engineering Université Montpellier, Montpellier, France, 2017. (English, NNT:2017MONTS004). [Google Scholar]
- Ghani, A.; Dexter, M.; Perrott, K.W. Hot-water extractable carbon in soils: A sensitive measurement for determining impacts of fertilisation, grazing and cultivation. Soil Biol. Biochem. 2003, 35, 1231–1243. [Google Scholar] [CrossRef]
- Jankauskas, B.; Jankauskienė, G.; Fullen, M.A. Relationships between soil organic matter content and soil erosion severity in Albeluvisols of the Žemaičiai Uplands. Ekologija 2007, 53, 21–28. [Google Scholar]
- Dong, W.; Zhang, X.; Wang, H.; Dai, X.; Sun, X.; Qiu, W. Effect of different fertilizer application on the soil fertility of paddy soils in red soil region of Southern China. PLoS ONE 2012, 7, e44504. [Google Scholar] [CrossRef]
- Goberna, M.; Podmirseg, S.M.; Waldhuber, S.; Knapp, B.A.; García, C.; Insam, H. Pathogenic bacteria and mineral N in soils following the land spreading of biogas digestates and fresh manure. Appl. Soil Ecol. 2011, 49, 18–25. [Google Scholar] [CrossRef]
- Kolář, L.; Kužel, S.; Peterka, J.; Štindl, P.; Plát, V. Agrochemical value of organic matter of fermenter wastes in biogas production. Plant Soil Environ. 2008, 54, 321–328. [Google Scholar] [CrossRef]
- Lošák, T.; Zatloukalová, A.; Szostková, M.; Hlušek, J.; Fryč, J.; Vítěz, T. Comparison of the effectiveness of digestate and mineral fertilisers on yields and quality of kohlrabi (Brassica oleracea, L.). Acta Univ. Agric. Silvic. Mendel. Brun. 2011, 59, 117–122. [Google Scholar] [CrossRef]
- Teglia, C.; Tremier, A.; Martel, J.L. Characterization of solid digestates: Part 1, Review of existing indicators to assess solid digestates agricultural use. Waste Biomass Valorization 2011, 2, 43–58. [Google Scholar] [CrossRef]
- Chiyoka, W.L.; Zvomuya, F.; Hao, X. A bioassay of nitrogen availability in soils amended with solid digestate from anaerobically digested beef cattle feedlot manure. Soil Sci. Soc. Am. J. 2014, 78, 1291. [Google Scholar] [CrossRef]
- Lu, J.; Xu, S. Post-treatment of food waste digestate towards land application: A review. J. Clean. Prod. 2021, 303, 127033. [Google Scholar] [CrossRef]
- Risberg, K.; Cederlund, H.; Pell, M.; Arthurson, V.; Schnürer, A. Comparative characterization of digestate versus pig slurry and cow manure—Chemical composition and effects on soil microbial activity. Waste Manag. 2017, 261, 529–538. [Google Scholar] [CrossRef]
- Tambone, F.; Genevini, P.; D’Imporzano, G.; Adani, F. Assessing amendment properties of digestate by studying the organic matter composition and the degree of biological stability during the anaerobic digestion of the organic fraction of MSW. Bioresour. Technol. 2009, 100, 3140–3142. [Google Scholar] [CrossRef]
- Cristina, G.; Camelin, E.; Tommasi, T.; Fino, D.; Pugliese, M. Anaerobic digestates from sewage sludge used as fertilizer on a poor alkaline sandy soil and on a peat substrate: Effects on tomato plants growth and on soil properties. J. Environ. Manag. 2020, 269, 110767. [Google Scholar] [CrossRef]
- Evans, G. Biowaste and Biological Waste Treatment, 1st ed; Routledge: London, UK, 2001. [Google Scholar] [CrossRef]
- Stinner, W.; Möller, K.; Leithold, G. Effects of biogas digestion of clover/grass leys, cover crops and crop residues on nitrogen cycle and crop yield in organic stockless farming systems. Eur. J. Agron. 2008, 29, 125–134. [Google Scholar] [CrossRef]
- Makádi, M.; Szegi, T.; Tomócsik, A.; Orosz, V.; Michéli, E.; Ferenczy, A.; Posta, K.; Biró, B. Impact of digestate application on chemical and microbiological properties of two different textured soils. Commun. Soil Sci. Plant Anal. 2016, 47, 167–178. [Google Scholar] [CrossRef]
- Alburquerque, J.A.; de la Fuente, C.; Campoy, M.; Carrasco, L.; Nájera, I.; Baixauli, C.; Caravaca, F.; Roldán, A.; Cegarra, J.; Bernal, M. Agricultural use of digestate for horticultural crop production and improvement of soil properties. Eur. J. Agron. 2012, 43, 119–128. [Google Scholar] [CrossRef]
- Arbačauskas, J.; Macevičienė, A.; Žičkienė, L.; Staugaitis, G. Mineral nitrogen in soils of Lithuania’s agricultural land: Comparison of oven-dried and field-moist samples. ZEMDIRBYSTE 2018, 105, 99–104. [Google Scholar] [CrossRef]
- Mayer, S.; Kölbl, A.; Völkel, J.; Kögel-Knabner, I. Organic matter in temperate cultivated floodplain soils: Light fractions highly contribute to subsoil organic carbon. Geoderma 2019, 337, 679–690. [Google Scholar] [CrossRef]
- Gajic, B. Physical properties and organic matter of Fluvisol under forest, grassland, and 100 years of conventional tillage. Geoderma 2013, 200, 114–119. [Google Scholar] [CrossRef]
- Gajic, B.A.; Kresovic, B.J.; Dragovic, S.D.; Sredojevic, Z.J.; Dragovic, R.M. Effect of land use change on the structure of Gleyic Fluvisols in Western Serbia. J. Agric. Sci. 2014, 59, 151–160. [Google Scholar] [CrossRef]
- Ilinkin, V.V.; Dimitrov, D.; Zhelev, P. Characteristics of Fluvisols in sand and gravel deposit ‘Kriva Bara’, Sofia, Bulgaria. Ecol. Eng. Environ. Prot. 2018, 1, 58–65. [Google Scholar] [CrossRef]
- European Soil Bureau Network. Soil Atlas of Europe; Office of Official Publications: Luxembourg, 2005; p. 128. [Google Scholar]
- Hiederer, R. Distribution of Organic Carbon in Soil Profile Data; JRC Scientific and Technical Reports, EUR 23980 EN; Office for Official Publications of the European Communities: Luxembourg, 2009; p. 126. [Google Scholar]
- Qi, R.; Li, J.; Lin, Z.; Li, Z.; Li, Y.; Yang, X.; Zhang, J.; Zhao, B. Temperature effects on soil organic carbon, soil labile organic carbon fractions, and soil enzyme activities under long-term fertilization regimes. Appl. Soil Ecol. 2016, 102, 36–45. [Google Scholar] [CrossRef]
- Wang, D.; Felice, M.L.; Scow, K.M. Impacts and interactions of biochar and biosolids on agricultural soil microbial communities during dry and wet-dry cycles. Appl. Soil Ecol. 2020, 152, 103570. [Google Scholar] [CrossRef]
- Slepetiene, A.; Volungevicius, J.; Jurgutis, L.; Liaudanskiene, I.; Amaleviciute-Volunge, K.; Slepetys, J.; Ceseviciene, J. The potential of digestate as a biofertilizer in eroded soils of Lithuania. Waste Manag. 2020, 102, 441–451. [Google Scholar] [CrossRef]
- Nabel, M.; Tempotron Vicky, M.; Poorter, H.; Lücke, A.; Jablonowski, D.N. Energizing marginal soils—The establishment of the energy crop Sida hermaphrodita as dependent on digestate fertilization, NPK, and legume intercropping. Biomass Bioenergy 2016, 87, 9–16. [Google Scholar] [CrossRef]
- Hagman, L.; Blumenthal, A.; Eklund, M.; Svensson, N. The role of biogas solutions in sustainable biorefineries. J. Clean. Prod. 2018, 172, 3982–3989. [Google Scholar] [CrossRef]
- Czekała, W.; Lewicki, A.; Pochwatka, P.; Czekała, A.; Wojcieszak, D.; Jóźwiakowski, K.; Waliszewska, H. Digestate management in polish farms as an element of the nutrient cycle. J. Clean. Prod. 2020, 242, 118454. [Google Scholar] [CrossRef]
- Fuchs, W.; Drosg, B. Assessment of the state of the art of technologies for the processing of digestate residue from anaerobic digesters. Water Sci. Technol. 2013, 67, 1984–1993. [Google Scholar] [CrossRef] [PubMed]
- Group WRB. World Reference Base for Soil Resources 2014, update 2015. In International Soil Classification System for Naming Soils and Creating Legends for Soil Maps; World Soil Resources Reports No. 106; FAO: Rome, Italy, 2015; 193p. [Google Scholar]
- Jankauskas, B.; Jankauskiene, G.; Slepetiene, A.; Fullen, M.A.; Booth, C.A. International Comparison of Analytical Methods of Determining the Soil Organic Matter Content of Lithuanian Eutric Albeluvisols. Commun. Soil Sci. Plant Anal. 2006, 37, 707–720. [Google Scholar] [CrossRef]
- Möller, K.; Mülle, T. Effects of anaerobic digestion on digestate nutrient availability and crop growth: A review. Eng. Life Sci. 2012, 12, 242–257. [Google Scholar] [CrossRef]
- Zirkler, D.; Peters, A.; Kaupenjohann, M. Elemental composition of biogas residues: Variability and alteration during anaerobic digestion. Biomass Bioenergy 2014, 67, 89–98. [Google Scholar] [CrossRef]
- Furukawa, Y.; Hasegawa, H. Response of spinach and komatsuna to biogas effluent made from source-separated kitchen garbage. J. Environ. Qual. 2006, 35, 1939–1947. [Google Scholar] [CrossRef]
- Kryvoruchko, V.; Machmüller, A.; Bodiroza, V.; Amon, B.; Amon, T. Anaerobic digestion of by-products of sugar beet and starch potato processing. Biomass Bioenergy 2009, 33, 620–627. [Google Scholar] [CrossRef]
- Šimanskaitė, D.; Feiza, V.; Lazauskas, S.; Feizienė, D.; Kadžienė, G. Soil tillage systems impact on hydrophysical properties of gleyic Cambisol. ZEMDIRBYSTE 2009, 96, 23–38. [Google Scholar]
- Singh, B.P.; Setia, R.; Wiesmeier, M.; Kunhikrishnan, A. Agricultural Management Practices and Soil Organic Carbon Storage; Brajesh, K.S., Ed.; Soil Carbon Storage; Academic Press: Cambridge, MA, USA, 2018; pp. 207–244. [Google Scholar] [CrossRef]
- Šlepetienė, A.; Kadžiulienė, Ž.; Feizienė, D.; Liaudanskienė, I.; Amalevičiūtė-Volungė, K.; Šlepetys, J.; Skersienė, A.; Velykis, A.; Armolaitis, K. The distribution of organic carbon, its forms and macroelements in agricultural soils. Zemdirbyste 2020, 107, 291–300. [Google Scholar] [CrossRef]
- Mayer, S.; Schwindt, D.; Steffens, M.; Völkel, J.; Kögel-Knabner, I. Drivers of organic carbon allocation in a temperate slope-floodplain catena under agricultural use. Geoderma 2018, 327, 63–72. [Google Scholar] [CrossRef]
- Barlóg, P.; Hlisnikovský, L.; Kunzova, E. Effect of digestate on soil organic carbon and plant-available nutrient content compared to cattle slurry and mineral fertilization. Agronomy 2020, 10, 379–389. [Google Scholar] [CrossRef]
- Möller, K. Effects of anaerobic digestion on soil carbon and nitrogen turnover, N emissions, and soil biological activity. A review. Agron. Sustain. Dev. 2015, 35, 1021–1041. [Google Scholar] [CrossRef]
- Zhang, M.; He, Z.; Zhao, A.; Zhang, H.; Dinku, M.E.; Schomberg, H.H. Water-extractable soil organic carbon and nitrogen affected by tillage and manure application. Soil Sci. 2011, 176, 307–312. [Google Scholar] [CrossRef]
- Monard, C.; Jeanneau, L.; Le Garrec, J.-L.; Le Bris, N.; Binet, F. Short-term effect of pig slurry and its digestate application on biochemical properties of soils and emissions of volatile organic compounds. Appl. Soil Ecol. 2020, 147, 103376. [Google Scholar] [CrossRef]
- Sogn, T.A.; Dragicevic, I.; Linjordet, R.; Krogstad, T.; Eijsink, V.G.H.; Eich-Greatorex, S. Recycling of biogas digestates in plant production: NPK fertilizer value and risk of leaching. Int. J. Recycl. Org. Waste Agric. 2018, 7, 49–58. [Google Scholar] [CrossRef]
- Staugaitis, G.; Vaisvila, Z.; Mazvila, J.; Arbaciauskas, J.; Adomaitis, T.; Fullen, M.A. Role of soil mineral nitrogen for agricultural crops: Nitrogen nutrition diagnostics in Lithuania. Arch. Agron. Soil Sci. 2007, 53, 263–271. [Google Scholar] [CrossRef]
- Román, F.; Adolph, J.; Hensel, O. Hydrothermal treatment of biogas digestate as a pretreatment to reduce fouling in membrane filtration. Bioresour. Technol. Rep. 2021, 13, 100638. [Google Scholar] [CrossRef]
- Drosg, B.; Fuchs, W.; Al Seadi, T.; Madsen, M.; Linke, B. Nutrient recovery by biogas digestate processing. In IEA Bioenergy. 2015. Available online: https://www.iea-biogas.net/files/daten-redaktion/download/TechnicalBrochures/NUTRIENT_RECOVERY_RZ_web1.pdf (accessed on 12 November 2021).
- Svehla, P.; Vargas Caceres, L.M.; Michal, P.; Tlustos, P. Thermal thickening of nitrified liquid phase of digestate for production of concentrated complex fertiliser and high-quality technological water. J. Environ. Manag. 2020, 276, 111250. [Google Scholar] [CrossRef]
- Amine Charfi, A.; Kim, S.; Yoon, Y.; Cho, J. Optimal cleaning strategy to alleviate fouling in membrane distillation process to treat anaerobic digestate. Chemosphere 2021, 279, 130524. [Google Scholar] [CrossRef]










| Soil Layer, cm | pH | SOC | TN | TP | TK | N-NH4 | N-NO3 |
|---|---|---|---|---|---|---|---|
| g kg−1 | mg kg−1 | ||||||
| 0–10 | 6.25 | 14.4 | 1.03 | 0.69 | 3.87 | 3.06 | 3.37 |
| 10–20 | 6.41 | 12.4 | 1.14 | 0.64 | 4.06 | 4.92 | 5.67 |
| 20–30 | 6.64 | 11.7 | 1.03 | 0.61 | 3.96 | 1.53 | 4.86 |
| 30–60 | 6.81 | 2.5 | 0.41 | 0.49 | 4.36 | 0.00 | 1.93 |
| 60–90 | 7.39 | 1.0 | 0.28 | 0.45 | 4.11 | 0.00 | 5.17 |
| Month | Decade | Average Temperature, °C | Total Precipitation, mm | ||||
|---|---|---|---|---|---|---|---|
| 2018 | 2019 | 1924–2019 | 2018 | 2019 | 1924–2019 | ||
| April | I | 7.6 | 5.8 | 38.2 | 0.0 | ||
| II | 11.0 | 6.7 | 4.8 | 0.0 | |||
| III | 11.3 | 14.2 | 9.1 | 0.0 | |||
| I–III | 9.9 | 8.9 | 6.0 | 52.1 | 0.0 | 37.2 | |
| May | I | 15.4 | 8.6 | 9.8 | 8.0 | ||
| II | 16.1 | 14.3 | 29.3 | 4.7 | |||
| III | 18.8 | 15.5 | 1.1 | 42.7 | |||
| I–III | 16.9 | 12.9 | 12.4 | 40.2 | 55.4 | 51.4 | |
| June | I | 17.0 | 19.9 | 2.7 | 0.1 | ||
| II | 18.8 | 21.9 | 7.0 | 16.0 | |||
| III | 16.7 | 20.0 | 24.4 | 0.0 | |||
| I–III | 17.5 | 20.6 | 15.8 | 34.1 | 16.1 | 61.2 | |
| July | I | 16.3 | 15.2 | 45.1 | 19.4 | ||
| II | 21.3 | 16.5 | 37.7 | 22.4 | |||
| III | 23.6 | 20.1 | 0.5 | 24.2 | |||
| I–III | 20.5 | 17.3 | 17.8 | 83.3 | 66.0 | 76.6 | |
| Factor | DF | F-Value of the Variance Source | ||||||
|---|---|---|---|---|---|---|---|---|
| Moisture | SOC | WEOC | TN | Nmin | N-NH4 | N-NO3 | ||
| Fertilization (F) | 4 | 6.05 ** | 1.72 | 1.91 | 6.95 ** | 4.62 ** | 2.79 * | 3.09 * |
| Layer (L) | 2 | 84.87 ** | 301.01 ** | 45.75 ** | 280.35 ** | 100.45 ** | 39.93 ** | 93.00 ** |
| Year (Y) | 1 | 1491.2 ** | 20.79 ** | 271.54 ** | 5.29 * | 21.95 ** | 38.44 ** | 0.02 |
| Sampling time (S) | 1 | 63.27 ** | 0.09 | 234.75 ** | 8.06 * | 125.88 ** | 27.37 ** | 157.08 ** |
| F × L | 8 | 1.62 | 2.40 * | 1.62 | 1.93 | 2.61 * | 2.39 * | 1.20 |
| F × Y | 4 | 4.24 ** | 0.62 | 0.81 | 2.96 * | 4.15 ** | 1.77 | 6.59 ** |
| F × S | 4 | 2.01 | 3.78 ** | 4.23 ** | 2.99 * | 2.76 * | 2.51 * | 2.79 * |
| L × Y | 2 | 50.35 ** | 0.67 | 1.00 | 2.25 | 29.59 ** | 28.63 ** | 9.20 ** |
| L × S | 2 | 37.05 ** | 6.84 ** | 9.73 ** | 3.44 * | 59.12 ** | 25.56 ** | 56.92 ** |
| Y × S | 1 | 4583.2 ** | 1.37 | 17.72 ** | 4.85 * | 12.15 ** | 6.52 * | 7.05 ** |
| F × L × Y | 8 | 0.49 | 0.65 | 1.02 | 0.20 | 3.32 ** | 2.39 * | 3.59 ** |
| F × L × S | 8 | 0.73 | 0.35 | 0.84 | 0.50 | 2.33 * | 2.33 * | 0.86 |
| F × Y × S | 4 | 14.74 ** | 0.46 | 0.88 | 1.52 | 2.37 | 2.02 | 5.17 ** |
| L × Y × S | 2 | 89.25 ** | 9.93 ** | 2.29 | 2.35 | 20.93 ** | 25.55 ** | 3.39 * |
| F × L × Y × S | 8 | 0.64 | 0.98 | 1.02 | 0.65 | 1.79 | 2.14 * | 1.99 |
| Characteristic | LD | SD | |||
|---|---|---|---|---|---|
| 2018 | 2019 | 2018 | 2019 | ||
| pH | 8.03 | 7.54 | 8.19 | 8.54 | |
| Dry matter (DM) | % | 2.32 | 1.45 | 28.4 | 26.5 |
| Organic matter (OM) | % DM | 67.2 | 66.1 | 88.0 | 87.1 |
| Total nitrogen (TKN) | % DM | 9.70 | 14.8 | 1.28 | 1.51 |
| N-NH4 share on TN | % | 47.5 | 61.4 | 3.88 | 4.09 |
| Total carbon (OC) | % DM | 42.7 | 35.2 | 52.4 | 50.1 |
| TC-to-TN ratio | 4.40 | 2.38 | 40.9 | 33.2 | |
| Total phosphorus (TP) | % DM | 2.44 | 1.66 | 0.71 | 1.31 |
| Total potassium (TK) | % DM | 5.78 | 9.24 | 0.44 | 0.63 |
| Soil Layer, cm | Control | 85N LD | 170N LD | 85N SD | 170N SD |
|---|---|---|---|---|---|
| 2018 | |||||
| 0–10 | 8.59 ± 1.30 | 7.83 ± 1.51 | 7.69 ± 1.73 | 8.84 ± 1.70 | 8.99 ± 1.86 |
| 10–20 | 8.37 ± 1.59 | 8.04 ± 1.80 | 8.04 ± 1.79 | 8.65 ± 1.78 | 8.89 ± 2.02 |
| 20–30 | 6.38 ± 0.70 | 6.27 ± 1.13 | 6.95 ± 0.97 | 7.25 ± 1.26 | 7.35 ± 1.51 |
| 2019 | |||||
| 0–10 | 4.08 ± 0.77 | 3.56 ± 0.83 | 3.78 ± 0.86 | 3.72 ± 0.83 | 3.70 ± 0.96 |
| 10–20 | 5.32 ± 1.45 | 5.48 ± 1.51 | 5.34 ± 1.51 | 5.69 ± 1.70 | 5.44 ± 1.81 |
| Moisture, % | SOC, g kg−1 | WEOC, g kg−1 | TN, g kg−1 | Nmin, mg kg−1 | N-NH4, mg kg−1 | N-NO3, mg kg−1 | ||||||||
|---|---|---|---|---|---|---|---|---|---|---|---|---|---|---|
| Mean | ±SE | Mean | ±SE | Mean | ±SE | Mean | ±SE | Mean | ±SE | Mean | ±SE | Mean | ±SE | |
| Fertilization | ||||||||||||||
| Control | 6.10 a | 0.55 | 8.62 a | 0.21 | 0.246 a | 0.011 | 0.762 ab | 0.041 | 7.17 a | 0.72 | 1.75 a | 0.15 | 5.41 ab | 0.64 |
| 85N LD | 5.91 a | 0.58 | 9.33 ab | 0.54 | 0.266 a | 0.013 | 0.837 b | 0.029 | 8.37 ab | 1.13 | 2.99 b | 0.65 | 5.38 a | 0.60 |
| 170N LD | 6.03 a | 0.59 | 9.30 b | 0.38 | 0.257 a | 0.012 | 0.839 b | 0.038 | 10.55 b | 1.74 | 3.68 b | 0.94 | 6.87 b | 0.89 |
| 85N SD | 6.41 a | 0.64 | 9.05 ab | 0.46 | 0.258 a | 0.011 | 0.778 ab | 0.040 | 10.19 b | 1.91 | 3.79 b | 1.45 | 6.41 ab | 0.81 |
| 170N SD | 6.45 a | 0.71 | 9.21 ab | 0.51 | 0.261 a | 0.012 | 0.734 a | 0.036 | 8.89 ab | 1.07 | 2.72 b | 0.53 | 6.17 ab | 0.77 |
| Soil layer | ||||||||||||||
| 0–10 cm | 6.08 ab | 0.49 | 11.03 b | 0.51 | 0.281 b | 0.009 | 0.925 a | 0.011 | 14.05 c | 1.56 | 5.71 c | 1.06 | 8.33 c | 0.73 |
| 10–20 cm | 6.93 b | 0.53 | 10.61 b | 0.17 | 0.266 b | 0.009 | 0.920 a | 0.012 | 8.96 b | 0.45 | 2.15 b | 0.11 | 6.82 b | 0.45 |
| 20–30 cm | 5.54 a | 0.37 | 5.67 a | 0.11 | 0.226 a | 0.007 | 0.526 b | 0.022 | 4.09 a | 0.16 | 1.09 a | 0.10 | 3.00 a | 0.16 |
| Year | ||||||||||||||
| 2018 | 7.88 b | 0.38 | 8.65 a | 0.28 | 0.218 a | 0.004 | 0.772 a | 0.023 | 7.69 a | 0.52 | 1.62 a | 0.09 | 6.07 a | 0.48 |
| 2019 | 4.49 a | 0.30 | 9.55 b | 0.30 | 0.298 b | 0.007 | 0.808 a | 0.024 | 10.38 b | 1.11 | 4.36 b | 0.74 | 6.02 a | 0.47 |
| Sampling time | ||||||||||||||
| May | 5.83 a | 0.19 | 9.07 a | 0.30 | 0.295 b | 0.008 | 0.768 a | 0.025 | 12.25 b | 1.13 | 4.14 b | 0.74 | 8.11 b | 0.58 |
| July | 6.53 b | 0.51 | 9.13 a | 0.35 | 0.220 a | 0.004 | 0.813 a | 0.022 | 5.82 a | 0.21 | 1.83 a | 0.13 | 3.99 a | 0.14 |
Disclaimer/Publisher’s Note: The statements, opinions and data contained in all publications are solely those of the individual author(s) and contributor(s) and not of MDPI and/or the editor(s). MDPI and/or the editor(s) disclaim responsibility for any injury to people or property resulting from any ideas, methods, instructions or products referred to in the content. |
© 2023 by the authors. Licensee MDPI, Basel, Switzerland. This article is an open access article distributed under the terms and conditions of the Creative Commons Attribution (CC BY) license (https://creativecommons.org/licenses/by/4.0/).
Share and Cite
Slepetiene, A.; Ceseviciene, J.; Amaleviciute-Volunge, K.; Mankeviciene, A.; Parasotas, I.; Skersiene, A.; Jurgutis, L.; Volungevicius, J.; Veteikis, D.; Mockeviciene, I. Solid and Liquid Phases of Anaerobic Digestate for Sustainable Use of Agricultural Soil. Sustainability 2023, 15, 1345. https://doi.org/10.3390/su15021345
Slepetiene A, Ceseviciene J, Amaleviciute-Volunge K, Mankeviciene A, Parasotas I, Skersiene A, Jurgutis L, Volungevicius J, Veteikis D, Mockeviciene I. Solid and Liquid Phases of Anaerobic Digestate for Sustainable Use of Agricultural Soil. Sustainability. 2023; 15(2):1345. https://doi.org/10.3390/su15021345
Chicago/Turabian StyleSlepetiene, Alvyra, Jurgita Ceseviciene, Kristina Amaleviciute-Volunge, Audrone Mankeviciene, Irmantas Parasotas, Aida Skersiene, Linas Jurgutis, Jonas Volungevicius, Darijus Veteikis, and Ieva Mockeviciene. 2023. "Solid and Liquid Phases of Anaerobic Digestate for Sustainable Use of Agricultural Soil" Sustainability 15, no. 2: 1345. https://doi.org/10.3390/su15021345
APA StyleSlepetiene, A., Ceseviciene, J., Amaleviciute-Volunge, K., Mankeviciene, A., Parasotas, I., Skersiene, A., Jurgutis, L., Volungevicius, J., Veteikis, D., & Mockeviciene, I. (2023). Solid and Liquid Phases of Anaerobic Digestate for Sustainable Use of Agricultural Soil. Sustainability, 15(2), 1345. https://doi.org/10.3390/su15021345

