Next Article in Journal
Renewable Energy Sources and Energy Production: A Bibliometric Analysis of the Last Five Years
Previous Article in Journal
Investigation of Factors Associated with Heavy Vehicle Crashes in Iran (Tehran–Qazvin Freeway)
 
 
Font Type:
Arial Georgia Verdana
Font Size:
Aa Aa Aa
Line Spacing:
Column Width:
Background:
Article

The Effect of Rectifier Baffles on the Flow Regime of 180° Turning Pools in Vertical Slot Fishways

1
College of Water & Architectural Engineering, Shihezi University, Shihezi 832003, China
2
State Key Laboratory of Simulation and Regulation of Water Cycle in River Basin, China Institute of Water Resources and Hydropower Research, Beijing 100038, China
3
Key Laboratory of Cold and Arid Regions Eco-Hydraulic Engineering of Xinjiang Production & Construction Corps, Shihezi 832003, China
4
Science and Technology Research Institute, China Three Gorges Corporation, Beijing 100038, China
5
Yangtze River Eco-Environmental Engineering Research Center, China Three Gorges Corporation, Beijing 100038, China
6
School of Civil Engineering, Tianjin University, Tianjin 300072, China
*
Authors to whom correspondence should be addressed.
Sustainability 2023, 15(13), 10498; https://doi.org/10.3390/su151310498
Submission received: 17 April 2023 / Revised: 28 June 2023 / Accepted: 30 June 2023 / Published: 4 July 2023

Abstract

To imitate the constraints of topographic conditions, turning pools with different angles, such as 90° and 180°, are set in fish passage arrangements. If the mainstream in the turning pool is close to the wall and the recirculation zone is too large, it will have an adverse effect on fish migration. Taking the 180° turning pool as an example, five types of arrangements without and with additional rectifier baffles are proposed to optimize the body shape of the turning pool. A three-dimensional numerical simulation method is used to compare and analyze the different arrangement schemes. The results show that adding rectifier baffles can adjust the flow structure in the 180° turning pool. The arrangement adding rectifier baffles at the two three-equidistant points of the 180° turning pool and tilting 15° inward outperforms others in this study. This arrangement can center the mainstream, reduce turbulent kinetic energy, significantly decrease the flow velocity along the course, downscale the recirculation zone, and decrease the overall flow velocity.

1. Introduction

The construction of dams and other barrage hydraulic structures has caused a certain degree of damage to river ecology while meeting the needs of social development [1,2,3,4,5]. The original continuity of the river is blocked by hydraulic engineering, which seriously threatens the reproduction of migratory fish [6]. In this context, the fishway becomes an important facility to mitigate the effects of river fragmentation and restore river connectivity, and it plays an important role in ensuring the free migration of fish and improving the ecological environment [7,8,9,10,11,12].
The vertical slot fishway is one of the widely used fishway types in China and other countries, with the advantages of a stable flow pattern, strong adaptability to water level changes, and a high efficiency of fish passage [13,14,15,16]. The vertical slot fishway is composed of regular pools connected in sequence, forming a linear staircase, and its hydraulic characteristics are almost independent of changes in flow or depth [17]. The hydraulic characteristics such as flow velocity, flow pattern, and turbulent kinetic energy in the fishway should be focused on when designing and constructing fishways [18]. With the increasing application of vertical slot fishways, research on their local hydraulic characteristics has gradually expanded [19,20].
To imitate the topographic conditions, the fish passage arrangement generally sets up turning pools with different angles, such as 90° and 180° [21,22,23,24]. The turning pool can minimize the water flow energy between the turning pool and the conventional pool, provide resting space for fish, and save space to make the fishway compact [25]. Thiem et al. [22] found that fish took a significantly longer time to migrate through turns than in structures such as conventional pool chambers. A study by White et al. [23] on the Murray River, Australia, found that fish appeared to have difficulty in completing their migration through the turning pool. Marriner et al. [26] used the Vianney-Legendre vertical slot fishway in Quebec, Canada, to evaluate the hydraulic characteristics of the turning pool of seven types of fishways. They found that the turning pool had the highest passage failure rate, and large vortices in the center of the turning section were a great disadvantage for fish upstreaming. The efficiency of fish passage can be improved by reducing the size of the recirculation zone of the turning pool. Li et al. [27,28] conducted controlled fishway experiments in the vertical slot fishway, and found that the mainstream centering was more conducive to fish passage. In order to improve the unfavorable flow pattern in the 180° turning pool in the vertical slot fishway, Bian et al. [29] added rectifier baffles into the turning pool and performed 3D numerical simulations. It was found that the mainstream moved to the center, and the scale of the recirculation zone was reduced by installing the rectifier baffle. The above studies have shown that adding vertical rectifier baffles in the 180° turning section can improve the flow pattern in the turning pool to a certain extent, thus enhancing the passage efficiency of the fishway.
However, the existing research on flow improvement in 180° turning pools still has problems such as poor improvement effects and complicated body shape improvement [22,26]. For this reason, an idea of adding rectifier baffles and changing the angle of the rectifier baffle to adjust the flow pattern in a 180° turning pool of a vertical slot fishway was proposed in this study. A total of five groups of experiments were designed. The flow field, turbulent kinetic energy distribution, and hydraulic characteristics of the mainstream zone and recirculation zone of the five designs were analyzed using 3D numerical simulation [28,30,31]. The variation law of the parameters of each improved body type was derived, and then a reasonable design was determined; this then provides guidance for the arrangement and optimization of a 180° turning pool in a vertical slot fishway in the actual project.

2. Research Methodology

2.1. Mathematical Model

Considering the rapid change of flow direction and the complex flow field in the 180° turning pool, a commercial CFD solver [32] was used to perform a 3D numerical simulation of the fluid. The finite element volume method and the standard k-ε turbulence model were used to solve the three-dimensional Navier–Stokes equations. The VOF method was used to capture the free water surface, and was combined with the pressure–velocity-coupling SIMPLE algorithm for calculation [33,34].
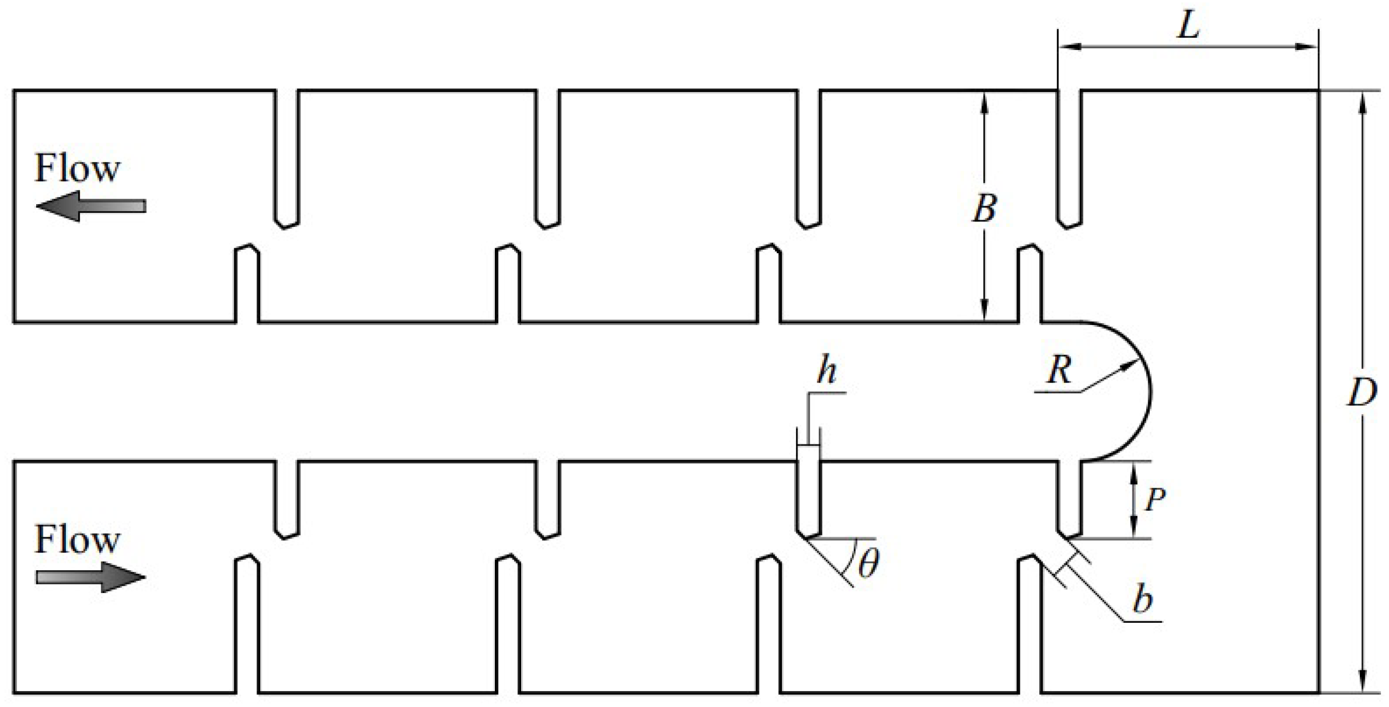
In order to avoid the influence of the inlet and outlet water flow conditions on the hydraulic characteristics of the turning pool, three conventional pool chambers were set up upstream and downstream, respectively, in the turning pool. Combined with the actual project, the bottom slope of the conventional pool was set to J, and the bottom slope of the turning pool was 0%. The plane diagram of the calculation area is shown in Figure 1, and the detailed dimensions of the conventional pool chamber and the turning pool are shown in Table 1.
To improve the hydraulic characteristics of the 180° turning pool in the vertical slot fishway, rectifier baffles were added at the two three-equidistant points of the outer sidewalls of the turning pool, and their angles were adjusted. The dimension of the rectifier guide baffle is a key factor affecting the flow structure in the turning pool. Previous studies have revealed that when the ratio of the baffle length to the pool width is in the range of 0.20 to 0.25, the flow pattern in the fishway is more suitable for fish upstreaming [31]. Based on this, a ratio of 0.25 was selected as the basic parameter for further research work. The added rectifier baffle was 0.5 m long and 0.2 m wide, and the diameter of the semicircular arc pier head was 0.2 m. The 1/3 position of the outer sidewall is named P1, and the 2/3 position is named P2, as shown in Figure 2b. The flow structure was simulated under five designs, among which design I was the untreated turning pool, and the rest of the designs were equipped with additional rectifier baffles with adjusted angles. The specifics of the rectifier baffle for each design are shown in Table 2 and Figure 2.

2.2. Computational Grid

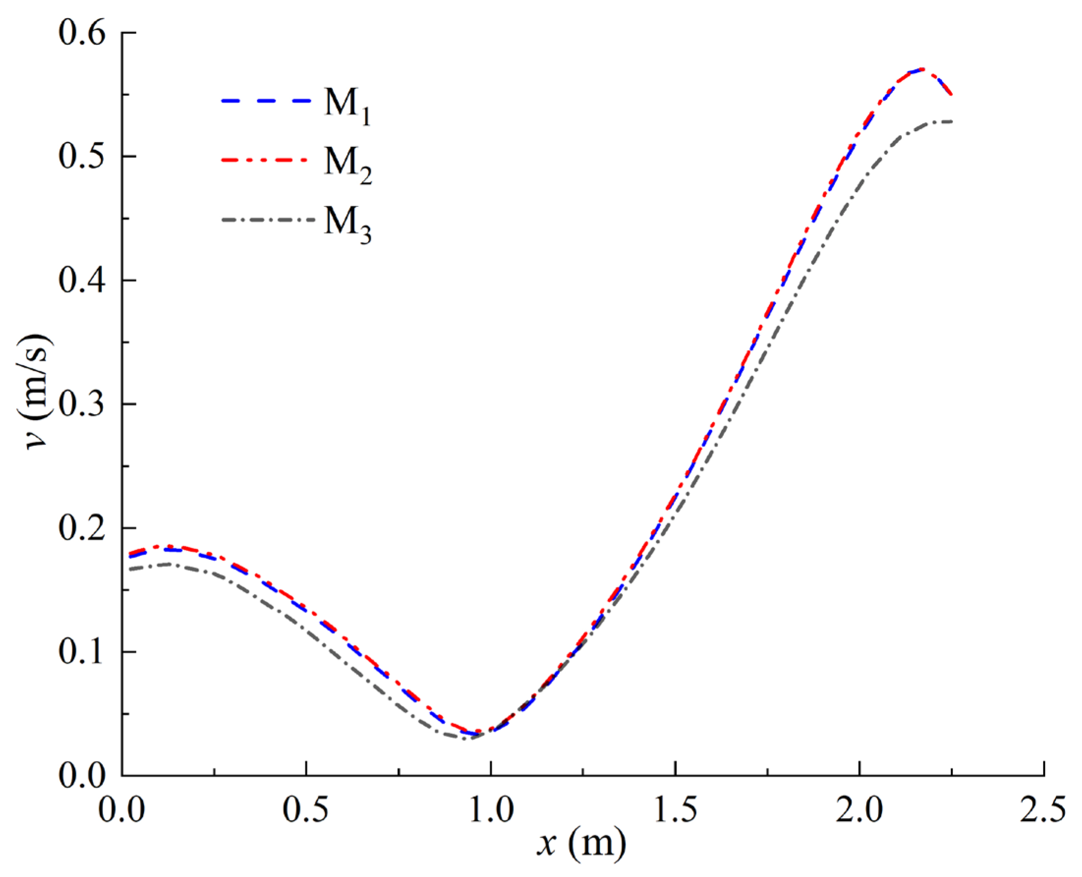
The computational domain was divided by hexahedral grids, and the grid size ranged from 0.02 to 0.05 m. The grid size in the pool and water depth direction was 0.05 m. Considering the complicated local structural flow in the fishway, the simulation accuracy needs to be improved to ensure the correctness of simulation results. Thus, the grids at the vertical seam and the turning pool were locally refined, and the total number of grid elements in the computational domain was about 1.75 million. In this experiment, three grid sizes within the pool and in the water depth direction, namely M1, M2, and M3, were tested to verify the grid independence, as shown in Table 3. With regard to the flow velocity distribution of a longitudinal section downstream of the turning pool, its calculation results under three different grid sizes are shown in Figure 3. Comparing the results of M1, M2, and M3, it is obvious that the calculation results of M1 and M2 grids are almost the same, and the error between the results is less than 0.96%; the M2 and M3 grids’ calculation results have certain errors, and the maximum error is greater than 9%. In addition, the one-way analysis of variance (one-way ANOVA) using SPSS 26.0 [35] indicated there were no significant differences between the results of the two finest grids (M1 and M2, p-value = 0.987). This suggests that M2 is consistent with the mesh independence. Considering the balance of computational accuracy and computational time, M2 was chosen as the grid size in this study.

2.3. Boundary and Initial Conditions

The upstream flow inlet of the model was set as the pressure inlet, and the downstream flow outlet was set as the pressure outlet. The water depth condition was set as both import and export, with the water depth value H0 = 2.00 m. The top was set as the pressure inlet with a pressure of 1.01 × 105 Pa. The bottom surface and sidewalls of the fishway were set as no-slip wall surfaces, and the standard wall function was selected for simulation. Given the initial water depth h0 = 2.00 m, the turbulent kinetic energy k = 1 × 10−5 m2/s2, and the turbulent kinetic energy dissipation rate ε = 1 × 10−5 m2/s3.

2.4. Model Validation

In order to verify the correctness of the numerical simulation results, a physical model test was conducted to verify the 3D numerical simulation results. The physical model was built in the Hydrodynamics Laboratory of the China Institute of Water Resources and Hydropower Research, Beijing. The geometry scale of the fish passage arrangement model is Lr = 5, and the model consists of six conventional pool chambers and one turning pool, including three conventional pool chambers upstream and three downstream, as shown in Figure 4a. The slope of the conventional pool chamber in the physical model is J = 2%, and the slope of the turning pool is 0%. The center of the turning pier head is rotated counterclockwise, and one section is taken every 15°, making a total of 13 sections. In addition, measurement points are arranged in the model pool chamber, as shown in Figure 4b. The upstream water level was controlled using a flat flume in the reservoir, and the downstream water level was controlled using a rectifier baffle. A three-dimensional Doppler velocimeter (ADV) was adopted to measure the flow velocity at the measuring point in the pool. Prior to data collection, preliminary testing was carried out to determine the frequency and time required for the convergence of the measured values (i.e., the average of each velocity component and of the turbulent kinetic energy) [36]. It was found that sufficient convergence (<1.0%) was achieved with measurements lasting 60 s at 25 Hz. Therefore, the sampling frequency and time were chosen to be 25 Hz and 60 s for each measurement point, respectively. A cutoff when correlation was at 0.7 and phase-space threshold despiking were used as filters [37,38]. The flow velocity calculation results of Section 7 (in Figure 4) were taken as a typical to compare with the measured results, with the turning pier head as the origin and the outer sidewall direction as the positive direction of the X axis. The comparison results are shown in Figure 5a. In addition, the maximum flow velocity Vt at each longitudinal section in the model test and the maximum flow velocity Vn at each section in the numerical simulation were used as the horizontal and vertical coordinates, respectively, to compare the measured and simulated values, as shown in Figure 5b. The results show that the simulated results of Section 7 are basically consistent with the measured results, and the error is less than 9%. The coordinate of (Vt, Vn) is close to the 45° reference line, indicating that the measured values are consistent with the simulated values. The error is less than 8%, which meets the requirements of research accuracy. Therefore, the numerical simulation method used in this study is considered accurate and credible, and can better simulate and calculate the internal water flow structure of the turning pool.

3. Results and Analysis

The fish passage rate in the turning pool is one of the important factors affecting the fishway efficiency, while the hydraulic conditions in the turning pool are directly related to the fish passage rate during the upstreaming process in the turning pool [26]. Water turbulence can easily cause local damage to fish’s bodies, or make the fish undulate and rotate, thus affecting the upstream behavior of fish [8,39], and the existence of the mainstream close to the wall and the large-scale recirculation zone causes the fish to stay in the turning pool [29]. Therefore, the distribution of the flow field and turbulent kinetic energy in the turning pool as well as the hydraulic characteristics of the mainstream zone and the recirculation zone are important references for the hydraulic conditions of the turning pool. In this study, the above four references were analyzed, and the simulation results of several designs were compared to evaluate the water flow conditions of each scheme.

3.1. Flow Distribution

The flow structure in the turning pool of the fishway is similar at different water depths, so the section of water depth h = 0.5 H0 was selected as the representative surface for analysis [23,29]. Since the vertical flow velocity is small, it is neglected in the analysis [34,40].
Analysis of Figure 6 shows that in Design I without an additional rectifier baffle, after the mainstream enters the turning pool from the upstream vertical seam, it flows to the outside of the wall, forming an obvious walling phenomenon. Then, it continues to the downstream exit of the turning pool. There is a large-scale recirculation zone on both sides of the mainstream. In Design II with additional vertical rectifier baffles and Design III with only baffle P2 tilted at an angle of “inward 15°”, the mainstream enters the pool chamber and turns to the downstream outlet along baffles P1 and P2, and the phenomenon of the mainstream being close to the wall between the two baffles P1 and P2 still exists, but it is significantly weaker than in Design I. Four recirculation zones are distributed at both sides of the mainstream. Only in Design IV with baffle P1 tilted at an angle of “inward 15°” and in Design V with two baffles tilted at an angle of “inward 15°”, the mainstream in the pool chamber is no longer close to the wall, and four recirculation zones were formed. Compared with Design I, the mainstream walling phenomenon in Designs II, III, and Designs IV, V was significantly reduced and disappeared, and the number of recirculation zones increased. Conclusively, the addition of rectifier baffles can effectively reduce the degree of mainstream walling and the division of large-scale recirculation zones, and reasonable adjustment of the angle of the additional rectifier baffle can prevent the occurrence of the mainstream walling phenomenon.

3.2. Turbulent Kinetic Energy Distribution

The water turbulence kinetic energy is also one of the key factors affecting the upstream movement of fish. The analysis of the distribution of turbulent kinetic energy in the turning pool can provide a reference for the optimization of the turning pool arrangement [41,42]. Water turbulence of different scales will cause different degrees of damage to fish, and large-scale turbulence can easily cause fish orientation disorder in the fishway and reduce swimming ability, thus affecting the upstream migration of fish [43,44]. A reasonable distribution of turbulent kinetic energy can both facilitate fish migration and provide a good resting space for fish. A previous study has indicated that most fish prefer to swim in a turbulent kinetic energy range of 0.02~0.04 m2/s2 [27,45].
Analysis of Figure 7 shows that in each design, the turbulent kinetic energy has a maximal value at the vertical seam, and generally decreases along the mainstream area. The turbulent kinetic energy in the upstream of the mainstream of the five designs ranges from 0.04 to 0.08 m2/s2. In contrast, the turbulent kinetic energy in the midstream and recirculation zone is below 0.04 m2/s2, indicating that the both areas belong to the low turbulent kinetic energy zone, which is conducive to the upstream movement of fish. The most widely distributed turbulent energy value in the Design I pool is 0.02~0.03 m2/s2, and is lower than 0.01 m2/s2 in Designs II, III, IV, and V, with Design V having the largest proportion of turbulent energy within the range of k ≤ 0.01 m2/s2. The turbulent energy in the downstream return area of Designs II, III, IV, and V’s turning pools is smaller than that in the same position in Design I. That is, in the turning pool, adding rectifier baffles and adjusting their angles can effectively reduce the overall turbulent energy in the pool, reduce the distribution of large-scale turbulent energy, and decrease the turbulent energy in the recirculation zone.

3.3. The Hydraulic Characteristics of the Mainstream Area

To further investigate the distribution of the mainstream along the turning pool in each scheme, 13 longitudinal sections were divided at the water depth of h = 0.5 H0, and the calculated results were analyzed. Specifically, the return water surface of the guide baffle at the upstream entrance of the turning pool was set as the initial Section 1, and along the counterclockwise direction of center of the turning pier head, one section was taken every 15° to the waterward surface of the bulkhead at the downstream exit; a total of 13 longitudinal sections were thusly obtained. The radius from the midpoint of Section 7 to the center of the pier head was used as the center reference line, the intersection point with Section 1 was used as the X axis origin, and the water flow direction was used as the positive direction, as shown in Figure 8a.
The velocity data were extracted from the numerical simulation results through the divided sections, and the maximum velocity and location information of each section were obtained from the velocity data. The maximum velocity of each section is denoted as vi(max) (i = 1, 2, …, 13), and its dimensionless form is vi(max)/u, where u is the maximum average velocity of the five designs’ vertical seams. The distance between the maximum velocity of each section and the semicircular pier head of the turning pool was recorded as yi(max) (i = 1, 2, …, 13), and its dimensionless form is yi(max)/d, where d is the radius difference between the center reference line and the pier head. The length of the center reference line is l, and the length of each longitudinal section along the center reference line from the origin is xi (i = 1, 2, …, 13), whose dimensionless form is xi/l. The simulation results of the maximum flow velocity trajectories yi(max)/d ~ xi/l and the maximum flow velocity distribution vi(max)/u ~ xi/l along the course in the five designs are shown in Figure 8b and Figure 8c, respectively.
When the value of yi(max)/d is within the range of 0.75~1.25, the mainstream is considered to be moving to the center of the pool. Analysis of Figure 8b shows that the trajectory of maximum flow velocity before and after adding the rectifier guide baffle is significantly different. The value of yi(max)/d in Design I is generally large, except at the inlet and outlet of the turning pool, and the mainstream is extremely close to walls. The values of yi(max)/d in Designs II and III range from 0.97 and 0.86 to 1.40 and 1.39, respectively,; the overall trend is increasing–decreasing–increasing, and the mainstream is slightly close to the wall in the middle of the turning pool. The values of yi(max)/d in Designs IV and V are in the ranges of 0.86~1.35 and 0.78~1.31, respectively; the trend is increasing–decreasing–increasing, there is no mainstream walling phenomenon, and the mainstream centering rates are 77% and 85%, respectively.
From Figure 8c, the difference in the trend of the maximum flow velocity value along the range before and after adding the rectifier baffle is more obvious. The value of vi(max) in Design I starts from 0.90, decreases to 0.49, and then increases to 0.6, decreases to 0.26, and then increases to 0.67; the values of vi(max) in Designs II~V all show a decreasing–increasing trend, and the decay rate of the maximum flow velocity is about 63~74%, as listed in Table 4.
Therefore, after adding the rectifier baffles on the outer sidewall of the 180° turning pool and reasonably adjusting their angles, the phenomenon of mainstream being close to the wall can be avoided, and the mainstream moves to the center of the pool. At the same time, the flow velocity of the mainstream is significantly attenuated, which minimizes the physical exertion of fish in the process of upstreaming, and facilitates the fish to go upstream [27].

3.4. The Hydraulic Characteristics of the Recirculation Zone

Recirculation zones of a suitable size can serve as a resting place for fish in the upstreaming process. Excessive velocity in the recirculation zone can easily cause fish to swim, and the aspect ratio of the recirculation zone affects the entry and exit of fish in the recirculation zone [26,29]. The number, area, maximum velocity, and aspect ratio of the recirculation zone were taken as the key hydraulic parameters of the recirculation zone for analysis. The shape of the recirculation zone is usually irregular, so the area of the recirculation zone was quantified using the product of its length and width. The length of the recirculation zone is denoted as c, and the width is denoted as k. Both length and width are dimensionless, that is, c/b and k/b, respectively (b is the width of the turning pool). The maximum flow velocity in the recirculation zone is denoted as Vmax, and its dimensionless form is Vmax/u [29]. The distribution and calculation results of the recirculation zone of each design scheme are shown in Figure 9 and Table 5.
It can be seen from Table 5 that before and after adding the rectifier baffle, the number of recirculation zones increases from 2 to 4. The maximum area of the recirculation zone is 0.63 in Design I, and 0.56, 0.50, 0.50, and 0.26 in Designs II, III, IV, and V, respectively, showing a decreasing trend. The range of the maximum velocity in the recirculation zones is 0.46 to 0.61 in Design I, 0.04~0.56 in Design II, 0.18~0.50 in Design III, 0.08~0.50 in Design IV, and 0.11~0.26 in Design V. The average value of the aspect ratio of the recirculation zone is 2.38 in Design I, and 2.15, 2.33, 2.66 and 2.45 in Designs II, III, IV, and V, respectively. In particular, the aspect ratio of each recirculation zone in Design V is greater than 2.00.
The results showed that adding rectifier baffles in the turning pool can increase the number of recirculation zones; adding rectifier baffles and adjusting their angles can effectively reduce the area and the maximum velocity of the recirculation zones, providing better resting places for fish. At the same time, adding rectifier baffles and adjusting their angles can cause the shape of each recirculation zone to be flat and oval, making it easier for fish to enter and exit the recirculation zones.

4. Discussion

The flow field, turbulent kinetic energy distribution, and hydraulic characteristics of the mainstream area and recirculation zone in the turning pool of the five different designs were investigated using three-dimensional numerical simulation. Adding rectifier baffles in the turning pool and adjusting their angles can achieve the effect of centering the mainstream inside the pool, significant attenuation of the mainstream velocity, an overall reduction in turbulent kinetic energy, and the scaling down of the recirculation zone. Compared with the arrangement scheme of Bian et al. [29], which adjusted the flow in the turning pool by setting guide baffles, the arrangement scheme in this study can not only center the mainstream and reduce the mainstream velocity, but also further optimize the flow structure in the turning pool. In this study, under the working conditions of Design V (i.e., the rectifier baffles P1 and P2 are tilted inward 15°), compared with the research results of Bian et al. [29], the mainstream is more centered, and the centering rate reaches 85%. The decrease in the maximum mainstream along the course is more obvious, and the decay rate reaches 74%; the reduction in the mainstream velocity in the pool is also more obvious, and the maximum velocity can be further reduced to 0.25 m/s. In addition, the rectifier baffle arrangement in Design V can further reduce the turbulent kinetic energy distribution in the turning pool. Compared with the results of Marriner et al. [26] for the same type of turning pool, the range of turbulent kinetic energy below 0.01 m2/s2 is significantly increased. Meanwhile, similar to the research results of Marriner et al. [26], the arrangement of rectifier baffles may divide the large-scale recirculation zone, reduce the size of the central recirculation zone, and increase the number of recirculation zones. Unlike the arrangement of Marriner et al. [26], which added a rectifier baffle in the middle of the pool chamber, Design V in this study can adjust the shape of each recirculation zone to a flattened oval, and the maximum velocity of the recirculation zone can be controlled in the range of 0.09~0.39 m/s. This can facilitate the entry and exit of fish in the recirculation zone, while reducing the maximum velocity of the recirculation zone, thereby providing a suitable resting environment for fish [46,47]. As we know, there are many recirculation zones existing in the fishway [29,31,48]. Regardless of the regular pool, resting pool, or turning pool, inflow water with a high sediment concentration will inevitably result in sedimentation issues in the recirculation zones. However, the inflow water at the entrance of the vertical slot fishway is from the upper layer of the reservoir, where the sediment content may be lower than the average sediment concentration in the reservoir. Therefore, the sedimentation issue due to the recirculation zones in the fishway is not significant; this can also be observed in the practical fishway project. By comparing the simulation results of the five designs, Design V has a more ideal water flow structure, avoiding the mainstream being close to the wall, with a more obvious decrease in the mainstream velocity along the course, and the distribution of turbulent kinetic energy is significantly lower. In other words, the recommended scheme of the current study on the rectifier baffle arrangement can further adjust the mainstream, mainly by changing the trajectory of the mainstream along the course, and the trend of flow velocity along the course.
On the basis of previous studies, several major hydraulic characteristics of the new 180° turning pool arrangement were analyzed, showing the superiority of the overall improvement effect. Adding rectifier baffles and adjusting the angle of the rectifier baffles can effectively improve the flow structure of the turning pool, while having the advantages of simple structure, low cost, and easy post-construction. In addition, there is room for improvement in the attenuation of the mainstream flow along the course, and the fish’s perception of the flow gradient is beneficial to control its upstream direction. The development of this study can, to a certain extent, provide a reference for the structural arrangement of the relevant turning pool, and guide the optimization of the 180° turning pool of the vertical slot fishway in the actual project.

5. Conclusions

In this study, a method of adding rectifier baffles to the 180° turning pool of a vertical slot fishway and adjusting their angles to improve the flow structure in the fishway was proposed. Three-dimensional numerical models were established to analyze the distribution of flow and turbulent kinetic energy in the turning pool, as well as the hydraulic characteristics of the mainstream area and recirculation zone in each working condition. The influence law was summarized and generalized, thereby obtaining a better solution for improving the flow structure. The conclusions of this study are as follows.
(1)
Adding rectifier baffles and adjusting the angle of the rectifier baffles in the turning pool can avoid the phenomenon of the mainstream being close to the wall, and can make the centering effect of the mainstream better. It can enhance the reduction in the mainstream velocity so that the fish can sense the change of velocity and pass the turning pool smoothly.
(2)
Adding rectifier baffles and adjusting the angles of the rectifier baffles in the turning pool can effectively reduce the overall turbulent kinetic energy in the pool, narrow the distribution of large-scale turbulent kinetic energy, and reduce the turbulent kinetic energy in the recirculation zone.
(3)
Adding rectifier baffles and adjusting the angles of the rectifier baffles in the turning pool can effectively increase the number of recirculation zones, reduce the area of the recirculation zones and the maximum velocity, cause the shape of each recirculation zone to be flat and oval, and provide favorable conditions for fish to move upward in the turning pool.
(4)
Through a comprehensive comparison of all the designs in this study, it is concluded that Design V, in which the rectifier baffles P1 and P2 are tilted inward by 15°, is the most rational scheme for the flow state improvement of the turning pool.
There is still room for improvement in the gradient change along the mainstream in the turning pool, and the addition of control groups with different flow rates and flow velocities can be considered for analysis. Both a fish-passing test and field monitoring on the basis of numerical simulation are necessary to optimize the body shape of the turning pool, and further research will be carried out hereafter, considering these two aspects.

Author Contributions

X.Y.: Conceptualization, Data curation, Formal analysis, Writing—original draft. T.Z.: Conceptualization, Writing—review and editing. J.J. and S.S.: Writing—review and editing, Supervision. H.D.: Resources, Project administration. L.D.: Resources, Validation. K.S.: Data curation. All authors have read and agreed to the published version of the manuscript.

Funding

The research in this paper was funded by the National Key Research and Development Program of China (No. 2022YFC3204203), the Xinjiang Production and Construction Corps “Strong Green” scientific and technological innovation talent plan (No. 2022CB002-05), and the Shihezi University High-level Talent Scientific Research Initiation Project (No. RCZK202025). The VSF design parameters in this study were offered by DG Hydropower Station.

Institutional Review Board Statement

Not applicable.

Informed Consent Statement

Not applicable.

Data Availability Statement

Data are contained within the article.

Conflicts of Interest

The authors declare no conflict of interest.

References

  1. Dudgeon, D.; Arthington, A.H.; Gessner, M.O.; Kawabata, Z.-I.; Knowler, D.J.; Lévêque, C.; Naiman, R.J.; Prieur-Richard, A.-H.; Soto, D.; Stiassny, M.L.J.; et al. Freshwater biodiversity: Importance, threats, status and conservation challenges. Biol. Rev. 2005, 81, 163–182. [Google Scholar] [CrossRef] [PubMed]
  2. Botelho, A.; Ferreira, P.; Lima, F.; Pinto, L.M.C.; Sousa, S. Assessment of the environmental impacts associated with hydropower. Renew. Sust. Energ. Rev. 2017, 70, 896–904. [Google Scholar] [CrossRef]
  3. Kuriqi, A.; Pinheiro, A.N.; Sordo-Ward, A.; Bejarano, M.D.; Garrote, L. Ecological impacts of run-of-river hydropower plants—Current status and future prospects on the brink of energy transition. Renew. Sust. Energ. Rev. 2021, 142, 110833. [Google Scholar] [CrossRef]
  4. Benejam, L.; Saura-Mas, S.; Bardina, M.; Solà, C.; Munné, A.; García-Berthou, E. Ecological impacts of small hydropower plants on headwater stream fish: From individual to community effects. Ecol. Freshw. Fish. 2014, 25, 295–306. [Google Scholar] [CrossRef]
  5. Zarfl, C.; Berlekamp, J.; He, F.; Jähnig, S.C.; Darwall, W.; Tockner, K. Future large hydropower dams impact global freshwater megafauna. Sci. Rep. 2019, 9, 10. [Google Scholar] [CrossRef]
  6. Williams, J.G.; Armstrong, G.; Katopodis, C.; Larinier, M.; Travade, F. Thinking like a fish: A key ingredient for development of effective fish passage facilities at river obstructions. River. Res. Appl. 2011, 28, 407–417. [Google Scholar] [CrossRef]
  7. Clay, C.H. Design of Fishways and Other Fish Facilities, 2nd ed.; CRC Press: Boca Raton, FL, USA, 1994. [Google Scholar]
  8. Santos, J.M.; Silva, A.; Katopodis, C.; Pinheiro, P.; Pinheiro, A.; Bochechas, J.; Ferreira, M.T. Ecohydraulics of pool-type fishways: Getting past the barriers. Ecol. Eng. 2012, 48, 38–50. [Google Scholar] [CrossRef]
  9. Branco, P.; Santos, J.M.; Katopodis, C.; Pinheiro, A.; Ferreira, M.T. Pool-Type Fishways: Two Different Morpho-Ecological Cyprinid Species Facing Plunging and Streaming Flows. PLoS ONE 2013, 8, e65089. [Google Scholar] [CrossRef]
  10. Silva, A.T.; Santos, J.M.; Ferreira, M.T.; Pinheiro, A.N.; Katopodis, C. Passage efficiency of offset and straight orifices for upstream movements of Iberian barbel in a pool-type fishway. River. Res. Appl. 2010, 28, 529–542. [Google Scholar] [CrossRef]
  11. Romão, F.; Quaresma, A.L.; Santos, J.M.; Branco, P.; Pinheiro, A.N. Cyprinid passage performance in an experimental multislot fishway across distinct seasons. Mar. Freshwater. Res. 2019, 70, 881–890. [Google Scholar] [CrossRef]
  12. Romão, F.; Quaresma, A.L.; Santos, J.M.; Amaral, S.D.; Branco, P.; Pinheiro, A.N. Multislot Fishway Improves Entrance Performance and Fish Transit Time over Vertical Slots. Water 2021, 13, 275. [Google Scholar] [CrossRef]
  13. Katopodis, C. Introduction to Fishway Design; Freshwater Institute, Central and Arctic Region, Department of Fisheries and Oceans: Winnipeg, MB, Canada, 1992; Unpublished Works. [Google Scholar]
  14. Silva, A.T.; Lucas, M.C.; Castro-Santos, T.; Katopodis, C.; Baumgartner, L.J.; Thiem, J.D.; Aarestrup, K.; Pompeu, P.S.; O’Brien, G.C.; Braun, D.C.; et al. The future of fish passage science, engineering, and practice. Fish Fish. 2017, 19, 340–362. [Google Scholar] [CrossRef]
  15. FAO; DVWK. Fish Passes: Design, Dimensions and Monitoring; FAO: Rome, Italiy, 2002. [Google Scholar]
  16. Valbuena-Castro, J.; Fuentes-Pérez, J.F.; García-Vega, A.; Bravo-Córdoba, F.J.; Ruiz-Legazpi, J.; Martínez de Azagra Paredes, A.; Sanz-Ronda, F.J. Coarse fishway assessment to prioritize retrofitting efforts: A case study in the Duero River basin. Ecol. Eng. 2020, 155, 105946. [Google Scholar] [CrossRef]
  17. Chorda, J.; Maubourguet, M.M.; Roux, H.; Larinier, M.; Tarrade, L.; David, L. Two-dimensional free surface flow numerical model for vertical slot fishways. J. Hydraul. Res. 2010, 48, 141–151. [Google Scholar] [CrossRef]
  18. Enders, E.C.; Boisclair, D.; Roy, A.G. The effect of turbulence on the cost of swimming for juvenile Atlantic salmon (Salmo salar). Can. J. Fish. Aquat. Sci. 2003, 60, 1149–1160. [Google Scholar] [CrossRef]
  19. Marriner, B.A.; Baki, A.B.M.; Zhu, D.Z.; Cooke, S.J.; Katopodis, C. The hydraulics of a vertical slot fishway: A case study on the multi-species Vianney-Legendre fishway in Quebec, Canada. Ecol. Eng. 2016, 90, 190–202. [Google Scholar] [CrossRef]
  20. Fuentes-Pérez, J.F.; Tuhtan, J.A.; Eckert, M.; Romão, F.; Ferreira, M.T.; Kruusmaa, M.; Branco, P. Hydraulics of Vertical-Slot Fishways: Nonuniform Profiles. J. Hydraul. Eng. 2019, 145, 06018020. [Google Scholar] [CrossRef]
  21. Pon, L.B.; Hinch, S.G.; Cooke, S.J.; Patterson, D.A.; Farrell, A.P. Physiological, energetic and behavioural correlates of successful fishway passage of adult sockeye salmon Oncorhynchus nerka in the Seton River, British Columbia. J. Fish. Biol. 2009, 74, 1323–1336. [Google Scholar] [CrossRef] [PubMed]
  22. Thiem, J.D.; Binder, T.R.; Dawson, J.W.; Dumon, P.; Cooke, S.J. Behaviour and passage success of upriver-migrating lake sturgeon Acipenser fulvescens in a vertical slot fishway on the Richelieu River, Quebec, Canada. Endanger. Species. Res. 2011, 15, 1–11. [Google Scholar] [CrossRef]
  23. White, L.J.; Harris, J.H.; Keller, R.J. Movement of three non-salmonid fish species through a low-gradient vertical-slot fishway. River. Res. Appl. 2011, 27, 499–510. [Google Scholar] [CrossRef]
  24. Bian, Y.H.; Sun, S.K.; Zhang, G.Q.; Zheng, T.G.; Qiang, L.V. Numerical simulation of flow in the 90° turn of a vertical slot fishway. J. Hydroecol. 2015, 1, 53–59. [Google Scholar] [CrossRef]
  25. Rajaratnam, N.; Katopodis, C.; Solanki, S. New designs for vertical slot fishways. Can. J. Civil. Eng. 1992, 19, 402–414. [Google Scholar] [CrossRef]
  26. Marriner, B.A.; Baki, A.B.M.; Zhu, D.Z.; Thiem, J.D.; Cooke, S.J.; Katopodis, C. Field and numerical assessment of turning pool hydraulics in a vertical slot fishway. Ecol. Eng. 2014, 63, 88–101. [Google Scholar] [CrossRef]
  27. Li, G.; Sun, S.; Zhang, C.; Liu, H.; Zheng, T. Evaluation of flow patterns in vertical slot fishways with different slot positions based on a comparison passage experiment for juvenile grass carp. Ecol. Eng. 2019, 133, 148–159. [Google Scholar] [CrossRef]
  28. Li, G.; Sun, S.; Liu, H.; Zheng, T. Schizothorax prenanti swimming behavior in response to different flow patterns in vertical slot fishways with different slot positions. Sci. Total. Environ. 2020, 754, 142142. [Google Scholar] [CrossRef]
  29. Bian, Y.H.; Sun, S.K.; Zheng, T.G.; Lu, Q. Study on hydraulic characteristic and improvement of flow in 180° turning pools for vertical slot fishways. J. Sichuan Univ. 2015, 47, 90–96. [Google Scholar] [CrossRef]
  30. Ahmadi, M.; Ghaderi, A.; MohammadNezhad, H.; Kuriqi, A.; Francesco, S.D. Numerical Investigation of Hydraulics in a Vertical Slot Fishway with Upgraded Configurations. Water 2021, 13, 23. [Google Scholar] [CrossRef]
  31. Zheng, T.; Niu, Z.; Sun, S.; Huang, W.; Tu, C.; Liu, H.; Li, G.; Wang, H. Optimizing fish-friendly flow pattern in vertical slot fishway based on fish swimming capability validation. Ecol. Eng. 2022, 185, 15. [Google Scholar] [CrossRef]
  32. ANSYS. Ansys Fluent Theory Guide, Release 2021R1; ANSYS Inc.: Canonsburg, PN, USA, 2021. [Google Scholar]
  33. Fuentes-Pérez, J.F.; Silva, A.T.; Tuhtan, J.A.; García-Vega, A.; Carbonell-Baeza, R.; Musall, M.; Kruusmaa, M. 3D modelling of non-uniform and turbulent flow in vertical slot fishways. Environ. Modell. Softw. 2018, 99, 156–169. [Google Scholar] [CrossRef]
  34. Stamou, A.I.; Mitsopoulos, G.; Rutschmann, P.; Bui, M.D. Verification of a 3D CFD model for vertical slot fish-passes. Environ. Fluid. Mech. 2018, 18, 1435–1461. [Google Scholar] [CrossRef]
  35. McDonald, J.H. Handbook of Biological Statistics, 3rd ed.; Sparky House Publishing: Baltimore, MD, USA, 2014. [Google Scholar]
  36. Bombač, M.; Novak, G.; Mlačnik, J.; Četina, M. Extensive field measurements of flow in vertical slot fishway as data for validation of numerical simulations. Ecol. Eng. 2015, 84, 476–484. [Google Scholar] [CrossRef]
  37. Wahl, T.L. Analysing Data using WinADV. In Proceedings of the Joint Conference on Water Resources Planning and Management, Minneapolis, MN, USA, 30 July–2 August 2000; 10p. [Google Scholar]
  38. Goring, D.; Nikora, V. Despiking acoustic Doppler velocimeter data. J. Hydraul. Eng. 2002, 128, 117–126. [Google Scholar] [CrossRef]
  39. Silva, A.T.; Katopodis, C.; Santos, J.M.; Ferreira, M.T.; Pinheiro, A.N. Cyprinid swimming behaviour in response to turbulent flow. Ecol. Eng. 2012, 44, 314–328. [Google Scholar] [CrossRef]
  40. Bombač, M.; Novak, G.; Rodič, P.; Četina, M. Numerical and physical model study of a vertical slot fishway. J. Hydrol. Hydromech. 2014, 62, 150–159. [Google Scholar] [CrossRef]
  41. Duguay, J.M.; Lacey, R.W.J. Numerical study of an innovative fish ladder design for perched culverts. Can. J. Civil. Eng. 2016, 43, 173–181. [Google Scholar] [CrossRef]
  42. Gao, Z.; Andersson, H.I.; Dai, H.; Jiang, F.; Zhao, L. A new Eulerian-Lagrangian agent method to model fish paths in a vertical slot fishway. Ecol. Eng. 2016, 88, 217–225. [Google Scholar] [CrossRef]
  43. Bombač, M.; Četina, M.; Novak, G. Study on flow characteristics in vertical slot fishways regarding slot layout optimization. Ecol. Eng. 2017, 107, 126–136. [Google Scholar] [CrossRef]
  44. Abbasi, S.; Fatemi, S.; Ghaderi, A.; Di Francesco, S. The Effect of Geometric Parameters of the Antivortex on a Triangular Labyrinth Side Weir. Water 2020, 13, 14. [Google Scholar] [CrossRef]
  45. Tan, J.; Gao, Z.; Dai, H.; Yang, Z.; Shi, X. Effects of turbulence and velocity on the movement behaviour of bighead carp (Hypophthalmichthys nobilis) in an experimental vertical slot fishway. Ecol. Eng. 2019, 127, 363–374. [Google Scholar] [CrossRef]
  46. Webb, P.W.; Cotel, A.J. Turbulence: Does Vorticity Affect the Structure and Shape of Body and Fin Propulsors? Integr. Comp. Biol. 2010, 50, 1155–1166. [Google Scholar] [CrossRef] [PubMed]
  47. Tritico, H.M. The Effects of Turbulence on Habitat Selection and Swimming Kinematics of Fishes. Ph.D. Thesis, University of Michigan, Ann Arbor, MI, USA, 2009. [Google Scholar]
  48. Bermúdez, M.; Puertas, J.; Cea, L.; Pena, L.; Balairón, L. Influence of pool geometry on the biological efficiency of vertical slot fishways. Ecol. Eng. 2010, 36, 1355–1364. [Google Scholar] [CrossRef]
Figure 1. Plane diagram of the calculation area. B is the width of the conventional pool; L is the length of the conventional pool and the width of the 180° turning pool; D is the length of the 180° turning pool; P is the length of the rectifier baffle; h is the thickness of the rectifier baffle; b is the width of the vertical seam; θ is the rectifier angle of the vertical seam; and R is the radius of the semicircular arc pier head at the middle of the 180° turning pool.
Figure 1. Plane diagram of the calculation area. B is the width of the conventional pool; L is the length of the conventional pool and the width of the 180° turning pool; D is the length of the 180° turning pool; P is the length of the rectifier baffle; h is the thickness of the rectifier baffle; b is the width of the vertical seam; θ is the rectifier angle of the vertical seam; and R is the radius of the semicircular arc pier head at the middle of the 180° turning pool.
Sustainability 15 10498 g001
Figure 2. Plane layout of each designed turning pool. (a) Design I; (b) Design II; (c) Design III; (d) Design IV; and (e) Design V.
Figure 2. Plane layout of each designed turning pool. (a) Design I; (b) Design II; (c) Design III; (d) Design IV; and (e) Design V.
Sustainability 15 10498 g002
Figure 3. Grid independence verification.
Figure 3. Grid independence verification.
Sustainability 15 10498 g003
Figure 4. Model test layout. (a) Model layout; (b) measurement point layout in the turning pool.
Figure 4. Model test layout. (a) Model layout; (b) measurement point layout in the turning pool.
Sustainability 15 10498 g004
Figure 5. Comparison of calculation and simulation results. (a) Comparison of calculation and simulation results in Section 7; (b) Comparison of maximum flow velocity between calculation and simulation results.
Figure 5. Comparison of calculation and simulation results. (a) Comparison of calculation and simulation results in Section 7; (b) Comparison of maximum flow velocity between calculation and simulation results.
Sustainability 15 10498 g005
Figure 6. Velocity magnitudes in the turning pool. (a) Design I; (b) Design II; (c) Design III; (d) Design IV; and (e) Design V.
Figure 6. Velocity magnitudes in the turning pool. (a) Design I; (b) Design II; (c) Design III; (d) Design IV; and (e) Design V.
Sustainability 15 10498 g006aSustainability 15 10498 g006b
Figure 7. Distribution of turbulent kinetic energy in the turning pool. (a) Design I; (b) Design II; (c) Design III; (d) Design IV; and (e) Design V.
Figure 7. Distribution of turbulent kinetic energy in the turning pool. (a) Design I; (b) Design II; (c) Design III; (d) Design IV; and (e) Design V.
Sustainability 15 10498 g007
Figure 8. Hydraulic characteristics of the mainstream area. (a) Longitudinal section distribution in the turning pool; (b) Maximum velocity trajectory curve; (c) Distribution curve of the maximum velocity along the course.
Figure 8. Hydraulic characteristics of the mainstream area. (a) Longitudinal section distribution in the turning pool; (b) Maximum velocity trajectory curve; (c) Distribution curve of the maximum velocity along the course.
Sustainability 15 10498 g008
Figure 9. Distribution of the recirculation zones. (a) Design I; (b) Designs II~V.
Figure 9. Distribution of the recirculation zones. (a) Design I; (b) Designs II~V.
Sustainability 15 10498 g009
Table 1. Technical parameters of the fishway and the 180° turning pool.
Table 1. Technical parameters of the fishway and the 180° turning pool.
AbbreviateBLDPhbθRJ
Specifications2.00 m2.25 m5.20 m0.67 m0.20 m0.30 m45°0.60 m2%
Table 2. Details of the rectifier baffle arrangement for each design.
Table 2. Details of the rectifier baffle arrangement for each design.
DesignNumber of Rectifier BafflesP1 Tilt AngleP2 Tilt Angle
I0
II2
III2inward 15°
IV2inward 15°
V2inward 15°inward 15°
Note: The tilt angle of the rectifier guide baffle is inward between two baffles, and outward at the both sides of two baffles.
Table 3. Characteristics of the numerical grid sizes of M1, M2, and M3.
Table 3. Characteristics of the numerical grid sizes of M1, M2, and M3.
M1M2M3
Size (m)0.040.050.06
Slot size (m)0.020.020.02
Nodes2,303,7981,846,152832,955
Number of elements2,191,8001,753,700775,500
Table 4. Variation in the maximum velocity values along the course after adding rectifier baffles.
Table 4. Variation in the maximum velocity values along the course after adding rectifier baffles.
Designv1(max)vi(max) Minimum Valuev13(max)vi(max) Decay Rate
II0.970.340.4265%
III0.930.340.4263%
IV0.920.280.4270%
V0.910.240.4074%
Table 5. Calculation results of the recirculation zones.
Table 5. Calculation results of the recirculation zones.
DesignNumber of Recirculation ZonesNumberc/bk/bc/kck/b2Vmax/u
I210.75 0.41 1.82 0.31 0.61
21.36 0.46 2.95 0.63 0.46
II411.05 0.53 1.95 0.56 0.56
20.90 0.36 2.47 0.33 0.46
30.32 0.12 2.60 0.04 0.11
40.80 0.51 1.57 0.41 0.24
III411.020.492.100.500.50
20.950.362.600.350.40
30.360.123.000.040.18
40.900.561.610.500.25
IV411.02 0.49 2.10 0.50 0.53
20.95 0.34 2.79 0.32 0.33
30.56 0.15 3.83 0.08 0.06
40.71 0.36 1.93 0.26 0.08
V410.61 0.29 2.08 0.18 0.38
20.83 0.32 2.62 0.26 0.38
30.56 0.19 2.88 0.11 0.09
40.71 0.32 2.23 0.22 0.17
Disclaimer/Publisher’s Note: The statements, opinions and data contained in all publications are solely those of the individual author(s) and contributor(s) and not of MDPI and/or the editor(s). MDPI and/or the editor(s) disclaim responsibility for any injury to people or property resulting from any ideas, methods, instructions or products referred to in the content.

Share and Cite

MDPI and ACS Style

Yan, X.; Jin, J.; Zheng, T.; Sun, S.; Dai, H.; Dai, L.; Shi, K. The Effect of Rectifier Baffles on the Flow Regime of 180° Turning Pools in Vertical Slot Fishways. Sustainability 2023, 15, 10498. https://doi.org/10.3390/su151310498

AMA Style

Yan X, Jin J, Zheng T, Sun S, Dai H, Dai L, Shi K. The Effect of Rectifier Baffles on the Flow Regime of 180° Turning Pools in Vertical Slot Fishways. Sustainability. 2023; 15(13):10498. https://doi.org/10.3390/su151310498

Chicago/Turabian Style

Yan, Xiaoming, Jin Jin, Tiegang Zheng, Shuangke Sun, Huichao Dai, Lingquan Dai, and Kai Shi. 2023. "The Effect of Rectifier Baffles on the Flow Regime of 180° Turning Pools in Vertical Slot Fishways" Sustainability 15, no. 13: 10498. https://doi.org/10.3390/su151310498

APA Style

Yan, X., Jin, J., Zheng, T., Sun, S., Dai, H., Dai, L., & Shi, K. (2023). The Effect of Rectifier Baffles on the Flow Regime of 180° Turning Pools in Vertical Slot Fishways. Sustainability, 15(13), 10498. https://doi.org/10.3390/su151310498

Note that from the first issue of 2016, this journal uses article numbers instead of page numbers. See further details here.

Article Metrics

Back to TopTop