Prediction of University Patent Transfer Cycle Based on Random Survival Forest
Abstract
1. Introduction
2. Background
2.1. Influential Factors of University Patent Transfer Cycle
2.2. Review on the Analysis Method of University Patent Transfer Cycle
3. Research Methods
3.1. Survival Analysis
- (1)
- Cox proportional risk model
- (2)
- Cox model based on lasso penalty
- (3)
- random forest model
- (4)
- random survival forest model
3.2. Model Evaluation Indicators
- (1)
- Consistency index (C-index)
- (2)
- Brier score and integrated Brier score
4. Data Preprocessing
4.1. Data Source and Indicator System Construction
4.2. Software Realization
5. Results and Analysis
5.1. Importance of Variables
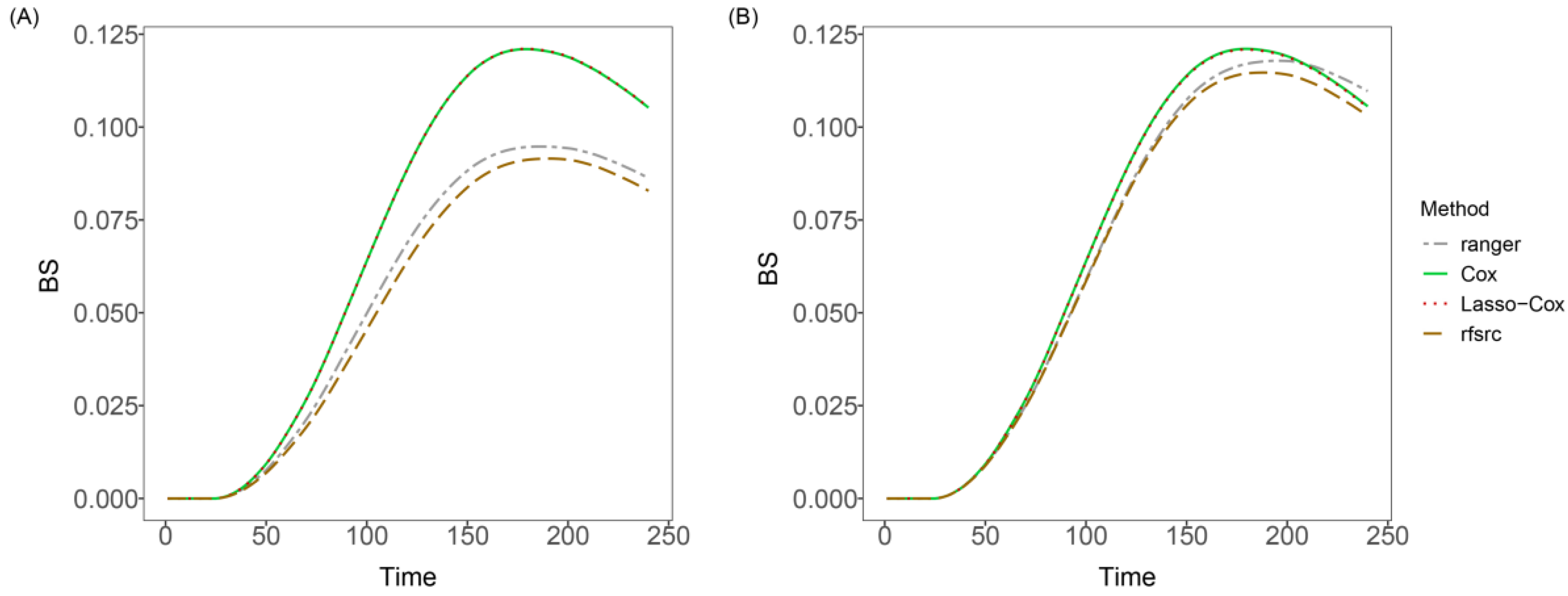
5.2. Model Prediction Comparison
5.3. Case Analysis
6. Discussion
7. Conclusions and Suggestions
7.1. Conclusions
- (1)
- The VIMP is calculated to obtain the importance ranking of each variable. It is concluded that the three indicators which affect the university patent transfer cycle most are the number of countries citing, non-patent citations and backward citations. The three indicators reflect the subsequent improvements of current patents made based on existing patents, and are essential for the evaluation of patent transfer cycle. The number of inventors, technical width, claims, family country, forward citation, countries cited and family size are indicators that also are related to the university patent transfer cycle, and have a certain effect on the prediction results of the model. Whether the patent is submitted through Patent Cooperation Treaty or whether it has experienced litigation events has little impact on its transfer cycle.
- (2)
- The prediction result based on the test set of data illustrates that the prediction performance of the random survival forest model is superior to that of Cox proportional risk model, Cox model based on lasso penalty and random forest model by calculating and comparing the model evaluation indicators, which include C-index, Brier score and integrated Brier score. Moreover, the survival function and cumulative risk function that are generated through the random survival forest model provide the dynamic time-point prediction of an individual university patent transfer cycle, which indicates the validity of the random survival forest model.
7.2. Suggestions
- (1)
- It is necessary for universities to make subsequent improvements for current patents based on the existing patents, to strengthen the scientific research teams construction and enhance patent layout for core technologies.
- (2)
- Universities are supposed to strengthen the contact with enterprises to promote the scientific and technological cooperation between them, seizing the advantageous opportunity to promote patent transformation.
Author Contributions
Funding
Institutional Review Board Statement
Informed Consent Statement
Data Availability Statement
Conflicts of Interest
References
- Liu, J.; Zhong, Y.H. Research on the technology transfer based on patent licensing of the enterprises listed on the sci-tech innovation board. Stud. Sci. Sci. 2021, 39, 892–899. [Google Scholar]
- Cheng, L.L.; Jiang, H.; Jin, J.; Xu, L.; Wang, X.Y.; Zhou, Z.H.; Wang, Y.; Zhu, Z.Z.; Zhou, J. The investigation of hospital patent transformation using multiple transactions. Chin. J. Med. Sci. Res. Manag. 2015, 28, 323–325, 328. [Google Scholar]
- Jun, S.; Uhm, D. A Predictive Model for Patent Registration Time Using Survival Analysis. Appl. Math. Inf. Sci. 2013, 7, 1819–1823. [Google Scholar] [CrossRef]
- Dutt, R.; Rathi, P.; Krishna, V. Novel mixed-encoding for forecasting patent grant duration. World Pat. Inf. 2021, 64, 102007. [Google Scholar] [CrossRef]
- Sun, Z. Paradox of Chinese individual patent maintenance—Evidence of frictions in the patent market. Sci. Res. Manag. 2019, 40, 179–187. [Google Scholar]
- Wang, Y.D.; Zhu, R.J.; Qi, Y.R.; Jin, J.; Huang, J.S. A state on the status and characteristics of external technology selection of Chinese firms. Sci. Sci. Manag. Sci. Tech. 2014, 35, 77–84. [Google Scholar]
- Lee, S.S.; Lim, S. An Analysis on the Relation between Patent Maintenance Period and Patent Vale, and its Implication. J. Intellect. Prop. 2013, 8, 39–56. [Google Scholar] [CrossRef]
- Trappey, A.; Trappey, C.V.; Wu, C.Y.; Lin, C.W. A patent quality analysis for innovative technology and product development. Adv. Eng. Inform. 2012, 26, 26–34. [Google Scholar] [CrossRef]
- Gambardella, A.; Giuri, P.; Luzzi, A. The market for patents in Europe. Res. Policy 2007, 36, 1163–1183. [Google Scholar] [CrossRef]
- Muscio, A. What drives the university use of technology transfer offices? Evidence from Italy. J. Technol. Transf. 2010, 35, 181–202. [Google Scholar] [CrossRef]
- Fong, P.S.W.; Chang, X.; Chen, Q. Faculty patent assignment in the Chinese mainland: Evidence from the top 35 patent application universities. J. Technol. Transf. 2015, 43, 69–95. [Google Scholar] [CrossRef]
- Llor, A. Delay from patent filing to technology transfer: A statistical study at a major public research organization. Technovation 2007, 27, 446–460. [Google Scholar] [CrossRef]
- Mccarthy, I.P.; Ruckman, K. Licensing Speed: Its Determinants and Payoffs. J. Eng. Technol. Manag. 2017, 46, 52–66. [Google Scholar] [CrossRef]
- Danish, M.S.; Ranjan, P.; Sharma, R. Determinants of patent survival in emerging economies: Evidence from residential patents in India. J. Public Aff. 2020, 21, e2211. [Google Scholar] [CrossRef]
- Hemant, I.; Udaya, B.K.; Eugene, H.B.; Michael, S.L. Random survival forests. Ann. Appl. Stat. 2008, 2, 841–860. [Google Scholar]
- Breiman, L. Random Forests. Mach. Learn. 2001, 45, 5–32. [Google Scholar] [CrossRef]
- Sun, J. The Statistical Analysis of Interval-Censored Failure Time Data; Springer Science + Business Media Inc.: Berlin/Heidelberg, Germany, 2006. [Google Scholar]
- Lu, W.; Pan, X.; Dai, S.; Fu, D.; Hwang, M.; Zhu, Y.; Zhang, L.; Wei, J.; Kong, X.; Li, J.; et al. Identifying Stage II Colorectal Cancer Recurrence Associated Genes by Microarray Meta-Analysis and Building Predictive Models with Machine Learning Algorithms. J. Oncol. 2021, 2021, 6060762. [Google Scholar] [CrossRef]
- Baralou, V.; Kalpourtzi, N.; Touloumi, G. Individual risk prediction: Comparing random forests with Cox proportional-hazards model by a simulation study. Biom. J. 2022. online ahead of print. [Google Scholar] [CrossRef]
- Chang, E.; Joel, M.Z.; Chang, H.Y.; Du, J.; Khanna, O.; Omuro, A.; Chiang, V.; Aneja, S. Comparison of radiomic feature aggregation methods for patients with multiple tumors. Sci. Rep. 2021, 11, 9758. [Google Scholar] [CrossRef]
- Jeffery, A.D.; Dietrich, M.S.; Fabbri, D.; Kennedy, B.; Novak, L.L.; Coco, J.; Mion, L.C. Advancing In-Hospital Clinical Deterioration Prediction Models. Am. J. Crit. Care 2018, 27, 381–391. [Google Scholar] [CrossRef]
- Qi, J.; Yan, J.; Idrees, M.; Almutairi, S.M.; Rasheed, R.A.; Hussein, U.A.; Abdel-Maksoud, M.A.; Wang, R.; Huang, J.; Huang, C.; et al. Five EMT-Related Gene Signatures Predict Acute Myeloid Leukemia Patient Outcome. Dis. Markers 2022, 2022, 7826393. [Google Scholar] [CrossRef] [PubMed]
- Singh, R.S.; Totawattage, D.P. The Statistical Analysis of Interval-Censored Failure Time Data with Applications. Open J. Stat. 2013, 3, 155–166. [Google Scholar] [CrossRef]
- Adhikary, A.C.; Rahman, M.S. Firth’s penalized method in Cox proportional hazard framework for developing predictive models for sparse or heavily censored survival data. J. Stat. Comput. Simul. 2021, 91, 445–463. [Google Scholar] [CrossRef]
- Gao, Z.; Ke, A.X.; Yu, R.J.; Wang, X.S. Urban Expressway Traffic Incident Duration Prediction Based on Random Survival Forests. J. Tongji Univ. Nat. Sci. 2017, 45, 1304–1310. [Google Scholar]
- Wang, H.; Li, G. A Selective Review on Random Survival Forests for High Dimensional Data. Quant. Bio-Sci. 2017, 36, 85–96. [Google Scholar] [CrossRef] [PubMed]
- Fang, K.N.; Zhang, G.J.; Zhang, H.Y. Individual Credit Risk Prediction Method: Application of a Lasso-logistic Model. J. Quant. Tech. Econ. 2014, 31, 125–136. [Google Scholar]
- Adeoye, J.; Hui, L.; Koohi-Moghadam, M.; Tan, J.Y.; Choi, S.-W.; Thomson, P. Comparison of time-to-event machine learning models in predicting oral cavity cancer prognosis. Int. J. Med. Inform. 2021, 157, 104635. [Google Scholar] [CrossRef] [PubMed]
- Chen, H.L.; Yu, S.J.; Xu, Y.; Yu, S.Q.; Zhang, J.Q.; Zhao, J.Y.; Zhu, B. Artificial Neural Network: A Method for Prediction of Surgery-Related Pressure Injury in Cardiovascular Surgical Patients. J. Wound Ostomy Cont. Nurs. 2018, 45, 26–30. [Google Scholar] [CrossRef]
- Schneider, C.; Aubert, C.E.; Del Giovane, C.; Donzé, J.D.; Gastens, V.; Bauer, D.C.; Blum, M.R.; Dalleur, O.; Henrard, S.; Knol, W.; et al. Comparison of 6 Mortality Risk Scores for Prediction of 1-Year Mortality Risk in Older Adults with Multimorbidity. JAMA Netw. Open 2022, 5, e2223911. [Google Scholar] [CrossRef]
- Morillas, N.R. La calidad del sistema universitario en China: La Liga C9 y la clasificación de Shanghái. Estud. Asia Áfr. 2019, 54, 203–228. [Google Scholar] [CrossRef]
- Wei, T.; Liu, T. Evolution of High-Value Patents in Reverse Innovation: Focus on Chinese Local Enterprises. Math. Probl. Eng. 2020, 2020, 8127096. [Google Scholar] [CrossRef]
- Xu, D.F.; Yu, H.D. How to operate patent: Innovation, market and law. J. Chongqing Univ. Soc. Sci. Ed. 2016, 22, 139. [Google Scholar]
- Zhai, Y.; Chen, Y.; Teng, Z.; Zhao, Y. Identifying Antioxidant Proteins by Using Amino Acid Composition and Protein-Protein Interactions. Front. Cell Dev. Biol. 2020, 8, 591487. [Google Scholar] [CrossRef] [PubMed]
- Chawla, N.V.; Bowyer, K.W.; Hall, L.O.; Kegelmeyer, W.P. SMOTE: Synthetic Minority Over-sampling Technique. J. Artif. Intell. Res. 2002, 16, 321–357. [Google Scholar] [CrossRef]
- Xiong, J.; Shang, J. A penalized approach to mixed model selection via cross-validation. Commun. Stat. Theory Methods 2021, 50, 2481–2507. [Google Scholar] [CrossRef]
- Reka, A.K.; Chen, G.; Jones, R.C.; Amunugama, R.; Kim, S.; Karnovsky, A.; Standiford, T.J.; Etherton-Beer, C.; Omenn, G.S.; Keshamouni, V.G. Epithelial–mesenchymal transition-associated secretory phenotype predicts survival in lung cancer patients. Carcinogenesis 2014, 35, 1292–1300. [Google Scholar] [CrossRef]






| Dimension | Indicator | Symbol | Explanation | Type |
|---|---|---|---|---|
| Technical dimension | Technical width | nIPC | Classification numbers | Numerical |
| Backward Citation | nBWD_citing | Number of patents citing | Numerical | |
| Forward Citation | nFWD_citing | Number of patents cited | Numerical | |
| Countries citing | nBWD_country | Number of countries citing | Numerical | |
| Countries cited | nFWD_country | Number of countries cited | Numerical | |
| Non-patent citations | nNPL | Number of non-patent citations | Numerical | |
| Inventors | nInventor | Number of inventors | Numerical | |
| Legal dimension | Claims | nClaim | Number of claims | Numerical |
| Litigation | Litigation | Whether the patent has been sued | Nominal | |
| Market dimension | Family size | Family_size | Number of patents in the same family | Numerical |
| Family country | nFamily_country | Number of countries in the same family | Numerical | |
| PCT application | PCT | Whether the patent is submitted through Patent Cooperation Treaty | Nominal |
| rfsrc | Ranger | Lasso-Cox | Cox | |
|---|---|---|---|---|
| IBS | 0.0828 | 0.0863 | 0.1053 | 0.1052 |
Disclaimer/Publisher’s Note: The statements, opinions and data contained in all publications are solely those of the individual author(s) and contributor(s) and not of MDPI and/or the editor(s). MDPI and/or the editor(s) disclaim responsibility for any injury to people or property resulting from any ideas, methods, instructions or products referred to in the content. |
© 2022 by the authors. Licensee MDPI, Basel, Switzerland. This article is an open access article distributed under the terms and conditions of the Creative Commons Attribution (CC BY) license (https://creativecommons.org/licenses/by/4.0/).
Share and Cite
Deng, D.; Chen, T. Prediction of University Patent Transfer Cycle Based on Random Survival Forest. Sustainability 2023, 15, 218. https://doi.org/10.3390/su15010218
Deng D, Chen T. Prediction of University Patent Transfer Cycle Based on Random Survival Forest. Sustainability. 2023; 15(1):218. https://doi.org/10.3390/su15010218
Chicago/Turabian StyleDeng, Disha, and Tao Chen. 2023. "Prediction of University Patent Transfer Cycle Based on Random Survival Forest" Sustainability 15, no. 1: 218. https://doi.org/10.3390/su15010218
APA StyleDeng, D., & Chen, T. (2023). Prediction of University Patent Transfer Cycle Based on Random Survival Forest. Sustainability, 15(1), 218. https://doi.org/10.3390/su15010218
