Evolution of Rail Contact Fatigue on Crossing Nose Rail Based on Long Short-Term Memory
Abstract
1. Introduction
2. Features Acquisition and Methods
2.1. A. Image Preprocessing
2.2. Feature Extraction
2.2.1. GLCM Feature Extraction
- Energy: It is the square sum of the element values of the gray co-occurrence matrix, so it is also called energy, which reflects the uniformity of the image’s gray distribution and the texture’s thickness.
- Contrast: it reflects the clarity of the image and depth of texture grooves.
- Correlation: It measures the similarity of the spatial grayscale co-occurrence matrix elements in the row or column direction. Therefore, the correlation value reflects the local grayscale correlation in the image.
- Entropy: It measures the amount of information an image has, and texture information belongs to the information of the image, which is a measure of randomness.
- Inverse differential moment: It reflects the homogeneity of the image texture and measures the local variation of the image texture. A significant value indicates no variation between different image text areas, and the local area is uniform.
2.2.2. HOG Feature Extraction
2.2.3. Gabor Feature Extraction
3. Regression Analysis
3.1. Machine Learning Regression
3.2. Deep Learning Regression
3.3. Evaluation Indicators
4. Results
4.1. Machine Learning Results
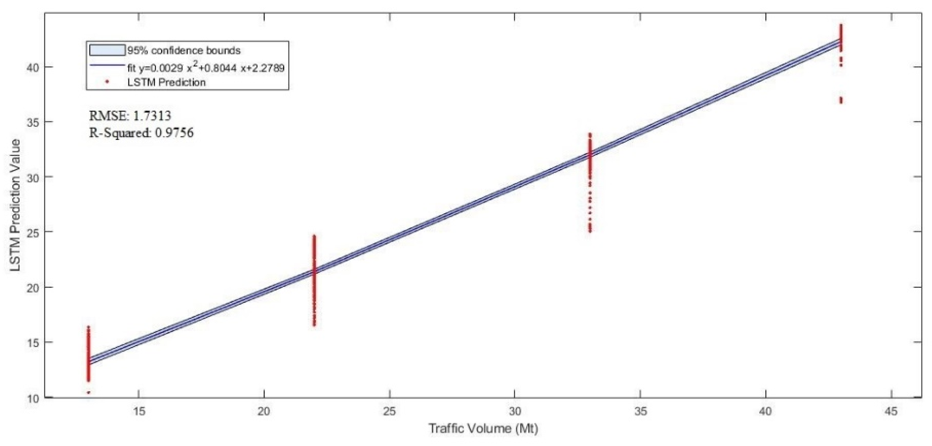
4.2. Long Short-Term Memory Results
4.3. Results Evaluation
5. Conclusions
Author Contributions
Funding
Institutional Review Board Statement
Informed Consent Statement
Data Availability Statement
Conflicts of Interest
References
- Kienzler, C.; Lotz, C.; Stern, S. Using Analytics to Get European Rail Maintenance on Track. McKinsey.com. 2020. Available online: https://www.mckinsey.com/industries/public-and-social-sector/our-insights (accessed on 10 October 2022).
- Milosevic, M.; Pålsson, B.A.; Nissen, A.; Nielsen, J.; Johansson, H. Condition Monitoring of Railway crossing Geometry via Measured and Simulated Track Responses. Sensors 2022, 22, 1012. [Google Scholar] [CrossRef] [PubMed]
- Chandran, P.; Asber, J.; Thiery, F.; Odelius, J.; Rantatalo, M. An Investigation of Railway Fastener Detection Using Image Processing and Augmented Deep Learning. Sustainability 2021, 13, 12051. [Google Scholar] [CrossRef]
- Cuervo, P.A.; Santa, J.F. Correlations between wear mechanisms and rail grinding operations in a commercial railroad. Tribol. Int. 2015, 82, 265–273. [Google Scholar] [CrossRef]
- Talebiahooie, E.; Thiery, F.; Meng, J.; Mattsson, H.; Nordlund, E.; Rantatalo, M. Modelling of Railway Sleeper Settlement under Cyclic Loading Using a Hysteretic Ballast Contact Model. Sustainability 2021, 13, 12247. [Google Scholar] [CrossRef]
- Szalai, S.; Eller, B.; Juhász1, E.; Movahedi1, M.R.; Németh, A.; Harrach, D.; Baranyai, G.; Fischer, S. Investigation of deformations of ballasted railway track during collapse using the Digital Image Correlation Method. Rep. Mech. Eng. 2022, 3, 258–282. [Google Scholar] [CrossRef]
- Przybyłowicz, M.; Sysyn, M.; Gerber, U.; Kovalchuk, V.; Fischer, S. Comparison of the effects and efficiency of vertical and side tamping methods for ballasted railway tracks. Constr. Build. Mater. 2022, 314, 125708. [Google Scholar]
- Feng, B.; Liu, Z.; Tutumluer, E.; Huang, H. Data-Driven Railway Crosstie Support Condition Prediction Using Deep Residual Neural Network: Algorithm and Application. Transport. Res. Rec. 2022, 2676, 160–171. [Google Scholar] [CrossRef]
- Kou, L. A review of research on detection and evaluation of the rail surface defects. Acta Polytech. Hung. 2022, 19, 167–186. [Google Scholar] [CrossRef]
- Kazemian, M.; Astaraki, F.; Dosst, A.M.; Akbarivarmayiar, M.; Rad, M.M.; Fischer, S. Effects of Wheel Surface Defects on Ground Borne Vibration. Acta Polytech. Hung. 2022, 19, 129–141. [Google Scholar]
- Momenitabar, M.; Bridgelall, R.; Dehdari Ebrahimi, Z.; Arani, M. Literature Review of Socioeconomic and Environmental Impacts of High-Speed Rail in the World. Sustainability 2021, 13, 12231. [Google Scholar] [CrossRef]
- Hamadache, M.; Dutta, S.; Olaby, O.; Ambur, R.; Stewart, E.; Dixon, R. On the Fault Detection and Diagnosis of Railway Switch and Crossing Systems: An Overview. Appl. Sci. 2019, 9, 5129. [Google Scholar] [CrossRef]
- Pillai, N.; Shih, J.-Y.; Roberts, C. Evaluation of Numerical Simulation Approaches for Simulating Train–Track Interactions and Predicting Rail Damage in Railway Switches and Crossings (S&Cs). Infrastructures 2021, 6, 63. [Google Scholar] [CrossRef]
- Sysyn, M.; Kovalchuk, V.; Jiang, D. Performance study of the inertial monitoring method for railway turnouts. Int. J. Rail Transp. 2018, 7, 103116. [Google Scholar] [CrossRef]
- Sysyn, M.; Gerber, U.; Nabochenko, O.; Gruen, D.; Kluge, F. Prediction of Rail Contact Fatigue on crossings Using Image Processing and Machine Learning Methods. Urban Rail Transit. 2019, 5, 123–132. [Google Scholar] [CrossRef]
- Korolev, V. Methods for Analyzing Combinations of Wheelset Sizes and Switch Elements. In Networked Control Systems for Connected and Automated Vehicles; Springer: Berlin/Heidelberg, Germany, 2022. [Google Scholar] [CrossRef]
- Loktev, A.; Korolev, V.; Shishkina, I. Curved Turnouts for Curves of Various Radii. In Networked Control Systems for Connected and Automated Vehicles; Springer: Berlin/Heidelberg, Germany, 2022. [Google Scholar] [CrossRef]
- Jamshidi, A.; Faghih-Roohi, S.; Hajizadeh, S.; Núñez, A.; Babuska, R.; Dollevoet, R.; Li, Z.; Schutter, B. A Big Data Analysis Approach for Rail Failure Risk Assessment. Risk analysis: An official publication of the Society for Risk Analysis. Risk Anal. 2017, 37, 1495–1507. [Google Scholar] [CrossRef] [PubMed]
- Ojala, T.; Pietikainen, M.; Harwood, D. Performance evaluation of texture measures with classification based on Kullback discrimination of distributions. In Proceedings of the 12th International Conference on Pattern Recognition, Jerusalem, Israel, 9–13 October 1994; Volume 1, pp. 582–585. [Google Scholar]
- Brown, M.A.; David, L.G. Invariant Features from Interest Point Groups. BMVC 2002, 4, 398–410. [Google Scholar]
- Lienhart, R.; Kuranov, A.; Pisarevsky, V. Empirical Analysis of Detection Cascades of Boosted Classifiers for Rapid Object Detection. Lect. Notes Comput. Sci. 2003, 2781, 297–304. [Google Scholar]
- Haralick, R.M.; Shanmugam, K.; Dinstein, I. Textural Features for Image Classification. IEEE Trans. Syst. Man Cybern. 1973, 3, 610–621. [Google Scholar] [CrossRef]
- Harris, F.J. On the Use of Windows for Harmonic Analysis with the Discrete Fourier Transform. Proc. IEEE 1978, 66, 51–83. [Google Scholar] [CrossRef]
- Lee, T.S. Image Representation Using 2D Gabor Wavelets. IEEE Trans. Pattern Anal. Mach. Intell. 1996, 18, 959–971. [Google Scholar]
- Wang, L.; Yan, J.; Ma, Y. Cloud Computing in Remote Sensing, 2nd ed.; Chapman and Hall: London, UK, 2019. [Google Scholar]
- Murai, K.; Imai, T.; Arai, K.; Kobayashi, T. Feature Extraction System during Bolt Tightening Work by Regression CNN and Classification CNN. In Proceedings of the 2021 IEEE International Conference on Consumer Electronics (ICCE), Las Vegas, NV, USA, 10–12 January 2021; pp. 1–4. [Google Scholar]
- Xu, Z.; Ma, W.; Lin, P.; Shi, H.; Pan, D.; Liu, T. Deep learning of rock images for intelligent lithology identification. Comput. Geosci. 2021, 154, 104799. [Google Scholar] [CrossRef]
- Rasmussen, C.E. Gaussian Processes in Machine Learning; Springer: Berlin/Heidelberg, Germany, 2004; p. 3176. [Google Scholar]
- Belkin, M. Fit without Fear: Remarkable Mathematical Phenomena of Deep Learning through the Prism of Interpolation. arXiv 2021, arXiv:2105.14368. [Google Scholar] [CrossRef]
- Yanagaimoto, H.; Hashimoto, K. Review Rating Prediction with Gaussian Process Classification. In Proceedings of the 2019 14th International Joint Symposium on Artificial Intelligence and Natural Language Processing (iSAI-NLP), Chiang Mai, Thailand, 30 October–1 November 2019; pp. 1–6. [Google Scholar]
- Kruse, R.; Borgelt, C. Computational Intelligence: A Methodological Introduction (Texts in Computer Science), 2nd ed.; Springer-Vieweg: Wiesbaden, Germany, 2015; p. 515. [Google Scholar]
- Lai, C.M.; Kuo, T.J. Available Capacity Computation Model Based on Long Short-Term Memory Recurrent Neural Network for Gelled-Electrolyte Batteries in Golf Carts. IEEE Access 2022, 10, 54433–54444. [Google Scholar] [CrossRef]
- Hyndman, R.J.; Doksum, K.A. Another look at measures of forecast accuracy. Int. J. Forecast. 2006, 22, 679–688. [Google Scholar] [CrossRef]
- Hyndman, R.J.; Koehler, A.B. Mathematical Statistics: Basic Ideas and Selected Topics, 2nd ed.; Taylor and Francis Inc.: Singapore, 2015; p. 20. [Google Scholar]
- Willmott, C.; Matsuura, K. Advantages of the mean absolute error (MAE) over the root mean square error (RMSE) in assessing average model performance. Clim. Res. 2005, 30, 79–82. [Google Scholar] [CrossRef]
- Cameron, A.C.; Windmeijer, F.A.G. An R-squared measure of goodness of fit for some common nonlinear regression models. J. Econom. 1997, 77, 328–342. [Google Scholar] [CrossRef]











| Feature No. | 6 | 12 | 18 | 27 | 35 | 44 | 48 | 52 | 54 |
|---|---|---|---|---|---|---|---|---|---|
| RSME | 7.314 | 6.2298 | 4.4361 | 4.1066 | 4.1909 | 3.9339 | 3.8559 | 3.8628 | 3.3273 |
| MSE | 53.495 | 38.811 | 19.679 | 16.864 | 17.563 | 15.475 | 14.868 | 14.921 | 11.071 |
| MEA | 5.2493 | 4.3527 | 3.1284 | 2.9974 | 3.0312 | 2.8421 | 2.8344 | 2.8266 | 2.3086 |
| R2 | 0.58 | 0.7 | 0.85 | 0.87 | 0.86 | 0.88 | 0.88 | 0.88 | 0.91 |
| GPR | Tree Ensemble | |||||
|---|---|---|---|---|---|---|
| Squared Exponential | Matern 5/2 | Rational Quadratic | Exponential | Bagged Trees | Boosted Trees | |
| RSME | 3.5518 | 3.3739 | 3.3273 | 3.9627 | 4.9450 | 5.0920 |
| MSE | 12.6160 | 11.3830 | 11.071 | 15.7370 | 24.4530 | 25.9290 |
| MEA | 2.5092 | 2.3460 | 2.3086 | 2.8581 | 3.5040 | 3.8013 |
| R2 | 0.90 | 0.91 | 0.91 | 0.88 | 0.81 | 0.80 |
| SVR | ||||||
| Linear | Quadratic | Cubic | Fine Gaussian | Medium Gaussian | Coarse Gaussian | |
| RSME | 7.0201 | 28.528 | 21.025 | 8.7155 | 5.4601 | 8.3760 |
| MSE | 49.282 | 62.847 | 42.199 | 73.787 | 27.408 | 68.912 |
| MEA | 5.1181 | 3.6229 | 3.6891 | 7.2957 | 3.8202 | 6.0487 |
| R2 | 0.62 | 0.51 | 0.67 | 0.43 | 0.79 | 0.46 |
Publisher’s Note: MDPI stays neutral with regard to jurisdictional claims in published maps and institutional affiliations. |
© 2022 by the authors. Licensee MDPI, Basel, Switzerland. This article is an open access article distributed under the terms and conditions of the Creative Commons Attribution (CC BY) license (https://creativecommons.org/licenses/by/4.0/).
Share and Cite
Kou, L.; Sysyn, M.; Liu, J.; Nabochenko, O.; Han, Y.; Peng, D.; Fischer, S. Evolution of Rail Contact Fatigue on Crossing Nose Rail Based on Long Short-Term Memory. Sustainability 2022, 14, 16565. https://doi.org/10.3390/su142416565
Kou L, Sysyn M, Liu J, Nabochenko O, Han Y, Peng D, Fischer S. Evolution of Rail Contact Fatigue on Crossing Nose Rail Based on Long Short-Term Memory. Sustainability. 2022; 14(24):16565. https://doi.org/10.3390/su142416565
Chicago/Turabian StyleKou, Lei, Mykola Sysyn, Jianxing Liu, Olga Nabochenko, Yue Han, Dai Peng, and Szabolcs Fischer. 2022. "Evolution of Rail Contact Fatigue on Crossing Nose Rail Based on Long Short-Term Memory" Sustainability 14, no. 24: 16565. https://doi.org/10.3390/su142416565
APA StyleKou, L., Sysyn, M., Liu, J., Nabochenko, O., Han, Y., Peng, D., & Fischer, S. (2022). Evolution of Rail Contact Fatigue on Crossing Nose Rail Based on Long Short-Term Memory. Sustainability, 14(24), 16565. https://doi.org/10.3390/su142416565

