Spatial Analysis of the Water Harvesting Potential of Permeable Pavements in Australia
Abstract
1. Introduction
2. Methods
2.1. Selection of Cities
2.2. Design Considerations
- Design thickness assessment for water harvesting using the DesignPave v2.0 modelling tool;
- Design for car parks only, applicable for low-traffic loadings;
- Layer configuration:
- -
- Paver: Market standard pavers with openings along narrow joints; thickness 80 mm; permeability 9 × 10−5 m/s [41];
- -
- No water infiltration to subgrade was allowed, as the water was to be collected for later reuse.
- Uniform granular material (void ratio 40%) was selected for assessing the design thickness of permeable pavements for all selected locations. This allowed for the maximum water-harvesting potential of each pavement system;
- The design thickness was assessed for a 100 m2 permeable paving area, directly exposed to rainfall. No runoff from additional contributing areas was considered for the assessment;
- Spatial analysis was carried out based on 108 cities’ data through kriging interpolation in ArcGIS, which estimated the probabilistic value of unknown points across Australia based on the known 108 pieces of data.
2.3. Rainfall Data
2.4. Water Demand
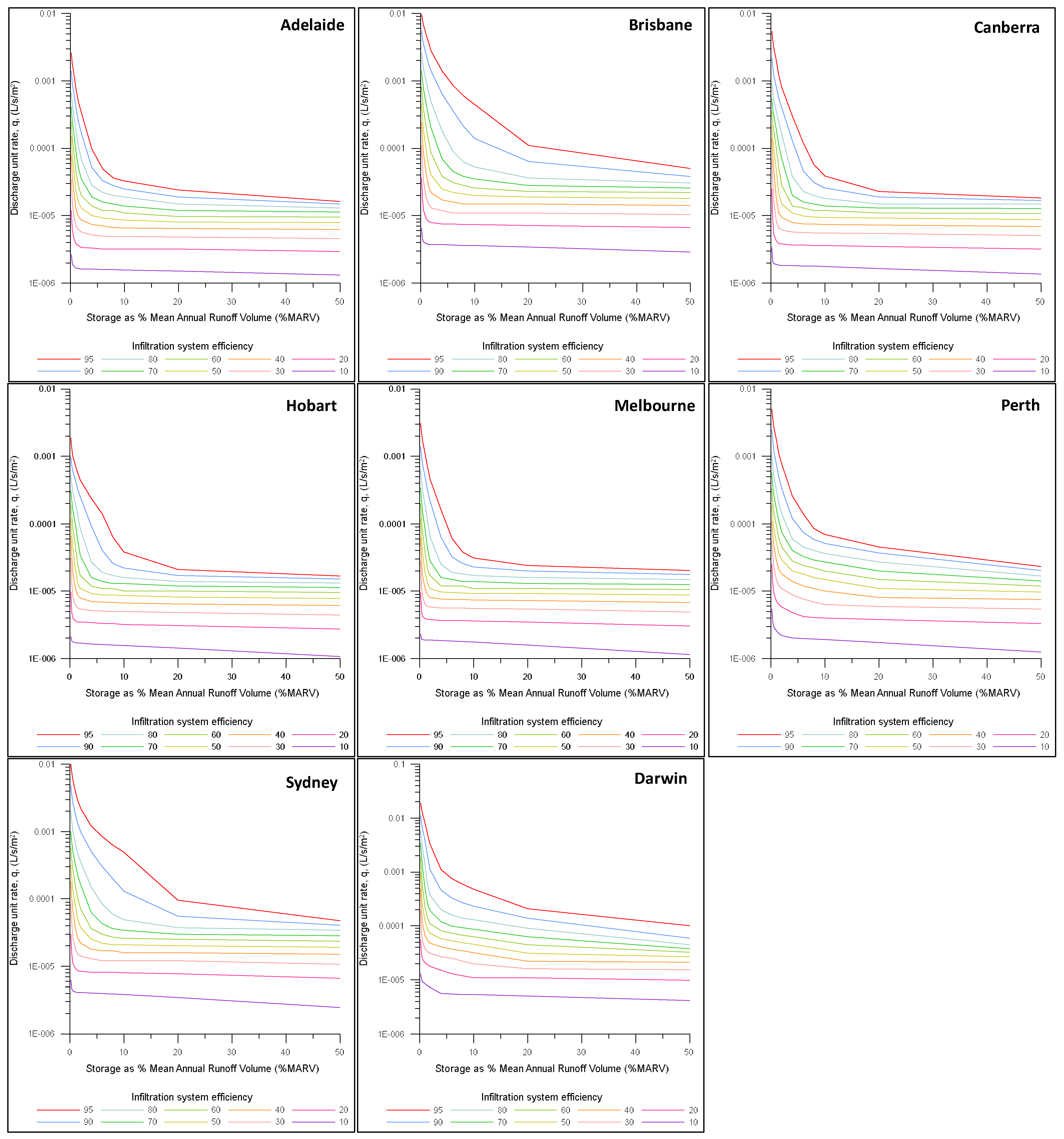
2.5. Hydrological Effectiveness
2.6. Pavement System Performance Analysis
- Index = 3: more than or equal to 75%;
- Index = 2: more than or equal to 50%;
- Index = 1: less than 50%.
- Index = 3: less than or equal to 150% of the minimum thickness, i.e., 150 mm;
- Index = 2: less than or equal to 175% of the minimum thickness, i.e., 150 mm to 175 mm;
- Index = 1: more than 175 mm.
- Excellent = 5: average index is equal to the average total score for all the criteria, i.e., average index = 3;
- Strong = 4: average index is greater than or equal to 80% of the average total score, i.e., 3 > average index ≥ 2.4;
- Competent = 3: average index is greater than or equal to 60% of the average total score, i.e., 2.4 > average index ≥ 1.8;
- Satisfactory = 2: average index is greater than or equal to 40% of the average total score, i.e., 1.8 > average index ≥ 1.2;
- Partial = 1: average index is less than 40% of average total score, i.e., average index < 1.8.
3. Results and Discussion
3.1. Spatial Distribution of Design Thickness
3.2. Relationship between Design Thickness, Void Ratio and Demand
4. Conclusions
Author Contributions
Funding
Institutional Review Board Statement
Informed Consent Statement
Data Availability Statement
Acknowledgments
Conflicts of Interest
References
- Yang, Q.; Beecham, S.; Liu, J.; Pezzaniti, D. The influence of rainfall intensity and duration on sediment pathways and subsequent clogging in permeable pavements. J. Environ. Manag. 2019, 246, 730–736. [Google Scholar] [CrossRef] [PubMed]
- Lucke, T.; Beecham, S. An infiltration approach to reducing pavement damage by street trees. Sci. Total Environ. 2019, 671, 94–100. [Google Scholar] [CrossRef] [PubMed]
- Liu, C.Y.; Chui, T.F.M. Factors Influencing Stormwater Mitigation in Permeable Pavement. Water 2017, 9, 988. [Google Scholar] [CrossRef]
- Lin, W.; Ryu, S.; Cho, Y.-H. Performance of Permeable Block Pavements in Accelerated Pavement Test and Rainfall Simulation. J. Perform. Constr. Facil. 2016, 30, 04014186. [Google Scholar] [CrossRef]
- Drake, J.A.; Bradford, A.; Marsalek, J. Review of environmental performance of permeable pavement systems: State of the knowledge. Water Qual. Res. J. Can. 2013, 48, 203–222. [Google Scholar] [CrossRef]
- Shackel, B.; Beecham, S.; Pezzaniti, D.; Myers, B. Design of permeable pavements for Australian conditions. In Proceedings of the ARRB Conference, Adelaide, Australia, 27–29 July 2008. [Google Scholar]
- Hu, M.; Zhang, X.; Siu, Y.L.; Li, Y.; Tanaka, K.; Yang, H.; Xu, Y. Flood Mitigation by Permeable Pavements in Chinese Sponge City Construction. Water 2018, 10, 172. [Google Scholar] [CrossRef]
- Kamali, M.; Delkash, M.; Tajrishy, M. Evaluation of permeable pavement responses to urban surface runoff. J. Environ. Manag. 2017, 187, 43–53. [Google Scholar] [CrossRef]
- Freni, G.; Liuzzo, L. Effectiveness of Rainwater Harvesting Systems for Flood Reduction in Residential Urban Areas. Water 2019, 11, 1389. [Google Scholar] [CrossRef]
- Iqbal, A.; Rahman, M.M.; Beecham, S. Permeable Pavements for Flood Control in Australia: Spatial Analysis of Pavement Design Considering Rainfall and Soil Data. Sustainability 2022, 14, 4970. [Google Scholar] [CrossRef]
- Liu, Y.; Li, T.; Yu, L. Urban heat island mitigation and hydrology performance of innovative permeable pavement: A pilot-scale study. J. Clean. Prod. 2020, 244, 8. [Google Scholar] [CrossRef]
- Ulfiana, D.; Budieny, H.; Parmantoro, P.N.; Prastiwi, D. Minimize surface runoff from parking lots with permeable pavement systems. IOP Conf. Ser. Earth Environ. Sci. 2021, 700, 012056. [Google Scholar] [CrossRef]
- Lucke, T.; Johnson, T.; Beecham, S.; Cameron, D.; Moore, G. Using permeable pavements to promote street tree health, to minimize pavement damage and to reduce stormwater flows. In Proceedings of the 12th International Conference on Urban Drainage, Porto Alegre, Brazil, 11–16 September 2011. [Google Scholar]
- Kim, J.; Choi, Y.; Kim, T.; Lee, S.H.; Kwon, S. Study on the Permeability and TSS Removal Efficiency of Permeable Pavement Using Constant Head Particle Loading Test. J. Coast. Res. 2019, 91, 236–240, 235. [Google Scholar] [CrossRef]
- Dai, K.; Liu, W.; Shui, X.; Fu, D.; Zevenbergen, C.; Singh, R.P. Hydrological Effects of Prefabricated Permeable Pavements on Parking Lots. Water 2022, 14, 45. [Google Scholar] [CrossRef]
- Chu, L.; Fwa, T.F. Evaluation of surface infiltration performance of permeable pavements. J. Environ. Manag. 2019, 238, 136–143. [Google Scholar] [CrossRef] [PubMed]
- Razzaghmanesh, M.; Beecham, S. A Review of Permeable Pavement Clogging Investigations and Recommended Maintenance Regimes. Water 2018, 10, 337. [Google Scholar] [CrossRef]
- Saadeh, S.; Ralla, A.; Al-Zubi, Y.; Wu, R.; Harvey, J. Application of fully permeable pavements as a sustainable approach for mitigation of stormwater runoff. Int. J. Transp. Sci. Technol. 2019, 8, 338–350. [Google Scholar] [CrossRef]
- Winston, R.J.; Davidson-Bennett, K.M.; Buccier, K.M.; Hunt, W.F. Seasonal Variability in Stormwater Quality Treatment of Permeable Pavements Situated Over Heavy Clay and in a Cold Climate. Water Air Soil Pollut. 2016, 227, 140. [Google Scholar] [CrossRef]
- Li, Q.; Zhou, Z.; Dong, J.; Wang, Y.; Yu, M.; Chen, Q.; Du, Y.; He, P. Comparison of Runoff Control Performance by Five Permeable Pavement Systems in Zhenjiang, Yangtze River Delta of China. J. Hydrol. Eng. 2022, 27, 05022011. [Google Scholar] [CrossRef]
- Alam, T.; Mahmoud, A.; Jones, K.D.; Bezares-Cruz, J.C.; Guerrero, J. A Comparison of Three Types of Permeable Pavements for Urban Runoff Mitigation in the Semi-Arid South Texas, USA. Water 2019, 11, 1992. [Google Scholar] [CrossRef]
- Liu, W.; Feng, Q.; Chen, W.; Deo, R.C. Stormwater runoff and pollution retention performances of permeable pavements and the effects of structural factors. Environ. Sci. Pollut. Res. 2020, 27, 30831–30843. [Google Scholar] [CrossRef]
- Disfani, M.M.; Mohammadinia, A.; Narsilio, G.A.; Aye, L. Performance evaluation of semi-flexible permeable pavements under cyclic loads. Int. J. Pavement Eng. 2020, 21, 336–346. [Google Scholar] [CrossRef]
- Pal, A.C.; Das, S.S. Interlocking Aperture Concrete Block: An Answer to Permeable Pavement. J. Inst. Eng. Ser. A 2019, 100, 427–438. [Google Scholar] [CrossRef]
- Liu, B.K.; Armitage, N.P. The Link between Permeable Interlocking Concrete Pavement (PICP) Design and Nutrient Removal. Water 2020, 12, 1714. [Google Scholar] [CrossRef]
- Thorpe, D.; Zhuge, Y. Advantages and disadvantages in using permeable concrete as a pavement construction material. In Proceedings of the ARCOM 2010: 26th Annual Conference of the Association of Researchers in Construction Management, Leeds, UK, 6–8 September 2010. [Google Scholar]
- Mastura, B.; Mohd Rosli, H.; Muhd, Z.; Mohd, K.; Wan Nur Aifa Wan, A. Assessment framework for pavement material and technology elements in green highway index. J. Clean. Prod. 2018, 174, 1240–1246. [Google Scholar] [CrossRef]
- Nichols, P.W.B.; Lucke, T. A Detailed Analysis of Sediment Particle Sizes and Clogging in Permeable Pavements. CLEAN—Soil Air Water 2017, 45, 1700078. [Google Scholar] [CrossRef]
- BOM. Average Annual, Seasonal and Monthly Rainfall. Available online: http://www.bom.gov.au/jsp/ncc/climate_averages/rainfall/index.jsp (accessed on 25 June 2022).
- Shackel, B.; Myers, B.; Pearson, A. Experience in applying permeable interlocking concrete paving in Australia. In Proceedings of the 9th International Conference on Concrete Block Paving, Buenos Aires, Argentina, 18–21 October 2009. [Google Scholar]
- Alsubih, M.; Arthur, S.; Wright, G.; Allen, D. Experimental study on the hydrological performance of a permeable pavement. Urban Water J. 2017, 14, 427–434. [Google Scholar] [CrossRef]
- Braswell, A.S.; Winston, R.J.; Hunt, W.F. Hydrologic and water quality performance of permeable pavement with internal water storage over a clay soil in Durham, North Carolina. J. Environ. Manag. 2018, 224, 277–287. [Google Scholar] [CrossRef]
- Liu, J.; Yan, H.; Liao, Z.; Zhang, K.; Schmidt, A.R.; Tao, T. Laboratory analysis on the surface runoff pollution reduction performance of permeable pavements. Sci. Total Environ. 2019, 691, 1–8. [Google Scholar] [CrossRef]
- Selbig, W.R.; Buer, N.; Danz, M.E. Stormwater-quality performance of lined permeable pavement systems. J. Environ. Manag. 2019, 251, 109510. [Google Scholar] [CrossRef]
- Xie, J.; Jia, S.; Li, H.; Gao, L. Study on the influence of clogging on the cooling performance of permeable pavement. Water 2018, 10, 299. [Google Scholar] [CrossRef]
- Nguyen, N.P.T.; Sultana, A.; Areerachakul, N.; Kandasamy, J. Evaluating the Field Performance of Permeable Concrete Pavers. Water 2022, 14, 2143. [Google Scholar] [CrossRef]
- Nian, H.; Jiong, Z.; Shuang, X.; Ruonan, H.; Zhaoxia, D.; Rui, S.; Xinzhuang, C.; Bowen, M. A field performance evaluation of the periodic maintenance for pervious concrete pavement. J. Clean. Prod. 2020, 263, 121463. [Google Scholar] [CrossRef]
- Othman, A.; Somayeh, N.; Zhao, C.; Karl, E.; Hui, L.; Osama, F. Field performance evaluation of pervious concrete pavement reinforced with novel discrete reinforcement. Case Stud. Constr. Mater. 2019, 10, e00231. [Google Scholar] [CrossRef]
- Radlińska, A.; Welker, A.; Greising, K.; Campbell, B.; Littlewood, D. Long-Term Field Performance of Pervious Concrete Pavement. Adv. Civ. Eng. 2012, 2012, 380795. [Google Scholar] [CrossRef]
- CMAA. DesignPave Software. Available online: https://www.cmaa.com.au/DesignPave/faq (accessed on 8 June 2022).
- CMAA. PE01—Permeable Interlocking Concrete Pavements Design and Construction Guide; CMAA: Tamworth, NSW, Australia, 2010. [Google Scholar]
- ABS. Water Account, Australia. Available online: https://www.abs.gov.au/ausstats/abs@.nsf/Previousproducts/4610.0Main%20Features32015-16?opendocument&tabname=Summary&prodno=4610.0&issue=2015-16&num=&view= (accessed on 10 February 2021).
- DPLG. Water Sensitive Urban Design Technical Manual for the Greater Adelaide Region; DPLG: Adelaide, Australia, 2010. [Google Scholar]
- Iqbal, A.; Afroze, S.; Rahman, M.M. Probabilistic health risk assessment of vehicular emissions as an urban health indicator in Dhaka city. Sustainability 2019, 11, 6427. [Google Scholar] [CrossRef]
- Voulvoulis, N. Water reuse from a circular economy perspective and potential risks from an unregulated approach. Curr. Opin. Environ. Sci. Health 2018, 2, 32–45. [Google Scholar] [CrossRef]
- Zib, L.; Byrne, D.M.; Marston, L.T.; Chini, C.M. Operational carbon footprint of the U.S. water and wastewater sector’s energy consumption. J. Clean. Prod. 2021, 321, 128815. [Google Scholar] [CrossRef]










| Depth Index | Demand Supply Index | ||
|---|---|---|---|
| [3] ≥ 75% | [2] ≥ 50% | [1] < 50% | |
| [3] (≤150 mm) | Excellent (5) | Competent (3) | Satisfactory (2) |
| [2] (≤175 mm) | Strong (4) | Competent (3) | Satisfactory (2) |
| [3] (≥175 mm) | Competent (3) | Satisfactory (2) | Partial (1) |
| [3] ≥ 75% | [2] ≥ 50% | [1] < 50% | |
| Runoff harvesting index | |||
Publisher’s Note: MDPI stays neutral with regard to jurisdictional claims in published maps and institutional affiliations. |
© 2022 by the authors. Licensee MDPI, Basel, Switzerland. This article is an open access article distributed under the terms and conditions of the Creative Commons Attribution (CC BY) license (https://creativecommons.org/licenses/by/4.0/).
Share and Cite
Iqbal, A.; Rahman, M.M.; Beecham, S. Spatial Analysis of the Water Harvesting Potential of Permeable Pavements in Australia. Sustainability 2022, 14, 16282. https://doi.org/10.3390/su142316282
Iqbal A, Rahman MM, Beecham S. Spatial Analysis of the Water Harvesting Potential of Permeable Pavements in Australia. Sustainability. 2022; 14(23):16282. https://doi.org/10.3390/su142316282
Chicago/Turabian StyleIqbal, Asif, Md Mizanur Rahman, and Simon Beecham. 2022. "Spatial Analysis of the Water Harvesting Potential of Permeable Pavements in Australia" Sustainability 14, no. 23: 16282. https://doi.org/10.3390/su142316282
APA StyleIqbal, A., Rahman, M. M., & Beecham, S. (2022). Spatial Analysis of the Water Harvesting Potential of Permeable Pavements in Australia. Sustainability, 14(23), 16282. https://doi.org/10.3390/su142316282

