Damage Data Analysis of Deep Coal Roadway Roof and Application of Long Anchorage and Zone Linkage Support Technology
Abstract
:1. Introduction
2. Geological Conditions
3. Calibration of Microscopic Parameters of Rock Masses
4. Model Building
5. Numerical Results
5.1. No Support with Different Thicknesses of the Soft Roof
5.1.1. Crack Evolution Features
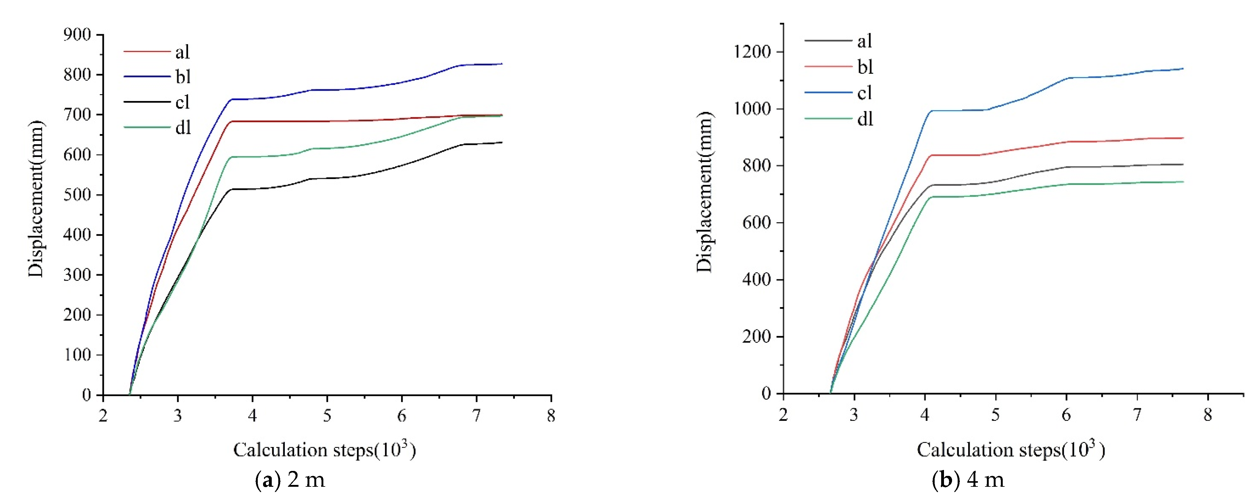
5.1.2. Deformation Variation
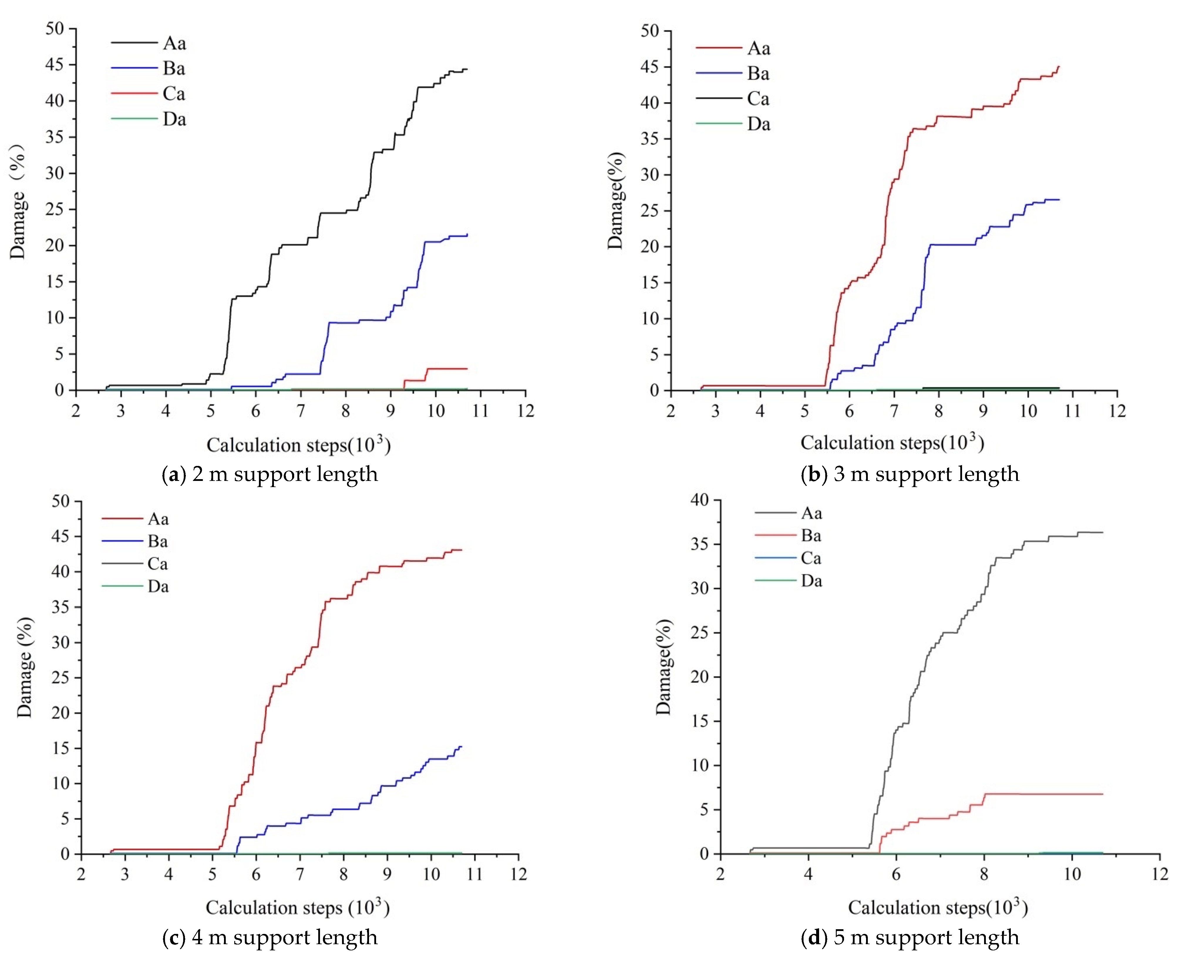
5.1.3. Damage Quantification
5.2. Control of Roof Damage by Different Lengths of Cables
5.2.1. Crack Evolution Features
5.2.2. Roadway Roof Damage Control with Extending Length Bolts
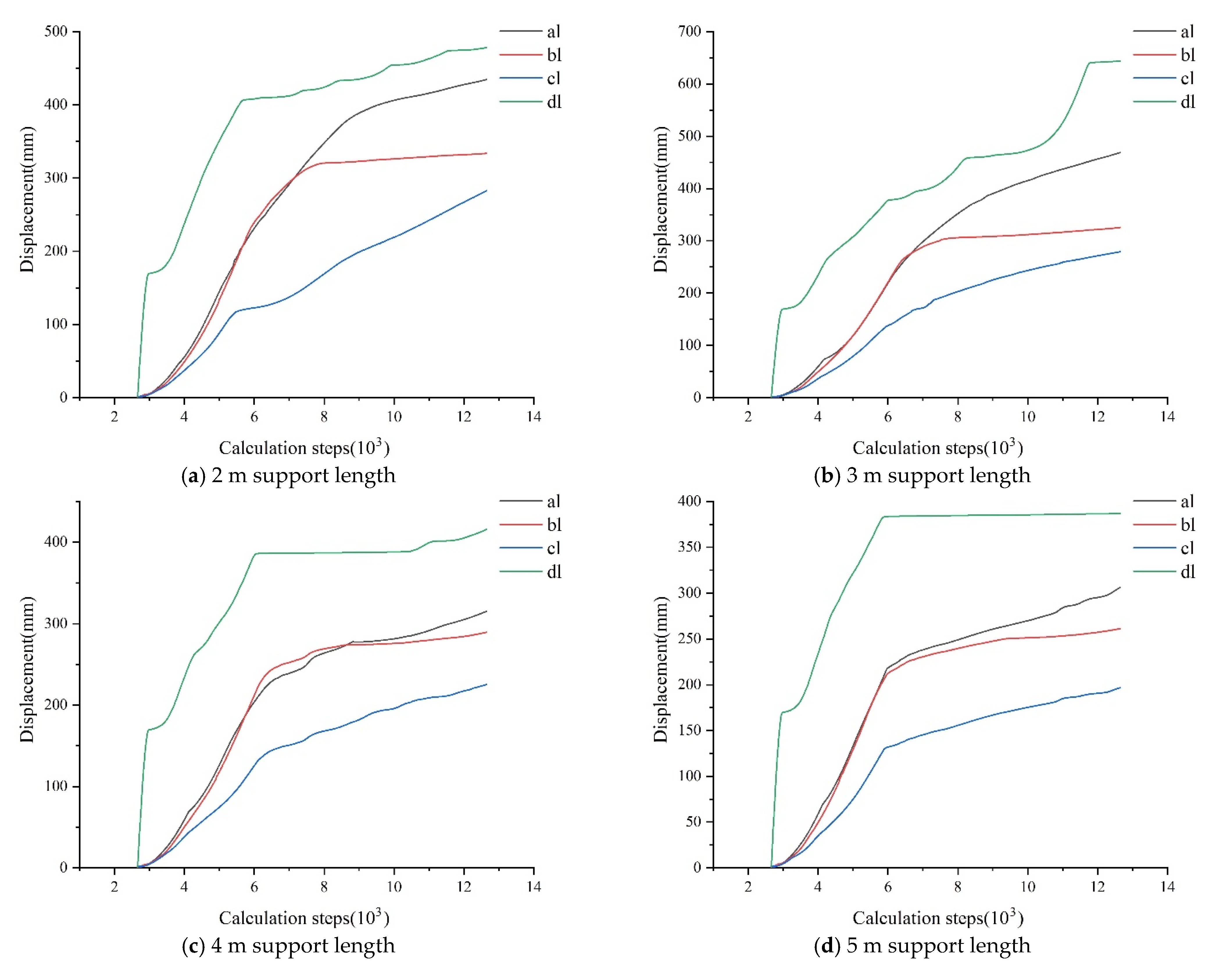
5.2.3. Roadway Surface Displacement
6. Engineering Practice
7. Conclusions
- (1)
- By building the UDEC model with trigon grid and fish language compiled damage captured function, the fractured evolution, deformation variation, and damage quantification and data analysis were analyzed during the model running. The calibrated process of input parameters guaranteed the model construction in a precise way. Based on the data of roof damage, the results show that the roof’s main trend of damage evolution after roadway excavation progressively developed upward, while there also exists minor damage in the roof’s deeper zones. The initiation and propagation from roadway roof surface fractures to deeper places can largely induce the instability of the roadway roof. The main work of this part is to partition the roadway roof in several zones and quantify the damage. Through the zone damage data analysis in each zone, the construction of anchorage zone should cover the low level of damage zone to realize the stability of roadway roof.
- (2)
- With the variation of bolt length in different models, the 2 m bolt cannot effectively prohibit fractures outside the anchorage zone. Due to the end of the 2 m bolt within the unstable fractured zone, the support system cannot perform well, and the bearing structure easily loses its anchor foundation. By increasing the bolt length to 3–5 m, the fracture range, deformation variation, and damage values all decreased based on the results of data analysis and plotted figures. Extending the length of bolts is to mobilize the rock mass in minor damaged areas and more damaged areas to form a thicker bearing structure with higher rigidity and strength and link different zones’ rock mass to participate in bearing stress together. Long anchorage zonal linkage technology has an important role in the fissure development prohibition in and outside the anchorage zone formed by the long bolts. The formation of thick anchorage zone can prohibit the development of the large crack scope in deep underground openings.
- (3)
- Based on the long anchorage zone linkage technology, the field tests were conducted in typical roadways with different geological characteristics. The application in the typical roadway roof makes the roof and sidewall deform downwards, and fracture scope develops in a small range. All field tests acquired good results on controlling fracture evolution and forming a stable bearing structure to maintain the roof stability. By modeling the controlling experience, the long anchorage zonal linkage technology can be applied to similar problems in underground opening excavation.
Author Contributions
Funding
Conflicts of Interest
References
- Yuan, L.; Zhang, N.; Kan, J.G.; Wang, Y. The Concept, Model and Reserve Forecast of Green Coal Resources in China. J. China Univ. Min. Technol. 2018, 47, 1–8. [Google Scholar]
- Yuan, L. Strategic Thinking of Simultaneous Exploitation of Coal and Gas in Deep Mining. J. China Coal Soc. 2016, 41, 1–6. [Google Scholar]
- Xie, H.; Zhou, H.; Xue, D.; Wang, H.; Zhang, R.; Gao, F. Research and Consideration on Deep Coal Mining and Critical Mining Depth. J. China Coal Soc. 2012, 37, 535–542. [Google Scholar]
- Zhao, B.; Li, J.; Wang, A.; Xiang, H.; Xu, F. Theoretical and Numerical Analysis of a New Energy-Absorbing Rock Bolt with Controllable Constant Resistance and Large Displacement. Tunn. Undergr. Space Technol. 2020, 106, 103581. [Google Scholar] [CrossRef]
- Zhang, N.; Han, C.L.; Xie, Z.Z. Theory of Continuous Beam Control and High Efficiency Supporting Technology in Coal Roadway. J. Min. Strat. Control. Eng. 2019, 1, 13005. [Google Scholar]
- An, Y.; Zhang, N.; Zhao, Y.; Xie, Z. Field and Numerical Investigation on Roof Failure and Fracture Control of Thick Coal Seam Roadway. Eng. Fail. Anal. 2021, 128, 105594. [Google Scholar] [CrossRef]
- Guan, K.; Zhu, W.; Yu, Q.; Cui, L.; Song, F. A Plastic-Damage Approach to the Excavation Response of a Circular Opening in Weak Rock. Tunn. Undergr. Space Technol. 2022, 126, 104538. [Google Scholar] [CrossRef]
- Kang, H.P. Research and Practice of Bolting Support Technology in Deep Coal Roadways. Coal. Min. Technol. 2008, 13, 1–5. [Google Scholar]
- Zuo, J.; Wen, J.; Liu, D. Control Theory of Uniform Strength Support in Deep Roadway. J. Min. Sci. Technol. 2021, 6, 148–159. [Google Scholar]
- Jing, H.W.; Meng, Q.B.; Zhu, J.F.; Meng, B.; Yu, L.Y. Theoretical and Technical Progress of Stability Control of Broken Rock Zone of Deep Roadway Surrounding Rock. J. Min. Saf. Eng. 2020, 37, 429–442. [Google Scholar]
- Hou, C.J.; Wang, X.Y.; Bai, J.B.; Meng, N.K.; Wu, W.D. Basic Theory and Technology Study of Stability Control for Surrounding Rock in Deep Roadway. J. China Univ. Min. Technol. 2021, 50, 1–12. [Google Scholar]
- Hou, C. Effective Approach for Surrounding Rock Control in Deep Roadway. J. China Univ. Min. Technol. 2017, 46, 467–473. [Google Scholar]
- Zhang, N.; Wang, C.; Gao, M.; Zhao, Y. Roadway Support Difficulty Classification and Controlling Techniques for Huainan Deep Coal Mining. Chin. J. Rock Mech. Eng. 2009, 28, 2421–2428. [Google Scholar]
- Wang, L.; Zhang, J. Research on Deformation Law of Surrounding Rock of In-Seam Roadway in Deep Mine and Its Support Technique. J. Shandong Univ. Sci. Technol. 2001, 20, 61–63. [Google Scholar]
- Xiao, T.Q.; Bai, J.B.; Wang, X.Y.; Chen, Y.; Yu, Y. Stability Principle and Control of Surrounding Rock in Deep Coal Roadway with Large Section and Thick Top-Coal. Rock Soil Mech. 2011, 32, 1874–1880. [Google Scholar]
- Yuan, L.; Xue, J.; Liu, Q. Surrounding Rock Stability Control Theory and Support Technique in Deep Rock Roadway for Coal Mine. J. China Coal Soc. 2011, 36, 535–543. [Google Scholar]
- Xiao, T.; Li, H. Numerical Simulation Analysis of Rock Bolt Stress in Deep Coal Roadway. Adv. Mater. Res. 2012, 619, 231–238. [Google Scholar]
- Xie, G.X.; Chang, J.C. Study of Space-Time Coupled and Integrative Supporting Method of Controlling the Minimum Deformation of Surrounding Rock in Deep Mine Roadway. J. China Univ. Min. Technol. 2013, 42, 183–187. [Google Scholar]
- Xie, S.; Li, E.; Li, S.; Wang, J.; He, C.; Yang, Y. Surrounding Rock Control Mechanism of Deep Coal Roadways and its Application. Int. J. Min. Sci. Technol. 2015, 25, 429–434. [Google Scholar] [CrossRef]
- Wang, Q.; Jiang, B.; Pan, R.; Li, S.; He, M.; Sun, H.; Qin, Q.; Yu, H.; Luan, Y. Failure Mechanism of Surrounding Rock with High Stress and Confined Concrete Support System. Int. J. Min. Sci. Technol. 2018, 102, 89–100. [Google Scholar] [CrossRef]
- Xie, Z.; Zhang, N.; Feng, X.; Liang, D.; Wei, Q.; Weng, M. Investigation on the Evolution and Control of Surrounding Rock Fracture under Different Supporting Conditions in Deep Roadway during Excavation Period. Int. J. Rock Mech. Min. Sci. 2019, 123, 104122. [Google Scholar] [CrossRef]
- Wang, D.; Jiang, Y.; Sun, X.; Luan, H.; Zhang, H. Nonlinear Large Deformation Mechanism and Stability Control of Deep Soft Rock Roadway: A Case Study in China. Sustainability 2019, 11, 6243. [Google Scholar] [CrossRef] [Green Version]
- Yang, H.; Han, C.; Zhang, N.; Sun, Y.; Pan, D.; Sun, C. Long High-Performance Sustainable Bolt Technology for the Deep Coal Roadway Roof: A Case Study. Sustainability 2020, 12, 1375. [Google Scholar] [CrossRef] [Green Version]
- Zhao, C.; Li, Y.; Liu, G.; Meng, X. Mechanism Analysis and Control Technology of Surrounding Rock Failure in Deep Soft Rock Roadway. Eng. Fail. Anal. 2020, 115, 104611. [Google Scholar] [CrossRef]
- Zhu, C.; Yuan, Y.; Wang, W.; Chen, Z.; Wang, S.; Zhong, H. Research on the “Three Shells” Cooperative Support Technology of Large-Section Chambers in Deep Mines. Int. J. Min. Sci. Technol. 2021, 31, 665–680. [Google Scholar] [CrossRef]
- Sun, Y.; Li, G.; Zhang, J.; Qian, D. Experimental and Numerical Investigation on a Novel Support System for Controlling Roadway Deformation in Underground Coal Mines. Energy Sci. Eng. 2020, 8, 490–500. [Google Scholar] [CrossRef] [Green Version]
- Wu, W.; Bai, J.; Wang, X.; Yan, S.; Wu, S. Numerical Study of Failure Mechanisms and Control Techniques for a Gob-Side Yield Pillar in the Sijiazhuang Coal Mine, China. Rock Mech. Rock Eng. 2019, 52, 1231–1245. [Google Scholar] [CrossRef]
- Yang, S.; Chen, M.; Jing, H.; Chen, K.; Meng, B. A Case Study on Large Deformation Failure Mechanism of Deep Soft Rock Roadway in Xin’An Coal Mine, China. Eng. Geol. 2017, 217, 89–101. [Google Scholar] [CrossRef]
- Zhang, L.; Einstein, H.H. Using RQD to Estimate the Deformation Modulus of Rock Masses. Int. J. Rock Mech. Min. Sci. 2004, 41, 337–341. [Google Scholar] [CrossRef]
- Singh, M.; Seshagiri, R.K. Empirical Methods to Estimate the Strength of Jointed Rock Masses. Eng. Geol. 2005, 77, 127–137. [Google Scholar] [CrossRef]
- Gao, F.Q. Simulation of Failure Mechanisms Around Underground Coal Mine Openings Using Discrete Element Modelling. Ph.D. Thesis, Simon Fraster University, Burnaby, BC, Canada, 2013. [Google Scholar]
- Gao, F.; Stead, D.; Kang, H. Numerical Simulation of Squeezing Failure in a Coal Mine Roadway due to Mining-Induced Stresses. Rock Mech. Rock Eng. 2015, 48, 1635–1645. [Google Scholar] [CrossRef]





















| Lithology | RQD | Er (GPa) | Em (GPa) | σr (MP) | σm (MPa) | Poisson’s Ratio |
|---|---|---|---|---|---|---|
| Fine Sandstone | 90 | 6.32 | 3.67 | 50.3 | 35.72 | 0.22 |
| Mudstone | 72 | 1.35 | 0.36 | 13.9 | 6.07 | 0.3 |
| Coal | 65 | 0.99 | 0.19 | 10.5 | 3.79 | 0.29 |
| Sandy mudstone | 81 | 5.43 | 2.14 | 16 | 8.90 | 0.15 |
| Lithology | Block Basic Parameters | Contact Surface Basic Parameters | ||||||
|---|---|---|---|---|---|---|---|---|
| Density (kg/m3) | K (GPa) | G (GPa) | kn (GPa/m) | ks (GPa/m) | Cohesion, C (MPa) | Friction Angle, Φ (°) (Peak/Residual) | (MPa) | |
| Fine Sandstone | 2690 | 2.18 | 1.50 | 132.52 | 53 | 11.5 | 42/36 | 1.10 |
| Mudstone | 2461 | 0.30 | 0.14 | 16.27 | 6.51 | 2.36 | 29/24 | 0.20 |
| Coal | 1400 | 0.15 | 0.08 | 8.55 | 3.42 | 1.46 | 30/25 | 0.12 |
| Sandy mudstone | 2510 | 1.02 | 0.93 | 68.83 | 27.53 | 2.80 | 37/31 | 0.50 |
| Material Properties | Bolt Unit | Structural Unit | ||||||
|---|---|---|---|---|---|---|---|---|
| Modulus of Elasticity (GPa) | Stiffness of the Grout (N/m2) | Cohesive Capacity of the Grout (N/m) | Modulus of Elasticity (GPa) | Tensile Yield Strength (MPa) | Compression Yield Strength (MPa) | Interface Normal Stiffness (GPa/m) | Interface Shear Stiffness (GPa/m) | |
| 200 | 9 | 105 | 200 | 500 | 500 | 10 | 10 | |
Publisher’s Note: MDPI stays neutral with regard to jurisdictional claims in published maps and institutional affiliations. |
© 2022 by the authors. Licensee MDPI, Basel, Switzerland. This article is an open access article distributed under the terms and conditions of the Creative Commons Attribution (CC BY) license (https://creativecommons.org/licenses/by/4.0/).
Share and Cite
Wang, Y.; Zhang, N.; Wu, W.; Cao, J.; Guo, Y.; Duan, D. Damage Data Analysis of Deep Coal Roadway Roof and Application of Long Anchorage and Zone Linkage Support Technology. Sustainability 2022, 14, 8092. https://doi.org/10.3390/su14138092
Wang Y, Zhang N, Wu W, Cao J, Guo Y, Duan D. Damage Data Analysis of Deep Coal Roadway Roof and Application of Long Anchorage and Zone Linkage Support Technology. Sustainability. 2022; 14(13):8092. https://doi.org/10.3390/su14138092
Chicago/Turabian StyleWang, Yang, Nong Zhang, Wenda Wu, Juncai Cao, Yu Guo, and Donghong Duan. 2022. "Damage Data Analysis of Deep Coal Roadway Roof and Application of Long Anchorage and Zone Linkage Support Technology" Sustainability 14, no. 13: 8092. https://doi.org/10.3390/su14138092
APA StyleWang, Y., Zhang, N., Wu, W., Cao, J., Guo, Y., & Duan, D. (2022). Damage Data Analysis of Deep Coal Roadway Roof and Application of Long Anchorage and Zone Linkage Support Technology. Sustainability, 14(13), 8092. https://doi.org/10.3390/su14138092

