Abstract
Alumni giving is an emerging funding source for industry-research-oriented universities in China, which show unstable and limited growth compared to their elite counterparts despite providing their alumni a satisfactory campus experience. Identifying the mechanisms whereby campus experience satisfaction results in steady alumni donation is essential for providing guidance on effective alumni relations practice in the Chinese context. Using structural equation modeling, this quantitative study surveyed 238 alumni of an industry-research-oriented university in China to explore the relationships among campus experience satisfaction, faculty-alumni contacts, trust in foundation, and alumni-giving intention. The results indicate that campus experience satisfaction is a significant predictor of the other three, while also indirectly affecting alumni donation willingness, which includes faculty-alumni contact and trust in foundation. It was also revealed that trust in foundation could be enhanced by strengthening contact between faculty and alumni. Theoretically, this study identifies and reveals the key determinants of increased alumni giving and their interactive mechanisms in the Chinese higher education ecosystem. For sustainability, suggestions for optimizing alumni relation practices are provided to university administrators and policymakers to advance higher education’s contribution to social and economic development.
1. Introduction
Higher education institutions (HEIs) worldwide have experienced severe cutbacks in funding over the past few years [1]. Financial pressure from the development of world-class universities and events exogenous to HEIs, such as the COVID-19 pandemic, have had an impact on traditional income sources. Universities are busy examining options for alternative funding streams, such as alumni funding. In countries like Great Britain and the United States (U.S.), alumni donations are widespread within a more market-oriented system. For instance, HEIs in the U.S. received $40.3 billion, $41 billion, and $43.6 billion in 2015, 2016, and 2017, respectively, among which alumni giving accounted for 26.9%, 24.2%, and 26.1%, respectively [2]. The proportion is even higher for Harvard, Yale, and other top universities. As is demonstrated in this paper, encouraging alumni giving can make a positive impact on the stability and longevity of HEIs. Policymakers and university leadership in Asian countries have increased donation expectations for public research universities [3,4,5]. However, research on alumni donations outside the Western context is inadequate [4] and it is unknown whether adopting American fundraising models will be successful [3].
Donations to universities in China have been increasing. From January 1980 to June 2021, universities received a total of 128.8 billion RMB (approximately 19.98 billion USD) in donations from home and abroad, of which alumni donation accounted for 33.23%, or nearly 42.8 billion RMB [6]. Alumni donation in China has also shown great potential in recent years, with alumni donation more than doubling over the last seven years. Industry-research-oriented universities are referred to in this study as key universities or colleges established or reformed by the Chinese government in the 1950s, who focus their research and teaching on the fields of traditional engineering and industry. They are directly administrated by the Ministry of Education or local governments (military colleges and universities are not included in this study) These are traditional, key public universities in China targeting industry needs and have cultivated alumni in key industry fields, including geology, mineral resources, medicine, agriculture, and transportation. However, compared to their elite counterparts in China, alumni giving to these universities are below par.
Among the top 100 universities for alumni giving in mainland China in 2021, 51 were industry-research-oriented universities, receiving approximately 11.35 billion RMB, accounting for only 26.7% of the total amounts received by all 100 universities (the data were compiled by the authors based on the 2016–2021 top 100 alumni-giving universities in mainland China from the Airuishen alumni network; the top 100 universities in China received a combined 41.26 billion RMB in alumni donations). They have also shown unstable growth, as alumni donations over the past five years were approximately 2.91, 0.63, 1.45, 0.79, and 1.8 billion RMB, respectively, even when providing students with a satisfactory campus experience (the data were compiled by the authors based on the 2016–2021 top 100 Chinese universities alumni giving from the Airuishen alumni network). Independent alumni relations departments and university foundations have been especially established at these universities in recent years, but with limited feedback. Theoretical analysis and practical guidance are needed for future improvement.
First, it is necessary to understand alumni motivation for giving to help industry-research-oriented universities increase the stability and effectiveness of their fundraising. There has been considerable research on the antecedents to alumni financial support for their alma mater, such as alumni affective commitment [7], trust [8], loyalty [9], alumni identity [3], and a sense of belonging [10] to the university. These elements are related to alumni study experiences at their university [11,12,13,14]. In other words, graduates leave college with an assessment of their experience and sentiments toward their alma mater. Thus, we propose that campus experience satisfaction plays a critical role in motivating alumni to give to their alma mater in Chinese industry-research-oriented universities.
Apart from study experience, it is also believed that the relationship between alumni and their alma mater would be enhanced by effective interactions, providing practical guidance for alumni relation departments. Research has illustrated that more frequent faculty-alumni communication predicts higher levels of alumni donation [15,16,17,18], while alumni trust in the university’s foundation plays a key role in stimulating monetary donations [19,20,21]. Research has also revealed a connection among campus experience satisfaction, faculty-alumni contact, and trust in foundation [8,15,22,23]. Based on these findings, we set out to further test whether faculty-alumni contact and trust in foundation are possible paths whereby campus experience satisfaction turns into alumni donation willingness. Such findings would provide suggestions for refining the underdeveloped alumni relations practices.
This research aims to reveal the possible underlying mechanism of alumni giving in Chinese industry-research-oriented universities. Specifically, the research objectives are twofold: first, to verify whether campus experience satisfaction is an effective predictor of alumni giving to Chinese industry-research-oriented universities; second, to reveal the mechanisms which turn campus experience satisfaction into alumni intention to donate, so as to provide guidance for effective alumni relation practice. Faculty-alumni contact and trust in foundation are two possible mediating factors that could be considered. Therefore, we developed and examined seven hypotheses using structural equation modeling, with data collected from an industry-research-oriented university in China.
The contributions of this study are as follows: (i) Identify and reveal the key determinants of alumni giving intentions and their interactions, which contribute to an emerging strand of financial economics research devoted to analyzing university and college endowments. (ii) Investigate the possible paths (both direct and indirect) forming the dynamic mechanisms that finally attract alumni giving while maintaining a virtuous circle for the higher education ecosystem. (iii) For sustainability, propose targeted suggestions for optimizing alumni relations practices, provided to university administrators and policymakers to advance higher education’s contribution to social and economic development in China.
The remainder of the article is structured as follows: Section 2 presents the hypothesis development and discusses the relevant literature. Section 3 and Section 4 present the methods, data analysis, and results. Section 5 discusses the findings, theoretical and managerial implications, limitations, and potential directions for future research, and Section 6 concludes.
2. Hypothesis Development
2.1. Campus Experience Satisfaction and Donation Willingness
Alumni giving is determined by the willingness of alumni to donate, which is closely connected to their campus experience. Satisfaction with one’s campus experience expresses the alumni’s approval of their alma mater, which has the potential for triggering feelings of attachment and gratitude that facilitate donation intentions. Utter et al. [24] argued that students’ evaluation of their campus experience directly affects their attitude toward their alma mater after graduation, and their satisfaction with their education has implications for their giving decisions. Shank et al. [25] suggested that the process of students receiving higher education resembles the process of customers receiving service, and the quality of education is evaluated by students [26], a perspective based on service quality theory [27]. Thus, if the perceived quality is better, students are more satisfied with their campus experience and will be more generous donors after graduation. For example, Marr et al. [28] found that alumni with a higher quality experience have more positive feedback on fundraising activities. In addition to overall satisfaction with their student experience and the quality of education service [29], some studies have focused on the positive influence of academic and extracurricular experiences on the possibility and amounts of donation. Specifically, alumni who are highly satisfied with their academic experience have a huge potential to donate or participate in university-sponsored events [11]. Those who actively participated in extracurricular activities and engaged in non-academic groups (fraternities, sororities, and sports) are more satisfied with their institution, which is highly correlated with a higher financial contribution to their alma mater [12,13,28,30].
In summary, the higher the level of satisfaction with their campus experience, the more likely alumni are to give to the university. Thus, we hypothesize the following:
Hypothesis 1 (H1).
Campus experience satisfaction is positively related to donation willingness.
2.2. Faculty-Alumni Contact and Donation Willingness
The degree of contact and interaction between alumni and faculty members after graduation plays an important role in encouraging and motivating donation behavior [18]. There is no denying that interpersonal communication between teachers and students produces positive emotions [31]; even 30 years after graduation, what alumni remember most is still a professor’s care [15]. A harmonious student–faculty relationship enhances alumni’s organizational identity and social expectations, and memory of the student–faculty relationship further influences their behaviors, including donation [17]. Moreover, the frequency of contact with faculty directly affects alumni giving [13]. In other words, long-term interaction with their alma mater makes alumni donate more generously and this effect can persist for a long time [32]. Moreover, a close relationship between teachers and students is beneficial to enhancing alumni’s sense of commitment [33]. Similarly, extra attention from faculty to alumni can also significantly improve alumni’s evaluation of their satisfaction with their alma mater [16]. Keeping in touch with alumni through activities, such as university celebrations and alumni reunions can effectively deepen alumni affection for their alma mater and help universities raise money from them [29].
Based on these findings, we posit that maintaining stable, long-term relationships with their alma mater can lead alumni to more positive attitudes toward donations. It is assumed that the more faculty-alumni contact there is, the more likely alumni are to donate, leading to the following hypothesis:
Hypothesis 2 (H2).
Faculty-alumni contact is positively related to donation willingness.
2.3. Trust in Foundation and Donation Willingness
Trust, defined by Morgan and Hunt [34] as “when one party has confidence in an exchange partner’s reliability and integrity,” has been widely used in education studies. Philanthropic foundations always seek to build a responsible and effective image in order to win donor trust, thereby attracting more donations [35,36]. Likewise, it is reasonable to believe that trust in a university’s foundation would increase alumni giving.
A previous study investigating trust in universities confirmed that trust “play[ed] a key role in shaping alumni attitudes toward donations” in U.S. and Italian universities [8]. In this study, trust in university foundation was chosen as a potential predictor not only because of its rarity and novelty, but because it fits better in the Chinese context. On one hand, a university’s good reputation does not always guarantee a positive image for its foundation, since the latter is usually newly built and lacks experience and resources. On the other hand, we adopted trust rather than transparency or effectiveness as the proxy variable due to the limited financial disclosures of most university foundations.
Thus, it is assumed that the greater the trust alumni have in their alma mater’s foundation, the more likely they are to donate. If alumni believe that the university foundation can arrange the use of donated funds according to the wishes of donors in a fair and transparent manner, and reasonably allocate the donated funds (e.g., for basic campus construction or to help poor students), then alumni can fully affirm the work of the foundation. This assumption would trigger a higher willingness to donate; therefore, we develop the following hypothesis:
Hypothesis 3 (H3).
Trust in foundation is positively related to donation willingness.
2.4. The Mediating Role of Faculty-Alumni Contact
Alumni’s assessments of their college experiences may have significant implications for the faculty–alumni relationship after graduation. Some studies have shown that frequent academic and non-academic interaction can enhance the interpersonal relationship between students and teachers, which may impact their subsequent donation behavior [15]. Frisby et al. [17] explicitly pointed out that the theme alumni recalled most frequently about their relationship was non-academic support from teachers. Thus, extracurricular experience would enrich the topics discussed between faculty and students, facilitating more communication. Considering the key role of faculty-alumni contact in enhancing interactions and improving the relationship between alumni and their alma mater, Clotfelter [16] confirmed that faculty-alumni contact could enhance alumni satisfaction with their alma mater and thereby contribute to increased donations. Furthermore, McAlexander and Koenig [23] found that the university experience could affect student–university ties (past and present relationships), and that financially contributing to universities is also strongly influenced by this relationship. Based on these findings, it could be hypothesized that the higher the level of alumni satisfaction with their campus experience, the stronger faculty-alumni contact is after graduation, and the more likely they are to donate. Therefore, we offer the following hypotheses:
Hypothesis 4 (H4).
Campus experience satisfaction is positively related to faculty-alumni contact.
Hypothesis 5 (H5).
Faculty-alumni contact mediates the effect of campus experience satisfaction on donation willingness.
2.5. The Mediating Role of Trust in Foundation
Academic experience, extracurricular experience, and the perceived quality of other services [37] influence alumni evaluations of their alma mater, including their understanding and judgment of the alma mater’s foundation. Studies have shown that students’ satisfaction with their campus experience influences their perception of the university’s image [38], and being part of the university organization also affects the foundation’s image. If the university foundation establishes favorable governance and transparency and has a reliable public image, it will gain the alumni’s trust. As alumni trust in their alma mater’s foundation increases, their willingness to donate should also increase.
It is worth noting that the disclosure of the use of donated funds by university foundations to alumni donors may also affect current students’ (potential donors) willingness to support and trust of the foundation, thereby affecting their donation willingness. Hence, whether donors are willing to donate generously and continuously to universities depends on whether the information between donors and universities is symmetrical. If donor alumni fail to receive effective, timely feedback from the university and do not know how the donated funds are used afterwards, this not only affects their donor trust toward the foundation’s operations, but also impacts current students’ perception of the university’s foundation. This can influence their assessments of their campus experience, eventually leading to reduced trust in the foundation and a lower likelihood of donation.
Therefore, it could be assumed that the more alumni enjoy and are satisfied with the university, the more they trust in the university’s foundation, and the more likely they are to give back to their alma mater after graduation. Thus, we formulated the following hypotheses:
Hypothesis 6 (H6).
Campus experience satisfaction is positively related to trust in foundation.
Hypothesis 7 (H7).
Trust in foundation mediates the effect of campus experience satisfaction on donation willingness.
2.6. The Sequential Mediating Role of Faculty-Alumni Contact and Trust in Foundation
Previous research strongly supports that nurturing a positive relationship with alumni plays an important role in fostering the growth of trust in the foundation [35,39]. In fact, contact with alumni, whether in the name of the university, college, or faculty, provides a platform for alumni to be informed of the university’s latest developments, and also learn about the university foundation, including basic information and program and donation information, helping them perceive a trustworthy image of the foundation. Enhancing strong bonds with alumni can facilitate information transmission and communication with institutions. If alumni recognize the honesty of their alma mater, then trust arises [40].
Therefore, it is expected that faculty-alumni contact and trust in foundation play sequential, mediating roles in the positive effect of campus experience satisfaction on donation willingness. Specifically, campus experience satisfaction can improve the relationship between alumni and faculty [15,17,23]. Alumni generally maintain and reinforce an effective interaction with faculty to keep abreast of the university’s development and the foundation’s information, on which basis they easily develop trust toward their alma mater’s foundation [39,40]. Alumni trust in foundation thus promotes donation willingness [8,41]. Overall, if alumni have a positive evaluation of their academic and non-academic experience, they are inclined to have frequent communication and contact with faculty both before and after graduation. Such an effective interaction can enhance alumni trust in foundation, which can further promote donation willingness. As such, campus experience satisfaction can positively influence donation willingness through the sequential mediation of faculty-alumni contact and trust in foundation.
Thus, we posit the following hypotheses:
Hypothesis 8 (H8).
Faculty-alumni contact is positively related to trust in foundation.
Hypothesis 9 (H9).
Faculty-alumni contact and trust in foundationsequentially mediates the effect of campus experience satisfaction on donation willingness.
The theoretical model guiding our research and related hypotheses are described in Figure 1.
Figure 1.
Theoretical model.
3. Methods
3.1. Participants and Procedure
To test our hypotheses, we performed a questionnaire survey at M University in Beijing (China), which is a “double first-class” discipline-developing university and a 112-year-old industry-research-oriented institution with slightly more graduate than undergraduate students. The participants were primarily alumni of the sample university, who had earned bachelor’s, professional master’s, academic master’s, and doctoral degrees. Prior to data collection, a standardized and structured questionnaire was developed based on a review of the literature, and five academic experts were invited to improve the structure and questionnaire items to ensure content validity [42]. Based on the results of a pilot test with 78 participants conducted between May and July 2021, we adjusted any ambiguous items and removed repetitive ones. The formal survey was then initiated, using a modified questionnaire between October 2021 and January 2022.
The questionnaire was sent to participants recruited from alumni groups of the sample university in the form of an online link through WeChat (a social networking platform, widely used in China), from which we obtained our convenience sample. During the data collection period, respondents were asked whether they would like to voluntarily participate in a study on alumni giving and told that they would complete an online survey that would take approximately 5–10 min. They were also informed that participation was anonymous, all data would be used for statistical analysis, and that sensitive personal information would not be recorded. Finally, respondents were reminded that there was no right or wrong way to answer the questions.
A total of 335 questionnaires were collected, of which 97 were removed due to being incorrectly filled in and having missing values or invalid responses (e.g., excessively short answering time or the same answers for each item). Thus, a final 238 responses were used in our analysis, representing an effective response rate of 71.04%. According to the descriptive statistical results of the valid samples (see Table 1), 116 respondents were men (48.7%) and 122 were women (51.3%). Most alumni were young (84.9% under 35 years old), with median annual income (between 100,000 and 300,000 RMB, equivalent to approximately 15,000 to 45,000 USD; accounting for 52.5%), and most held master’s or doctoral degrees (79.4%). A majority chose to work in Beijing (68.9%) and nearly half were in management positions (42.8%).
Table 1.
Descriptive statistics (N = 238).
3.2. Measurement
The measurement scale included four constructs: campus experience satisfaction, faculty-alumni contact, trust in foundation, and donation willingness. In total, there were 19 items, and all the measures were scored on a six-point Likert scale (1–strongly disagree, 6–strongly agree). The six-point scale is selected primarily to avoid the “neutrality” choice, which is common in Asian countries [43]. Thus, respondents must make a tendency choice [42], that is, they tend to agree or disagree, and there is no mid-point option [44,45,46,47,48,49]. Campus experience satisfaction and trust in foundation were measured using four items each, faculty-alumni contact was assessed using five items, and six items were used to measure donation willingness. All the participants were from China; thus, the original scale was in Mandarin. Table 2 presents each construct and the corresponding measurement items in detail. Finally, we emphasize that the final sample of 238 is more than 10 times the number of items (19) and can therefore be considered quite sufficient [50,51,52].
Table 2.
Measurement items.
4. Data Analysis and Results
We chose covariance-based structural equation modeling (CB-SEM) to analyze the data and test the hypotheses (see Figure 1). The main purpose of this study was to reveal the complex relationships among campus experience satisfaction, faculty-alumni contact, trust in foundation, and donation willingness in more than 200 respondents. Hence, the CB-SEM method was considered appropriate [57,58]. Data analysis was conducted using SPSS version 24.0 and AMOS version 24.0. SPSS was used to perform Harman’s one-factor test and reliability analysis and AMOS was applied to assess construct validity and hypothesis testing.
4.1. Common Method Bias
All items were answered by the same person, which might have resulted in common method bias (CMB). Following Podsakoff et al. [59], a procedural remedy was enforced to reduce the possibility of CMB by anonymizing responses and improving items. In addition, Harman’s one-factor test was used to evaluate the extent of CMB. If a single strong factor can explain the majority of variance, CMB is most likely present in the data. The amount of CMB can be determined by the first unrotated factor in an exploratory factor analysis [60]. In this study, four factors were identified, and the first unrotated factor explained 48.468% of the variance, which did not account for the majority (more than 50%) [61], indicating that CMB was not a serious concern.
4.2. Measurement Model
Reliability and construct validity (convergent and discriminant validity) were measured to test the measurement model. The study evaluated the reliability of all constructs using Cronbach’s alpha coefficient. Table 3 shows Cronbach’s alpha for each individual construct ranging from 0.870 to 0.925, all above the suggested standard of 0.7 [62], indicating that the reliability of the measurement model has been satisfied.
Table 3.
Reliability and convergent validity.
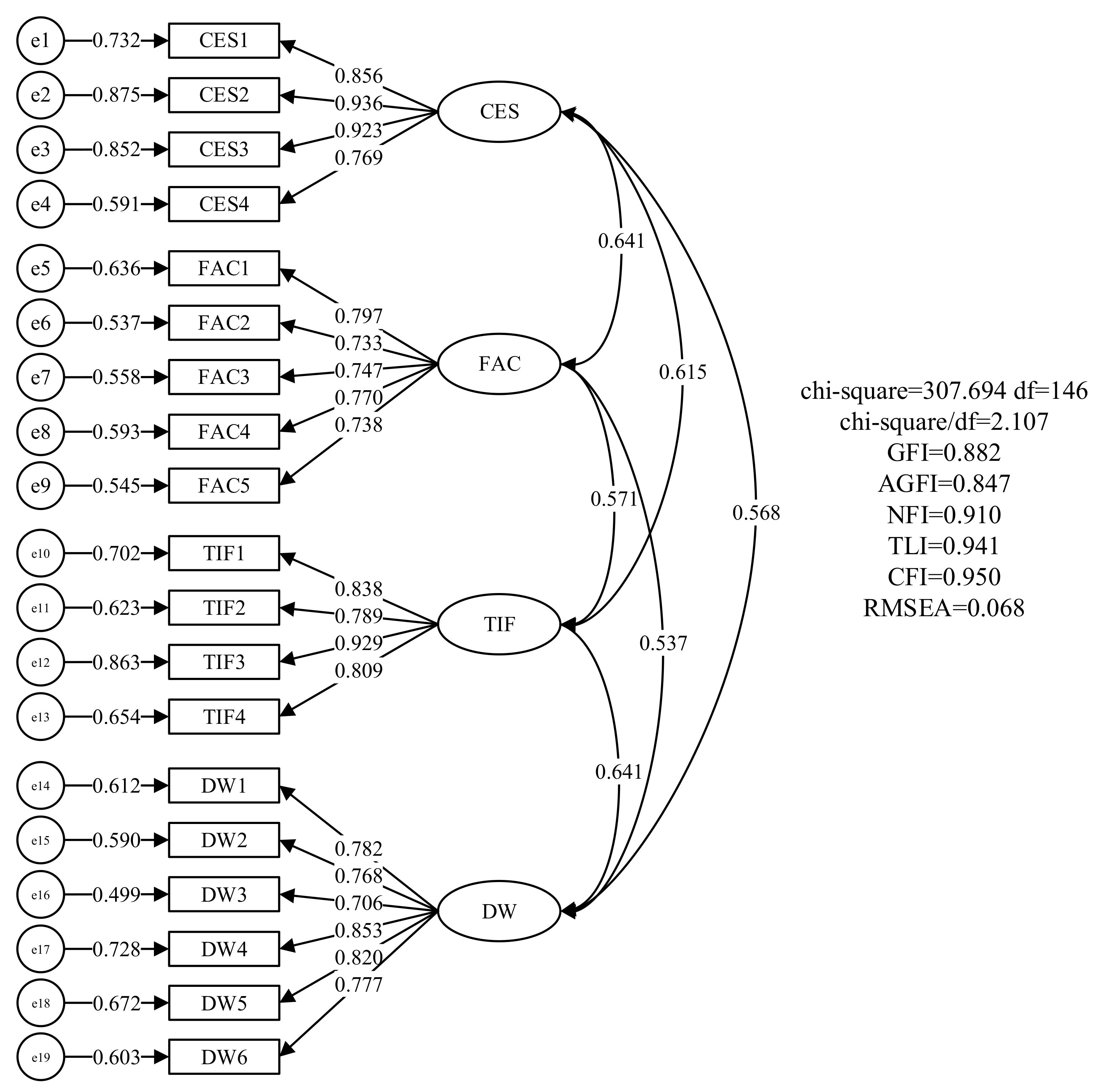
Confirmatory factor analysis was performed to determine construct validity [57]. The measurement model’s goodness of fit was examined using multiple fit indices before validity analysis: the χ2/df ratio, GFI, AGFI, NFI, TLI, CFI, and RMSEA [63]. The χ2/df ratio was less than 3 and GFI and AGFI were greater than the accepted cutoff values of 0.8, whereas the NFI, TLI, and CFI values were above 0.9, and RMSEA was below 0.08 (recommended standard), which were considered evidence of good fit [57,64,65]. The results demonstrated that the measurement model fitted the data well, as the values exceeded the thresholds (χ2/df = 2.107; GFI = 0.882; AGFI = 0.847; NFI = 0.910; TLI = 0.941; CFI = 0.950; and RMSEA = 0.068) (Figure 2).
Figure 2.
Measurement model.
Factor loadings, composite reliability (CR), and average variance extracted (AVE) were used to assess convergence validity [66]. The factor loadings of all items ranged from 0.706 to 0.936, and the t-values indicated that they were significant at the 0.001 level [67]. CR values were between 0.871 and 0.928, which far exceed the suggested value of 0.6 [68]. Furthermore, the values of AVE were between 0.574 and 0.763, greater than the cutoff value of 0.5 [67]. Therefore, the measurement model showed good convergent validity, as shown in Table 3. Similarly, an assessment of the discriminant validity was conducted using the Fornell–Larcker criterion. The square root of the AVE from each construct was no less than the correlations between them [66]. Thus, the measurement model has adequate discriminant validity, as shown in Table 4.
Table 4.
Discriminant validity.
4.3. Structural Model
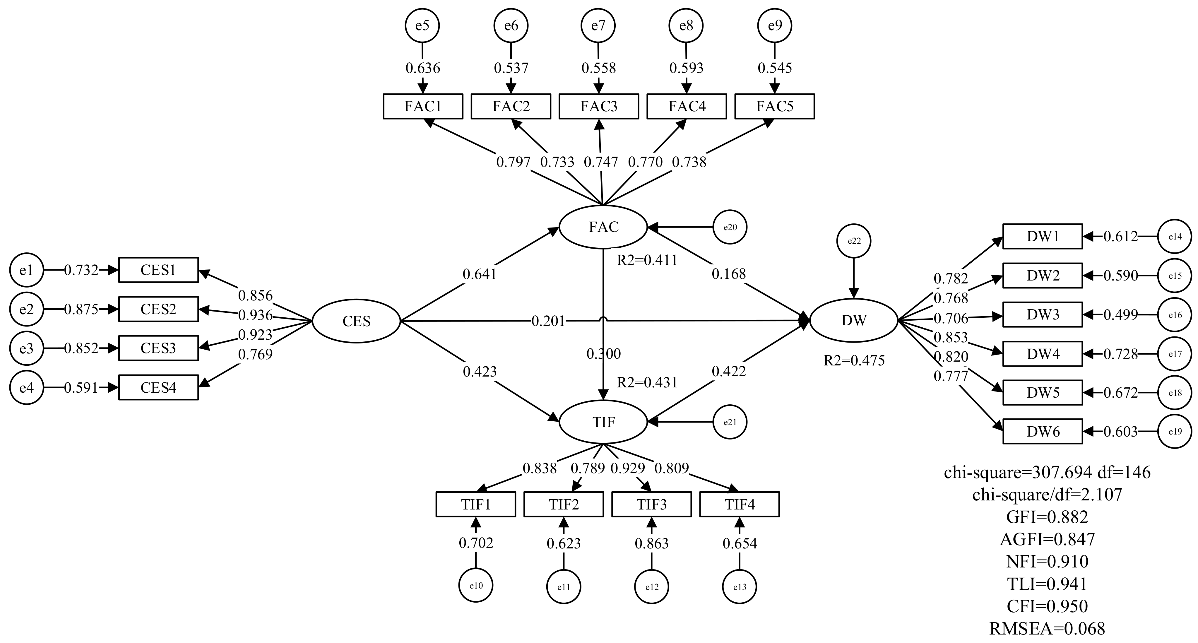
After confirming the reliability and construct validity of the measurement model, the structural model was further assessed. The structural model analysis results show that the proposed model has a good fit, with all values meeting the recommended standards (Figure 3): χ2/df = 2.107 (<3), GFI = 0.882 (>0.8), AGFI = 0.847 (>0.8), NFI = 0.910 (>0.9), TLI = 0.941 (>0.8), CFI = 0.950 (>0.8), and RMSEA = 0.068 (<0.08). Campus experience satisfaction can explain about 41.1% and 43.1% of the variance of faculty-alumni contact and trust in foundation, respectively. Altogether, the model accounted for 47.5% of the variance in donation willingness, as shown in Figure 3 and Table 5.
Figure 3.
Structural model results.
Table 5.
Hypothesis testing (direct effect).
In addition, the size and significance of the path coefficients were tested. It was found that donation willingness is successfully predicted by campus experience satisfaction (β = 0.201, t = 2.456, p < 0.05), faculty-alumni contact (β = 0.168, t = 2.045, p < 0.05), and trust in foundation (β = 0.422, t = 5.266, p < 0.001), supporting H1, H2, and H3. These findings imply that greater campus experience satisfaction, closer faculty-alumni contact and high levels of trust in foundation are significant accelerators for alumni to donate to their alma mater. Moreover, campus experience satisfaction positively affects faculty-alumni contact (β = 0.641, t = 9.170, p < 0.001) and trust in foundation (β = 0.423, t = 5.302, p < 0.001), providing support for H4 and H6. These findings indicate that if alumni are more satisfied with their campus experience, they are inclined to maintain strong communication and contact with faculty and have a favorable impression of the operation of their alma mater foundation, thus increasing levels of trust in foundation. Likewise, faculty-alumni contact has a significant positive effect on trust in foundation (β = 0.300, t = 3.684, p < 0.001), and thus statistically supports H8, which implied that alumni with close contact to faculty tend to trust the university foundation.
4.4. Mediation Effect Analysis
Following Preacher and Hayes [69], a bootstrapping indirect effect method was applied to investigate the mediating effect of faculty-alumni contact and trust in foundation. The bootstrap estimates presented in this study were based on 5000 bootstrap samples [70]. As illustrated in Table 6, the indirect effect of campus experience satisfaction on donation willingness via faculty-alumni contact was 0.108, and the 95% CI [0.001, 0.238] does not include zero, indicating that faculty-alumni contact mediates the effect of campus experience satisfaction on donation willingness; thus, H5 is accepted. Similarly, the indirect effect of campus experience satisfaction on donation willingness via trust in foundation was 0.178, and the 95% CI [0.087, 0.306] does not include zero, indicating that trust in foundation has a mediating role in the relationship between campus experience satisfaction and donation willingness, which supports H7. Furthermore, the indirect effect of campus experience satisfaction on donation willingness via faculty-alumni contact and trust in foundation was 0.081 with a 95% CI [0.038, 0.152]. These results indicate that faculty-alumni contact and trust in foundation sequentially mediate the effect of campus experience satisfaction on alumni donation willingness, supporting H9.
Table 6.
The indirect effect, direct effect, and total effect of multiple mediations.
We estimated the overall mediation sequences linking campus experience satisfaction to donation willingness. All paths were significant and in the predicted direction; thus, the overall mediation model was supported. Furthermore, campus experience satisfaction had a total indirect effect of 0.367 (95% CI [0.236, 0.513]) and direct effect of 0.201 (95% CI [0.027, 0.394]) on donation willingness, accounting for 64.61% and 35.39% of the total effect, respectively. More specifically, three indirect mediating effects accounted for 19.01%, 31.34%, and 14.26% of the total effect, respectively. Accordingly, our mediation model was validated and well supported.
5. General Discussion
5.1. Summary and Explanation of Findings
Our results identify three key predictors of alumni donation and their interactive relationship in the industry-research-oriented universities of mainland China. The results indicate that campus experience satisfaction is a significant predictor of faculty-alumni contact, trust in foundation, and donation willingness. We also confirmed the significant impact of faculty-alumni contact on alumni donation willingness in this study, corroborating prior studies [13,18,23]. Alumni trust in these universities’ foundations could be nourished by faculty-alumni contact, strongly increasing alumni donors’ behavioral intention.
The mediating role further opens the “black boxes” of how campus experience satisfaction affects alumni donor behavioral intention through three possible indirect paths, which could be explained as follows:
First, the “campus experience satisfaction → faculty-alumni contact → donation willingness” path stimulates those satisfactory memories through frequent contact with relevant people so as to induce the feeling of gratitude and intention to repay.
Second, the “campus experience satisfaction → trust in foundation → donation willingness” path is shown to be the most influential, reflecting a halo effect. Alumni usually have relatively limited interactions with Chinese university foundations as students because the foundations are fairly new and lack the information, experience, and resources for intensive contact. Thus, a satisfactory campus experience would fill the memory gap of the foundation by projecting a responsible image with great effectiveness, thereby attracting more donations.
Third, the “campus experience satisfaction → faculty-alumni contact → trust in the foundation → donation willingness” path reflects a unique trust-building mechanism in the Chinese context. Trust is a decisive factor in triggering financial giving and would be better incited by interactions with acquaintances with whom grateful and impressive memories were made.
Such findings improve our understanding of the mechanism underlying the key antecedents of alumni giving.
5.2. Theoretical Implications
Theoretically, our work identifies and reveals the key determinants of increased alumni giving and their interactive mechanisms in the Chinese higher education ecosystem. Our findings not only enrich the literature by analyzing the antecedents of alumni donation, but also deepen the understanding of the roles played by trust and contact in nurturing a sustainable cycle of satisfactory experience and steady alumni financial support.
Specifically, it was revealed that trust in the foundation is a vital determinant and decisive link to donation in the higher education sphere. The existing literature on alumni giving rarely discusses the role of trust and, even less so, trust in the foundation, warranting in-depth analysis [8]. This study found that alumni trust in the foundation had an even greater predictive power than campus experience, which may explain why some Chinese millionaires donate to foreign elite universities rather than their Chinese alma mater because the foundation does not provide transparency [41]. In addition, as an indispensable segment of the mechanism, either contacts or satisfaction could be transferred to trust, leading to financial contribution.
Faculty-alumni contact is also identified not only as an important predictor of financial giving, but also as a key catalyst in stimulating the dynamic of trust in the foundation and campus experience, which is novel to the current research. Contacts not only help deepen interpersonal relationships but also help the university maintain a healthy and harmonious ecosystem. Alumni play a key role in this relationship, strengthening the interconnection and interdependencies between education, society, and the economy, targeting and meeting university and industry needs, and reminding the university to be socially accountable in the knowledge-based economy and innovative world [71,72].
5.3. Managerial Implications
On one hand, refining the campus experience for students (as future alumni and potential donors) is continuous but critical work in order to build a sustainable ecosystem for Chinese industry-research-oriented universities. Providing more opportunities for students to study and exchange, enriching students’ extracurricular activities, and building high-level teaching teams and improving other services would ensure better education quality and environment, guaranteeing broader career choices for alumni and social accountability for the university in cultivating industry elites. Industry elites could then propel economic prosperity and technological transformation, reflecting on the university through a sustainable development environment and ample resources.
On the other hand, primary efforts should be invested in cultivating contact between faculty and students instead of on training or enrolling professional fundraisers in Chinese universities. As the results show, faculty-alumni contact does not only trigger more donation directly, it also promotes alumni trust in the university foundation, which in turn would bring in more donations. Registered as nonpublic foundations, public university foundations in China are similar to other government-organized nongovernmental organizations (GONGOs), which are highly accountable to the government and university, with abundant concerns and hidden restrictions on lobbying or investing. Hence, solicitors or marketers would not function well under the institution. Thus, it is better to use the available resources to facilitate more chances and a better platform for faculty and alumni contact and to foster a culture that supports regular, long-term mechanisms for faculty-alumni contact.
In addition, it is crucial for the university foundation to maintain a trusted image. Among all the factors, openness and transparency are central factors that not only affect the initiative of alumni who have donated, but also affect the donation decisions of potential donors. In order to generate a sustainable donation, universities should disclose the public donation information and the use of funds through a variety of channels (e.g., official websites, electronic mail, and social media accounts) to gain the respect and trust of alumni and make them feel that their donations are needed and valued. This will nourish the favorable reputation and trustworthiness of the university, eventually contributing to alumni-giving enthusiasm and encouraging donation behavior.
Finally, alumni donations are given on the condition that they help the development of their alma mater in the long run, either by building an elite, professional image or by creating an equal and harmonious atmosphere. Alternative projects designed for alumni donation should thus pay greater attention to advantageous disciplines and the long-term development of the university.
5.4. Limitations and Future Research
Some factors that may affect the study outcomes were discovered after revealing the mediation effect. However, there are still several limitations. First, our data relied on alumni self-reporting and were collected at a single time point, increasing the risk of CMB despite procedural controls, such as a pilot study and questionnaire modifications according to expert suggestions. However, Harman’s single factor statistical test indicated that CMB was not serious in this study. In the future, data should be collected at multiple time points. Second, the results cannot support general causal claims because the data collection period may have been too brief. Future research should adopt a longitudinal design to better capture alumni intention and behavior regarding donation. Third, we employed a convenience sample drawn mainly from an industry-research-oriented university in mainland China, which may reduce the generalizability of the results to other HEIs. Future studies would benefit from data collected from other industry-research-oriented universities as well as comprehensive universities, even from different cultural contexts. Finally, our study is limited in its predictions by only considering campus experience satisfaction, faculty-alumni contact, and trust in foundation as antecedents of donation willingness. In the future, it would be interesting to analyze demographic characteristics (e.g., age, gender, religious beliefs, household income, marital status, education, and career) and other contextual factors [73,74]. Similarly, we also encourage future studies to consider the actual behavior of alumni giving as an outcome variable, which could have greater social implications.
6. Conclusions
It is vital for HEIs to understand why alumni are willing to give to their alma mater, especially under recent server financial pressure. In this study, we explored the effect of alumni campus satisfaction on donation willingness in a Chinese industry-research-oriented university context through different paths. The results reaffirm the positive effect of campus satisfaction on alumni giving, and the direct and sequential mediating roles of faculty-alumni contact and trust in foundation were particularly examined. In addition, the study also shows that alumni trust in the foundation has an even greater predictive power than campus experience satisfaction and faculty-alumni contact. This study contributes to theoretically enriching the research on the antecedents of alumni donation, while deepening the understanding of key interactive mechanisms of increasing alumni giving in the Chinese higher education ecosystem. The managerial implications of this study provide targeted guidance with the context of Chinese HEIs. We hope that this study can help researchers further examine the predictors and their interactive mechanisms of alumni-giving behavior in the future.
Author Contributions
Conceptualization, L.M.; methodology, Y.Z.; formal analysis, L.M.; data curation, Y.Z.; investigation, L.M. and Y.Z.; validation, Y.Z.; writing—original draft preparation, L.M. and Y.Z.; writing—review and editing, L.M. and Y.Z.; funding acquisition, L.M. and Y.Z. contributed equally to this manuscript. All authors have read and agreed to the published version of the manuscript.
Funding
This study has been supported by National Office for Education Science Planning, P. R. China (Grant No. BFA180062).
Institutional Review Board Statement
This study was conducted in accordance with ethical regulations and approved by the Ethics Committee of China University of Mining and Technology-Beijing (20200321).
Informed Consent Statement
Informed consent was obtained from all subjects involved in the study.
Data Availability Statement
The data presented in this study are available on request from the corresponding author.
Conflicts of Interest
The authors declare no conflict of interest.
References
- Stephenson, A.L.; Yerger, D.B. The Role of Satisfaction in Alumni Perceptions and Supportive Behaviors. Serv. Mark. Q. 2015, 36, 299–316. [Google Scholar] [CrossRef]
- Council for Aid to Education. 2016/2017 Voluntary Support for Education [EB/OL]. 2018. Available online: Https://Cae.Org/Images/Uploads/Pdf/VSE-2017-Press-Release.Pdf (accessed on 8 March 2018).
- Drezner, N.D. Philanthropic Mirroring: Exploring Identity-Based Fundraising in Higher Education. J. High. Educ. 2018, 89, 261–293. [Google Scholar] [CrossRef]
- Rohayati, M.; Najdi, Y.; Williamson, J. Philanthropic Fundraising of Higher Education Institutions: A Review of the Malaysian and Australian Perspectives. Sustainability 2016, 8, 541. [Google Scholar] [CrossRef]
- Sung, C.-I. Investigating Philanthropy Initiatives in Chinese Higher Education. Volunt. Int. J. Volunt. Nonprofit Organ. 2016, 27, 2514–2535. [Google Scholar] [CrossRef]
- Airuishen Research Institute. 2021Chinese University Alumni Giving Rankings. Available online: Http://www.Chinaxy.Com/2022index/News/News.Jsp?Information_id=1915 (accessed on 13 March 2022).
- Poole, S.M. Developing Relationships with School Customers: The Role of Market Orientation. Int. J. Educ. Manag. 2017, 31, 1054–1068. [Google Scholar] [CrossRef]
- Francioni, B.; Curina, I.; Dennis, C.; Papagiannidis, S.; Alamanos, E.; Bourlakis, M.; Hegner, S.M. Does Trust Play a Role When It Comes to Donations? A Comparison of Italian and US Higher Education Institutions. High. Educ. 2021, 82, 85–105. [Google Scholar] [CrossRef]
- Snijders, I.; Wijnia, L.; Rikers, R.M.J.P.; Loyens, S.M.M. Alumni Loyalty Drivers in Higher Education. Soc. Psychol. Educ. 2019, 22, 607–627. [Google Scholar] [CrossRef]
- Drezner, N.D.; Pizmony-Levy, O. I Belong, Therefore, I Give? The Impact of Sense of Belonging on Graduate Student Alumni Engagement. Nonprofit Volunt. Sect. Q. 2021, 50, 753–777. [Google Scholar] [CrossRef]
- Gaier, S. Alumni Satisfaction with Their Undergraduate Academic Experience and the Impact on Alumni Giving and Participation. Int. J. Educ. Adv. 2005, 5, 279–288. [Google Scholar] [CrossRef]
- Meer, J.; Rosen, H.S. The Impact of Athletic Performance on Alumni Giving: An Analysis of Micro Data. Econ. Educ. Rev. 2008, 28, 287–294. [Google Scholar] [CrossRef]
- Monks, J. Patterns of Giving to One’s Alma Mater among Young Graduates from Selective Institutions. Econ. Educ. Rev. 2003, 22, 121–130. [Google Scholar] [CrossRef]
- Naeimah Saraeh, U.; Abdul Rahman, N.I.; Noordin, N.; Ramlan, S.N.; Ahmad, R.; Sakdan, M.F. The Influence of Students’ Experience on Alumni Giving in Malaysian Public Educational Institution. MATEC Web Conf. 2018, 150, 05030. [Google Scholar] [CrossRef]
- Carson, B.H. Thirty Years of Stories: The Professor’s Place in Student Memories. Change Mag. High. Learn. 2010, 28, 11–17. [Google Scholar] [CrossRef]
- Clotfelter, C.T. Interracial Contact in High School Extracurricular Activities. Urban Rev. 2002, 34, 25–46. [Google Scholar] [CrossRef]
- Frisby, B.N.; Sidelinger, R.J.; Tatum, N.T. Alumni Recollections of Interactions with Instructors and Current Organizational Identification, Commitment, and Support of the University. Commun. Rep. 2019, 32, 161–172. [Google Scholar] [CrossRef]
- Iskhakova, L.; Hoffmann, S.; Hilbert, A. Alumni Loyalty: Systematic Literature Review. J. Nonprofit Public Sect. Mark. 2017, 29, 274–316. [Google Scholar] [CrossRef]
- Buchheit, S.; Parsons, L.M. An Experimental Investigation of Accounting Information’s Influence on the Individual Giving Process. J. Account. Public Policy 2006, 25, 666–686. [Google Scholar] [CrossRef]
- Hyndman, N.; Mcconville, D. Transparency in Reporting on Charities’ Efficiency: A Framework for Analysis. Nonprofit Volunt. Sect. Q. 2016, 45, 844–865. [Google Scholar] [CrossRef]
- Petrovits, C.; Shakespeare, C.; Shih, A. The Causes and Consequences of Internal Control Problems in Nonprofit Organizations. Account. Rev. 2010, 86, 325–357. [Google Scholar] [CrossRef]
- Heffernan, T.; Wilkins, S.; Butt, M.M. Transnational Higher Education: The Importance of Institutional Reputation, Trust and Student-University Identification in International Partnerships. Int. J. Educ. Manag. 2018, 32, 227–240. [Google Scholar] [CrossRef]
- McAlexander, J.H.; Koenig, H.F. University Experiences, the Student-College Relationship, and Alumni Support. J. Mark. High. Educ. 2001, 10, 21–44. [Google Scholar] [CrossRef]
- Utter, D.B.; Noble, C.H.; Brady, M. Investing in the Future: Transforming Current Students into Generous Alumni. Fund Rais. Manag. 1999, 30, 31–36. [Google Scholar]
- Shank, M.D.; Walker, M.; Hayes, T. Understanding Professional Service Expectations: Do We Know What Our Students Expect in a Quality Education? Serv. Mark. Q. 1996, 13, 71–89. [Google Scholar] [CrossRef]
- Hadikoemoro, S. A Comparison of Public and Private University Students Expectations and Perceptions of Service Quality in Jakarta. Ph.D. Thesis, Nova Southeastern University, Fort Lauderdale, FL, USA, 2001. [Google Scholar]
- Parasuraman, A.; Zeithaml, V.A.; Berry, L.L. SERVQUAL: A Multiple-Item Scale for Measuring Consumer Perceptions of Service Quality. J. Retail. 1988, 64, 12–40. [Google Scholar]
- Marr, K.A.; Mullin, C.H.; Siegfried, J.J. Undergraduate Financial Aid and Subsequent Alumni Giving Behavior. Q. Rev. Econ. Financ. 2005, 45, 123–143. [Google Scholar] [CrossRef]
- Wunnava, P.V.; Lauze, M.A. Alumni Giving at a Small Liberal Arts College: Evidence from Consistent and Occasional Donors. Econ. Educ. Rev. 2001, 20, 533–543. [Google Scholar] [CrossRef]
- Clotfelter, C.T. Alumni Giving to Elite Private Colleges and Universities. Econ. Educ. Rev. 2003, 22, 109–120. [Google Scholar] [CrossRef]
- Frymier, B.; Houser, L. The Teacher-Student Relationship as an Interpersonal Relationship. Commun. Educ. 2000, 49, 207–219. [Google Scholar] [CrossRef]
- Korvas, J. The Relationship of Selected Alumni Characteristics and Attitudes to Alumni Financial Support at a Private College. Ph.D. Thesis, University of Missouri-Kansas City, Kansas City, MO, USA, 1984. [Google Scholar]
- Mael, F.; Ashforth, B.E. Alumni and Their Alma Mater: A Partial Test of the Reformulated Model of Organizational Identification. J. Organ. Behav. 1992, 13, 103–123. [Google Scholar] [CrossRef]
- Morgan, R.M.; Hunt, S.D. The Commitment-Trust Theory of Relationship Marketing. J. Mark. 1994, 53, 20–38. [Google Scholar] [CrossRef]
- Pedro, I.H.; Andraz, J.M. Alumni Commitment in Higher Education Institutions: Determinants and Empirical Evidence. J. Nonprofit Public Sect. Mark. 2021, 33, 29–64. [Google Scholar] [CrossRef]
- Nie, L.; Liu, H.K.; Cheng, W. Exploring Factors That Influence Voluntary Disclosure by Chinese Foundations. Volunt. Int. J. Volunt. Nonprofit Organ. 2016, 27, 2374–2400. [Google Scholar] [CrossRef]
- Hennig-Thurau, T.; Langer, M.F.; Hansen, U. Modeling and Managing Student Loyalty: An Approach Based on the Concept of Relationship Quality. J. Serv. Res. 2001, 3, 331–344. [Google Scholar] [CrossRef]
- Helgesen, Ø.; Nesset, E. Images, Satisfaction and Antecedents: Drivers of Student Loyalty? A Case Study of a Norwegian University College. Corp. Reput. Rev. 2007, 10, 38–59. [Google Scholar] [CrossRef]
- Waters, R.D. Measuring Stewardship in Public Relations: A Test Exploring Impact on the Fundraising Relationship. Public Relat. Rev. 2009, 35, 113–119. [Google Scholar] [CrossRef]
- Schlesinger, W.; Cervera, A.; Pérez-Cabañero, C. Sticking with Your University: The Importance of Satisfaction, Trust, Image, and Shared Values. Stud. High. Educ. 2017, 42, 2178–2194. [Google Scholar] [CrossRef]
- Xue, Q.; Niu, Y. Governance and Transparency of the Chinese Charity Foundations. Asian Rev. Account. 2019, 27, 307–327. [Google Scholar] [CrossRef]
- Chen, X.P.; Shen, W. Empirical Methods in Organization and Management Research, 3rd ed.; Peking University Press: Beijing, China, 2018. [Google Scholar]
- Trompenaars, F.; Turner, H.C. Riding the Waves of Culture: Understanding Cultural Diversity in Global Business, 2nd ed.; McGraw-Hill: New York, NY, USA, 1998. [Google Scholar]
- Infanger, M.; Bosak, J.; Sczesny, S. Communality Sells: The Impact of Perceivers’ Sexism on the Evaluation of Women’s Portrayals in Advertisements: Sexism and Advertising Effectiveness. Eur. J. Soc. Psychol. 2012, 42, 219–226. [Google Scholar] [CrossRef]
- Zhang, W.; Wang, X.; Xie, D. Evaluating the Impact of Positive Implicit Followership towards Employees’ Feedback-Seeking: Based on the Social Information Processing Perspective. Sustainability 2021, 13, 13417. [Google Scholar] [CrossRef]
- Wang, A.-C.; Hsieh, H.-H.; Tsai, C.-Y.; Cheng, B.-S. Does Value Congruence Lead to Voice? Cooperative Voice and Cooperative Silence under Team and Differentiated Transformational Leadership. Manag. Organ. Rev. 2012, 8, 341–370. [Google Scholar] [CrossRef]
- Shi, J.; Wang, F. Three-Dimensional Filial Piety Scale: Development and Validation of Filial Piety Among Chinese Working Adults. Front. Psychol. 2019, 10, 2040. [Google Scholar] [CrossRef] [PubMed]
- Xie, Z.; Wu, N.; Yue, T.; Jie, J.; Hou, G.; Fu, A. How Leader-Member Exchange Affects Creative Performance: An Examination From the Perspective of Self-Determination Theory. Front. Psychol. 2020, 11, 573793. [Google Scholar] [CrossRef] [PubMed]
- Hossain, M.E.; Quaddus, M.; Shanka, T. Effects of Intrinsic and Extrinsic Quality Cues and Perceived Risk on Visitors’ Satisfaction and Loyalty. J. Qual. Assur. Hosp. Tour. 2015, 16, 119–140. [Google Scholar] [CrossRef]
- Barclay, D.; Higgins, C.; Thompson, R. The Partial Least Squares (PLS) Approach to Causal Modeling: Personal Computer Adoption and Use as an Illustration. Technol. Stud. 1995, 2, 285–324. [Google Scholar]
- Chin, W.W.; Newsted, P.R. Structural Equation Modeling Analysis with Small Samples Using Partial Least Squares. In Statistical Strategies for Small Sample Research; Sage Publications: Thousand Oaks, CA, USA, 1999; pp. 307–341. [Google Scholar]
- Kahai, S.S.; Cooper, R.B. Exploring the Core Concepts of Media Richness Theory: The Impact of Cue Multiplicity and Feedback Immediacy on Decision Quality. J. Manag. Inf. Syst. 2003, 20, 263–299. [Google Scholar] [CrossRef]
- Elliott, K.M.; Shin, D. Student Satisfaction: An Alternative Approach to Assessing This Important Concept. J. High. Educ. Policy Manag. 2002, 24, 197–209. [Google Scholar] [CrossRef]
- Rodrigues, S.L. Os Fatores Que Influenciam a Formação da Imagem das Instituições de Ensino Superior: O Caso do Instituto Politécnico de Leiria na Perspetiva dos Professores do Ensino Secundário do Distrito de Leiria [Factors Influencing the Formation of the Image of Higher Education Institutions: The Case of the Polytechnic Institute of Leiria in the Perspective of Secondary School Teachers in the District of Leiria]. Master’s Thesis, Polytechnic Institute of Leiria, Leiria, Portugal, 2012. [Google Scholar]
- Hartman, D.E.; Schmidt, S.L. Understanding Student/Alumni Satisfaction from a Consumer’s Perspective: The Effects of Institutional Performance and Program Outcomes. Res. High. Educ. 1995, 36, 197–217. [Google Scholar] [CrossRef]
- Weerts, D.J. Toward an Engagement Model of Institutional Advancement at Public Colleges and Universities. Int. J. Educ. Adv. 2007, 7, 79–103. [Google Scholar] [CrossRef][Green Version]
- Hair, J.F.; Black, W.C.; Babin, B.J.; Anderson, R.E. Multivariate Data Analysis, 7th ed.; Pearson Prentice Hall: Upper Saddle River, NJ, USA, 2010. [Google Scholar]
- Iacobucci, D. Structural Equations Modeling: Fit Indices, Sample Size, and Advanced Topics. J. Consum. Psychol. 2010, 20, 90–98. [Google Scholar] [CrossRef]
- Podsakoff, P.M.; MacKenzie, S.B.; Lee, J.-Y.; Podsakoff, N.P. Common Method Biases in Behavioral Research: A Critical Review of the Literature and Recommended Remedies. J. Appl. Psychol. 2003, 88, 879–903. [Google Scholar] [CrossRef]
- Podsakoff, P.M.; Organ, D.W. Self-Reports in Organizational Research: Problems and Prospects. J. Manag. 1986, 12, 531–544. [Google Scholar] [CrossRef]
- Ylitalo, J. Controlling for Common Method Variance with Partial Least Squares Path Modeling: A Monte Carlo Study; Helsinki University of Technology: Espoo, Finland, 2009. [Google Scholar]
- Nunnally, J.C. Psychometric Theory, 2nd ed.; McGraw-Hill: New York, NY, USA, 1978. [Google Scholar]
- Jackson, D.L.; Gillaspy, J.A.; Purc-Stephenson, R. Reporting Practices in Confirmatory Factor Analysis: An Overview and Some Recommendations. Psychol. Methods 2009, 14, 6–23. [Google Scholar] [CrossRef] [PubMed]
- Doll, W.J.; Xia, W.; Torkzadeh, G.A. A Confirmatory Factor Analysis of the End-User Computing Satisfaction Instrument. MIS Q. 1994, 18, 453–461. [Google Scholar] [CrossRef]
- Hu, L.; Bentler, P.M. Cutoff Criteria for Fit Indexes in Covariance Structure Analysis: Conventional Criteria Versus New Alternatives. Struct. Equ. Model. Multidiscip. J. 1999, 6, 1–55. [Google Scholar] [CrossRef]
- Fornell, C.; Larcker, D.F. Evaluating Structural Equation Models with Unobservable Variables and Measurement Error. J. Mark. Res. 1981, 18, 39–50. [Google Scholar] [CrossRef]
- Bagozzi, R.P.; Yi, Y.; Phillips, L.W. Assessing Construct Validity in Organizational Research. Adm. Sci. Q. 1991, 36, 421–458. [Google Scholar] [CrossRef]
- Bagozzi, R.P.; Yi, Y. On the Evaluation of Structural Equation Models. J. Acad. Mark. Sci. 1988, 16, 74–94. [Google Scholar] [CrossRef]
- Preacher, K.J.; Hayes, A.F. Asymptotic and Resampling Strategies for Assessing and Comparing Indirect Effects in Multiple Mediator Models. Behav. Res. Methods 2008, 40, 879–891. [Google Scholar] [CrossRef]
- Hayes, A.F. Beyond Baron and Kenny: Statistical Mediation Analysis in the New Millennium. Commun. Monogr. 2009, 76, 408–420. [Google Scholar] [CrossRef]
- Jongbloed, B.; Enders, J.; Salerno, C. Higher Education and Its Communities: Interconnections, Interdependencies and a Research Agenda. High. Educ. 2008, 56, 303–324. [Google Scholar] [CrossRef]
- Enders, J.; Fulton, O. Blurring Boundaries and Blistering Institutions: An Introduction. In Higher Education in a Globalising World. International Trends and Mutual Observations—A Festschrift in Honour of Ulrich Teichler; Kluwer Academic Publishers: Dordrecht, The Netherland, 2002; pp. 1–14. [Google Scholar]
- Holmes, J. Prestige, Charitable Deductions and Other Determinants of Alumni Giving: Evidence from a Highly Selective Liberal Arts College. Econ. Educ. Rev. 2009, 28, 18–28. [Google Scholar] [CrossRef]
- Sargeant, A.; Woodliffe, L. Gift Giving: An Interdisciplinary Review. Int. J. Nonprofit Volunt. Sect. Mark. 2007, 12, 275–307. [Google Scholar] [CrossRef]
Publisher’s Note: MDPI stays neutral with regard to jurisdictional claims in published maps and institutional affiliations. |
© 2022 by the authors. Licensee MDPI, Basel, Switzerland. This article is an open access article distributed under the terms and conditions of the Creative Commons Attribution (CC BY) license (https://creativecommons.org/licenses/by/4.0/).


