Implication of Buffer Zones Delineation Considering the Landscape Connectivity and Influencing Patch Structural Factors in Nature Reserves
Abstract
1. Introduction
2. Materials and Methods
2.1. Study Area
2.2. Method
2.2.1. Buffer Zone Establishment
2.2.2. Landscape Connectivity Indices and Threshold Distance
2.2.3. The Selection of Landscape Structural Factors
3. Results
3.1. The Overall Landscape Connectivity of Four Study Sites without Buffer Zones
3.2. Main Landscape Features of the Four Study Sites Following the Addition of Buffer Zones
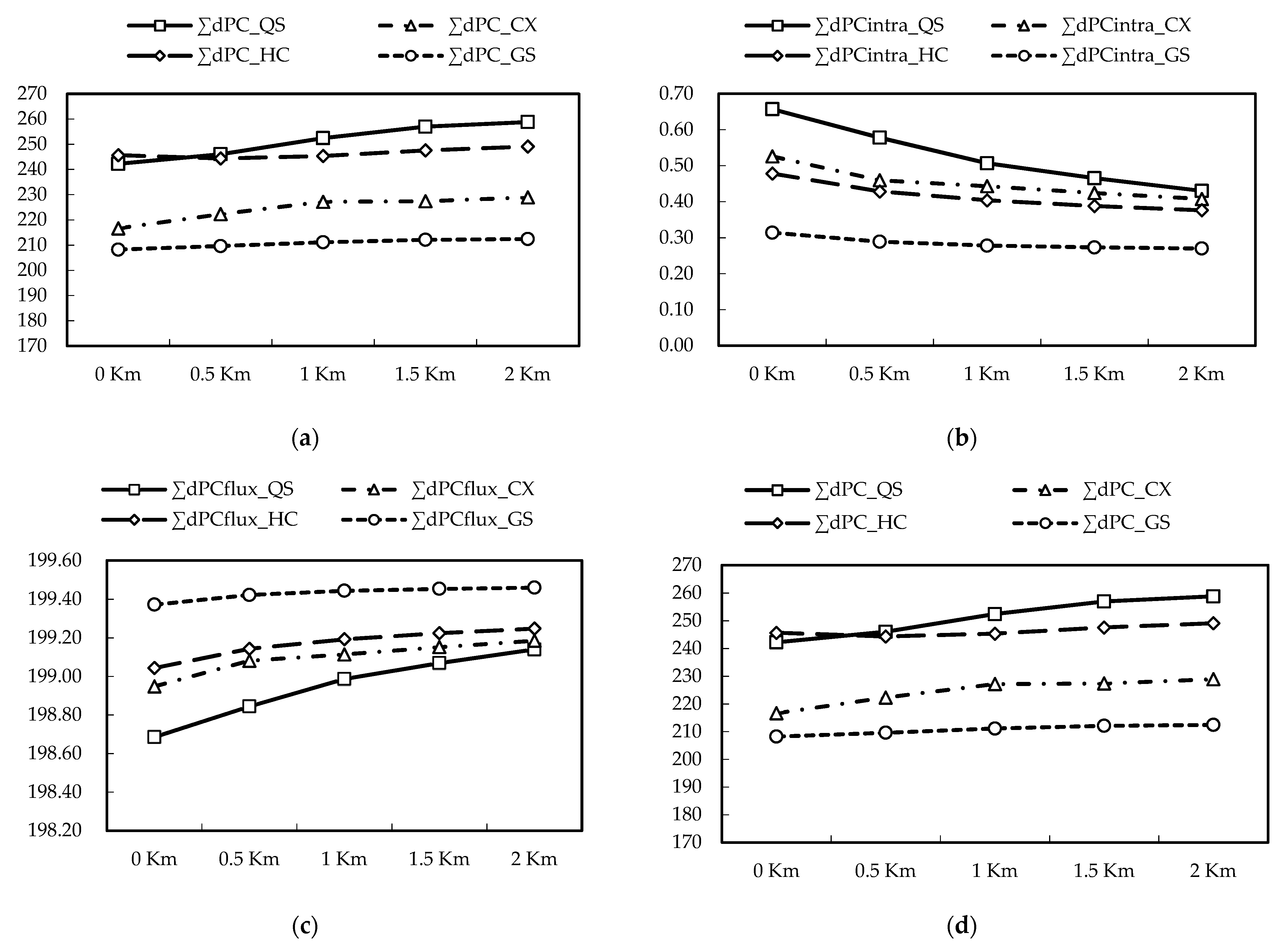
3.3. Changes in Patch Importance for Maintaining Landscape Connectivity with Various Buffer Zones
3.4. Relationship between Structural Factors at the Patch Level and Changes in Patch Importance
4. Discussion
4.1. Implications for Buffer Zones from the Perspective of Landscape Connectivity
4.2. Stepping Stones Close to the Boundary Contribute Greatly at a Specific Threshold Distance
5. Conclusions
Author Contributions
Funding
Institutional Review Board Statement
Informed Consent Statement
Acknowledgments
Conflicts of Interest
References
- Shelford, V.E. Nature sanctuaries—A means of saving natural biotic communities. Science 1933, 77, 281–282. [Google Scholar] [CrossRef] [PubMed]
- Polunin, N. Editorial: UNESCO Celebrates the 25th Anniversary of the ‘Biosphere Conference’ and the Birth of Its MAB Programme and Biosphere Reserves. Environ. Conserv. 1993, 20, 289. [Google Scholar] [CrossRef][Green Version]
- Sayer, J. Rainforest Buffer Zones, Guidelines for Protected Area Managers; IUCN—The World Conservation Union, Forest Conservation Programme; The Nature Conservation Bureau Ltd.: Newbury, UK, 1991. [Google Scholar]
- Wild, R.G.; Mutebi, J. Bwindi Impenetrable Forest, Uganda: Conservation through collaborative management. Nat. Resour. 1997, 33, 33–51. [Google Scholar]
- Barzan, F.R.; Baigorria, J.M.E.; Bó, R.F. Bird Community Diversity in three Habitat Types in an Ecological Corridor in the Atlantic Forest of Misiones Province, Argentina. Trop. Conserv. Sci. 2015, 8, 955–974. [Google Scholar] [CrossRef]
- Hatfield, J.H.; Barlow, J.; Joly, C.A.; Lees, A.C.; Banks Eite, C. Mediation of area and edge effects by adjacent land use. Conserv. Biol. 2019, 34, 395–404. [Google Scholar] [CrossRef]
- Sacchis, L.M.; Kozhikkodan, V.B.; Lüderitz, S.D. Buffer zone delimitation of conservation units based on map algebra and AHP technique: A study from Atlantic Forest Biome (Brazil). Biol. Conserv. 2021, 253, 108905. [Google Scholar]
- Idd, S.Z.I.; Ralph, M. Species Composition and Stand Structure of Primary and Secondary Moist Evergreen Forests in the Tanintharyi Nature Reserve (TNR) Buffer Zone, Myanmar. Forestry 2020, 10, 445–459. [Google Scholar]
- Santiago, S. The Habitat Amount Hypothesis implies negative effects of habitat fragmentation on species richness. J. Biogeogr. 2020, 48, 11–22. [Google Scholar]
- Oliveira, B.R.d.; Carvalho-Ribeiro, S.M.; Maia-Barbosa, P.M. Rio Doce State Park buffer zone: Forest fragmentation and land use dynamics. Environ. Dev. Sustain. 2020, 23, 8365–8376. [Google Scholar] [CrossRef]
- De Matos, T.P.V.; De Matos, V.P.V.; De Mello, K.; Valente, R.A. Protected areas and forest fragmentation: Sustainability index for prioritizing fragments for landscape restoration. Geol. Ecol. Landsc. 2021, 5, 19–31. [Google Scholar] [CrossRef]
- Saura, S.; Pascual-Hortal, L. A new habitat availability index to integrate connectivity in landscape conservation planning: Comparison with existing indices and application to a case study. Landsc. Urban Plan. 2007, 83, 91–103. [Google Scholar] [CrossRef]
- Peng, Y.; Meng, M.; Huang, Z.; Wang, R.; Cui, G. Landscape Connectivity Analysis and Optimization of Qianjiangyuan National Park, Zhejiang Province, China. Sustainability 2021, 13, 5944. [Google Scholar] [CrossRef]
- Mu, B.; Tian, G.; Xin, G.; Hu, M.; Yang, P.; Wang, Y.; Xie, H.; Mayer, A.L.; Zhang, Y. Measuring Dynamic Changes in the Spatial Pattern and Connectivity of Surface Waters Based on Landscape and Graph Metrics: A Case Study of Henan Province in Central China. Land 2021, 10, 471. [Google Scholar] [CrossRef]
- Herrera, L.P.; Sabatino, M.C.; Jaimes, F.R.; Saura, S. Landscape connectivity and the role of small habitat patches as stepping stones: An assessment of the grassland biome in South America. Biodivers. Conserv. 2017, 1, 3465–3479. [Google Scholar] [CrossRef]
- Merriam, G. Connectivity: A Fundamental Ecological Characteristic of Landscape Pattern. Methodology in landscape ecological research and planning: Proceedings, 1st seminar, International Association of Landscape Ecology, Roskilde, Denmark, 15–19 October 1984/eds. J. Brandt. P. Agger. 1984, 1, 5–15. [Google Scholar]
- Taylor, P.D.; Fahrig, L.; Henein, K.; Merriam, G. Connectivity Is a Vital Element of Landscape Structure. Oikos 1993, 68, 571. [Google Scholar] [CrossRef]
- Fahrig, L.; Merriam, G. Conservation of Fragmented Populations. Conserv. Biol. 1994, 8, 50–59. [Google Scholar] [CrossRef]
- Luque, S.; Saura, S.; Fortin, M.J. Landscape connectivity analysis for conservation: Insights from combining new methods with ecological and genetic data. Landsc. Ecol. 2012, 27, 153–157. [Google Scholar] [CrossRef]
- Schivo, F.; Mateo-Sánchez, M.C.; Bauni, V.; Quintana, R.D. Influence of land-use/land-cover change on landscape connectivity for an endemic threatened amphibian (Argenteohyla siemersi pederseni, Anura: Hylidae). Landsc. Ecol. 2020, 35, 1481–1494. [Google Scholar] [CrossRef]
- Urban, D.; Keitt, T. Landscape Connectivity: A Graph-Theoretic Perspective. Ecology 2001, 82, 1205–1218. [Google Scholar] [CrossRef]
- Yemshanov, D.; Haight, R.G.; Koch, F.H.; Parisien, M.-A.; Swystun, T.; Barber, Q.; Burton, A.C.; Choudhury, S.; Liu, N. Prioritizing restoration of fragmented landscapes for wildlife conservation: A graph-theoretic approach. Biol. Conserv. 2019, 232, 173–186. [Google Scholar] [CrossRef]
- MaheuGiroux, M.; Blois, S.d. Landscape ecology of Phragmites australis invasion in networks of linear wetlands. Landsc. Ecol. 2007, 22, 285–301. [Google Scholar] [CrossRef]
- Tscharntke, T.; Gathmann, A.; Steffan-Dewenter, I. Bioindication using trap-nesting bees and wasps and their natural enemies: Community structure and interactions. J. Appl. Ecol. 1998, 35, 708–719. [Google Scholar] [CrossRef]
- Chen, C.; Meurk, C.D.; Jia, Z.; Lv, M.; Wu, S.; Jia, J. Incorporating landscape connectivity into household pond configuration in a hilly agricultural landscape. Landsc. Ecol. Eng. 2017, 13, 189–204. [Google Scholar] [CrossRef]
- Fortin, M.J.; James, P.M.A.; Mackenzie, A.; Melles, S.J.; Rayfield, B. Spatial statistics, spatial regression, and graph theory in ecology. Spat. Stat. 2012, 1, 100–109. [Google Scholar] [CrossRef]
- Walker, N.J.; Schaffer-Smith, D.; Swenson, J.J.; Urban, D.L. Improved connectivity analysis using multiple low-cost paths to evaluate habitat for the endangered San Martin titi monkey ( Plecturocebus oenanthe ) in north-central Peru. Landsc. Ecol. 2019, 34, 1859–1875. [Google Scholar] [CrossRef]
- PascualHortal, L.; Saura, S. Comparison and development of new graph-based landscape connectivity indices: Towards the priorization of habitat patches and corridors for conservation. Landsc. Ecol. 2006, 21, 959–967. [Google Scholar] [CrossRef]
- Goodwin, B.J.; Fahrig, L. How Does Landscape Structure Influence Landscape Connectivity? Oikos: Lund, Sweden, 2002; pp. 552–570. [Google Scholar]
- Jaeger, J.A.G. Landscape division, splitting index, and effective mesh size: New measures of landscape fragmentation. Landsc. Ecol. 2000, 15, 115–130. [Google Scholar] [CrossRef]
- Holland, J.D.; Bert, D.G.; Fahrig, L. Determining the Spatial Scale of Species’ Response to Habitat. Bioscience 2004, 54, 227–233. [Google Scholar] [CrossRef]
- Qi, K.; Fan, Z.; Ng, C.N.; Wang, X.; Xie, Y. Functional analysis of landscape connectivity at the landscape, component, and patch levels: A case study of Minqing County, Fuzhou City, China. Appl. Geogr. 2017, 80, 64–77. [Google Scholar] [CrossRef]
- Martinezmillan, J.; Saura, S. Sensitivity of Landscape Pattern Metrics to Map Spatial Extent. Photogramm. Eng. Remote Sens. 2001, 67, 1027–1036. [Google Scholar]
- Corlett, R.T. Seed Dispersal Distances and Plant Migration Potential in Tropical East Asia. Biotropica 2009, 41, 592–598. [Google Scholar] [CrossRef]
- Saura, S.; Torné, J. Conefor Sensinode 2.2: A software package for quantifying the importance of habitat patches for landscape connectivity. Environ. Model. Softw. 2008, 24, 135–139. [Google Scholar] [CrossRef]
- Saura, S.; Rubio, L. A common currency for the different ways in which patches and links can contribute to habitat availability and connectivity in the landscape. Ecography 2010, 33, 523–537. [Google Scholar] [CrossRef]
- Nathan, R.; Katul, G.G.; Horn, H.S.; Thomas, S.M.; Oren, R.; Avissar, R.; Pacala, S.W.; Levin, S.A. Mechanisms of long-distance dispersal of seeds by wind. Nat. Int. Wkly. J. Sci. 2002, 418, 409–413. [Google Scholar] [CrossRef] [PubMed]
- Horn, H.S.; Nathan, R.A.N.; Kaplan, S.R. Long-distance dispersal of tree seeds by wind. Ecol. Res. 2001, 6, 877–885. [Google Scholar] [CrossRef]
- Rempel, R.S.; Kaukinen, D.; Carr, A.P. Patch Analyst and Patch Grid, 5.2; Center for Northern Forest Ecosystem Research, Ontario Ministry of Natural Resources: Thunder Bay, ON, Canada, 2012. [Google Scholar]
- Flowers, B.; Huang, K.-T.; Aldana, G.O. Analysis of the Habitat Fragmentation of Ecosystems in Belize Using Landscape Metrics. Sustainability 2020, 12, 3024. [Google Scholar] [CrossRef]
- Morris, C. Multivariate Analysis of Ecological Data Using Canoco 5, 2nd Edition. Afr. J. Range Forage Sci. 2015, 32, 289–290. [Google Scholar] [CrossRef]
- Peng, Y.; Wang, W.-T.; Lu, Y.-T.; Dong, J.-H.; Zhou, Y.-Q.; Shang, J.-X.; Li, X.; Mi, K.Y. Multiscale influences of urbanized landscape metrics on indigenous plant diversity: A case study in Shunyi District of Beijing, China. Appl. Ecol. 2020, 31, 4058–4066. [Google Scholar]
- Qi, K.; Fan, Z.Q. Evaluation method for landscape connectivity based on graph theory: A case study of natural forests in Minqing County, Fujian Province. Acta Ecol. Sin. 2016, 36, 7580–7593. [Google Scholar]
- Costanza, J.K.; Riitters, K.; Vogt, P.; Wickham, J. Describing and analyzing landscape patterns: Where are we now, and where are we going? Landsc. Ecol. 2019, 34, 2049–2055. [Google Scholar] [CrossRef]
- Palomo, I.; Martín-López, B.; Potschin, M.; Haines-Young, R.; Montes, C. National Parks, buffer zones and surrounding lands: Mapping ecosystem service flows. Ecosyst. Serv. 2013, 4, 104–116. [Google Scholar] [CrossRef]
- He, S.Y.; Su, Y.; Min, Q.W. Boundary, zoning, and land use management of the China National Parks: Learning from Nature Reserves and Scenic Areas. Acta Ecol. Sin. 2019, 39, 1318–1329. [Google Scholar]
- Verena, R.; Teja, T.; Christoph, S.; Péter, B. Biodiversity conservation across taxa and landscapes requires many small as well as single large habitat fragments. Oecologia 2015, 179, 209–222. [Google Scholar]
- Liu, C.; Zhou, B.; He, X.; Chen, W. Selection of distance thresholds of urban forest landscape connectivity in Shenyang City. J. Appl. Ecol. 2010, 21, 2508–2516. [Google Scholar]
- Haefele, M.A.; Loomis, J.B.; Merideth, R.; Lien, A.; Semmens, D.J.; Dubovsky, J.; Wiederholt, R.; Thogmartin, W.E.; Huang, T.-K.; McCracken, G.; et al. Willingness to Pay for Conservation of Transborder Migratory Species: A Case Study of the Mexican Free-Tailed Bat in the United States and Mexico. Environ. Manag. 2018, 62, 229–240. [Google Scholar] [CrossRef] [PubMed]













| Indices Type | Indices | Formula | Explanation | |
|---|---|---|---|---|
| Landscape level | Overall indices | Number of links (NL) | / | Link: connection between patches |
| Number of components (NC) | / | Component: a set of patches in which a link exists between every pair of patches | ||
| Binary indices | Landscape coincidence probability (LCP) | AL: maximum landscape attribute (total area in this article) | ||
| Integral index of connectivity (IIC) | ai: landscape attribute of patch i | |||
| Probability indices | Probability of Connectivity (PC) | pij: maximum probability of all possible links between patches i and j | ||
| Patch level | Patch importance | Patch importance (dI) | dIk: The importance of an existing patch k for maintaining landscape connectivity (* interpreted for the index dPC in this article) dIintra k: performance of patch k functioning as intra dIflux k: performance of patch k functioning as flux dIconnector k: performance of patch k functioning as connector |
| Level | Index | Explanation |
|---|---|---|
| Landscape | Habitat proportion (HP) | Represents habitat quality through the perspective of structure |
| Patch | Area | Represents the size of a patch |
| Patch | MSI | Mean shape index; represents shape complexity |
| Patch | ND | Nearest distance; represents the nearest distance between a patch inside a boundary and a patch in a buffer zone |
| QS-23 | CX-36 | HC-36 | GS-50 | |
|---|---|---|---|---|
| Number of patches | 289 | 263 | 473 | 519 |
| Area of patches (ha) | 3644.58 | 2937.56 | 5325.37 | 4791.46 |
| Mean area (ha) | 12.61 | 11.17 | 11.26 | 9.23 |
| Total area (ha) | 15,506.57 | 8117.59 | 14,685.54 | 9501.96 |
| HP (%) | 23.50% | 36.19% | 36.26% | 50.43% |
| Number of links (NL) | 2986 | 4082 | 6003 | 9518 |
| Number of components (NC) | 6 | 2 | 2 | 3 |
| QS-0.5 km | QS-1 km | QS-1.5 km | QS-2 km | ||
| Buffer zone | Number of patches | 48 | 99 | 132 | 195 |
| Area of patches (ha) | 433.22 | 1098.62 | 1630.34 | 2281.6 | |
| Site with buffer | Number of patches | 337 | 388 | 421 | 484 |
| Area of patches (ha) | 4077.8 | 4743.2 | 5274.92 | 5926.18 | |
| HP (%) | 21.33% | 21.13% | 20.46% | 20.29% | |
| CX-0.5 km | CX-1 km | CX-1.5 km | CX-2 km | ||
| Buffer zone | Number of patches | 48 | 77 | 112 | 131 |
| Area of patches (ha) | 597.53 | 1034.25 | 1462.63 | 1828.51 | |
| Site with buffer | Number of patches | 311 | 340 | 375 | 394 |
| Area of patches (ha) | 3535.09 | 3971.81 | 4400.19 | 4766.07 | |
| HP (%) | 34.69% | 32.29% | 30.28% | 28.20% | |
| HC-0.5 km | HC-1 km | HC-1.5 km | HC-2 km | ||
| Buffer zone | Number of patches | 48 | 83 | 112 | 144 |
| Area of patches (ha) | 661.91 | 1060.49 | 1348.18 | 1661.19 | |
| Site with buffer | Number of patches | 521 | 556 | 585 | 617 |
| Area of patches (ha) | 5987.28 | 6385.86 | 6673.55 | 6986.56 | |
| HP (%) | 32.22% | 32.74% | 26.01% | 23.88% | |
| GS-0.5 km | GS-1 km | GS-1.5 km | GS-2 km | ||
| Buffer zone | Number of patches | 43 | 75 | 116 | 145 |
| Area of patches (ha) | 446.08 | 846.64 | 1114.43 | 1445.75 | |
| Site with buffer | Number of patches | 562 | 594 | 635 | 664 |
| Area of patches (ha) | 5237.54 | 5638.1 | 5905.89 | 6237.21 | |
| HP (%) | 43.69% | 39.01% | 34.71% | 31.64% |
| ∑dPC | ∑dPCintra | ∑dPCflux | ∑dPCconnector | |
|---|---|---|---|---|
| △QS-0.5 km | 1.6% | −12.1% | 0.1% | 8.7% |
| △QS-1 km | 4.2% (+2.6%) | −22.9% | 0.2% | 23.4% (+14.7%) |
| △QS-1.5 km | 6.1% (+1.9%) | −29.2% | 0.2% | 33.9% |
| △QS-2 km | 6.9% (+0.8%) | −34.6% | 0.2% | 38.2% |
| △CX-0.5 km | 2.6% | −12.6% | 0.1% | 32.7% |
| △CX-1 km | 4.9% (+2.3%) | −15.8% | 0.1% | 61.0% (+28.3%) |
| △CX-1.5 km | 5.0% (+0.1%) | −19.4% | 0.1% | 62.0% |
| △CX-2 km | 5.7% (+0.7%) | −22.5% | 0.1% | 71.0% |
| △HC-0.5 km | −0.5% | −10.4% | 0.1% | −3.0% |
| △HC-1 km | −0.1% (+0.4%) | −15.6% | 0.1% | −0.8% |
| △HC-1.5 km | 0.8% (+0.9%) | −18.9% | 0.1% | 4.0% (+4.8%) |
| △HC-2 km | 1.4% (+0.6%) | −21.4% | 0.1% | 7.2% |
| △GS-0.5 km | 0.7% | −8.0% | 0.0% | 16.1% |
| △GS-1 km | 1.4% (+0.7%) | −11.5% | 0.0% | 33.5% (+17.4%) |
| △GS-1.5 km | 1.9% (+0.5%) | −13.0% | 0.0% | 45.2% |
| △GS-2 km | 2.0% (+0.1%) | −14.0% | 0.0% | 48.8% |
| dPC-Variation | Area (ha) | ND (m) | MSI | MPFD | |
|---|---|---|---|---|---|
| QS | 0.5 km dPC-variation | −0.82 | −0.29 | 0.20 | −0.01 |
| 1 km dPC-variation | −0.83 | −0.29 | 0.20 | −0.01 | |
| 1.5 km dPC-variation | −0.84 | −0.30 | 0.21 | 0.02 | |
| CX | 0.5 km dPC-variation | −0.84 | −0.63 | 0.31 | −0.33 |
| 1 km dPC-variation | −0.84 | −0.60 | 0.31 | −0.36 | |
| 1.5 km dPC-variation | −0.77 | −0.60 | 0.52 | −0.57 | |
| HC | 0.5 km dPC-variation | −0.74 | −0.53 | 0.69 | −0.62 |
| 1 km dPC-variation | −0.78 | −0.50 | 0.72 | −0.65 | |
| 1.5 km dPC-variation | −0.78 | −0.50 | 0.72 | −0.66 | |
| GS | 0.5 km dPC-variation | −0.89 | −0.23 | 0.86 | −0.82 |
| 1 km dPC-variation | −0.90 | −0.22 | 0.87 | −0.82 | |
| 1.5 km dPC-variation | −0.91 | −0.21 | 0.88 | −0.83 |
| Explanation (%) | Contribution (%) | ||||||||
|---|---|---|---|---|---|---|---|---|---|
| 0.5 km | 1 km | 1.5 km | 2 km | 0.5 km | 1 km | 1.5 km | 2 km | ||
| dPC-variation_QS | Area | 35.4% | 51.9% | 59.6% | 63.7% | 72.6% | 87.9% | 91.2% | 95.0% |
| ND | 8.9% | 5.1% | 3.7% | 2.1% | 18.2% | 8.6% | 5.7% | 3.1% | |
| MSI | 4.5% | 2.1% | 2.0% | 1.3% | 9.2% | 3.5% | 3.1% | 1.9% | |
| Sum | 48.8% | 59.1% | 65.3% | 67.1% | |||||
| dPC-variation_CX | Area | 36.0% | 43.7% | 50.8% | 57.5% | 79.0% | 83.2% | 87.2% | 90.5% |
| ND | 8.5% | 6.9% | 5.9% | 4.8% | 18.7% | 13.1% | 10.1% | 7.6% | |
| MSI | 1.0% 1 | 1.9% | 1.6% | 1.2% 1 | 2.3% | 3.7% | 2.7% | 1.9% | |
| Sum | 45.5% | 52.5% | 58.3% | 63.5% | |||||
| dPC-variation_HC | Area | 27.8% | 29.1% | 36.9% | 32.9% | 84.0% | 76.8% | 87.6% | 80.4% |
| ND | 4.8% | 8.5% | 5.0% | 7.8% | 14.6% | 22.4% | 11.8% | 19.0% | |
| MSI | 0.5% 1 | 0.3% 2 | 0.3% 2 | 0.2% 2 | 1.4% | 0.8% | 0.7% | 0.6% | |
| Sum | 33.1% | 37.9% | 42.2% | 40.9% | |||||
| dPC-variation_GS | Area | 20.3% | 31.4% | 35.2% | 40.5% | 71.9% | 85.6% | 88.7% | 91.3% |
| ND | 5.8% | 4.0% | 3.4% | 2.9% | 20.6% | 10.8% | 8.6% | 6.6% | |
| MSI | 2.1% | 1.3% | 1.1% | 0.9% | 7.5% | 3.7% | 2.7% | 2.1% | |
| Sum | 28.2% | 36.7% | 39.7% | 44.3% | |||||
| CX-1 km | HC-1 km | |||
|---|---|---|---|---|
| increased dPC-variation | decreased dPC-variation | increased dPC-variation | decreased dPC-variation | |
| Area ≤ 5 (ha) | 7.6% | 4.9% | 7.0% | 9.5% |
| ND = 0 (m) | 13.3% | 3.8% | 9.9% | 4.9% |
Publisher’s Note: MDPI stays neutral with regard to jurisdictional claims in published maps and institutional affiliations. |
© 2021 by the authors. Licensee MDPI, Basel, Switzerland. This article is an open access article distributed under the terms and conditions of the Creative Commons Attribution (CC BY) license (https://creativecommons.org/licenses/by/4.0/).
Share and Cite
Zhang, J.; Wang, X.; Xie, Y. Implication of Buffer Zones Delineation Considering the Landscape Connectivity and Influencing Patch Structural Factors in Nature Reserves. Sustainability 2021, 13, 10833. https://doi.org/10.3390/su131910833
Zhang J, Wang X, Xie Y. Implication of Buffer Zones Delineation Considering the Landscape Connectivity and Influencing Patch Structural Factors in Nature Reserves. Sustainability. 2021; 13(19):10833. https://doi.org/10.3390/su131910833
Chicago/Turabian StyleZhang, Junhao, Xinjun Wang, and Yujing Xie. 2021. "Implication of Buffer Zones Delineation Considering the Landscape Connectivity and Influencing Patch Structural Factors in Nature Reserves" Sustainability 13, no. 19: 10833. https://doi.org/10.3390/su131910833
APA StyleZhang, J., Wang, X., & Xie, Y. (2021). Implication of Buffer Zones Delineation Considering the Landscape Connectivity and Influencing Patch Structural Factors in Nature Reserves. Sustainability, 13(19), 10833. https://doi.org/10.3390/su131910833
