Optimal Pricing and Greening Strategy in a Competitive Green Supply Chain: Impact of Government Subsidy and Tax Policy
Abstract
:1. Introduction
- (a)
- How do the constructions of the supply chain influence the benefits of manufacturers, retailers furthermore, governments, and the green level of green items?
- (b)
- In the two models with and without government interference, what are the distinctions in the green items’ evaluating decision-making procedure?
- (c)
- What are the effects of government subsidy and imposing a tax on the manufacturer on the greening level, the retail cost, and the expected benefits of the players?
- (d)
- How does manufacturing greener items influence the final cost of green and non-green items?
2. Literature Review
3. Notations and Problem Definition
3.1. Notations
| Decision Variables | |
| retail price of green product per unit item ( ∈ ) | |
| retail price of non-green product per unit item ( ∈ ) | |
| wholesale price of green product per unit item ( ∈ ) | |
| wholesale price of non-green product per unit item ( ∈ ) | |
| g | greening level of green product (g ∈ ) |
| Parameters | |
| degree of customers loyalty in green product () | |
| degree of customers loyalty in non-green product | |
| a | market based-demand () |
| b | price elasticity () |
| c | cross price elasticity () |
| sensitivity coefficient of greening level per unit green item | |
| manufacturing cost of the per unit green item ( ∈ ) | |
| manufacturing cost of the per unit non-green item ( ∈ ) | |
| e | cost factor of enhancing greening level (e ∈ ) |
| subsidy rate coefficient for green products ( ∈ ) | |
| tax rate for non-green products ( ∈ ) | |
| demand of the green product ( ∈ ) | |
| demand of the non-green product ( ∈ ) | |
| profit of green manufacturer ( ∈ ) | |
| profit of non-green manufacturer ( ∈ ) | |
| profit of the retailer ( ∈ ) | |
| profit of the supply chain ( ∈ ) |
3.2. Problem Definition
- Market demand is a linear function of the products’ sales price and greening level. The demand faced by the non-green manufacturer together with green manufacturer varied for without government interference model and with government interference model.
- The manufacturing cost of the non-green item is less than that of the green item ().
4. Mathematical Model Construction and Solution
4.1. Without Government Interference Model (Model 1)
4.1.1. Centralized Model (Model 1-A)
4.1.2. Decentralized Model (Model 1-B)
4.2. With Government Interference Model (Model 2)
4.2.1. Centralized Model (Model 2-A)
4.2.2. Decentralized Model (Model 2-B)
4.2.3. Government Profit Function
5. Numerical Experiment
Comparative Study of Optimal Solutions of the Model
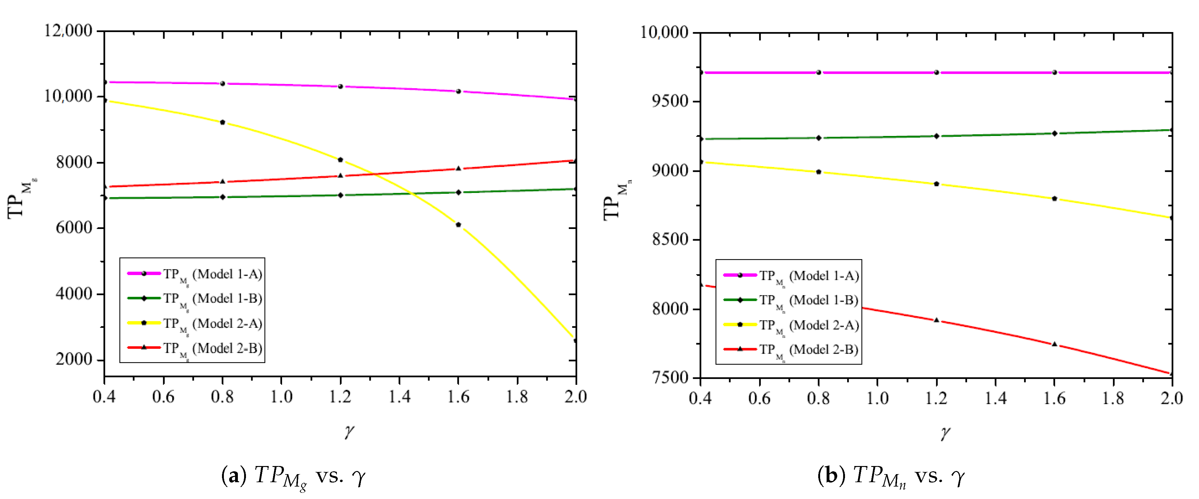
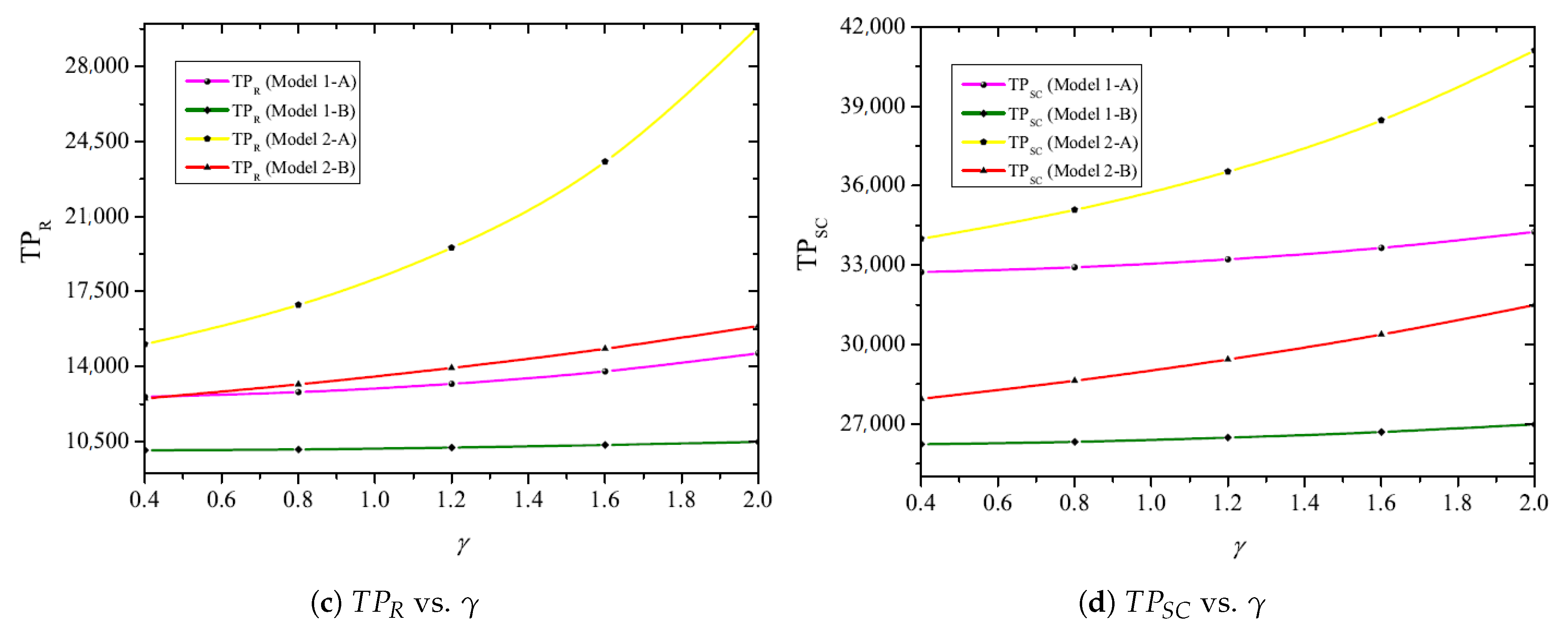
6. Sensitivity Analysis
6.1. Effect of Demand Elasticity Parameter
6.2. Effect of Manufacturing Cost and in Profit Function
6.3. Effect of Customer Green Preference
6.4. Effect of Government Subsidy Parameter
6.5. Effect of Tax Rate Parameter
7. Conclusions
Author Contributions
Funding
Institutional Review Board Statement
Informed Consent Statement
Data Availability Statement
Conflicts of Interest
References
- Chekima, B.; Wafa, S.A.W.S.K.; Igau, O.A.; Chekima, S.; Sondoh, S.L., Jr. Examining green consumerism motivational drivers: Does premium price and demographics matter to green purchasing? J. Clean. Product. 2016, 112, 3436–3450. [Google Scholar] [CrossRef]
- Seuring, S. A review of modeling approaches for sustainable supply chain management. Decis. Support Syst. 2013, 54, 1513–1520. [Google Scholar] [CrossRef]
- Azevedo, S.G.; Carvalho, H.; Machado, V.C. The influence of green practices on supply chain performance: A case study approach. Transp. Res. Part E Logist. Transp. Rev. 2011, 47, 850–871. [Google Scholar] [CrossRef]
- El Saadany, A.M.; Jaber, M.Y. A production/remanufacturing inventory model with price and quality dependant return rate. Comput. Ind. Eng. 2010, 58, 352–362. [Google Scholar] [CrossRef]
- El Seuring, S.; Müller, M. From a literature review to a conceptual framework for sustainable supply chain management. J. Clean. Prod. 2008, 16, 1699–1710. [Google Scholar] [CrossRef]
- Hall, J. Environmental supply chain dynamics. J. Clean. Product. 2016, 8, 455–471. [Google Scholar] [CrossRef]
- Pujari, D. Eco-innovation and new product development: Understanding the influences on market performance. Technovation 2006, 26, 76–85. [Google Scholar] [CrossRef]
- Peng, H. Optimal subsidy policy for accelerating the diffusion of green products. J. Ind. Eng. Manag. 2013, 6, 626–641. [Google Scholar] [CrossRef] [Green Version]
- Stucki, T.; Woerter, M.; Arvanitis, S.; Peneder, M.; Rammer, C. How different policy instruments affect green product innovation: A differentiated perspective. Energy Policy 2018, 114, 245–261. [Google Scholar] [CrossRef]
- de Oliveira, U.R.; Espindola, L.S.; da Silva, I.R.; da Silva, I.N.; Rocha, H.M. A systematic literature review on green supply chain management: Research implications and future perspectives. J. Clean. Prod. 2018, 187, 537–561. [Google Scholar] [CrossRef]
- Luke, E. Firms get help in tracking EU green legislation. China Dly. 2005, 2, 2. [Google Scholar]
- Chen, Y.J.; Sheu, J.B. Environmental-regulation pricing strategies for green supply chain management. Transp. Res. Part E Logist. Transp. Rev. 2009, 45, 667–677. [Google Scholar] [CrossRef] [Green Version]
- Chen, S.; Wang, X.; Ni, L.; Wu, Y. Pricing policies in green supply chains with vertical and horizontal competition. Sustainability 2017, 9, 2359. [Google Scholar] [CrossRef] [Green Version]
- Liu, P.; Yi, S.P. Pricing policies of green supply chain considering targeted advertising and product green degree in the big data environment. J. Clean. Product. 2017, 164, 1614–1622. [Google Scholar] [CrossRef]
- Aslani, A.; Heydari, J. Transshipment contract for coordination of a green dual-channel supply chain under channel disruption. J. Clean. Product. 2019, 223, 596–609. [Google Scholar] [CrossRef]
- Fang, Y.; Wang, X.; Yan, J. Green Product Pricing and Order Strategies in a Supply Chain under Demand Forecasting. Sustainability 2020, 12, 713. [Google Scholar] [CrossRef] [Green Version]
- Barman, A.; Das, R.; De, P.K. Optimal pricing and greening decision in a manufacturer retailer dual-channel supply chain. Mater. Today Proc. 2021, 42, 870–875. [Google Scholar] [CrossRef]
- Cheng, W.; Appolloni, A.; D’Amato, A.; Zhu, Q. Green Public Procurement, missing concepts and future trends—A critical review. J. Clean. Product. 2018, 176, 770–784. [Google Scholar] [CrossRef]
- Zhang, C.T.; Wang, H.X.; Ren, M.L. Research on pricing and coordination strategy of green supply chain under hybrid production mode. Comput. Ind. Eng. 2014, 72, 24–31. [Google Scholar] [CrossRef]
- Jamali, M.B.; Rasti-Barzoki, M. A game theoretic approach for green and non-green product pricing in chain-to-chain competitive sustainable and regular dual-channel supply chains. J. Clean. Product. 2018, 170, 1029–1043. [Google Scholar] [CrossRef]
- Ranjan, A.; Jha, J.K. Pricing and coordination strategies of a dual-channel supply chain considering green quality and sales effort. J. Clean. Product. 2019, 218, 409–424. [Google Scholar] [CrossRef]
- Raza, S.A.; Govindaluri, S.M. Greening and price differentiation coordination in a supply chain with partial demand information and cannibalization. J. Clean. Prod. 2019, 229, 706–726. [Google Scholar] [CrossRef]
- Shen, B.; Cao, Y.; Xu, X. Product line design and quality differentiation for green and non-green products in a supply chain. Int. J. Prod. Res. 2020, 58, 148–164. [Google Scholar] [CrossRef]
- Wang, L.; Song, Q. Pricing policies for dual-channel supply chain with green investment and sales effort under uncertain demand. Math. Comput. Simul. 2020, 171, 79–93. [Google Scholar] [CrossRef]
- Das, R.; De, P.K.; Barman, A. Co-Ordination of a Two-Echelon Supply Chain with Competing Retailers Where Demand Is Sensitive to Price and Quality of the Product. In Mathematical Modeling, Computational Intelligence Techniques and Renewable Energy, Proceedings of the First International Conference, MMCITRE, Gandhinagar, India, 21–23 February 2020; Springer: Singapore, 2021; pp. 379–387. [Google Scholar]
- Barman, A.; Das, R.; De, P.K. An analysis of retailer’s inventory in a two-echelon centralized supply chain co-ordination under price-sensitive demand. SN Appl. Sci. 2020, 2, 1–15. [Google Scholar] [CrossRef]
- Sinha, S.; Sarmah, S.P. Coordination and price competition in a duopoly common retailer supply chain. Comput. Ind. Eng. 2010, 59, 280–295. [Google Scholar] [CrossRef]
- Barman, A.; Das, R.; De, P.K. An analysis of optimal pricing strategy and inventory scheduling policy for a non-instantaneous deteriorating item in a two-layer supply chain. Appl. Intell. 2021. [Google Scholar] [CrossRef]
- Huang, H.; Ke, H. Pricing decision problem for substitutable products based on uncertainty theory. J. Intell. Manuf. 2017, 28, 503–514. [Google Scholar] [CrossRef]
- Das, R.; De, P.K.; Barman, A. Pricing and ordering strategies in a two-echelon supply chain under price discount policy: A Stackelberg game approach. J. Manag. Anal. 2021, 1–27. [Google Scholar] [CrossRef]
- Giri, R.N.; Mondal, S.K.; Maiti, M. Bundle pricing strategies for two complementary products with different channel powers. Ann. Oper. Res. 2020, 287, 701–725. [Google Scholar] [CrossRef]
- Barman, A.; Das, R.; De, P.K. Optimal pricing, replenishment scheduling, and preservation technology investment policy for multi-item deteriorating inventory model under shortages. Int. J. Model. Simul. Sci. Comput. 2021, 2150039. [Google Scholar] [CrossRef]
- Ma, Y.; Liu, Y.; Appolloni, A.; Liu, J. Does green public procurement encourage firm’s environmental certification practice? The mediation role of top management support. Corp. Soc. Responsib. Environ. Manag. 2021, 28, 1002–1017. [Google Scholar] [CrossRef]
- Sheu, J.B.; Chen, Y.J. Impact of government financial intervention on competition among green supply chains. Int. J. Prod. Econ. 2012, 138, 201–213. [Google Scholar] [CrossRef]
- Krass, D.; Nedorezov, T.; Ovchinnikov, A. Environmental taxes and the choice of green technology. Prod. Oper. Manag. 2013, 22, 1035–1055. [Google Scholar] [CrossRef]
- Wang, K.; Zhao, Y.; Cheng, Y.; Choi, T.M. Cooperation or competition? Channel choice for a remanufacturing fashion supply chain with government subsidy. Sustainability 2014, 6, 7292–7310. [Google Scholar] [CrossRef] [Green Version]
- Droste, N.; Hansjürgens, B.; Kuikman, P.; Otter, N.; Antikainen, R.; Leskinen, P.; Pitkänen, K.; Saikku, L.; Loiseau, E.; Thomsen, M. Steering innovations towards a green economy: Understanding government intervention. J. Clean. Product. 2016, 135, 426–434. [Google Scholar] [CrossRef]
- Yang, D.; Xiao, T. Pricing and green level decisions of a green supply chain with governmental interventions under fuzzy uncertainties. J. Clean. Product. 2017, 149, 1174–1187. [Google Scholar] [CrossRef]
- Nielsen, I.E.; Majumder, S.; Sana, S.S.; Saha, S. Comparative analysis of government incentives and game structures on single and two-period green supply chain. J. Clean. Product. 2019, 235, 1371–1398. [Google Scholar] [CrossRef]
- He, P.; He, Y.; Xu, H. Channel structure and pricing in a dual-channel closed-loop supply chain with government subsidy. Int. J. Prod. Econ. 2019, 213, 108–123. [Google Scholar] [CrossRef]
- Sana, S.S. Price competition between green and non green products under corporate social responsible firm. J. Retail. Consum. Serv. 2020, 55, 102118. [Google Scholar] [CrossRef]
- Xiao, T.; Yang, D. Price and service competition of supply chains with risk-averse retailers under demand uncertainty. Int. J. Prod. Econ. 2008, 114, 187–200. [Google Scholar] [CrossRef]
- Ghosh, D.; Shah, J. A comparative analysis of greening policies across supply chain structures. Int. J. Prod. Econ. 2012, 135, 568–583. [Google Scholar] [CrossRef]
- Madani, S.R.; Rasti-Barzoki, M. Sustainable supply chain management with pricing, greening and governmental tariffs determining strategies: A game-theoretic approach. Comput. Ind. Eng. 2017, 105, 287–298. [Google Scholar] [CrossRef]










| parameters | a | b | c | e | ||||||
| values | 0.5 | 1200 | 5 | 1 | 30 | 15 | 1.2 | 5 | 0.5 | 4 |
| Different Scenario of Model | Without Govt. Interference; Model 1 (When in Centralized Case ) | With Govt. Interference; Model 2 (When in Centralized Case ) | With Govt. Interference; Model 2 (When in Centralized Case ) |
|---|---|---|---|
| Centralized Model (A) | |||
| 91.85 | 109.58 | 109.58 | |
| 82.87 | 81.80 | 81.80 | |
| 14.84 | 52.20 | 52.20 | |
| 10,312 | 8086 | 11,395 | |
| 9713 | 8905 | 11,450 | |
| 13,190 | 19,540 | 13,686 | |
| 33,215 | 36,531 | 36,531 | |
| − | −7624 | −7624 | |
| Decentralized Model (B) | |||
| 117.48 | 127.88 | 127.88 | |
| 83.35 | 89.32 | 89.32 | |
| 113.08 | 102.53 | 102.53 | |
| 75.83 | 57.97 | 57.97 | |
| 6.40 | 21.95 | 21.95 | |
| 7014 | 7592 | 7592 | |
| 9252 | 7917 | 7917 | |
| 10,215 | 13,930 | 13,930 | |
| 26,481 | 29,439 | 29,439 | |
| − | −890 | −890 |
| Centralized Model | Decentralized Model | |||||||||||||||||||
|---|---|---|---|---|---|---|---|---|---|---|---|---|---|---|---|---|---|---|---|---|
| Parameters | Policy | |||||||||||||||||||
| , | Without Govt. Interference | 79.35 | 70.37 | 11.84 | 6539 | 6370 | 4373 | 17,282 | − | 99.40 | 72.23 | 95.02 | 64.72 | 5.07 | 3502 | 4944 | 5308 | 13,756 | − | |
| With Govt. Interference | 91.81 | 69.10 | 35.23 | 6075 | 5843 | 6618 | 18,537 | −2925 | 106.83 | 76.55 | 86.95 | 51.98 | 14.90 | 3780 | 4277 | 6864 | 14,923 | −230 | ||
| , | Without Govt. Interference | 66.08 | 57.72 | 8.66 | 6008 | 6212 | 141 | 12,363 | − | 80.86 | 60.80 | 76.88 | 53.58 | 3.69 | 2338 | 3720 | 3792 | 9851 | − | |
| With Govt. Interference | 76.30 | 56.25 | 30.14 | 6290 | 5598 | 1247 | 13,137 | −2227 | 86.93 | 64.34 | 69.52 | 42.40 | 12.70 | 2544 | 3096 | 5004 | 10,644 | −93 | ||
| Without Govt. Interference | 57.35 | 49.30 | 6.56 | 5424 | 6055 | −2290 | 9189 | − | 68.57 | 53.23 | 64.080 | 46.15 | 2.78 | 1599 | 2912 | 2811 | 7323 | − | ||
| With Govt. Interference | 65.98 | 47.71 | 26.29 | 6219 | 5359 | −1943 | 9635 | −1709 | 73.66 | 56.20 | 58.00 | 36.20 | 11.00 | 1757 | 2328 | 3766 | 7852 | 6.63 | ||
| , | Without Govt. Interference | 111.82 | 101.86 | 19.64 | 10,636 | 9869 | 24,116 | 44,622 | − | 143.33 | 100.52 | 140.28 | 95.55 | 8.46 | 9768 | 12,028 | 13,725 | 35,522 | − | |
| With Govt. Interference | 132.64 | 101.08 | 58.80 | 6731 | 9178 | 33,091 | 49,001 | −8996 | 157.63 | 107.60 | 128.85 | 72.64 | 24.83 | 10,501 | 10,651 | 18,153 | 39,305 | −1187 | ||
| , | Without Govt. Interference | 91.85 | 82.87 | 14.84 | 10,312 | 9713 | 13,190 | 33,215 | − | 117.48 | 83.35 | 113.08 | 75.83 | 6.40 | 7013 | 9252 | 10,215 | 26,481 | − | |
| With Govt. Interference | 109.58 | 81.80 | 52.20 | 8086 | 8905 | 19,540 | 36,531 | −7624 | 127.88 | 89.32 | 102.53 | 57.97 | 21.95 | 7592 | 7917 | 13,930 | 29,439 | −890 | ||
| Without Govt. Interference | 78.72 | 78.24 | 11.69 | 9828 | 9555 | 6366 | 25,750 | − | 99.01 | 71.97 | 94.95 | 64.69 | 5.03 | 5221 | 7409 | 7915 | 20,547 | − | ||
| With Govt. Interference | 94.35 | 69.00 | 47.57 | 8800 | 8635 | 10,902 | 28,338 | −6656 | 108.10 | 77.16 | 85.09 | 48.35 | 19.81 | 5693 | 6114 | 11,109 | 22,917 | −688 | ||
| , | Without Govt. Interference | 144.28 | 133.35 | 27.42 | 14,430 | 13,370 | 56,953 | 84,755 | − | 191.26 | 128.82 | 185.56 | 120.38 | 11.85 | 19,177 | 22,210 | 26,078 | 67,467 | − | |
| With Govt. Interference | 173.46 | 133.07 | 82.37 | 4610 | 12,513 | 76,902 | 94,027 | −18,313 | 208.44 | 138.63 | 170.73 | 93.29 | 34.76 | 20,584 | 19,879 | 34,831 | 75,295 | −2761 | ||
| , | Without Govt. Interference | 117.63 | 108.03 | 21.03 | 14,424 | 13,212 | 36,617 | 64,253 | − | 154.09 | 105.90 | 149.27 | 98.09 | 9.11 | 14,195 | 17,259 | 19,775 | 51,230 | − | |
| With Govt. Interference | 1435 | 107.35 | 74.27 | 7444 | 12,212 | 52,033 | 71,690 | −16,130 | 168.84 | 114.29 | 135.55 | 73.54 | 31.18 | 15,331 | 14,956 | 27,339 | 57,627 | −2264 | ||
| Without Govt. Interference | 100.08 | 91.18 | 16.82 | 14,102 | 13,055 | 23,616 | 50,773 | − | 129.45 | 90.72 | 125.10 | 83.24 | 7.28 | 10,928 | 13,969 | 15,626 | 40,524 | − | ||
| With Govt. Interference | 122.72 | 90.26 | 68.85 | 9118 | 11,912 | 35,940 | 56,971 | −14,680 | 142.53 | 98.13 | 112.18 | 60.52 | 28.62 | 11,879 | 11,686 | 22,341 | 45,907 | −1897 | ||
| With Govt. Intf. | Centralized Model | Decentralized Model | ||||||||||||||||
|---|---|---|---|---|---|---|---|---|---|---|---|---|---|---|---|---|---|---|
| Parameters | ||||||||||||||||||
| , | 118.22 | 79.16 | 66.40 | 5937 | 8140 | 23,075 | 37,153 | −12,694 | 129.83 | 88.70 | 82.38 | 23.53 | 24.65 | 7096 | 2159 | 20,933 | 30,189 | 359 |
| , | 103.64 | 79.55 | 41.96 | 9261 | 8718 | 16,056 | 34,036 | −3104 | 123.78 | 85.94 | 93.53 | 44.16 | 17.90 | 7023 | 6095 | 15,609 | 28,728 | 670 |
| , | 95.95 | 79.16 | 26.45 | 10,103 | 8920 | 12,996 | 32,016 | 633 | 119.52 | 83.72 | 97.89 | 53.20 | 11.82 | 6865 | 7169 | 13,196 | 27,231 | 1184 |
| , | 95.94 | 80.16 | 26.40 | 10,161 | 9095 | 13,377 | 32,633 | 161 | 119.73 | 84.10 | 101.73 | 58.86 | 11.90 | 6964 | 7838 | 12,478 | 27,281 | 750 |
| , | 91.85 | 82.87 | 14.84 | 10,312 | 9711 | 13,190 | 33,215 | 0 | 117.48 | 83.35 | 113.08 | 75.83 | 6.40 | 7013 | 9252 | 10,215 | 26,481 | 0 |
Publisher’s Note: MDPI stays neutral with regard to jurisdictional claims in published maps and institutional affiliations. |
© 2021 by the authors. Licensee MDPI, Basel, Switzerland. This article is an open access article distributed under the terms and conditions of the Creative Commons Attribution (CC BY) license (https://creativecommons.org/licenses/by/4.0/).
Share and Cite
Barman, A.; Das, R.; De, P.K.; Sana, S.S. Optimal Pricing and Greening Strategy in a Competitive Green Supply Chain: Impact of Government Subsidy and Tax Policy. Sustainability 2021, 13, 9178. https://doi.org/10.3390/su13169178
Barman A, Das R, De PK, Sana SS. Optimal Pricing and Greening Strategy in a Competitive Green Supply Chain: Impact of Government Subsidy and Tax Policy. Sustainability. 2021; 13(16):9178. https://doi.org/10.3390/su13169178
Chicago/Turabian StyleBarman, Abhijit, Rubi Das, Pijus Kanti De, and Shib Sankar Sana. 2021. "Optimal Pricing and Greening Strategy in a Competitive Green Supply Chain: Impact of Government Subsidy and Tax Policy" Sustainability 13, no. 16: 9178. https://doi.org/10.3390/su13169178
APA StyleBarman, A., Das, R., De, P. K., & Sana, S. S. (2021). Optimal Pricing and Greening Strategy in a Competitive Green Supply Chain: Impact of Government Subsidy and Tax Policy. Sustainability, 13(16), 9178. https://doi.org/10.3390/su13169178

