Residual Stand Damage under Different Harvesting Methods and Mitigation Strategies
Abstract
1. Introduction
2. Materials and Methods
2.1. Site Description
2.1.1. Study Site I (SS I)
2.1.2. Study Site II (SS II)
2.2. Stand Inventory
2.3. Silvicultural Prescriptions
2.3.1. Study Site I
2.3.2. Study Site II
2.4. Harvesting Operation
2.5. Data Collection
2.6. Statistical Analysis
2.7. Literature Review
3. Results and Discussion
3.1. Stand Conditions
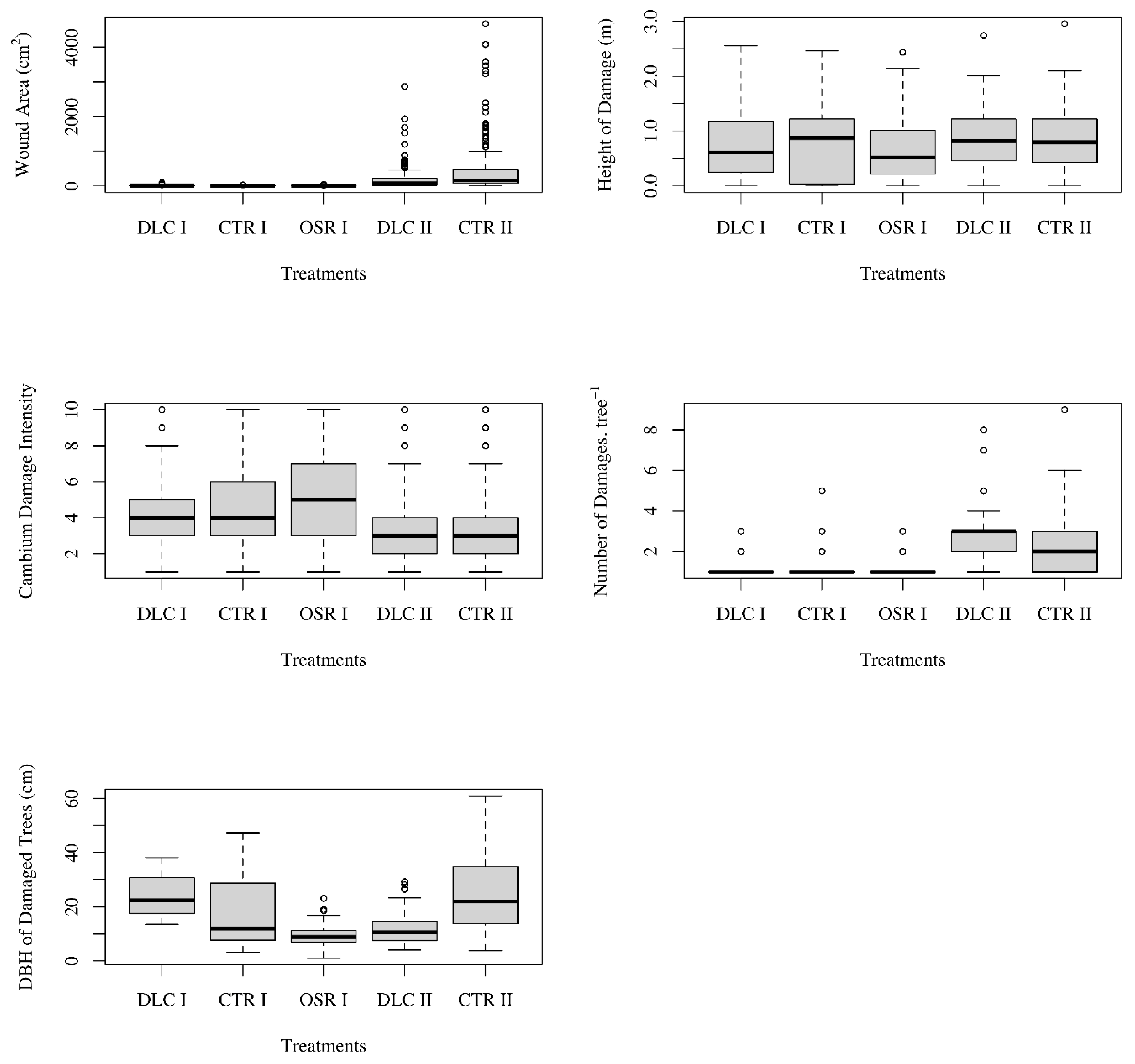
3.2. Residual Stand Damage
3.2.1. Damage Type
3.2.2. Impacts due to Harvesting Methods and Silvicultural Prescriptions
3.2.3. Species Composition and Diameter Classes of Damaged Trees
3.3. Strategies Adopted for Minimizing Residual Stand Damage
4. Limitations of the Study
5. Conclusions
Author Contributions
Funding
Institutional Review Board Statement
Informed Consent Statement
Data Availability Statement
Acknowledgments
Conflicts of Interest
References
- MFS. 2017 Silvicultural Activities Report Including Annual Report on Clearcutting and Precommercial Activities; Maine Forest Service: Augusta, ME, USA, 2018; p. 8. [Google Scholar]
- Rice, B.; Weiskittel, A.R.; Wagner, R.G. Efficiency of Alternative Forest Inventory Methods in Partially Harvested Stands. Eur. J. For. Res. 2014, 133, 261–272. [Google Scholar] [CrossRef]
- Benjamin, J.G.; Seymour, R.S.; Meacham, E.; Wilson, J. Impact of Whole-Tree and Cut-to-Length Harvesting on Postharvest Condition and Logging Costs for Early Commercial Thinning in Maine. North. J. Appl. For. 2013, 30, 149–155. [Google Scholar] [CrossRef]
- Hiesl, P. Productivity Standards for Whole-Tree and Cut-to-Lenght Harvesting Systems in Maine. Master’s Thesis, University of Maine, Orono, ME, USA, 2013. [Google Scholar]
- Hiesl, P.; Crandall, M.; Weiskittel, A.; Kizha, A. Assessing Alternative Silvicultural Prescriptions for Mid-Rotation, Unthinned, Spruce-Fir Stands in Maine. Forests 2017, 8, 370. [Google Scholar] [CrossRef]
- Annesi, T.; Calienno, L.; Picchio, R.; De Simone, D.; Lo Monaco, A. Degradation of Some Technological Features in the Wood of Ornamental Species Caused by Inonotus Rickii (Pat.) Reid. Derwno 2015, 58, 5–18. [Google Scholar] [CrossRef]
- Brüchert, F.; Šeho, M.; Kohnle, U. Impact of Bark Wounds on Sapwood in Norway Spruce and Silver Fir. Eur. J. For. Res. 2017, 136, 957–969. [Google Scholar] [CrossRef]
- Vasiliauskas, R. Damage to Trees due to Forestry Operations and Its Pathological Significance in Temperate Forests: A Literature Review. Forestry 2001, 74, 319–336. [Google Scholar] [CrossRef]
- Wiedenbeck, J.; Smith, K.T. Hardwood Management, Tree Wound Response, and Wood Product Value. For. Chron. 2019, 94, 15. [Google Scholar]
- Tavankar, F.; Nikooy, M.; Picchio, R.; Bonyad, A.; Venanzi, R. Effects of Logging Wounds on Caucasian Alder Trees (Alnus Subcordata C.A. Mey.) in Iranian Caspian Forests. Croat. J. For. Eng. 2017, 38, 73–82. [Google Scholar]
- Han, H.-S. Damage to Young Douglas-Fir Stands from Commercial Thinning with Various Timber Harvestingsystems and Silvicultural Prescriptions: Characteristics, Sampling Strategy for Assessment and Future Value Loss. Ph.D. Thesis, Oregon State University, Corvallis, OR, USA, 1997. [Google Scholar]
- Cudzik, A.; Brennensthul, M.; Białczyk, W.; Czarnecki, J. Damage to Soil and Residual Trees Caused by Different Logging Systems Applied to Late Thinning. Croat. J. For. Eng. 2017, 38, 83–95. [Google Scholar]
- George, A.K.; Kizha, A.R.; Kenefic, L. Economic Feasibility of Timber Harvesting in Waterlogged Cedar Stands. In Proceedings of the Exceeding the Vision: Forest Mechanization of the Future, Sopron, Hungary, 6–10 October 2019; p. 651. [Google Scholar]
- Modig, E.; Magnusson, B.; Valinger, E.; Cedergren, J.; Lundqvist, L. Damage to Residual Stand Caused by Mechanized Selection Harvest in Uneven-Aged Picea Abies Dominated Stands. Silva Fenn. 2012, 46, 267–274. [Google Scholar] [CrossRef]
- Tavankar, F.; Picchio, R.; Nikooy, M.; Lo Monaco, A.; Iranparast Bodaghi, A. Healing Rate Logging Wounds on Broadleaf Trees in Hyrcanian Forest with Some Technologicalimplications. Drewno 2017, 60, 65–80. [Google Scholar] [CrossRef]
- Wallis, G.W.; Morrison, D.J. Root Rot and Stem Decay Following Commercial Thinning in Western Hemlock and Guidelines for Reducing Losses. For. Chron. 1975, 51, 203–207. [Google Scholar] [CrossRef]
- Steyrer, G. Extent and Economical Significance of Stem Decays in Forestry Enterprise. Cbl. Ges. For. 1992, 109, 221–249. [Google Scholar]
- Han, H.-S.; Kellogg, L.D. Damage Characteristics in Young Douglas-Fir Stands from Commercial Thinning with Four Timber Harvesting Systems. West. J. Appl. For. 2000, 15, 27–33. [Google Scholar] [CrossRef]
- Lo Monaco, A.; Calienno, L.; Pelosi, C.; Balletti, F.; Agresti, G.; Picchio, R. Technical Properties of Beech Wood from Aged Coppices in Central Italy. iForest-Biogeosci. For. 2015, 8, 82–88. [Google Scholar] [CrossRef]
- Kizha, A.R.; Han, H.-S. Processing and Sorting Forest Residues: Cost, Productivity and Managerial Impacts. Biomass Bioenergy 2016, 93, 97–106. [Google Scholar] [CrossRef]
- U.S. Climate Data. Climate Fort Kent—Maine and Weather Averages Fort Kent—Weather History January 2019. Available online: https://www.usclimatedata.com/climate/fort-kent/maine/united-states/usme0146/2019/1 (accessed on 20 December 2019).
- Soman, H.; Kizha, A.R.; Roth, B.E. Impacts of Silvicultural Prescriptions and Implementation of Best Management Practices on Timber Harvesting Costs. Int. J. For. Eng. 2019, 30, 14–25. [Google Scholar] [CrossRef]
- Louis, L.T.; Kizha, A.R. Comparing the Cost of Harvesting Sawlogs and Small-Diameter Trees from Different Silvicultural Prescriptions Utilizing Two Harvesting Methods. In Proceedings of the Exceeding the Vision: Forest Mechanization of the Future, Sopron, Hungary, 6–10 October 2019; p. 651. [Google Scholar]
- Louis, L.T.; Kizha, A.R. Wood Biomass Recovery Cost under Different Harvesting Methods and Market Conditions. Int. J. For. Eng. 2021, 1–10. [Google Scholar] [CrossRef]
- Kizhakkepurakkal, A. Opportunities and Challenges Associated with Development of Wood Biomass Energy Production in Louisiana. Master’s Thesis, Louisiana State University, Baton Rouge, LA, USA, 2008. [Google Scholar]
- Akay, A.E.; Yilmaz, M.; Tongue, F. Impact of Mechanized Harvesting Machines on Forest Ecosystem: Residual Stand Damage. J. Appl. Sci. 2006, 6, 2414–2419. [Google Scholar]
- Limbeck-Lilienau, B. Residual Stand Damage Caused by Mechanized Harvesting Systems. In Proceedings of the High Tech Forest Operations for Mountainous Terrain, Schlaegl, Austria, 5 October 2003; p. 11. [Google Scholar]
- Tsioras, P.A.; Liamas, D.K. Hauling Damages in a Mixed Beech Oak Stand. In Proceedings of the Forest Engineering: Meeting the Needs of the Society and the Environment, Padova, Italy, 11 July 2010; p. 8. [Google Scholar]
- Butora, A.; Schwager, G. Harvesting Damage in Thinning Stands; Swiss Federal Institute of Forestry Research: Birmensdorf, Switzerland, 1983; p. 47. [Google Scholar]
- Nyland, R.D. Logging Damage during Thinning in Even-Aged Hardwood Stands. In Proceedings of the Guidelines for Managing Immature Appalachian Hardwood Stands, West Virginia University, Morgantown, WV, USA, 28–30 May 1986; pp. 28–30. [Google Scholar]
- Behjou, F.K.; Mollabashi, O.G. Selective Logging and Damage to Unharvested Trees in a Hyrcanian Forest of Iran. BioResources 2012, 7, 4867–4874. [Google Scholar] [CrossRef]
- Picchio, R.; Neri, F.; Maesano, M.; Savelli, S.; Sirna, A.; Blasi, S.; Baldini, S.; Marchi, E. Growth Effects of Thinning Damage in a Corsican Pine (Pinus Laricio Poiret) Stand in Central Italy. For. Ecol. Manag. 2011, 262, 237–243. [Google Scholar] [CrossRef]
- Mäkinen, H.; Hallaksela, A.-M.; Isomäki, A. Increment and Decay in Norway Spruce and Scots Pine after Artificial Logging Damage. Can. J. For. Res. 2007, 37, 2130–2141. [Google Scholar] [CrossRef]
- Bettinger, P.; Kellog, L. Residual Stand Damage from Cut-to-Length Thinning of Second Growth Timber in the Cascade Range of Western Oregon. For. Prod. J. 1993, 43, 59–64. [Google Scholar]
- Naghdi, R.; Rafatnia, N.; Bagheri, I.; Hemati, V. Evaluation of Residual Damage in Felling Gaps and Extraction Routes in Single Selection Method (Siyahkal Forest). Iran. J. For. Poplar Res. 2008, 16, 87–98. [Google Scholar]
- Jourgholami, M. Operational Impacts to Residual Stands Following Ground-Based Skidding in Hyrcanian Forest, Northern Iran. J. For. Res. 2012, 23, 333–337. [Google Scholar] [CrossRef]
- Dimou, V.; Milios, E. Harvest-Inflicted Wounds on Residual Trees. Wood Res. 2015, 60, 10. [Google Scholar]
- Ezzati, S.; Najafi, A. Long-Term Impact Evaluation of Ground-Base Skidding on Residual Damaged Trees in the Hyrcanian Forest, Iran. Int. J. For. Res. 2010, 2010, 1–8. [Google Scholar] [CrossRef][Green Version]
- Han, S.-K.; Han, H.-S.; Page-Dumroese, D.S.; Johnson, L.R. Soil Compaction Associated with Cut-to-Length and Whole-Tree Harvesting of a Coniferous Forest. Can. J. For. Res. 2009, 39, 976–989. [Google Scholar] [CrossRef]
- Smith, K.T. Compartmentalization, Resource Allocation, and Wood Quality. Curr. For. Rep. 2015, 1, 8–15. [Google Scholar] [CrossRef]
- Jourgholami, M.; Abari, M.E. Log Damage and Value Loss Following Motor-Manual Tree Harvesting in the Hyrcanian Forest, Northern Iran. Eur. J. For. Eng. 2017, 3, 35–43. [Google Scholar]
- Vasaitis, R.; Lygis, V.; Vasiliauskaite, I.; Vasiliauskas, A. Wound Occlusion and Decay in Picea Abies Stems. Eur. J. For. Res. 2012, 131, 1211–1216. [Google Scholar] [CrossRef]
- Vasiliauskas, R. Wound Healing Rate and Its Influence on Spread of Decay in Spruce; Lithuanian Forest Research Institute: Kėdainiai, Lithuania, 1994; Volume 34, pp. 207–212. [Google Scholar]
- Welch, D.; Scott, D.; Staines, B.W. Bark-Stripping Damage by Red Deer in a Sitka Spruce Forest in Western Scotland. III. Trends in Wound Condition. Forestry 1997, 70, 113–120. [Google Scholar] [CrossRef]
- Smith, H.C.; Miller, G.W.; Schuler, T.M. Closure of Logging Wounds after 10 Years. In USDA Technical Bulletins; USDA: Washington, DC, USA, 1994; pp. 1–6. [Google Scholar]
- Jensen, R.G.; Kabrick, J.M. Following the Fate of Harvest Damaged Trees 13 Years after Harvests; USDA, Forest Service: Carbondale, IL, USA, 2014; pp. 199–200. [Google Scholar]
- Zeglen, S. Tree Wounding and Partial-Cut Harvesting: A Literature Review for British Columbia; Ministry of Forests: Nanaimo, BC, Canada, 1997; ISBN 978-0-7726-3206-7. [Google Scholar]
- Hwang, K.; Han, H.-S.; Marshall, S.; Page-Dumroese, D. Amount and Location of Damage to Residual Trees from Cut-to-Length Thinning Operations in a Young Redwood Forest in Northern California. Forests 2018, 9, 352. [Google Scholar] [CrossRef]
- Naghdi, R.; Solgi, A.; Zenner, E.K.; Tsioras, P.A. Effect of Skid Trail Curvature on Residual Tree Damage. Aust. For. 2019, 82, 1–8. [Google Scholar] [CrossRef]
- Tavankar, F.; Bonyad, A.; Marchi, E.; Venanzi, R.; Picchio, R. Effect of Logging Wounds on Diameter Growth of Beech (Fagus Orientalis Lipsky) Trees Following Selection Cutting in Caspian Forests of Iran. N. Z. J. For. Sci. 2015, 45. [Google Scholar] [CrossRef]
- Bobik, M. Damages to Residual Stand in Commercial Thinnings. Master’s Thesis, Southern Swedish Forest Research Centre Alnarp, Swedish University of Agricultural Sciences, Uppsala, Sweden, 2008. [Google Scholar]
- Ostrofsky, W.D. Practices to Minimize Logging Injuries to Residual Trees:Insect & Disease Fact Sheets: Forest Health & Monitoring. Available online: https://www.maine.gov/dacf/mfs/forest_health/diseases/logging_injuries.htm (accessed on 20 December 2019).
- Lamont, W. Residual Damage in Mixed Hardwood Stands after Mechanized Logging. Bachelor’s Thesis, Faculty of Natural Resources Management, Lakehead University, Thunder Bay, ON, Canada, 2019. [Google Scholar]
- Mousavi Mirkala, R. Comparison of Damage to Residual Stand due to Applying Two Different Harvesting Methods in the Hyrcanian Forest of Iran: Cut-to-Length vs. Tree Length. Casp. J. Environ. Sci. 2017, 15, 13–27. [Google Scholar] [CrossRef]
- Froese, K.; Han, H.-S. Residual Stand Damage from Cut-to-Length Thinning of a Mixed Conifer Stand in Northern Idaho. West. J. Appl. For. 2006, 21, 142–148. [Google Scholar] [CrossRef]
- Eroglu, H.; Ozturk, U.O.; Sonmez, T.; Tiiki, F.; Akkuzu, E. The Impact of Timber Harvesting Techniques on Residual Tree, Seedlings, and Timber Products in the Natural Oriental Spruce Forests. Afr. J. Agric. Res. 2009, 4, 220–224. [Google Scholar]
- Sirén, M.; Hyvönen, J.; Surakka, H. Tree Damage in Mechanized Uneven-Aged Selection Cuttings. Croat. J. For. Eng. 2015, 36, 33–42. [Google Scholar]
- Kizha, A.R.; Han, H. Cost and Productivity for Processing and Sorting Forest Residues. In Proceedings of the Engineering Solutions for Non-Industrial Private Forest Operations, Lexington, KY, USA, 19–22 July 2015; pp. 52–67. [Google Scholar]
- Soman, H.; Kizha, A.R.; Delgado, B.M.; Kenefic, L.S.; Kanoti, K. Production Economics: Comparing Hybrid Tree-Length with Whole-Tree Harvesting Methods. For. Int. J. For. Res. 2020, 93, 389–400. [Google Scholar] [CrossRef]
- Akay, A.E.; Sessions, J.; Aruga, K. Designing a Forwarder Operation Considering Tolerable Soil Disturbance and Minimum Total Cost. J. Terramechanics 2007, 44, 187–195. [Google Scholar] [CrossRef]
- Badraghi, N.; Erler, J.; Sao, H. Residual Damage in Different Ground Logging Methods alongside Skid Trails and Winching Strips. J. For. Sci. 2016, 61, 526–534. [Google Scholar] [CrossRef]
- Bick, S.; Berry, A.H.; Federick, P.; Steele, A. Climate Adaptations in the Northeast’s Forest Products Supply Chain: A Vulnerability Assessment for the Primary Forest Products Sector; United States Department of Agriculture: Washington, DC, USA, 2019; p. 106. [Google Scholar]






| Study Site I | Study Site II | |||||
|---|---|---|---|---|---|---|
| CTR I | DLC I | OSR I | CTR II | DLC II | ||
| Treatment area (ha) | 10.52 | 10.12 | 11.33 | 32.31 | 16.19 | |
| Residual stand damage transects (ha) | 1.87 | 2.03 | 2.01 | 11.81 | 6.31 | |
| Basal area (m2·ha−1) | Pre-harvest | 22 | 37 | 45 | 29 | 30 |
| Post-harvest | 19 | 18 | 8 | 7 | 8 | |
| Stand density (trees ha−1) | Pre-harvest | 687 | 1108 | 2710 | 1028 | 1578 |
| Post-harvest | 482 | 187 | 210 | 517 | 85 | |
| Total wood harvested (ton) | 1031 | 1151 | 1913 | 2646 | 1664 | |
| Skid trail length (m) | Total | 2608 | 2458 | 1668 | 6567 | 4838 |
| Average | 318 | 254 | 408 | 1009 | 873 | |
| Study Site I | Study Site II | ||||
|---|---|---|---|---|---|
| DLC I | CTR I | OSR I | DLC II | CTR II | |
| Area of injury (cm2) | 0.474 (0.519, 51) | 0.770 (0.086, 76) | 0.137 (2.232, 151) | 0.640 (0.220, 144) | 0.653 (0.202, 216) |
| Bole damage severity (1–10) | 0.971 (0.001, 49) | 0.123 (2.447, 60) | 0.232 (1.443, 121) | 0.205 (1.62, 144) | 0.073 (3.252, 208) |
| Height from base (m) | 0.696 (0.154, 48) | 0.054 (3.897, 58) | 0.103 (2.696, 121) | 0.397 (0.723, 144) | 0.110 (2.580, 207) |
| Number of damage. tree−1 | 0.764 (0.091, 44) | 0.456 (0.562, 63) | 0.992 (0.062, 129) | 0.023 * (5.533, 50) | 0.478 (0.507, 94) |
| Study Site I | Study Site II | ||||
|---|---|---|---|---|---|
| DLC I | CTR I | OSR I | DLC II | CTR II | |
| Total | |||||
| Bole damage | 50 | 65 | 133 | 146 | 201 |
| Root damage | 18 | 13 | 31 | 3 | 20 |
| Canopy damage | 12 | 24 | 22 | 3 | 19 |
| Mean | |||||
| DBH of damaged trees (cm) | 24 (±1.12) | 19 (±1.59) | 9 (±0.31) | 11 (±0.89) | 24 (±1.46) |
| Height from base (m) | 0.76 (±0.008) | 0.76 (±0.007) | 0.64 (±0.004) | 0.85 (±0.003) | 0.85 (±0.004) |
| Area of injury (cm2) | 1430 (±3.01) | 529 (±0.75) | 298 (±0.56) | 159 (±29.95) | 356 (±51.51) |
| Length (cm) | 67 (±0.77) | 58 (±0.66) | 49 (±0.39) | 27 (±2.45) | 30 (±2.46) |
| Width (cm) | 21 (±0.15) | 9 (±0.08) | 6 (±0.03) | 6 (±0.31) | 12 (±0.71)) |
| Bole damage severity (1–10) | 3 (±0.36) | 2 (±0.31) | 3 (±0.21) | 2 (±0.15) | 2 (±0.15) |
| Root damage severity (1–10) | 1 | 3 | 4 | 2 | 2 |
| Canopy damage height from base (m) | 7 | 7 | 5 | 10 | 11 |
| Percentage of canopy removed (%) | 10 | 30 | 78 | 37 | 15 |
| Study Site I | Study Site II | ||||
|---|---|---|---|---|---|
| DLC I | CTR I | OSR I | DLCII | CTR II | |
| Total number of trees damaged | 47 | 65 | 131 | 52 | 95 |
| Total number of wounds | 80 | 102 | 186 | 152 | 240 |
| Average number of wound. tree−1 | 1.70 (±0.07) | 1.57 (±0.08) | 1.42 (±0.04) | 2.92 (±0.22) | 2.53 (±0.15) |
| Transect area (ha) | 2.03 | 1.87 | 2.01 | 6.31 | 11.81 |
| Wood harvested (tons. ha−1) a | 113.74 | 98.00 | 168.84 | 102.78 | 81.89 |
| Number of wounds. ha−1 | 39 | 55 | 93 | 24 | 20 |
| Trees damaged. ha−1 | 23 | 35 | 65 | 6 | 12 |
| p-Value | F Statistics | F Value | Degrees of Freedom | |
|---|---|---|---|---|
| DBH of damaged trees | <0.001 | 2.395 | 49.969 | 4 |
| Height from base | <0.010 | 2.387 | 3.585 | 4 |
| Area of injury | <0.001 | 2.387 | 22.205 | 4 |
| Average number of wounds. tree−1 | <0.001 | 2.395 | 37.654 | 4 |
| Bole damage severity | <0.001 | 2.387 | 17.027 | 4 |
| Area of Injury | ||||
| CTR I | OSR I | DLC II | CTR II | |
| DLC I | 0.9 (0.03) | 0.9 (0.15) | 0.001 * (8.81) | 0.05 * (3.87) |
| CTR I | 0.9 (0.20) | 0.001 * (11.19) | 0.006 * (4.81) | |
| OSR I | 0.001 * (7.90) | 0.115 (3.40) | ||
| DLC II | 0.001 * (6.37) | |||
| Bole damage severity | ||||
| DLC I | 0.9 (0.67) | 0.463 (2.34) | 0.013 * (4.50) | 0.005 * (4.94) |
| CTR I | 0.126 (3.35) | 0.038 * (4.02) | 0.014 * (4.49) | |
| OSR I | 0.001 * (9.23) | 0.001 * (10.30) | ||
| DLC II | 0.9 (0.38) | |||
| Average number of wounds per tree | ||||
| DLC I | 0.9 (0.02) | 0.9 (0.33) | 0.001 * (10.90) | 0.001 * (8.15) |
| CTR I | 0.9 (0.35) | 0.001 * (11.88) | 0.001 * (9.12) | |
| OSR I | 0.001 * (13.79) | 0.001 * (11.28) | ||
| DLC II | 0.020 * (4.33) | |||
| Height from base | ||||
| DLC I | 0.9 (0.02) | 0.739 (0.66) | 0.745 (1.65) | 0.695 (1.77) |
| CTR I | 0.694 (1.77) | 0.721 (1.71) | 0.666 (1.84) | |
| OSR I | 0.016 * (4.42) | 0.006 * (4.83) | ||
| DLC II | 0.9 (0.08) | |||
| Diameter at breast height (DBH) of damaged trees | ||||
| DLC I | 0.031 * (4.12) | 0.001 * (12.69) | 0.001 * (8.54) | 0.9 (1.22) |
| CTR I | 0.001 * (9.11) | 0.004 * (5.02) | 0.001 * (6.31) | |
| OSR I | 0.301 (2.74) | 0.001 * (17.85) | ||
| DLC II | 0.001 * (11.32) | |||
| Strategies | Sources | |
|---|---|---|
| I. Prior to harvest | ||
| Logging crew | ||
| 1 | Gain trust of operators | [15,18,47] |
| 2 | Appropriate training and supervision | [8,15,26,36,38,48,49,50] |
| 3 | Increase awareness on consequences of mechanical damage | [26,30,51,52] |
| 4 | Experience level of operators and proficiency | [8,18,26,38,48,53] |
| 5 | Incentive programs promoting minimal amount of residual stand damage | [18] |
| Silviculture | ||
| 1 | Minimize the number of stand entries over time | [52] |
| 2 | Use crop tree selection methods rather than wide-spread thinning techniques; thereby limiting harvesting activity to limited areas | [38,52,54] |
| 3 | Shorter rotations to minimize decay loss after thinning | [18,55] |
| Harvest layout and management | ||
| 1 | Proper harvest layout and skid trail planning | [8,10,18,26,36,38,47,53,54,55,56] |
| 2 | Visibly identify/mark the crop trees and use extra caution while working near them. | [18,36,37,47,52,53,57] |
| 3 | Know the site and stand characteristics | [47,52] |
| 4 | Establish maximum acceptable levels of damage (species wise) in the management plan | [55] |
| Extraction trail | ||
| 1 | Optimal trail spacing | [18,26,54] |
| 2 | Wider extraction trails | [51] |
| 3 | Straight skid trails | [18,26,49] |
| 4 | Use bumper trees | [47,49,53] |
| 5 | Leaving low stumps on trails | [18,48] |
| 6 | Use old extraction trails | [18,49] |
| 7 | Armor extraction trails with slash | [20,22,58,59] |
| 8 | Remove wood from skid trails first | [47] |
| Equipment selection | ||
| 1 | Match equipment type and size to stand and site conditions | [18,26,47,49,52,53] |
| 2 | Balance between productivity and quality of thinning operation | [51] |
| 3 | Choose machines having lesser footprint | [51,53] |
| Harvest methods/system | ||
| 1 | Using Cut-to-length method (or extracting smaller sized logs) | [12,27,34,37,47,56,60,61] |
| Season | ||
| 1 | Winter harvesting | [8,9,13,18,27,48,51,52,53,55,59] |
| 2 | Avoid harvest during wet conditions and periods of sap flow | [9,18,47,48,52,53] |
| II. During operation | ||
| 1 | Prioritize efforts to reduce injuries to roots/soil first; upper bole/crown next | [18,52] |
| 2 | Recognize that sapling/pole stages are most vulnerable to damage | [9,52,57] |
| 3 | Directional felling | [18,37,38,47,49,53,54] |
| 4 | Extra care to be taken around larger residual trees | [55] |
| 5 | Tree protection device (tree pads) | [18,38,55,60] |
| III. Post-harvest | ||
| 1 | Chemical wound decay control | [8] |
| 2 | Regular assessment of stand for decay | [53,55] |
Publisher’s Note: MDPI stays neutral with regard to jurisdictional claims in published maps and institutional affiliations. |
© 2021 by the authors. Licensee MDPI, Basel, Switzerland. This article is an open access article distributed under the terms and conditions of the Creative Commons Attribution (CC BY) license (https://creativecommons.org/licenses/by/4.0/).
Share and Cite
Kizha, A.R.; Nahor, E.; Coogen, N.; Louis, L.T.; George, A.K. Residual Stand Damage under Different Harvesting Methods and Mitigation Strategies. Sustainability 2021, 13, 7641. https://doi.org/10.3390/su13147641
Kizha AR, Nahor E, Coogen N, Louis LT, George AK. Residual Stand Damage under Different Harvesting Methods and Mitigation Strategies. Sustainability. 2021; 13(14):7641. https://doi.org/10.3390/su13147641
Chicago/Turabian StyleKizha, Anil Raj, Evan Nahor, Noah Coogen, Libin T. Louis, and Alex K. George. 2021. "Residual Stand Damage under Different Harvesting Methods and Mitigation Strategies" Sustainability 13, no. 14: 7641. https://doi.org/10.3390/su13147641
APA StyleKizha, A. R., Nahor, E., Coogen, N., Louis, L. T., & George, A. K. (2021). Residual Stand Damage under Different Harvesting Methods and Mitigation Strategies. Sustainability, 13(14), 7641. https://doi.org/10.3390/su13147641

