Abstract
Emotional competence (EC) is important for children’s social adjustment and sustainable development. The present study designed a school based emotional competence learning (ECL) program and examined its effectiveness with 56 Chinese preschoolers aged 5–6. A quasi-experimental design was employed to examine the impact of the ECL program on young children’s EC. Two upper Kindergarten classes (Daban) for children aged 5–6 were randomly assigned as experimental group (n = 31, 42% girls, Mage = 68.31 months, SD = 3.75) and control group (n = 25, 44% girls, Mage = 68.16 months, SD = 3.77). The experimental group was engaged in a 15-week ECL program, whereas the control group had similar duration courses without emotional competence training. All the children were administered the Test of Emotion Comprehension, Expression Identification Task, and Emotion Regulation Strategy Inventory before and after the intervention. The results indicated no significant differences between the experimental and control groups in the pre-test. In contrast, the experimental group outperformed the control group in most EC components in the post-test. Meanwhile, the experimental group demonstrated greater increases in EC components. The findings suggest that this ECL program has strong potential as a school-based, structured program for enhancing children’s emotional competence. The educational implications of these findings are discussed.
1. Introduction
Emotional competence is very important for a sustainable society and economy, especially in a competitive and stressful context such as Chinese society. In addition, the COVID-19 pandemic and subsequent lockdowns have put Chinese children into a very difficult and stressful situation, which will have a long-term and far-reaching negative impact on the sustainable development of the young generation [,]. In this pandemic context, emotional competence, especially emotion regulation strategies, are beneficial for children’s mental health [,,].
Emotional competence (EC) can be defined as the ability to purposefully and fully express various emotions, regulate emotional expressiveness and experiences when necessary, and understand the emotions of self and others []. EC is crucial for both preschooler’s concurrent and later well-being and mental health, as well as learning and academic success [,,]. As EC skills are so important and viewed as such by academicians, early childhood educators, and parents, it is important to foster the EC development of preschoolers. Thus, our goals in this article are to design a school-based emotional competence learning (ECL) program which can be integrated into the kindergarten curriculum and check its effects on young children’s emotional competence.
1.1. Emotional Competence of Preschoolers
Denham et al. proposed a model which suggested three specific skills undergirding emotional competence (i.e., emotional expression, emotion regulation, and emotion knowledge) [].
Emotional expressiveness, the first EC skill, refers to expressing emotions in a way that is advantageous to one’s goals during moment-to-moment interaction and relationships over time. Method, intensity, and timing of emotional expressiveness are crucial to its meaning and eventual success or failure. Consequently, emotional expressiveness patterns have garnered much empirical support across social, emotional, cognitive, and academic domains [,,].
Emotional knowledge, which can be viewed as emotional comprehension, is the second key EC skill. Preschoolers are becoming able to discern their own and others’ emotional states, talk about them rather fluently, empathize with others’ emotions, and understand dissemblance [,]. Emotion knowledge of self and others allows a preschooler to react appropriately (e.g., sympathetically, or calmly), thus bolstering his or her relationships and contributing to a positive environment in which to concentrate on learning. emotion knowledge is linked with young children’s social success [,]. Conversely, preschoolers’ difficulties with emotional knowledge are related to problems with anger and aggression [,].
Emotional regulation is the third vital EC skill. When intensity, duration, or other parameters of the experience and expression of emotion are “too much” or “too little” to meet the goals and expectations of the child and/or social partners, emotion regulation is needed. For preschoolers, children’s increasingly complex emotionality and the demands of their social and academic world make emotion regulation more necessary. Children’s increased comprehension and control of their emotionality, as they learn more successful strategies for emotion regulation during the period [], make emotion regulation possible. Preschoolers’ successful emotion regulation efforts are associated with social success []. In comparison, emotion dysregulation is often associated with young children’s difficulties with aggression and compromised social competence [,,].
1.2. The Design of the ECL Program
Internationally, evidence suggests several school-based SEL (social-emotional learning) programs are highly beneficial and cost-effective in fostering personal and social development in children and youth [].
Durlak et al. suggested that to enhance the effectiveness of social-emotional learning programs, certain key features must be incorporated []. First, teachers should be trained as program facilitators as they generally know their students well and tailor program content to meet the needs of individual students. Second, teachers should also use relevant, “real-life” examples to explain concepts to their students, meaning the greater opportunity for follow-up and skills practice. Third, program content should be delivered via a sequenced step-by-step approach informed by evidence-based practices, along with a combination of active forms of learning, with sufficient time to focus on skill development and explicit learning goals. Finally, quality in program implementation should also be monitored if positive outcomes are to be achieved. This means that when delivering school-based SEL programs, sufficient time must be allowed to counter the competing priorities of teachers, especially in relation to workload, teacher buy-in, support, and training [].
These key features should be incorporated into our ECL program to facilitate flexible delivery tailored within a naturalistic school environment and, as such, increase the accessibility of the programs to preschoolers. In addition, SEL programs must be highly engaging and interactive in nature, incorporate coaching and role-playing, and employ a set of structured activities to guide children towards achieving specific goals [,]. To address these key operational program features, the school based ECL program, which can be integrated into the kindergarten curriculum, was developed. This is a teacher-led, structured, interactive, school-based ECL program that aims to enhance children’s emotional competence. The framework of the ECL program was illustrated in Figure 1. The features of this school based ECL program are:

Figure 1.
The Framework of the Emotional Competence Learning Program. Note. Filled dot (•) = preset class session; air-cored dot (◦) = generative class session. The arrowheads indicated where the generative sessions emerged from. For a detailed description of the class sessions (e.g., EC1), see Appendix A. For the details of the extended activities, see Appendix C.
- (a)
- Theoretical basis. The theoretical framework within which it is set is the model proposed by Denham et al. []. In accordance with this model, there were three units (i.e., emotional expression, emotion knowledge, and emotion regulation), each with 5 class sessions (Appendix A).
- (b)
- Dynamic. There are not only pre-set courses but also generative courses based on student feedback in terms of curriculum design. Four generative class sessions were designed (Figure 1).
- (c)
- Systematic application. This program is delivered to the upper Kindergarten class (Daban, for Aged 5–6 children) in the first semester of the 2020/2021 academic year. Chinese Kindergartens generally have 5 to 6 regular theme-based class activities per week, covering five learning domains: health, language, society, science, and art. This ECL program was delivered as an additional part of learning activities. The program has three units, and each has five class sessions. The children in the experimental group attended one session per week, and each session lasted approximately 35 min. There were also extended activities for each unit. Figure 1 demonstrates the framework of this program, and Appendix A, Appendix B and Appendix C present the details. To increase its ecological validity, we adopted emotional competence courses and relevant environment settings and daily activities. Consequently, it fulfils the requirements of duration and intensity.
- (d)
- Highly interactive and participatory. It is delivered using active, participatory, and flexible teaching strategies (Appendix B). In addition, appropriate extended activities (Appendix C) were incorporated into each unit. As a result, it stimulates the pre-schoolers’ interest, which leads to their greater participation and interest.
Each session is structured in three sections: introduction, illustration, and discussion, as illustrated in Table 1. In this design, the arouse of motion promotes the experience and expression of emotion, the illustration facilitates the understanding of emotions, the discussion enhances children’s emotion regulation strategies. The durations and focuses of each session vary in accordance with the session design.

Table 1.
Description of the ECL course stages, functions, and their durations.
1.3. The Current Study
This study is the first empirical evaluation of our school-based ECL program with 5–6-year-old Chinese urban preschoolers. We designed and implemented a set of early ECL programs and examined their effectiveness in promoting EC in Chinese preschoolers. We hypothesized that the experimental group would perform significantly better after the training intervention than their counterparts in the control group.
In particular, the following questions guided this study:
- Did the experimental group outperform the control group significantly in the pre-test of EC before the early intervention?
- Did the experimental group outperform the control group significantly in the post-test of EC after the early intervention?
Accordingly, we tested the following hypotheses in this study:
Hypothesis 1.
The experimental and the control groups should have no significant differences in the pre-test of EC before the early intervention.
Hypothesis 2.
The experimental group would significantly outperform the control group in the post-test of EC after the early intervention.
2. Materials and Methods
2.1. Sample
One public kindergarten in Hangzhou, Zhejiang Province, consented to participate in this study. Two upper Kindergarten classes (Daban) for children aged 5–6 were randomly assigned as the experimental class (n = 31) and control class (n = 25). All the parents of the two classes’ children were invited and consented to participate in this intervention study. The children in both groups were not clinically referred for any cognitive or learning difficulties. In addition, the independent t-test indicated no significant between-group differences in demographic variables (Table 2), and the index of EC (ps > 0.05) in the pre-test (Table 3) indicated that the two groups were homogeneous before the intervention.

Table 2.
Demographic Description for The Experimental and Control Groups.

Table 3.
Means and Standard Deviations for the Emotional Competences Tasks in Pre-test and Post-Test and Gain Scores.
Additionally, the teachers had no significant between-group differences in qualifications and teaching experiences. All held a Bachelor of Education degree majoring in early childhood education. In the experimental group, the class teacher had five years of teaching experience, and the assistant teacher had six years of teaching experience. In the control group, the class teacher and the assistant teacher’s teaching experience was 10 and 2 years, respectively.
2.2. Instruments
2.2.1. Emotional Comprehension
Test of Emotion Comprehension (TEC) provides a global index of emotion com-prehension in children from 3 to 11 years of age, which is the sum of the nine components that constitute emotion comprehension []. Based on the results of the pre-test, two components were excluded in the current study. As all children received the full score on Component I (Recognition), this subscale was excluded. As a result, the expression identification task listed below can measure the basic emotions more specifically. Component IX (Morality) was also excluded as the pre-test indicated that no child completed this task. The key concepts are defined as follows.
- (I).
- External causes understanding was the awareness that emotions may be caused by external situations.
- (II).
- Desire understanding was the capacity to recognize that two individuals can feel different emotions about the same situation because they have different desires.
- (III).
- Belief measured the awareness that individuals’ beliefs can influence their emotional reactions to a situation.
- (IV).
- Reminder was the awareness of the role of memories in emotional experience.
- (V).
- Regulation understanding valued the awareness that emotions could be regulated by psychological strategies.
- (VI).
- Hiding was the comprehension of the discrepancy between felt and expressed emotions.
- (VII).
- Mixed emotions were the awareness that individuals can have contradictory emotional responses to a given situation.
Scores were computed in relation to responses provided by children to each com-ponent, with one point for the correct responses and zero point for the wrong response; thus, their score ranges were 0–1.
2.2.2. Expression Identification Task
The expression identification task was used in the current study []. Children examined four drawings representing the facial expressions of happiness, sadness, anger, and fear. Children were asked to name these four facial expressions (i.e., to answer the question, “what is this face feeling?”). Next, they were required to point at each expression to answer the question, “where is the (underbar) face?”. Thus, the first task included both verbal identification (naming) and recognition (pointing). To ensure random order of questioning for each subject, the four faces were shuffled and laid on the table before each set of questions (i.e., naming and pointing). During the pointing task, all four faces were available on each trial; thus, subjects could not answer correctly due to the process of elimination. Subjects received one point for correctly naming or pointing at the expressions for a possible total score of four on both the naming and the recognition measures. The total score ranged was 0–8.
2.2.3. Emotion Regulation Strategy Inventory
The emotion regulation strategy questionnaire for young children [] was applied in this study to measure the emotion regulation of preschoolers. It includes seven dimensions (i.e., Cognitive reconstruction, Problem-solving, Support Appling, Alternative activities, Self-comforting, Passive coping, Emotional venting, Attack behavior) with 48 items. Possible regulation strategies in several common settings were listed. Parents rated the frequency of their children’s behaviors on a 5-point scale (1 = never, 2 = occasionally, 3 = sometimes, 4 = often, 5 = always). The score of each dimension was scored as the average score of the items it included, resulting in the score range of 1–5.
2.3. Procedure
2.3.1. Ethical Clearance
This study was reviewed and approved by the first author’s university. An invitation letter was sent to the participating kindergarten, and the principal and the class teachers consented to participate in this study. All the parents were briefed about this study and consented to allow their children to participate in this study. All the participating parents, teachers, and child-care workers signed written consent for this study. The participating pre-schoolers verbally agreed to attend this study, knowing that they have the freedom to deny evaluation or withdraw from this study at any time.
2.3.2. Four Stages
The study consisted of four phases: pre-experiment, pre-test, training, and post-test. First, a pre-experiment was conducted a week before the experiments formally started. Pre-experiment helps the experimenters familiarize themselves with the testing procedures through rehearsals and appropriate adjustments to the training program. All 10 pre-schoolers (including five girls) completed the entire pre-experiment procedure. Consequently, the training materials and instructions were finalized based on the pre-schooler’s feedback. These 10 pre-schoolers would not participate in the formal experiments in the main study. Based on the pre-test, we adjusted the measurements as well as the intervention design. Second, all the children were administered the emotional competence tasks in the pre-test. Third, one week after the pre-test phase ended, the 15-week school-based ECL program was designed and implemented. Thus, emotional competence learning has been deliberately incorporated and elaborated in the experimental group, whereas the control group had similar duration courses without emotional competence training. Fourth, the post-test phase took place one week after the end of the training. The same set of emotional competence tasks was adopted in the pre-test and post-test phases to minimize the statistical deviation and the effects that such deviation might cause. In addition, this experiment used a relatively balanced method to test the sequence of tasks and randomly used cross-coding to conduct the validity analysis.
2.4. Statistical Analyses
The gain scores were calculated as the post-test score minus the pre-test score. Statistical analyses were conducted using SPSS version 20 (IBM Corp, Armonk, NY, USA). We examined the normality of the variables of the Emotion Identification task (score range: 0–8) and those of the Emotion Regulation Strategy Inventory (score range: 1–5) using the Shapiro–Wilk tests. The results indicated that the data were normally distributed on these dimensions, ps > 0.05. However, for the other dimensions of TEC tasks, the scores are either 0 or 1, not allowing for a normality test. Accordingly, we conducted the independent t-test to examine the differences between the experimental and control group.
3. Results
Descriptive results were presented in Table 3, indicating the means and standard deviations for all the study variables. The t values of independent t tests were also presented.
3.1. Testing Hypothesis 1
To confirm whether the experimental and the control groups significantly differed in the pre-test (Hypothesis 1), we conducted independent samples t-tests on the scores of all EC tasks. As shown in Table 3, no significant differences were found between the experimental group and the control group in the emotion identification task, p = 0.55. Furthermore, in all 7 TEC emotion comprehension tasks, no significant differences were found between the experimental and control group, ps > 0.212. Finally, in all seven dimensions of emotion regulation strategy, no significant differences were found between the experimental and control groups, ps > 0.099. In summary, all t-test results jointly indicated that there were no significant differences between the experimental and control groups, providing empirical evidence to support Hypothesis 1.
3.2. Testing Hypothesis 2
To confirm whether the experimental and the control groups significantly differed in the post-test (Hypothesis 2), we conducted independent sample t-tests on all the EC-relevant tasks scores.
As shown in Table 3, in the emotion identification task, the score of the experimental group was significantly higher than that of the control group, t = 5.57, p < 0.001.
In the seven TEC emotion comprehension tasks, in the dimension of Desire (t = 1.61, p > 0.05) and External cause (t = 1.89, p = 0.064), the differences between the experimental group and the control group was not significant. For the other five emotion comprehension tasks, Belief (t = 2.74, p < 0.05), Reminder (t = 2.06, p < 0.05), Regulation t = 3.07, p < 0.05), Hiding (t = 2.24, p < 0.05), and Mixed (t = 6.12, p < 0.001), the score of the experimental group was significantly higher than that of the control group.
In all eight dimensions of emotion regulation strategy, the differences between the experimental and control groups were significant. For Cognitive reconstruction (t = 2.40, p < 0.05), Problem solving (t = 3.82, p < 0.001), Appling support (t = 2.57, p < 0.05), Alternative activities (t = 2.12, p < 0.05), Self-comforting (t = 2.19, p < 0.05), the scores of the experimental group were significantly higher than that of the control group. For Passive coping (t = −2.16, p < 0.05), Emotional venting (t = −2.02, p < 0.05), and Attack behavior (t = −2.47, p < 0.05), the scores of the experimental group were significantly lower than that of the control group.
In summary, all these t-tests results jointly indicated that there were significant differences between the experimental and control groups in the post-test, providing empirical evidence to support Hypothesis 2.
3.3. Testing the Training Effects
To compare the training effects of the ECL program, we calculated the gain scores between post-test and pre-test for each child (Table 3). In the emotion identification task, the gain score of the experimental group was significantly higher than the control group. Likewise, in the Reminder and Mixed component of TEC tasks, the gain score of the experimental group was significantly higher than the control group (see Figure 2).

Figure 2.
Comparison of gain scores in the Emotional Comprehension Tasks between the experimental and control Groups.
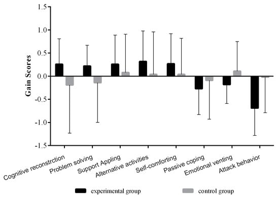
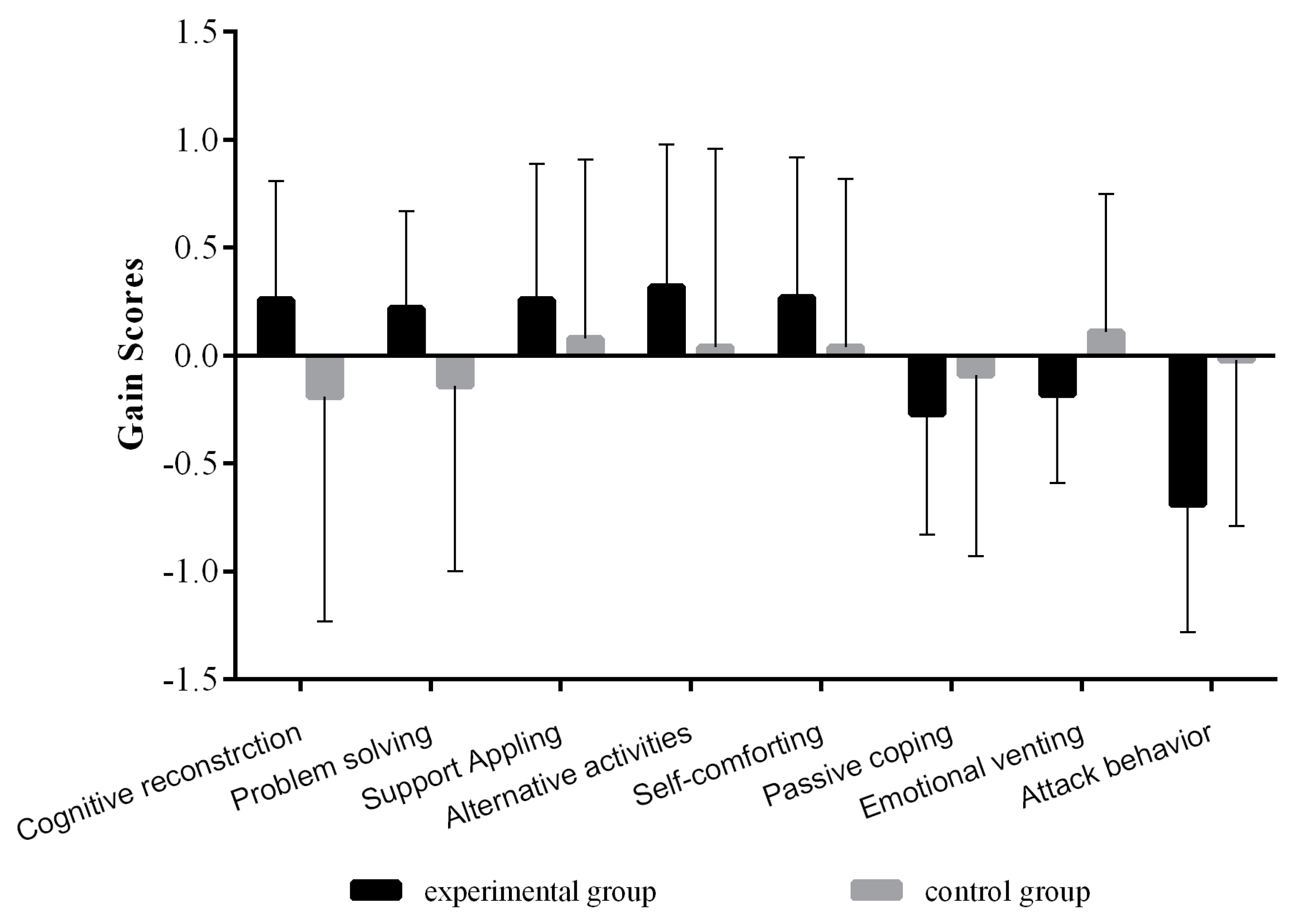
For emotion regulation, in dimensions of Cognitive Reconstruction and Problem Solving, the gain score of the experimental group was significantly higher than the control group. On the other hand, in the dimensions of Emotional venting and Attack, the experimental group was significantly lower than the control group (see Figure 3).

Figure 3.
Comparison of gain scores in the Emotion Regulation Strategy between the experimental and control groups.
In summary, all t-tests results jointly indicated that there were significant differences in gain scores between the experimental and control groups, providing a significant training effect of the intervention program.
4. Discussion
As the first empirical exploration of the effect of emotion competence learning program on Chinese preschoolers’ emotional competence, this study designed, implemented, evaluated a school based ECL program. The statistical results found no significant differences between the experimental and control groups in the pre-test but significant differences in the post-test and the gain scores, supporting both Hypothesis 1 and Hypothesis 2. This section will discuss these findings.
4.1. The Training Effect of ECL Program on EC
This study found that the young children in the experimental group differed from their counterparts in the control group in the post-test EC scores and the gain scores. This result has confirmed the effectiveness of the ECL on young children’s EC.
The results of this study suggest that the ECL program led to statistically significant improvements in all key measured aspects of emotion knowledge in the sample of 5–6-years-old Chinese preschoolers. Emotion knowledge has been linked to prosocial behavior, social skills, lower levels of internalizing symptoms, and academic competence [,]. It should be noted that, for those two components with non-significant differences, their score may imply a possible “ceiling effect”. As the M (SD) of External cause and Desire for the experimental group were 0.87(0.34) and 0.97(0.18) in the pre-test, and their M (SD) all reached 1.00(0.00) in the post-test. This deficit of measurement should be rectified in a future study.
As for emotional regulation ability, the experimental group showed higher positive regulation strategies (i.e., Cognitive reconstruction, Problem-solving, Appling support, Alternative activities, Self-comforting) and lower negative regulation strategies (i.e., Passive coping, Emotional venting, and Attack behavior). Children who experience difficulty “down-regulating” emotions in affectively charged situations tend to exhibit more aggressive behaviors, while adaptive emotion regulation is positively related to social competence in younger children and peer preference in older children [,]. Preschoolers who exhibit optimal emotion regulation also tend to experience higher academic achievement [].
Results also indicated that preschoolers exposed to the ECL program demonstrated greater increases in EC than the control group. These increases in emotional competence skills, if sustained, may translate into a range of cascading effects across a range of life domains for children, which requires further study.
4.2. Educational Implications
The finding of this study has some implications for practical improvement in early childhood education and teacher education. Children’s emotional competences are crucial for their development, and the findings of this present study supported our hypothesis that SCL programs can enhance preschooler’s emotional competencies. Furthermore, it provides an engaging way for preschoolers to develop their emotional competencies more effectively.
First, integrating the program into the kindergarten curriculum schedule is a promising and rewarding strategy. Creating real space for emotional education within the school curriculum must be implemented through programs that guarantee its delivery properly and systematically, rather than purely anecdotal or isolated actions. Multiple and regular exposures to ECL programs over the semester may strengthen and lengthen its training effects. Meanwhile, the teacher led ECL program promotes the regular purposeful and incidental emphasis of key concepts and reinforcement of emotional competence skills by both teachers and peers.
Second, the course and activity design of the ECL program needs to be flexible and open. To elevate the program’s effectiveness, the content and development of programmed activities should vary depending on the demands of the group and their emotional situation.
Third, initial training for teachers should be incorporated into the program. Teachers play a very important role in the program since they must guide and orient the construction of knowledge and foster children’s emotional competence skills development. Meanwhile, as the program is not “determined” in advance but partially relies on implementing educational resources according to the group’s specific needs, then the presenter needs to have the knowledge and teaching skills that allow them to address those needs appropriately.
4.3. Limitation and Future Directions
A recognition of its limitations must temper the results of this study. First, the sample size is very small, and only two upper class (5–6-year-old children) in one urban kindergarten participated in the study. Future research should seek to recruit participants from various sociodemographic areas, the sample size should be increased, and the age range could also be expanded to increase the breadth of the sample and, thus, the generalizability of the findings. Second, in terms of measurement, the emotional expression ability of participants was not fully explored; thus, future studies should apply more emotional competence measurements as suggested [] to explore their emotional expression ability. Meanwhile, the data sources were limited, as either teachers or parents completed emotional competence measures used in this study; future research should utilize data from multiple sources (e.g., students, parents) to gain a more comprehensive view of children’s EC. Finally, although intervention integrity was maintained in many ways, no formal program fidelity data were collected, which should be rectified in future studies.
Author Contributions
Conceptualization, J.W. and H.L.; methodology, validation, J.W. and M.Z.; investigation, M.Z.; formal analysis, M.Z. and J.W.; data curation, M.Z., Y.W. and W.L.; writing—original draft preparation, J.W., Y.W. M.Z. and W.L.; writing—review and editing, J.W. and H.L.; visualization, Y.W.; supervision, H.L. and J.W. All authors have read and agreed to the published version of the manuscript.
Funding
This research received no external funding.
Institutional Review Board Statement
The study was conducted according to the guidelines of the Declaration of Helsinki, and approved by the Institutional Review Board of Hangzhou Normal University.
Informed Consent Statement
Informed consent was obtained from all subjects involved in the study.
Data Availability Statement
The data presented in this study are available on request from the corresponding author.
Acknowledgments
We are grateful to all the students and their parents in the participating school.
Conflicts of Interest
The authors declare no conflict of interest.
Appendix A

Table A1.
Session descriptions and corresponding teaching strategies.
Table A1.
Session descriptions and corresponding teaching strategies.
Session Name | Session Goal | Core Content | Teaching Strategy |
---|---|---|---|
Unit 1 Emotion comprehension | |||
EC1: Little emotion monster | 1. Learn about basic emotions and their key features 2. Child describe their emotion and how it happens | Identify the basic emotions | TPB |
EC2: I know the method | 1. describe their reason for fear and anger 2. Understand that some emotion can be caused by different things/incidents 3. talk about coping methods for fear and anger | Regulate negative emotions | EA |
EC3: Please listen to me | 1. Listen to other children’s negative emotion, experiencing emotion 2. Promote children to understand each other, enhance their acceptances of peers | Understand others’ emotion | EA |
EC4: The golden house | 1. Narrate the occurrence experience of emotions 2. Learn to analyze the emotional change of the hero of the story and the reasons 3. Describe life events that contain emotional change | Feel the change of emotion | TPB |
EC5: Let’s find it | 1. Understand that one can have mixed emotions; these emotions may conflict 2. Tell an experience with mixed emotions | Understand mixed emotions | EA |
Unit 2 Emotion expression | |||
EE1: Guess the emotions I performed | 1. Repeat the different intensity of emotions 2. Learn three ways to express emotion | Learn methods to express emotions | PA |
EE2: Hands are not for beating others | 1. Realize that beating others is an inappropriate way to express emotion 2. Learn how to copy when others express emotion inappropriately 3. Learn how to express emotion appropriately | Correct the wrong ways to express emotions | TPB VD |
EE3: Mouth is not for shouting | 1. Realize that shouting at others is an inappropriate way to express emotion 2. Learn how to copy when others express emotion inappropriately 3. Learn how to express emotion appropriately | Learn how to face wrongly expressed emotions | TPB VD |
EE4: Emotion dictionary | 1. Learn more emotional words 2. explain emotional words with personal experience 3. Express emotions with new emotional words | Learn to use emotional words | PA |
EE5: My favorite emotion | 1. Express favorite emotions and explain reasons 2. Respect other’s different opinions when debating 3. Acknowledge the importance of common emotions | Learn the importance of emotion | EA |
Unit 3 Emotion regulation | |||
ER1: How emotion emerge? | 1. Learn basic brain mechanisms of emotion 2. Learn measures to regulate emotions 3. Share an experience of emotion regulation | Mechanism of emotion | EA |
ER2: Fairness | 1. Talk about the meaning of fairness 2. Try to understand the existence of unfairness | Learn to understand fairness | EA VD |
ER3: Mocking | 1. Understand the meaning of mocking and realize it is inappropriate to mocking others 2. Explain mocking with personal experience 3. Learning coping strategies for mocking | How to face mocking | TPB |
ER4: Lose and win | 1. realize that viewing lose and win 2. participate in competition and experience lose and win 3. Learn to face loss and win more positively | Learn to face lose and win | CGA EA |
ER5: Emotion broadcasting | 1. Learn to care for others, promote care for each other 2. Help peers to copy negative emotion, using previously learned strategies | Care for each other | TPB |
Note. Aberration for teaching strategy column. TPB = Teaching with picture books; EA = Expression activity; PA = Performance activity; CGA = Competition game activity; VD = Video-based discussion. See Appendix B for details.
Appendix B
Description of Teaching strategies.
Appendix B.1. Teaching with Picture Books (TPB)
Emotion-themed picture books are fun and educational. they are popular among young children and the most welcome educational mode in current emotional education activities. usually, the behaviors and positions advocated in picture books are regarded by young children as indicators of social acceptance. furthermore, through the reading of picture books by adults to children and the observation of pictures by children themselves, children often relate the storylines and character experiences in picture books to their own lives, which encourages children to understand themselves and promote their social development. in addition, teachers placed a large number of picture books about emotions in the book corner so that children could continue to be exposed to content related to emotions except for/in addition to special educational activities.
Appendix B.2. Expression Activity (EA)
Young children themselves often cannot express their emotions and feelings correctly. Therefore, expression activity can allow children with opportunities to overcome such difficulties by various emotional education activities, including “I Have Many Ideas” and “Please Listen to Me”, etc., which are all carried out in a talking way. The emotion education activity, “The Most of Emotions”, even adopts the debate format in the conversation activity by three steps: firstly, young children recall the emotions they have learned and name their favorite emotions. Then the teachers classify the mentioned emotions into positive and negative emotions to prepares a debate in groups; secondly, the pros and cons of both sides to explain their viewpoints and the reasons in turn; thirdly, to refute the other side’s viewpoints and state the reasons. Finally, the teachers make a summary: every emotion is important to people. From the perspective of biological evolution, negative emotions also have a beneficial side, such as fear, which may be more important to animals’ survival, helping them escape from danger. When you express an angry emotion, people who see it will receive your emotional signals. If they can understand your emotions, some will stop doing something that makes you angry, and the others even come to care for you. The most important thing is not to let these unpleasant emotions overwhelm you. Instead, you have to be the master of emotions.
Appendix B.3. Performance Activity (PA)
The development requirements of basic capabilities in young children are expressed through multiple senses, and performance activities can help them express themselves continuously and systematically in specific contexts. Therefore, it is necessary to provide conditions and opportunities for children to perform in kindergarten education activities, especially for emotional education activities. Everyone has his or her understanding of different emotions. Moreover, even the same emotion has different ways of expression. So to deepen children’s experience of emotions, we should cultivate their enthusiasm for expressing emotions through corresponding performance activities.
Appendix B.4. Competition Game Activity (CGA)
Based on individual interviews with each child and daily observation records, it is found that there are four common reasons for negative emotions children feel in school, specifically: treated unfairly, being teased, defeated in competitions, and being bullied in interaction with peers. In view of this, emotional competence education activities were carried out for the four reasons above. To make children have a more real sense of winning and losing, competition games were used to enhance their emotional experience. Before the activity, the teachers deliberately held a relay race, where defeating a team would be rewarded. After explaining the game rules and the pre-game, the real game was started in a group. At the end of the game, the winning team was photographed and given stickers. After returning to the class, they were asked about the emotions and reasons to help them enhance their emotional feelings. Next, the children were told the picture book story to learn about the spirit of sports and try to face win and loss with a calm attitude to develop the good quality of not being proud of victory and discouraged by defeat. In the following daily activities, Later, competition games will be continuously held many times to encourage young children to insist on the spirit of sports. The first child to do so will be rewarded the stickers each time.
Appendix B.5. Video-Based Discussion (VD)
Teachers use recorded videos to capture emotional events of children in their daily lives and their ways to cope with emotional events and show them the videos during educational activities, allowing children to try to analyze the causes and consequences of the emotions in the videos and propose their solutions. Special attention here is: First, the video protagonist should be allowed to speak. For example, after other children discuss the causes and consequences of the emotions in the videos, the protagonist should be invited to judge whether it is correct and explain what happened, and then join the discussion of solutions; second, the protagonist should be encouraged and praised if he or she uses the correct methods to set a good example for other children. If not, he or she should be given enough time to reflect himself or herself and encouraged to learn the correct way instead of being criticized in public.
Appendix C
Description of Extended Activities.
Appendix C.1. Face Expression Wall (FEW)
Capturing children’s emotions with a camera and pasting them on the expression wall can help children intuitively feel the facial features of different emotions and strengthen their ability to recognize emotions.
Appendix C.2. Emotion Mailbox (EM)
When children do not want to express their emotions in words, they can share their emotions with friends or teachers or ask for help by writing letters.
Appendix C.3. Emotion Storybook (ES)
The teacher put some expressionless facial pictures in the art area and made a display board. Toddlers can fill in expressions on the pictures themselves and explain the stories behind the emotions.
Appendix C.4. Colorful Emotion Bean (CEB)
Children were given black and yellow beans. Black bean stands for negative emotions, while yellow bean stands for positive emotion. It is placed three times a day in the photo display bag at the door of the class. It is placed once in the morning when children enter the class, once before the lunch break at noon, and once after school in the afternoon. This helps children feel the changes in emotions and facilitates teachers to observe the children’s emotions and help them in time.
Appendix C.5. Regulation Tips Tree (RTT)
Through the collection of children’s works in the teaching activities, after sorting and remarks on the works, a “wisdom tree” is created. The tree shows the method of regulating emotions learned by the children in the activities, and the finished product is posted in the classroom after it is done. First, allow children to introduce their emotional adjustment methods to their peers. Then, when children encounter emotional problems, remind them to find solutions to the tree of wisdom and deepen children’s memory of emotional adjustment methods.
Appendix C.6. Emotion Broadcasting Station (EBS)
After the “Mood Forecast” event, a hand-made “TV” was placed in the performance area. The children could broadcast their emotions behind the TV according to the prompt version and selected several children with the better emotional regulation ability through election campaigns. Granting them the title of “Little Emotion Management Teacher” and giving them the arduous task-when children’s mood is overcast, they will get the help of “Emotion Management Little Teacher” that children can be in this way. Thus, grow up in an atmosphere of mutual help and learn to care for others.
Appendix C.7. Movie Watching (MW)
The film, Inside Out, shows how the five emotional villains who live in the girl’s Riley’s mind, happiness, sadness, anger, fear, and disgust, have completed a science popularization about children’s personality, emotions, behavior, consciousness, and other concepts. Therefore, the movie is chosen as the animation to watch during daily breaks, which is also entertaining.
Appendix C.8. Stickers for Prizes (SFP)
When children develop negative emotions and express them appropriately, or express them in an appropriate way with the help of others, they can get a sticker; conversely, if they express their emotions in the wrong way, a sticker will be deducted. Children can report to the teacher to receive the stickers, or other children can report to the teacher to receive the stickers. And according to the cumulative number of stickers to redeem different gifts, if children keep accumulating stickers without redeeming prizes, children can finally get a mysterious gift after the event.
References
- Qiu, J.; Shen, B.; Zhao, M.; Wang, Z.; Xie, B.; Xu, Y. A nationwide survey of psychological distress among Chinese people in the COVID-19 epidemic: Implications and policy recommendations. Gen. Psychiatry 2020, 33, e100213. [Google Scholar] [CrossRef]
- Wang, C.; Pan, R.; Wan, X.; Tan, Y.; Xu, L.; Ho, C.S.; Ho, R.C. Immediate Psychological Responses and Associated Factors during the Initial Stage of the 2019 Coronavirus Disease (COVID-19) Epidemic among the General Population in China. Int. J. Environ. Res. Public Health 2020, 17, 1729. [Google Scholar] [CrossRef] [PubMed]
- Yang, Y.; Liu, K.; Li, S.; Shu, M. Social Media Activities, Emotion Regulation Strategies, and Their Interactions on People’s Mental Health in COVID-19 Pandemic. Int. J. Environ. Res. Public Health 2020, 17, 8931. [Google Scholar] [CrossRef]
- Muñoz-Navarro, R.; Malonda, E.; Llorca-Mestre, A.; Cano-Vindel, A.; Fernández-Berrocal, P. Worry about COVID-19 contagion and general anxiety: Moderation and mediation effects of cognitive emotion regulation. J. Psychiatr. Res. 2021, 137, 311–318. [Google Scholar] [CrossRef] [PubMed]
- Tyra, A.T.; Siobhán, M.G.; Fergus, T.A.; Ginty, A.T. Individual differences in emotion regulation prospectively predict early COVID-19 related acute stress. J. Anxiety Disord. 2021, 81, 102411. [Google Scholar] [CrossRef] [PubMed]
- Denham, S.A.; Ferrier, D.E.; Howarth, G.Z.; Herndon, K.J.; Bassett, H.H. Key considerations in assessing young children’s emotional competence. Camb. J. Educ. 2016, 46, 299–317. [Google Scholar] [CrossRef]
- Denham, S.A.; Bassett, H.; Mincic, M.; Kalb, S.; Way, E.; Wyatt, T.; Segal, Y. Social–emotional learning profiles of preschoolers’ early school success: A person-centered approach. Learn. Individ. Differ. 2012, 22, 178–189. [Google Scholar] [CrossRef] [PubMed]
- Denham, S.A.; Brown, C. “Plays Nice With Others”: Social–Emotional Learning and Academic Success. Early Educ. Dev. 2010, 21, 652–680. [Google Scholar] [CrossRef]
- Zins, J.E.; Bloodworth, M.R.; Weissberg, R.P.; Walberg, H.J. The Scientific Base Linking Social and Emotional Learning to School Success. J. Educ. Psychol. Consult. 2007, 17, 191–210. [Google Scholar] [CrossRef]
- Chang, H.; Cheong, J.; Shaw, D.S.; Shelleby, E.C. Cumulative Risk, Negative Emotionality, and Emotion Regulation as Predictors of Social Competence in Transition to School: A Mediated Moderation Model. Soc. Dev. 2012, 21, 780–800. [Google Scholar] [CrossRef]
- Herndon, K.J.; Bailey, C.; Shewark, E.A.; Denham, S.A.; Bassett, H.H. Preschoolers’ Emotion Expression and Regulation: Relations with School Adjustment. J. Genet. Psychol. 2013, 174, 642–663. [Google Scholar] [CrossRef] [PubMed]
- Taylor, Z.E.; Eisenberg, N.; Vanschyndel, S.K.; Eggum-Wilkens, N.D.; Spinrad, T.L. Children’s negative emotions and ego-resiliency: Longitudinal relations with social competence. Emotion 2014, 14, 397–406. [Google Scholar] [CrossRef]
- Pons, F.; Harris, P.L.; De Rosnay, M. Emotion comprehension between 3 and 11 years: Developmental periods and hierarchical organization. Eur. J. Dev. Psychol. 2004, 1, 127–152. [Google Scholar] [CrossRef]
- Janke, B.; Von Salisch, M. Editorial. Prax. der Kinderpsychol. und Kinderpsychiatr. 2010, 59, 509–512. [Google Scholar] [CrossRef]
- Alonso-Alberca, N.; Vergara, A.I.; Fernández-Berrocal, P.; Johnson, S.R.; Izard, C.E. The adaptation and validation of the Emotion Matching Task for preschool children in Spain. Int. J. Behav. Dev. 2012, 36, 489–494. [Google Scholar] [CrossRef]
- Deneault, J.; Ricard, M. Are Emotion and Mind Understanding Differently Linked to Young Children’s Social Adjustment? Relationships Between Behavioral Consequences of Emotions, False Belief, and SCBE. J. Genet. Psychol. 2013, 174, 88–116. [Google Scholar] [CrossRef]
- Denham, S.A.; Blair, K.; Schmidt, M.; Demulder, E. Compromised emotional competence: Seeds of violence sown early? Am. J. Orthopsychiatry 2002, 72, 70–82. [Google Scholar] [CrossRef]
- Miller, A.L.; Gouley, K.K.; Seifer, R.; Zakriski, A.; Eguia, M.; Vergnani, M. Emotion Knowledge Skills in Low-income Elementary School Children: Associations with Social Status and Peer Experiences. Soc. Dev. 2005, 14, 637–651. [Google Scholar] [CrossRef]
- Sala, M.N.; Pons, F.; Molina, P. Emotion regulation strategies in preschool children. Br. J. Dev. Psychol. 2014, 32, 440–453. [Google Scholar] [CrossRef] [PubMed]
- Blair, K.A.; Denham, S.A.; Kochanoff, A.; Whipple, B. Playing it cool: Temperament, emotion regulation, and social behavior in preschoolers. J. Sch. Psychol. 2004, 42, 419–443. [Google Scholar] [CrossRef]
- Miller, A.L.; Gouley, K.K.; Seifer, R.; Dickstein, S.; Shields, A. Emotions and Behaviors in the Head Start Classroom: Associations Among Observed Dysregulation, Social Competence, and Preschool Adjustment. Early Educ. Dev. 2004, 15, 147–166. [Google Scholar] [CrossRef]
- Belfield, C.R.; Bowden, A.B.; Klapp, A.; Levin, H.M.; Shand, R.; Zander, S. The Economic Value of Social and Emotional Learning. J. Benefit-Cost Anal. 2015, 6, 508–544. [Google Scholar] [CrossRef]
- Durlak, J.A.; Weissberg, R.P.; Dymnicki, A.B.; Taylor, R.D.; Schellinger, K.B. The Impact of Enhancing Students’ Social and Emotional Learning: A Meta-Analysis of School-Based Universal Interventions. Child Dev. 2011, 82, 405–432. [Google Scholar] [CrossRef] [PubMed]
- Carroll, A.; O’Connor, E.S.; Houghton, S.; Hattie, J.A.; Donovan, C.; Lynn, S. A preliminary empirical evaluation of KooLKIDS: A school-based program to reduce early onset antisocial behaviour in children. J. Intellect. Dev. Disabil. 2016, 42, 22–35. [Google Scholar] [CrossRef]
- Houghton, S.; Carroll, A.; Zadow, C.; O’Connor, E.S.; Hattie, J.; Lynn, S. Treating children with early-onset conduct problems and callous–unemotional traits: An empirical evaluation of KooLKIDS. Emot. Behav. Diffic. 2017, 22, 350–364. [Google Scholar] [CrossRef]
- Lehmann, T.S. Academic Research Guides: Aids to the Dissertation Writer. Teach. Psychol. 1990, 17, 59–61. [Google Scholar] [CrossRef]
- Lu, G. The Practice Research of 4–5-Year-Old Children’s Emotion Regulation Ability Promotion. Master’s Thesis, Southwest China Normal University, Chongqing, China, 2011, unpublished (In Chinese). [Google Scholar]
- Fine, S.E.; Izard, C.E.; Mostow, A.J.; Trentacosta, C.J.; Ackerman, B.P. First grade emotion knowledge as a predictor of fifth grade self-reported internalizing behaviors in children from economically disadvantaged families. Dev. Psychopathol. 2003, 15, 331–342. [Google Scholar] [CrossRef]
- Denham, S.A.; Blair, K.A.; Demulder, E.; Levitas, J.; Sawyer, K.; Auerbach-Major, S.; Queenan, P. Preschool Emotional Competence: Pathway to Social Competence? Child Dev. 2003, 74, 238–256. [Google Scholar] [CrossRef]
- Shields, A.; Dickstein, S.; Seifer, R.; Giusti, L.; Magee, K.D.; Spritz, B. Emotional Competence and Early School Adjustment: A Study of Preschoolers at Risk. Early Educ. Dev. 2001, 12, 73–96. [Google Scholar] [CrossRef]
- Howse, R.B.; Calkins, S.D.; Anastopoulos, A.D.; Keane, S.P.; Shelton, T.L. Regulatory Contributors to Children’s Kindergarten Achievement. Early Educ. Dev. 2003, 14, 101–120. [Google Scholar] [CrossRef]
Publisher’s Note: MDPI stays neutral with regard to jurisdictional claims in published maps and institutional affiliations. |
© 2021 by the authors. Licensee MDPI, Basel, Switzerland. This article is an open access article distributed under the terms and conditions of the Creative Commons Attribution (CC BY) license (https://creativecommons.org/licenses/by/4.0/).